Real-Time Monitoring of Indoor Air Quality with Internet of Things-Based E-Nose
Abstract
1. Introduction
2. Related Work
3. Materials and Methods
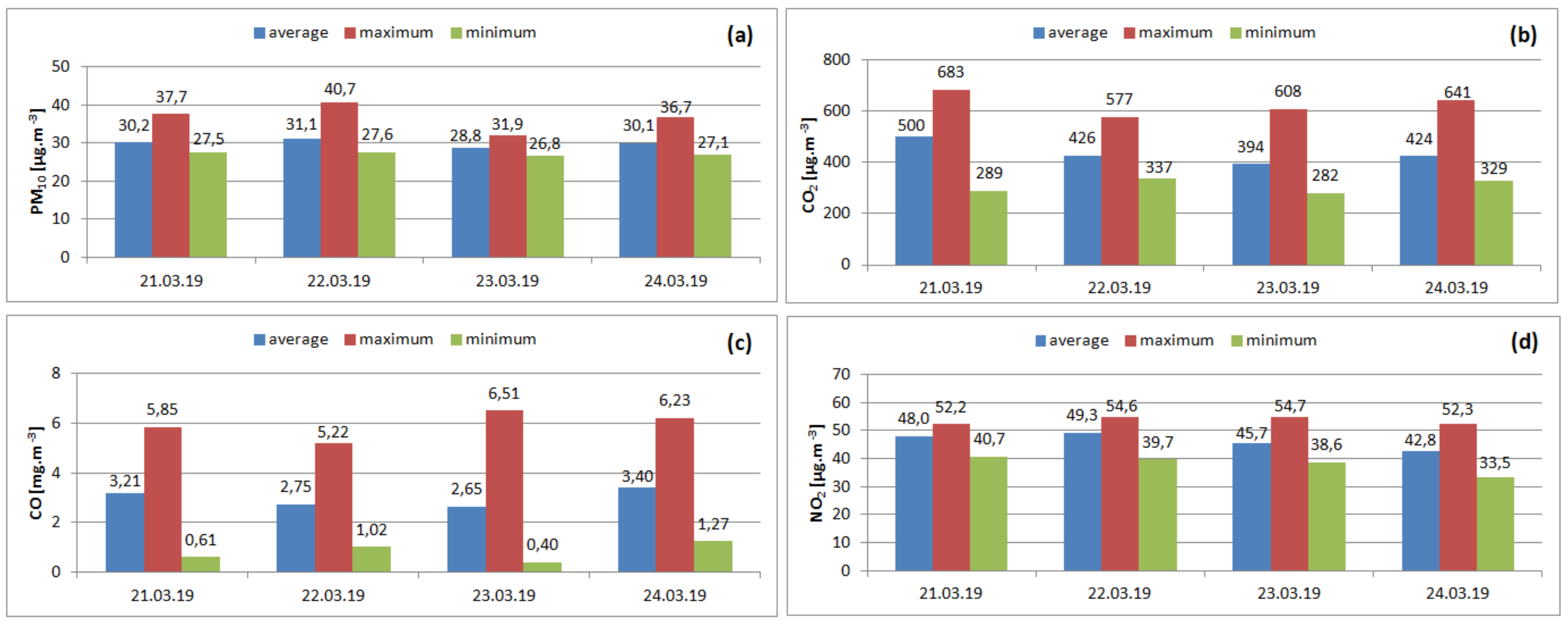
4. Results and Discussion
5. Conclusions
- IAQ is directly related to the number of people in the household and the activities carried out in the household.
- Activities such as cooking, sleeping, cleaning have a significant effect on CO, NO2 and CO2 gas concentrations.
- CO, NO2, CO2 gas concentration values of the house reach the highest level during the sleep period (period 1). During this period, PM10 concentration has the lowest value.
- PM10 concentration reaches the highest level in period 2, when daily routine tasks such as cleaning and house arrangement are carried out.
- When the daily maximum and minimum values were taken into consideration, there was a 16-fold daily maximum change on day 3 in CO concentration, with minimum values of 0.4 mg m−3 and maximum 6.51 mg m−3.
- The largest change in PM10 concentration was achieved with a minimum of 27.6 µg m−3 and a maximum of 40.7 µg m m−3 on day 2, resulting in a 47% change.
- Although CO and CO had the lowest concentration in period 3, NO2 had the lowest concentration in period 2.
- A rapid decrease in CO, NO2, CO2 gas concentrations was observed from the moment of natural ventilation, while a concurrent increase in PM10 was observed.
