Spring Failure Analysis of Mining Vibrating Screens: Numerical and Experimental Studies
Abstract
1. Introduction
2. Finite Element Model
2.1. Modeling
- Beam model. The vibrating screen has one exciting beam, two reinforcement beams, and a dozen bearing beams. In order to ensure that the calculation is accurate and it is easy to load the alternating forces, SOLID elements are adopted for the beam models, as shown in Figure 2a–c;
- Lateral plate model. The mining vibrating screen has a pair of lateral plates. The dimensions of a single lateral plate are 7010 mm × 3174 mm × 10 mm; thus, the thickness is far smaller than the length and height. In this paper, SHELL181 elements are used to model the lateral plate, as shown in Figure 2e, to ensure the calculation accuracy and efficiency;
- Bolted connection model. The beam flanges, lateral plates, and spring seats are connected by bolts in practice. In this paper, beam elements are adopted to simulate bolts for improving the calculation efficiency, as shown in Figure 2d. Hard points are created at the bolt positions of all structures, and multiple linear BEAM188 elements are used to connect the mesh nodes around the hard points so as to maintain the same degree of freedom of these hard points, which can reflect the bolted connection relationship;
- Spring seat and spring model. The mining vibrating screen has two loading side spring seats and two unloading side spring seats. Four elastic supports comprised of linear metal cylindrical helical springs are mounted under the spring seats. In this paper, the SHELL181 elements are adopted for modeling the spring seats, and the linear SPRING elements are adopted to simulate each elastic support. The SPRING elements are established at the centre of the spring seat baseplate in three mutually perpendicular directions (x, y, z), and the other end of each SPRING element is fixed, as shown in Figure 2f,g;
- Exciter model. In practice, the mining vibrating screen has two exciters, which are bolted on the exciting beam (region A and region B). Since the exciter mass is much lower than the mining vibrating screen, the inertia of the whole system is not affected by the exciters. Therefore, the point mass units are adopted to simulate the exciter mass of region A and region B in this paper. Meanwhile, the stiffening caused by the exciters is negligible, because it is far less than the system alternating forces. In this paper, the alternating forces are applied on region A and region B.
2.2. Simulation Results
3. Spring Failure Analysis
3.1. Single Spring Failure Analysis
3.2. Double Spring Failure Analysis
3.3. Discussion
- Under failure kind 1 condition: In the x direction, all AVCs will increase. In the y direction, the AVC , , and will decrease, while AVC will decrease. In the z direction, the AVC and will increase, while the AVC and will decrease;
- Under failure kind 2 condition: In the x direction, all AVCs will decrease. In the y direction, the AVC , , and will decrease, while the AVC will decrease. In the z direction, the AVC and will increase, while the AVC and will decrease;
- Under failure kind 3 condition: In the x direction, all AVCs will be indeterminate. In the y direction, the AVC and will decrease, while the AVC and will be indeterminate. In the z direction, the AVC will decrease, the AVC will increase, and and will be indeterminate;
- Under failure kind 4 condition: In the x direction, all AVCs will increase. In the y direction, the AVC and will decrease, and the AVC and will be indeterminate. In the z direction, all AVCs will be indeterminate;
- Under failure kind 5 condition: In the x direction, all AVCs will be indeterminate. In the y direction, the AVC and will decrease, and the AVC and will be indeterminate. In the z direction, the AVC will decrease, the AVC will increase, and the AVC and will be indeterminate;
- Under failure kind 6 condition: In the x direction, all AVCs will decrease. In the y direction, the AVC and will decrease, and the AVC and will be indeterminate. In the z direction, all AVCs will be indeterminate.
4. Validation of Developed Diagnosis Approach
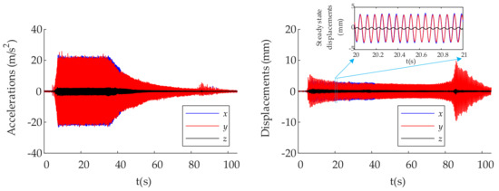
- Start state. The driving motor causes the mining vibrating screen to vibrate, and the accelerations and displacements rapidly increase. In this state, as the motor speed increases, the mining vibrating screen passes through the resonance region quickly;
- Steady state. The accelerations and displacements gradually change into stable ranges. In this state, the system does not resonate, so it is suitable for long-term stable working;
- Outage state. The accelerations and displacements decrease gradually at first, then increase for a period of time, and finally decrease to zero. In this state, as the motor speed decreases, resonance occurs when the system passes through the resonance region. The mining vibrating screen halts at last.
