Seismic Vulnerability Analysis of Structure Subjected to Uneven Foundation Settlement
Abstract
1. Introduction
2. Seismic Vulnerability Analysis
2.1. Seismic Vulnerability Analysis Process
2.2. Analysis Parameter Selection and Setting
3. Model Analyses
3.1. Model Design
3.2. Structural Seismic Vulnerability Analysis
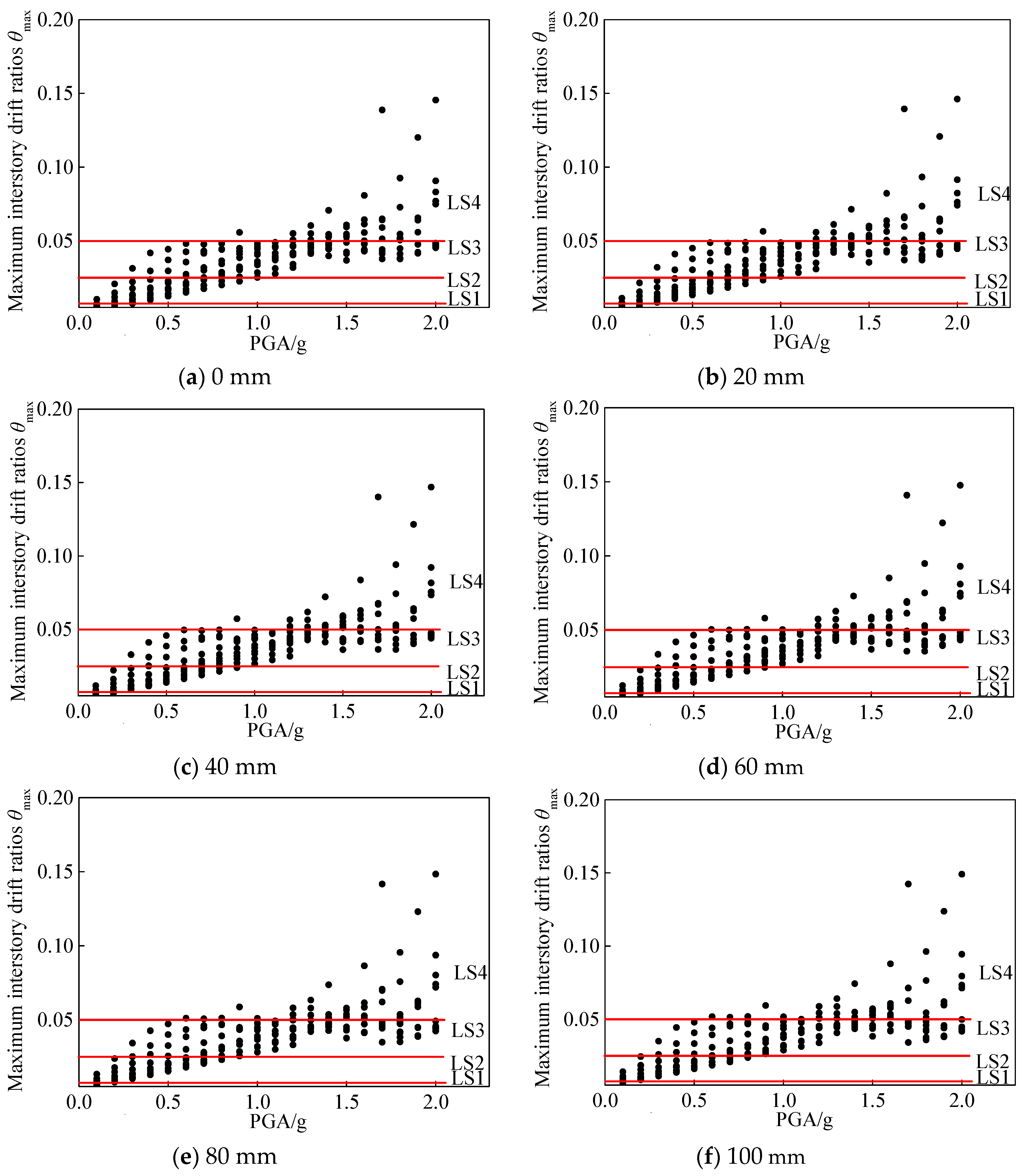
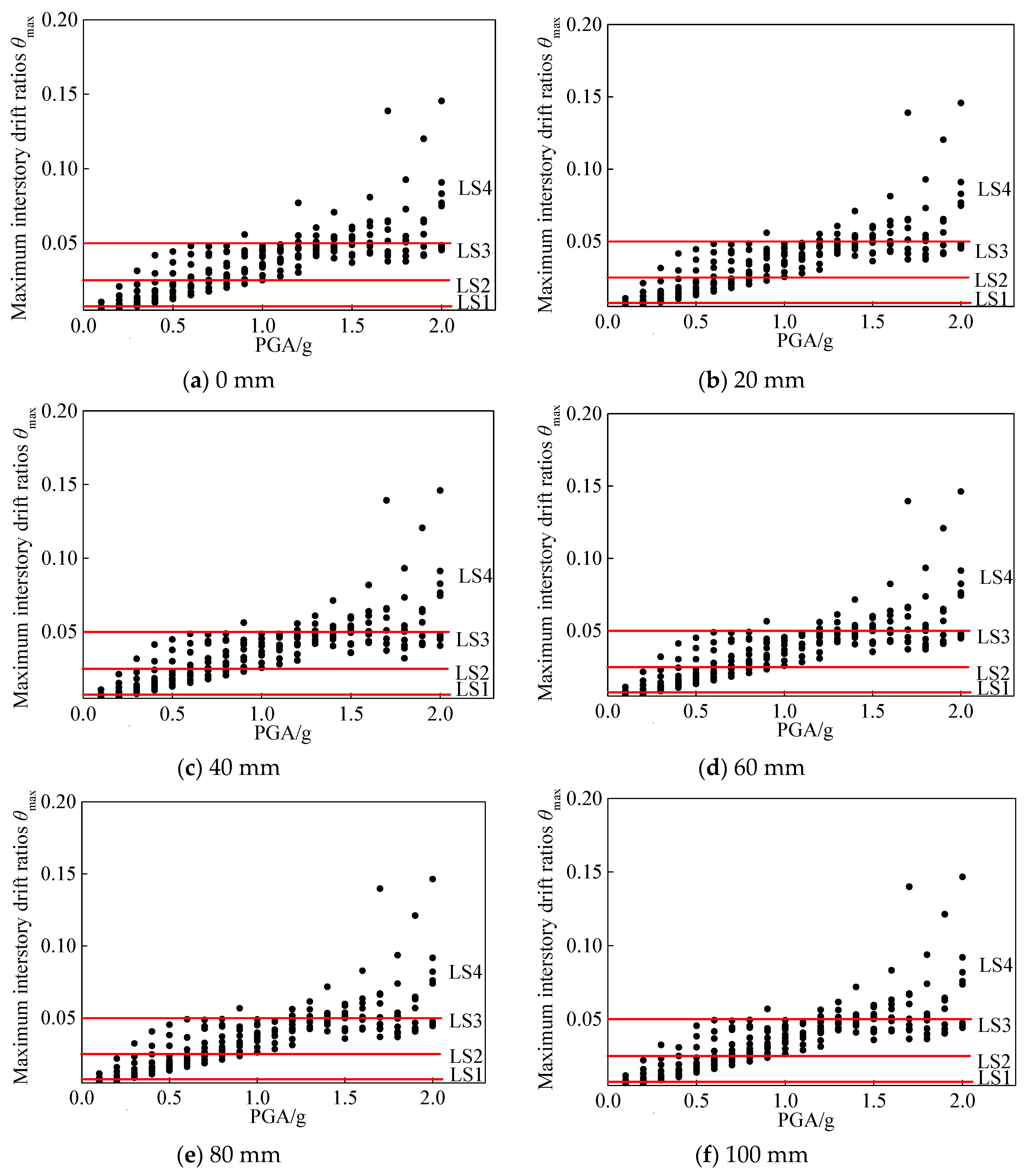
3.3. Probabilistic Seismic Demand Analysis of Structures
3.4. Collapse Probability Analysis
3.5. Fragility Curves
3.6. Analysis of Influencing Factors
4. Conclusions
- (1)
- Based on the seismic vulnerability curve of the structure, the damage probability of the structure under the given seismic action can be determined, which provides a basis for the damage assessment of earthquake disasters. According to the seismic vulnerability curve of such a structure in a region, the seismic vulnerability matrix of the regional system can be formed and used for earthquake prevention and disaster reduction planning in the region;
- (2)
- In addition to the seismic intensity, the uneven settlement area and the uneven settlement quantity will adversely affect the structural seismic response. As the uneven settlement increases, the structural seismic response will also increase. The uneven settlement area near the center of the structural plane has a relatively strong and balanced constraint on the surrounding area, and the seismic response of the structure is relatively small;
- (3)
- In this paper, only PGA was selected as a ground motion parameter to express the structural response and vulnerability curve. The acceleration response spectrum corresponding to the basic period of the structure could also be used as a ground motion parameter to study the vulnerability of the structure, so that the analysis results would be more universally applicable and the dispersion of the structural response data would be smaller;
- (4)
- For a building structure where the foundation uneven settlement areas are prone to occur, the foundation integrity should be enhanced, and a pile foundation form with a better anti-settling effect should be adopted as much as possible to prevent the occurrence of uneven settlement. After uneven settlement occurs, it is necessary to strengthen the observation of deformations, especially for areas of uneven settlement near the outer side of the building plane.