- In period 1, the highest positive correlations occurred between time–CO and CO–CO2; the lowest negative correlations occurred between CO–humidity and time–humidity.
- In period 2, the largest positive correlations occurred between CO–CO2 and CO–NO2, whereas the smallest negative correlations occurred between temp–humidity and time–CO.
- The highest positive correlations between time–CO, time–NO2 and CO–NO2 occurred in period 3. There was no negative correlation between the weather parameters and gas concentrations during this period.
Author Contributions
Funding
Conflicts of Interest
References
- Sharma, A.; Mitra, A.; Sharma, S.; Roy, S. Estimation of Air Quality Index from Seasonal Trends Using Deep Neural Network. In Proceedings of the International Conference on Artificial Neural Networks, Island of Rhodes, Greece, 5–7 October 2018; pp. 511–521. [Google Scholar]
- Leung, D.Y. Outdoor-indoor air pollution in urban environment: Challenges and opportunity. Front. Environ. Sci. 2015, 2, 69. [Google Scholar] [CrossRef]
- De Gennaro, G.; Dambruoso, P.R.; Loiotile, A.D.; Di Gilio, A.; Giungato, P.; Tutino, M.; Porcelli, F. Indoor air quality in schools. Environ. Chem. Lett. 2014, 12, 467–482. [Google Scholar] [CrossRef]
- Chen, M.; Yang, J.; Hu, L.; Hossain, M.S.; Muhammad, G. Urban healthcare big data system based on crowd sourced and cloud-based air quality indicators. IEEE Commun. Mag. 2018, 56, 14–20. [Google Scholar] [CrossRef]
- Marques, G. Ambient Assisted Living and Internet of Things. In Harnessing the Internet of Everything (IoE) for Accelerated Innovation Opportunities; IGI Global: Hershey, PA, USA, 2019; pp. 100–115. [Google Scholar]
- Wei, W.; Ramalho, O.; Mandin, C. Indoor air quality requirements in green building certifications. Build. Environ. 2015, 92, 10–19. [Google Scholar] [CrossRef]
- Neira, M.; Prüss-Ustün, A.; Mudu, P. Reduce air pollution to beat NCDs: From recognition to action. Lancet 2018, 392, 1178–1179. [Google Scholar] [CrossRef]
- Seguel, J.M.; Merrill, R.; Seguel, D.; Campagna, A.C. Indoor air quality. Am. J. Lifestyle Med. 2017, 11, 284–295. [Google Scholar] [CrossRef] [PubMed]
- Kampa, M.; Castanas, E. Human health effects of air pollution. Environ. Pollut. 2008, 151, 362–367. [Google Scholar] [CrossRef]
- Annesi-Maesano, I.; Baiz, N.; Banerjee, S.; Rudnai, P.; Rive, S.; Sinphonie Group. Indoor air quality and sources in schools and related health effects. J. Toxicol. Environ. Health Part B 2013, 16, 491–550. [Google Scholar] [CrossRef]
- Tong, Z.; Chen, Y.; Malkawi, A.; Liu, Z.; Freeman, R.B. Energy saving potential of natural ventilation in China: The impact of ambient air pollution. Appl. Energy 2016, 179, 660–668. [Google Scholar] [CrossRef]
- Chen, Y.; Tong, Z.; Wu, W.; Samuelson, H.; Malkawi, A.; Norford, L. Achieving natural ventilation potential in practice: Control schemes and levels of automation. Appl. Energy 2019, 235, 1141–1152. [Google Scholar] [CrossRef]
- Jones, A.P. Indoor air quality and health. Atmos. Environ. 1999, 33, 4535–4564. [Google Scholar] [CrossRef]
- Gökozan, H.; Taştan, M.; Sarı, A. Smart Cities and Management Strategies; 2017 Socio-Economic Strategies; Lambert Academic Publishing: Riga, Latvia, 2017; pp. 115–123. ISBN 978-3-330-06982-4. [Google Scholar]
- Gubbi, J.; Buyya, R.; Marusic, S.; Palaniswami, M. Internet of Things (IoT): A vision, architectural elements, and future directions. Future Gener. Comput. Syst. 2013, 29, 1645–1660. [Google Scholar] [CrossRef]
- Rathore, P.; Rao, A.S.; Rajasegarar, S.; Vanz, E.; Gubbi, J.; Palaniswami, M. Real-time urban microclimate analysis using internet of things. IEEE Internet Things J. 2018, 5, 500–511. [Google Scholar] [CrossRef]