5. Conclusions
Author Contributions
Funding
Conflicts of Interest
Abbreviations
| x | The x direction |
| y | The y direction |
| z | The z direction |
| i | The elastic support sequence number |
| j | The spring stiffness sequence number |
| d | One of the x, y, and z directions |
| Normal spring stiffness in the y direction | |
| Failure spring stiffness in the y direction | |
| Stiffness variation coefficient (SVC) | |
| Normal amplitude | |
| Failure amplitude | |
| Amplitude variation coefficient (AVC) |
References
- Peng, L.P.; Jiang, H.S.; Chen, X.H.; Liu, D.Y.; Feng, H.H.; Zhang, L.; Zhao, Y.M.; Liu, C.S. A review on the advanced design techniques and methods of vibrating screen for coal preparation. Powder Technol. 2019, 347, 136–147. [Google Scholar] [CrossRef]
- Yang, X.D.; Wu, J.D.; Jiang, H.S.; Qiu, W.Q.; Liu, C.S. Dynamic Modeling and Parameters Optimization of Large Vibrating Screen with Full Degree of Freedom. Shock Vib. 2019, 12. [Google Scholar] [CrossRef]
- Makinde, O.A.; Ramatsetse, B.I.; Mpofu, K. Review of vibrating screen development trends: Linking the past and the future in mining machinery industries. Int. J. Miner. Process. 2015, 145, 17–22. [Google Scholar] [CrossRef]
- Legendi, A.; Rece, L.; Pironea, A.D.B.; Florescu, V. Innovative Calculation Method of the Productivity of Vibrating Screens Used in Mineral Aggregates Sorting. Rom. J. Transp. Infrastruct. 2018, 7, 1–13. [Google Scholar] [CrossRef]
- Liu, Y. Study on the Dynamic Characteristic and Experiments of Permanent Deformation Failure of Mining Vibrating Screen Springs. Ph.D. Thesis, China University of Mining & Technology-Beijing, Beijing, China, 2017. [Google Scholar]
- Wang, A.; Cheng, X.; Meng, G.; Xia, Y.; Wo, L.; Wang, Z. Dynamic analysis and numerical experiments for balancing of the continuous single-disc and single-span rotor-bearing system. Mech. Syst. Signal Procces. 2017, 86, 151–176. [Google Scholar] [CrossRef]
- Moncada, M.; Rodriguez, C.G. Dynamic Modeling of a Vibrating Screen Considering the Ore Inertia and Force of the Ore over the Screen Calculated with Discrete Element Method. Shock Vib. 2018, 13. [Google Scholar] [CrossRef]
- Slepyan, L.I.; Slepyan, V.I. Coupled mode parametric resonance in a vibrating screen model. Mech. Syst. Signal Procces. 2014, 43, 295–304. [Google Scholar] [CrossRef]
- Trumic, M.; Magdalinovic, N. New model of screening kinetics. Miner. Eng. 2011, 24, 42–49. [Google Scholar] [CrossRef]
- Makinde, O.A.; Mpofu, K.; Ramatsetse, B.I.; Adeyeri, M.K.; Ayodeji, S.P. A maintenance system model for optimal reconfigurable vibrating screen management. J. Ind. Eng. Int. 2018, 14, 521–535. (In German) [Google Scholar] [CrossRef]
- Baragetti, S. Innovative structural solution for heavy loaded vibrating screens. Miner. Eng. 2015, 84, 15–26. [Google Scholar] [CrossRef]
- Xiao, J.; Tong, X. Characteristics and efficiency of a new vibrating screen with a swing trace. Particuology 2013, 11, 601–606. [Google Scholar] [CrossRef]
- Song, B.C.; Liu, C.S.; Peng, L.P.; Li, J. Dynamic analysis of new kind elastic screen surface with multi degree of freedom and experimental validation. J. Cent. South Univ. 2015, 22, 1334–1341. [Google Scholar] [CrossRef]
- Li, Z.F.; Tong, X.; Zhou, B.; Ge, X.L.; Ling, J.X. Design and Efficiency Research of a New Composite Vibrating Screen. Shock Vib. 2018, 8. [Google Scholar] [CrossRef]
- Baragetti, S.; Villa, F. A dynamic optimization theoretical method for heavy loaded vibrating screens. Nonlinear Dyn. 2014, 78, 609–627. [Google Scholar] [CrossRef]