Author Contributions
Funding
Conflicts of Interest
References
- Boscardin, M.D.; Cording, E.J. Building response to excavation-induced settlement. J. Geotech. Eng. 1989, 115, 1–21. [Google Scholar] [CrossRef]
- Yoo, C.; Lee, D. Deep excavation-induced ground surface movement characteristics–A numerical investigation. Comput. Geotech. 2008, 35, 231–252. [Google Scholar] [CrossRef]
- Zhang, L.; Wu, X.; Skibniewski, M.J.; Fang, W.; Deng, Q. Conservation of historical buildings in tunneling environments: Case study of Wuhan metro construction in China. Constr. Build. Mater. 2015, 82, 310–322. [Google Scholar] [CrossRef]
- Mirhabibi, A.; Soroush, A. Effects of surface buildings on twin tunnelling-induced ground settlements. Tunn. Undergr. Space Technol. 2012, 29, 40–51. [Google Scholar] [CrossRef]
- Ding, L.; Wu, X.; Zhang, L.; Skibniewski, M.J. How to protect historical buildings against tunnel-induced damage: A case study in China. J. Cult. Herit. 2015, 16, 904–911. [Google Scholar] [CrossRef]
- Giardina, G.; Milillo, P.; DeJong, M.J.; Perissin, D.; Milillo, G. Evaluation of InSAR monitoring data for post-tunnelling settlement damage assessment. Struct. Control Health Monit. 2019, 26, e2285. [Google Scholar] [CrossRef]
- Peduto, D.; Ferlisi, S.; Nicodemo, G.; Reale, D.; Pisciotta, G.; Gullà, G. Empirical fragility and vulnerability curves for buildings exposed to slow-moving landslides at medium and large scales. Landslides 2017, 14, 1993–2007. [Google Scholar] [CrossRef]
- Marshall, A.M.; Farrell, R.; Klar, A.; Mair, R. Tunnels in sands: The effect of size, depth and volume loss on greenfield displacements. Géotechnique 2012, 62, 385–399. [Google Scholar] [CrossRef]
- Huang, J.; Dang, F.; Guo, C. Exploration of tunneling-induced surface settlements in soils by the reciprocal theorem. China Civ. Eng. J. 2015, 48, 103–111. (In Chinese) [Google Scholar]
- Baghban Golpasand, M.R.; Nikudel, M.R.; Uromeihy, A. Effect of engineering geological characteristics of Tehran’s recent alluvia on ground settlement due to tunneling. Geopersia 2014, 4, 185–199. [Google Scholar]
- Farrell, R.; Mair, R.; Sciotti, A.; Pigorini, A. Building response to tunnelling. Soils Found. 2014, 54, 269–279. [Google Scholar] [CrossRef]
- Franza, A.; DeJong, M.J. Elastoplastic Solutions to Predict Tunneling-Induced Load Redistribution and Deformation of Surface Structures. J. Geotech. Geoenviron. Eng. 2019, 145, 04019007. [Google Scholar] [CrossRef]
- Giardina, G.; DeJong, M.J.; Mair, R.J. Interaction between surface structures and tunnelling in sand: Centrifuge and computational modelling. Tunn. Undergr. Space Technol. 2015, 50, 465–478. [Google Scholar] [CrossRef]
- Boldini, D.; Losacco, N.; Bertolin, S.; Amorosi, A. Modelling of reinforced concrete framed structures interacting with a shallow tunnel. Procedia Eng. 2016, 158, 176–181. [Google Scholar] [CrossRef]
- Haji, T.K.; Marshall, A.M.; Tizani, W. A cantilever approach to estimate bending stiffness of buildings affected by tunnelling. Tunn. Undergr. Space Technol. 2018, 71, 47–61. [Google Scholar] [CrossRef]
- Boldini, D.; Losacco, N.; Bertolin, S.; Amorosi, A. Finite Element modelling of tunnelling-induced displacements on framed structures. Tunn. Undergr. Space Technol. 2018, 80, 222–231. [Google Scholar] [CrossRef]
- Franza, A.; Marshall, A.M.; Haji, T.; Abdelatif, A.O.; Carbonari, S.; Morici, M. A simplified elastic analysis of tunnel-piled structure interaction. Tunn. Undergr. Space Technol. 2017, 61, 104–121. [Google Scholar] [CrossRef]
- Shi, J.C.; Meng, X.; Zheng, Y.H.; Liu, Y.J.; Tian, H.Y.; Zhao, S.J.; Ren, H.J. Uneven settlement effect of LNG facilities integrally installed at marine construction site. Appl. Mech. Mater. 2015, 775, 252–258. [Google Scholar] [CrossRef]
- Duncan, J.M. Limitations of conventional analysis of consolidation settlement. J. Geotech. Eng. 1993, 119, 1333–1359. [Google Scholar] [CrossRef]
- Medvedkov, Y.V. The Concept of entropy in settlement pattern analysis. Pap. Reg. Sci. Assoc. 1967, 18, 165–168. [Google Scholar] [CrossRef]
- Vamvatsikos, D.; Cornell C, A. Incremental dynamic analysis. Earthq. Eng. Struct. Dyn. 2002, 31, 491–514. [Google Scholar] [CrossRef]
- Shome, N. Probabilistic seismic demand analysis of nonlinear structures. In Reliability of Marine Structures Program; Stanford University: Stanford, CA, USA, 1999; Available online: http://purl.stanford.edu/qp089qb1141 (accessed on 23 November 2018).