- Taştan, M. IoT Based Wearable Smart Health Monitoring System. Celal Bayar Univ. J. Sci. 2018, 14, 343–350. [Google Scholar] [CrossRef]
- Pitarma, R.; Marques, G.; Caetano, F. Monitoring indoor air quality to improve occupational health. In New Advances in Information Systems and Technologies; Springer: Cham, Switzerland, 2016; pp. 13–21. [Google Scholar]
- Yang, Y.; Liu, L.; Xu, C.; Li, N.; Liu, Z.; Wang, Q.; Xu, D. Source apportionment and influencing factor analysis of residential indoor PM2. 5 in Beijing. Int. J. Environ. Res. Public Health 2018, 15, 686. [Google Scholar] [CrossRef] [PubMed]
- Canha, N.; Lage, J.; Galinha, C.; Coentro, S.; Alves, C.; Almeida, S. Impact of Biomass Home Heating, Cooking Styles, and Bread Toasting on the Indoor Air Quality at Portuguese Dwellings: A Case Study. Atmosphere 2018, 9, 214. [Google Scholar] [CrossRef]
- Rumchev, K.; Soares, M.; Zhao, Y.; Reid, C.; Huxley, R. The association between indoor air quality and adult blood pressure levels in a high-income setting. Int. J. Environ. Res. Public Health 2018, 15, 2026. [Google Scholar] [CrossRef]
- Wang, S.; Bolling, K.; Mao, W.; Reichstadt, J.; Jeste, D.; Kim, H.C.; Nebeker, C. Technology to Support Aging in Place: Older Adults’ Perspectives. Healthc. Multidiscip. Digit. Publ. Inst. 2019, 7, 60. [Google Scholar] [CrossRef]
- Alvarez-Campana, M.; López, G.; Vázquez, E.; Villagrá, V.; Berrocal, J. Smart CEI moncloa: An iot-based platform for people flow and environmental monitoring on a Smart University Campus. Sensors 2017, 17, 2856. [Google Scholar] [CrossRef]
- Cho, H. An Air Quality and Event Detection System with Life Logging for Monitoring Household Environments. In Smart Sensors at the IoT Frontier; Springer: Cham, Switzerland, 2017; pp. 251–270. [Google Scholar]
- Wong, M.; Yip, T.; Mok, E. Development of a personal integrated environmental monitoring system. Sensors 2014, 14, 22065–22081. [Google Scholar] [CrossRef]
- Salamone, F.; Danza, L.; Meroni, I.; Pollastro, M. A Low-Cost Environmental Monitoring System: How to Prevent Systematic Errors in the Design Phase through the Combined Use of Additive Manufacturing and Thermographic Techniques. Sensors 2017, 17, 828. [Google Scholar] [CrossRef] [PubMed]
- Popa, A.; Hnatiuc, M.; Paun, M.; Geman, O.; Hemanth, D.J.; Dorcea, D.; Ghita, S. An Intelligent IoT-Based Food Quality Monitoring Approach Using Low-Cost Sensors. Symmetry 2019, 11, 374. [Google Scholar] [CrossRef]
- Marques, G.; Pitarma, R. An indoor monitoring system for ambient assisted living based on internet of things architecture. Int. J. Environ. Res. Public Health 2016, 13, 1152. [Google Scholar] [CrossRef] [PubMed]
- Marques, G.; Pitarma, R. A cost-effective air quality supervision solution for enhanced living environments through the internet of things. Electronics 2019, 8, 170. [Google Scholar] [CrossRef]
- Marques, G.; Pitarma, R. Monitoring health factors in indoor living environments using internet of things. In Proceedings of the World Conference on Information Systems and Technologies, Madeira, Portugal, 11–13 April 2017; pp. 785–794. [Google Scholar]
- Marques, G.; Roque Ferreira, C.; Pitarma, R. A system based on the Internet of Things for real-time particle monitoring in buildings. Int. J. Environ. Res. Public Health 2018, 15, 821. [Google Scholar] [CrossRef] [PubMed]
- GP2Y1010AU0F: Compact Optical Dust Sensor. Available online: http://www.socle-tech.com/doc/IC%20Channel%20Product/sharp%20products.pdf (accessed on 11 June 2019).
- Zhengzhou Winsen Electronics Technology CO. Ltd. MH-Z14 CO2 Module Datasheet. 2013. Available online: http://www.futurlec.com/Datasheet/Sensor/MH-Z14.pdf (accessed on 17 June 2019).