- Peng, L.P.; Liu, C.S.; Song, B.C.; Wu, J.D.; Wang, S. Improvement for design of beam structures in large vibrating screen considering bending and random vibration. J. Cent. South Univ. 2015, 22, 3380–3388. [Google Scholar] [CrossRef]
- Li, Z.; Tong, X. Modeling and parameter optimization for vibrating screens based on AFSA-SimpleMKL. Chin. J. Eng. Des. 2016, 23, 181–187. [Google Scholar]
- Wu, X.Q.; Li, Z.F.; Xia, H.H.; Tong, X. Vibration Parameter Optimization of a Linear Vibrating Banana Screen Using DEM 3D Simulation. J. Eng. Technol. Sci. 2018, 50, 346–363. [Google Scholar] [CrossRef]
- Lyashenko, V.I.; Dyatchin, V.Z.; Franchuk, V.P. Improvement of vibrating feeders-screens for mining and metallurgical industry. Izvestiya vysshikh uchebnykh zavedenii. Chernaya Metall. 2018, 61, 470–477. [Google Scholar]
- Li, Z.F.; Li, K.Y.; Ge, X.L.; Tong, X. Performance optimization of banana vibrating screens based on PSO-SVR under DEM simulations. J. Vibroeng. 2019, 21, 28–39. [Google Scholar]
- Dong, K.J.; Wang, B.; Yu, A.B. Modeling of Particle Flow and Sieving Behavior on a Vibrating Screen: From Discrete Particle Simulation to Process Performance Prediction. Ind. Eng. Chem. Res. 2013, 52, 11333–11343. [Google Scholar] [CrossRef]
- Jiang, H.S.; Zhao, Y.M.; Duan, C.L.; Yang, X.L.; Liu, C.S.; Wu, J.D.; Qiao, J.P.; Diao, H.R. Kinematics of variable-amplitude screen and analysis of particle behavior during the process of coal screening. Powder Technol. 2017, 306, 88–95. [Google Scholar] [CrossRef]
- Wang, Z.Q.; Peng, L.P.; Zhang, C.L.; Qi, L.; Liu, C.S.; Zhao, Y.M. Research on impact characteristics of screening coals on vibrating screen based on discrete-finite element method. Energy Sources Part A Recovery Util. Environ. Effects 2019, 14. [Google Scholar] [CrossRef]
- Jiang, Y.Z.; He, K.F.; Dong, Y.L.; Yang, D.L.; Sun, W. Influence of Load Weight on Dynamic Response of Vibrating Screen. Shock Vib. 2019, 8. [Google Scholar] [CrossRef]
- Peng, L.P.; Liu, C.S.; Li, J.; Wang, H. Static-deformation based fault diagnosis for damping spring of large vibrating screen. J. Cent. South Univ. 2014, 21, 1313–1321. [Google Scholar] [CrossRef]
- Peng, L.P.; Liu, C.S.; Wu, J.D.; Wang, S. Stiffness identification of four-point-elastic-support rigid plate. J. Cent. South Univ. 2015, 22, 159–167. [Google Scholar] [CrossRef]
- Peng, L.; Liu, C.; Wang, H. Health identification for damping springs of large vibrating screen based on stiffness identification. J. China Coal Soc. 2016, 41, 1568–1574. [Google Scholar]
- Rodriguez, C.G.; Moncada, M.A.; Dufeu, E.E.; Razeto, M.I. Nonlinear Model of Vibrating Screen to Determine Permissible Spring Deterioration for Proper Separation. Shock Vib. 2016, 2016, 1–7. [Google Scholar] [CrossRef]
- Liu, Y.; Suo, S.; Meng, G.; Shang, D.; Bai, L.; Shi, J. A Theoretical Rigid Body Model of Vibrating Screen for Spring Failure Diagnosis. Mathematics 2019, 7, 246. [Google Scholar] [CrossRef]
- Fan, Y.; Collet, M.; Ichchou, M.; Li, L.; Bareille, O.; Dimitrijevic, Z. Energy flow prediction in built-up structures through a hybrid finite element/wave and finite element approach. Mech. Syst. Signal Procces. 2016, 66, 137–158. [Google Scholar] [CrossRef]
- Wang, Y.; Liang, M.; Xiang, J. Damage detection method for wind turbine blades based on dynamics analysis and mode shape difference curvature information. Mech. Syst. Signal Procces. 2014, 48, 351–367. [Google Scholar] [CrossRef]
- Wang, T.Y.; Han, Q.K.; Chu, F.L.; Feng, Z.P. Vibration based condition monitoring and fault diagnosis of wind turbine planetary gearbox: A review. Mech. Syst. Signal Procces. 2019, 126, 662–685. [Google Scholar] [CrossRef]