- Federal Emergency Management Agency. Prestandard and Commentary for the Seismic Rehabilitation of Buildings (FEMA356); Federal Emergency Management Agency: Washington, DC, USA, 2000. [Google Scholar]
- American Society of Civil Engineers. Seismic Rehabilitation of Existing Buildings, ASCE/SEI 41-06; American Society of Civil Engineers: Reston, VA, USA, 2007. [Google Scholar]
- CSI. SAP2000, Linear and Nonlinear Static and Dynamic Analysis and Design of 3D Structures: Basic Analysis Reference Manual; CSI: Berkeley, CA, USA, 2017. [Google Scholar]
- Chen, X.; Xie, W.; Xiao, Y.; Chen, Y.; Li, X. Progressive collapse analysis of SRC frame-RC core tube hybrid structure. Appl. Sci. 2018, 8, 2316. [Google Scholar] [CrossRef]
- Yang, W.; Bao, C.; Ma, X.; Zhang, S. Study on structural robustness of isolated structure based on seismic response. Appl. Sci. 2018, 8, 1686. [Google Scholar] [CrossRef]




















| No. | Event | Station | Peak Ground Acceleration (PGA)(g) |
|---|---|---|---|
| 1 | Northridge, 1994 | CanyonCountry-WLC | 0.410 |
| 2 | Loma, 1989 | Capitola 090 | 0.443 |
| 3 | Hecter Mine, 1999 | HECTOR | 0.337 |
| 4 | Kobe, 1995 | Shin-Osaka | 0.212 |
| 5 | Landers, 1992 | Yermo Fire Station | 0.245 |
| 6 | Majil, 1990 | UTC | 0.132 |
| 7 | Superstition hills, 1987 | POE | 0.300 |
| 8 | Cape, 1992 | Rio Dell Overpass FF | 0.549 |
| 9 | San, 1971 | LA-Hollywood Stor | 0.174 |
| 10 | Chi-Chi, Taiwan, 1999 | TCU045 | 0.220 |
| Performance Levels | Immediate Occupancy | Life Safety | Collapse Prevention |
|---|---|---|---|
| θmax | 0.7% | 2.5% | 5.0% |
© 2019 by the authors. Licensee MDPI, Basel, Switzerland. This article is an open access article distributed under the terms and conditions of the Creative Commons Attribution (CC BY) license (http://creativecommons.org/licenses/by/4.0/).
Share and Cite
Bao, C.; Xu, F.; Chen, G.; Ma, X.; Mao, M.; Zhang, S. Seismic Vulnerability Analysis of Structure Subjected to Uneven Foundation Settlement. Appl. Sci. 2019, 9, 3507. https://doi.org/10.3390/app9173507
Bao C, Xu F, Chen G, Ma X, Mao M, Zhang S. Seismic Vulnerability Analysis of Structure Subjected to Uneven Foundation Settlement. Applied Sciences. 2019; 9(17):3507. https://doi.org/10.3390/app9173507
Chicago/Turabian StyleBao, Chao, Fangze Xu, Gang Chen, Xiaotong Ma, Mingjie Mao, and Shangrong Zhang. 2019. "Seismic Vulnerability Analysis of Structure Subjected to Uneven Foundation Settlement" Applied Sciences 9, no. 17: 3507. https://doi.org/10.3390/app9173507
APA StyleBao, C., Xu, F., Chen, G., Ma, X., Mao, M., & Zhang, S. (2019). Seismic Vulnerability Analysis of Structure Subjected to Uneven Foundation Settlement. Applied Sciences, 9(17), 3507. https://doi.org/10.3390/app9173507