- MICS-4514 Datasheet. Available online: http://files.manylabs.org/datasheets/MICS-4514.pdf (accessed on 11 June 2019).
- Aosong Electronics CO. Ltd. DHT22 Temperature and Humidity Sensor Datasheet. Available online: https://www.sparkfun.com/datasheets/Sensors/Temperature/DHT22.pdf (accessed on 13 June 2019).
- Hong, C.S.; Ghani, A.S.A.; Khairuddin, I.M. Development of an Electronic Kit for detecting asthma in Human Respiratory System. In Proceedings of the IOP Conference Series: Materials Science and Engineering, Yogyakarta, Indonesia, 7–8 December 2017; IOP Publishing: Bristol, UK, 2018; Volume 319, p. 012040. [Google Scholar]
- Bimaridi, A.; Putra, K.D.; Djunaedy, E.; Kirom, M.R. Assasment of Outside Air Supply for Split AC system–Part A: Affordable Instrument. Procedia Eng. 2017, 170, 248–254. [Google Scholar] [CrossRef]
- Suárez, J.I.; Arroyo, P.; Lozano, J.; Herrero, J.L.; Padilla, M. Bluetooth gas sensing module combined with smartphones for air quality monitoring. Chemosphere 2018, 205, 618–626. [Google Scholar] [CrossRef]
- McKercher, G.R.; Vanos, J.K. Low-cost mobile air pollution monitoring in urban environments: A pilot study in Lubbock, Texas. Environ. Technol. 2018, 39, 1505–1514. [Google Scholar] [CrossRef]
- Nguyen, T.N.T.; Ha, D.V.; Do, T.N.N.; Nguyen, V.H.; Ngo, X.T.; Phan, V.H.; Bui, Q.H. Air pollution monitoring network using low-cost sensors, a case study in Hanoi, Vietnam. In Proceedings of the IOP Conference Series: Earth and Environmental Science, Pan Pacific Hanoi, Vietnam, 23–24 January 2019; IOP Publishing: Bristol, UK, 2019; Volume 266, p. 012017. [Google Scholar]
- Liu, H.Y.; Schneider, P.; Haugen, R.; Vogt, M. Performance assessment of a low-cost PM2.5 sensor for a near four-month period in Oslo, Norway. Atmosphere 2019, 10, 41. [Google Scholar] [CrossRef]
- Budde, M.; El Masri, R.; Riedel, T.; Beigl, M. Enabling low-cost particulate matter measurement for participatory sensing scenarios. In Proceedings of the 12th International Conference on Mobile and Ubiquitous Multimedia, Lulea, Sweden, 2–5 December 2013; p. 19. [Google Scholar]
- Carminati, M.; Ferrari, G.; Sampietro, M. Emerging miniaturized technologies for airborne particulate matter pervasive monitoring. Measurement 2017, 101, 250–256. [Google Scholar] [CrossRef]
- Muangprathub, J.; Boonnam, N.; Kajornkasirat, S.; Lekbangpong, N.; Wanichsombat, A.; Nillaor, P. IoT and agriculture data analysis for smart farm. Comput. Electron. Agric. 2019, 156, 467–474. [Google Scholar] [CrossRef]
- Xie, J.; Gao, P.; Wang, W.; Xu, X.; Hu, G. Design of Wireless Sensor Network Bidirectional Nodes for Intelligent Monitoring System of Micro-irrigation in Litchi Orchards. IFAC-PapersOnLine 2018, 51, 449–454. [Google Scholar]
- Wijaya, D.R.; Sarno, R.; Zulaika, E.; Sabila, S.I. Development of mobile electronic nose for beef quality monitoring. Procedia Comput. Sci. 2017, 124, 728–735. [Google Scholar] [CrossRef]








| ID | Equipment Name | Types | Electronic Features |
|---|---|---|---|
| 1 | CO2 gas sensor | MH-Z14 [36,37] | Detection range 0–10000 ppm; operating voltage: 4–6 V; accuracy: ± 50 ppm ±5%; resolution: 5 ppm; output Voltage: 0.4–2 V; operating temperature: 0–50 °C |