- Xie, Y.; Chen, P.; Li, F.; Liu, H.S. Electromagnetic forces signature and vibration characteristic for diagnosis broken bars in squirrel cage induction motors. Mech. Syst. Signal Procces. 2019, 123, 554–572. [Google Scholar] [CrossRef]
- Bąk, Ł.; Noga, S.; Skrzat, A.; Stachowicz, F. Dynamic analysis of vibrating screener system. J. Phys. Conf. Ser. 2013, 451, 1–7. [Google Scholar] [CrossRef]
- Bąk, Ł.; Noga, S.; Stachowicz, F. The experimental investigation of the screen operation in the parametric resonance conditions. Acta Mech. Autom. 2015, 9, 191–194. [Google Scholar] [CrossRef][Green Version]
- Ministry of Industry and Information Technology of the People’s Republic of China. Jb/t 7892-2010, Linear Vibrating Screen with Box Vibrator; China Machine Press: Beijing, China, 2010. [Google Scholar]















| Parameters | /(N/m) | /(N/m) | /(N/m) | /(N/m) |
| value | 353,010 | 470,680 | 353,010 | 470,680 |
| parameters | /(N/m) | /(N/m) | /(N/m) | /(N/m) |
| value | 931,800 | 1,242,400 | 931,800 | 1,242,400 |
| parameters | /(N/m) | /(N/m) | /(N/m) | /(N/m) |
| value | 353,010 | 470,680 | 353,010 | 470,680 |
| Kind | k1 | k2 | k3 | k4 |
|---|---|---|---|---|
| 1 | failure | normal | normal | normal |
| 2 | normal | failure | normal | normal |
| 3 | failure | failure | normal | normal |
| 4 | failure | normal | failure | normal |
| 5 | failure | normal | normal | failure |
| 6 | normal | failure | normal | failure |
| Failure Kind | AVCs | |||||||||||
|---|---|---|---|---|---|---|---|---|---|---|---|---|
| 1 | + 1 | + | + | + | − 2 | − | − | + | − | − | + | + |
| 2 | − | − | − | − | − | − | + | − | − | + | + | − |
| 3 | ± 3 | ± | ± | ± | − | − | ± | ± | − | ± | + | ± |
| 4 | + | + | + | + | − | ± | − | ± | ± | ± | ± | ± |
| 5 | ± | ± | ± | ± | ± | − | − | ± | ± | − | ± | + |
| 6 | − | − | − | − | ± | − | ± | − | ± | ± | ± | ± |
| Parameters | Value/Range |
|---|---|
| Sample frequency | 2500 Hz |
| Sampling resolution | 16 |
| Frequency range | 1–10 kHz |
| Signal amplification ratio | 1:3 |
| Output voltage range | ±5000 mV |
| Acceleration range | 0–50 g |
| Sensor sensitivity | 5 mV/ms−2 |
| Directions | Amplitudes (mm) | |||
|---|---|---|---|---|
| Spring Seat 1 | Spring Seat 2 | Spring Seat 3 | Spring Seat 4 | |
| x | 6.271 | 6.258 | 6.185 | 6.202 |
| y | 6.613 | 6.096 | 6.694 | 6.116 |
| z | 0.534 | 0.712 | 0.624 | 0.867 |
© 2019 by the authors. Licensee MDPI, Basel, Switzerland. This article is an open access article distributed under the terms and conditions of the Creative Commons Attribution (CC BY) license (http://creativecommons.org/licenses/by/4.0/).
Share and Cite
Liu, Y.; Meng, G.; Suo, S.; Li, D.; Wang, A.; Cheng, X.; Yang, J. Spring Failure Analysis of Mining Vibrating Screens: Numerical and Experimental Studies. Appl. Sci. 2019, 9, 3224. https://doi.org/10.3390/app9163224
Liu Y, Meng G, Suo S, Li D, Wang A, Cheng X, Yang J. Spring Failure Analysis of Mining Vibrating Screens: Numerical and Experimental Studies. Applied Sciences. 2019; 9(16):3224. https://doi.org/10.3390/app9163224
Chicago/Turabian StyleLiu, Yue, Guoying Meng, Shuangfu Suo, Dong Li, Aiming Wang, Xiaohan Cheng, and Jie Yang. 2019. "Spring Failure Analysis of Mining Vibrating Screens: Numerical and Experimental Studies" Applied Sciences 9, no. 16: 3224. https://doi.org/10.3390/app9163224
APA StyleLiu, Y., Meng, G., Suo, S., Li, D., Wang, A., Cheng, X., & Yang, J. (2019). Spring Failure Analysis of Mining Vibrating Screens: Numerical and Experimental Studies. Applied Sciences, 9(16), 3224. https://doi.org/10.3390/app9163224