| 2 | NO2, CO gas sensor | MICS-4514 [38,39,40] | Detection range 1–1000 ppm (CO); 0.05–5 ppm (NO2); operating voltage: 4.9–5.1 V; operating temperature: −35–85 °C; heating current: 58 mA |
| 3 | Dust sensor | GP2Y1010AU [41,42,43] | Operating voltage: 5 V; output voltage: 0.9 (no dust)–3.4 V; operating current: max 20 mA; operating temperature: −10 to 65 °C, accuracy ±15% |
| 4 | Temperature and Humidity sensor | DHT22 [44,45,46] | Temperature range: −40 °C to 80 °C; humidity range: 0% to 100%; operating voltage: 3.5–5.5 V; operating current: 60 uA; output: serial; resolution: 0.1 °C and ±1 rH%; accuracy: ±0.5 °C and ±1 rH%; resolution: Temperature and humidity are 16-bit. |
| Component | Cost ($) |
|---|---|
| ESP-32 Controller | 5 |
| GP2Y1010AU Sensor | 5 |
| MH-Z14 Sensor | 25 |
| MICS-4514 Sensor | 20 |
| DHT22 Sensor | 3 |
| 5V Fan | 3 |
| 5V Power Sup. | 2 |
| PCB | 3 |
| Plastic Box | 5 |
| Cable, Socket | 5 |
| Power Supply/Bank | 15 |
| Arduino IDE | free |
| Blynk IoT Platform | 5 |
| Total Cost | 100 $ |
| Time | CO | NO2 | CO2 | Temp | Humidity | PM10 | 1 | |||
|---|---|---|---|---|---|---|---|---|---|---|
| Time | 1 | 0.979 | −0.941 | 0.911 | −0.866 | −0.944 | −0.251 | |||
| CO | 1 | −0.919 | 0.943 | −0.907 | −0.969 | −0.254 | ||||
| NO2 | 1 | −0.841 | 0.755 | 0.871 | 0.245 | 0 | ||||
| CO2 | 1 | −0.886 | −0.918 | −0.213 | ||||||
| Temp. | 1 | 0.941 | 0.248 | |||||||
| Humidity | 1 | 0.258 | ||||||||
| PM10 | 1 | −1 |
| Time | CO | NO2 | CO2 | Temp | Humidity | PM10 | 1 | |||
|---|---|---|---|---|---|---|---|---|---|---|
| Time | 1 | −0.844 | −0.669 | −0.752 | 0.640 | −0.735 | −0.242 | |||
| CO | 1 | 0.881 | 0.966 | −0.266 | 0.415 | 0.014 | ||||
| NO2 | 1 | 0.861 | −0.098 | 0.254 | −0.092 | 0 | ||||
| CO2 | 1 | −0.186 | 0.314 | −0.020 | ||||||
| Temp. | 1 | −0.915 | −0.327 | |||||||
| Humidity | 1 | 0.317 | ||||||||
| PM10 | 1 | −1 |
| Time | CO | NO2 | CO2 | Temp | Humidity | PM10 | 1 | |||
|---|---|---|---|---|---|---|---|---|---|---|
| Time | 1 | 0.968 | 0.846 | 0.622 | 0.234 | 0.304 | 0.407 | |||
| CO | 1 | 0.833 | 0.671 | 0.213 | 0.296 | 0.379 | ||||
| NO2 | 1 | 0.474 | 0.213 | 0.328 | 0.347 | 0 | ||||
| CO2 | 1 | 0.051 | 0.001 | 0.192 | ||||||
| Temp. | 1 | 0.629 | 0.230 | |||||||
| Humidity | 1 | 0.169 | ||||||||
| PM10 | 1 | −1 |
© 2019 by the authors. Licensee MDPI, Basel, Switzerland. This article is an open access article distributed under the terms and conditions of the Creative Commons Attribution (CC BY) license (http://creativecommons.org/licenses/by/4.0/).
Share and Cite
Taştan, M.; Gökozan, H. Real-Time Monitoring of Indoor Air Quality with Internet of Things-Based E-Nose. Appl. Sci. 2019, 9, 3435. https://doi.org/10.3390/app9163435
Taştan M, Gökozan H. Real-Time Monitoring of Indoor Air Quality with Internet of Things-Based E-Nose. Applied Sciences. 2019; 9(16):3435. https://doi.org/10.3390/app9163435
Chicago/Turabian StyleTaştan, Mehmet, and Hayrettin Gökozan. 2019. "Real-Time Monitoring of Indoor Air Quality with Internet of Things-Based E-Nose" Applied Sciences 9, no. 16: 3435. https://doi.org/10.3390/app9163435
APA StyleTaştan, M., & Gökozan, H. (2019). Real-Time Monitoring of Indoor Air Quality with Internet of Things-Based E-Nose. Applied Sciences, 9(16), 3435. https://doi.org/10.3390/app9163435

