You are currently viewing a new version of our website. To view the old version click .
Applied Sciences
  • Article
  • Open Access

10 July 2019

Evaluation of Short-Term Aging Protocol for Asphalt Mixtures

,
,
and
1
Department of Civil & Architectural Engineering, Qatar University, P.O. Box 2713, Doha, Qatar
2
LS Engineering and Consultant, Franklin, ACT 2913, Australia
3
Department of Civil Engineering, University of Idaho, Moscow, ID 83844-1022, USA
4
WSP Australia, Canberra, ACT 2600, Australia
This article belongs to the Section Civil Engineering

Abstract

Asphalt mixtures are subjected to short-term aging during the production, placement, and compaction processes. Proper evaluation of asphalt pavement performance relies on the accurate characterization of asphalt mixtures during the design stage. In this study, three different loose asphalt mixtures often used in Qatar were evaluated to develop a laboratory short-term aging procedure. Sample mixtures 1 and 3 were collected from a construction site, while mixture 2 was obtained from an asphalt plant. Virgin aggregates and binders were also collected to reproduce the mixtures in the laboratory. Laboratory-produced mixtures were conditioned at 135 °C using various time durations. The mechanical properties of laboratory-produced mixtures were compared to those of mixtures produced on site. The results of the mechanical and binder testing demonstrated that the proper short-term aging protocol for asphalt mixtures often used in road construction in the State of Qatar would involve heating asphalt mixtures for 4 h at 135 °C before laboratory compaction.

1. Introduction

The State of Qatar is investing heavily in infrastructure and construction projects and almost 95% of these investments are spent in developing road transport infrastructures [1]. About $14 billion have been announced for the development and improvement of the road network and infrastructure by the year 2019 [2]. Most roads are built using asphalt mixtures in Qatar. To ensure the construction of high-quality pavements with long service lives, proper evaluation of the materials’ properties and the ability of these materials to stand up to traffic loading and weather conditions is essential.
In a hot mix asphalt (HMA) application, an asphalt mixture is produced at an elevated temperature prescribed by the manufacturer. The asphalt mixture is then transported to the construction site, laid down, and compacted to prepare an asphalt pavement layer. Placement and compaction temperature is maintained at a minimum to produce a quality and well-performing pavement. During mixing, aggregates are coated by a very thin film of asphalt binder. These films are exposed to air at high temperature for several hours, leading to a significant change in the rheological properties of the asphalt binder. This change in the rheological properties of the asphalt mixture during production, hauling/storage, and compaction is known as short-term aging. Long-term aging occurs in the asphalt pavement during in-service periods throughout its life. Aging is an inevitable part of asphalt pavement and affects its performance in many ways.
The ability to simulate aging in asphalt binders and mixtures produced in the laboratory has been studied extensively [3,4,5,6,7,8]. Laboratory mixture conditioning protocols have been developed and procedures have been adopted for use in binder specifications and mixture design. It was generally accepted earlier that laboratory aging represents field aging even though their performance results were not same [9]. Due to many changes in asphalt technology, the validity of current mix design methods has been questioned. In this study, short-term aging protocols for asphalt mixtures commonly used in the State of Qatar and the region of the Middle East have been evaluated.

1.1. Background

There are several mechanisms that cause asphalt mixture aging. Volatilization and oxidation are known as the biggest contributors among them [3,10]. A lighter molecular weight can vaporize and escape into the atmosphere at high temperatures [11,12]. Viscosity may increase from 150% up to 400% [13,14] depending on the speed with which volatilization takes place. Due to volatilization, a significant increase in modulus and decrease in phase angle were also observed by Cui et al. [15]. Binders are also subjected to aging due to oxidation, which causes significant changes in the physical and mechanical properties of asphalt.
During short-term aging periods, the asphalt binders are exposed to elevated temperatures which enhance the aging mechanisms, especially volatilization. Moreover, a longer hauling distance between the plant and construction site, a delay, and/or increased paving time may cause excessive short-term aging. An asphalt mixture tends to become stiffer and its performance is affected when aged. Although stiffening of the asphalt mixture should be considered a benefit due to its enhanced resistance and load distribution to permanent deformation, it also causes embrittlement of the mixture, thus making it to more susceptible to thermal/fatigue cracking and moisture damage. A detailed work on asphalt aging; its mechanisms, effects, and performances; and methods to retard aging was provided by Sirin et al. [16].
To simulate the short-term aging of an asphalt mixture, AASHTO R30 [17] recommends curing an asphalt mixture for 4 h at 135 °C for performance testing. However, the aging rate may vary depending on various factors such as binder type and source, aggregate gradation and absorption, plant type, mixing and discharge temperatures, and silo storage time [12,18,19,20,21,22,23]. Bell et al., 1994 [3] conducted a comprehensive study to evaluate the aging of asphalt mixtures and concluded that the AASHTO short-term aging protocol simulates asphalt mixture aging adequately well except for a few conservative predictions. This protocol was also reported to be adequate by other researchers in the United States [24]. Another extensive investigation was conducted by Aschenbrener and Far [18] in Colorado, United States. In this study, mixture samples were conditioned with different durations to develop a protocol which simulates short-term aging. It was recommended that laboratory-produced mixture samples should be conditioned for 2 h at the field compaction temperature so that asphalt aging and absorption which take place at the mixing plant can be simulated. Different aging protocols have also been studied by Epps Martin et al. [6]. They recommended conditioning laboratory mixtures at 135 °C for 2 h prior to compaction.

1.2. Objectives

Researchers [3,5,25] have indicated a need of further evaluation of the aging protocol, including a range of variables such as material types, binders, factors affecting mixture production, and environmental conditions. The recent NCHRP 09-52 project by Newcomb et al. [9] demonstrated that conditioning an asphalt mixture at 135 °C for 2 h simulates the short-term aging level in the field. The new NCHRP 09-61 project [26] will focus on developing practical laboratory aging methods to accurately simulate short- and long-term aging of asphalt binders.
Clearly, there is a dissimilarity in short-term aging conditioning protocols due to changes in asphalt mixture characteristics and plant operations as well as the lack of studies specifically relating to aging of asphalt mixtures in Qatar. Furthermore, in mechanistic and performance-based designs, dynamic modulus, rut, and fatigue testing is conducted on compacted specimens. Short-term conditioning of an asphalt mixture to simulate plant aging is a prerequisite before the sample is compacted. Therefore, it is of utmost importance that the short-term conditioning is an appropriate protocol that is representative of typical asphalt mixtures in the country. Hot mix asphalt pavements are exposed to very high temperatures in the Arabian Gulf, including Qatar. The study herein is part of a research investigation of aging of asphalt mixtures in Qatar. The objective of this research is to evaluate the short-term aging of asphalt mixtures to construct pavements with a long service life. In particular, this study was conducted to validate the existing short-term aging protocol and propose an appropriate one that is representative of asphalt mixtures and plant operations, if required. Evaluation of short-term aging protocols is one of the first attempts in this region of such extreme weather conditions and involves a range of variables including both unmodified and modified binder, base, and wearing mixture as well as a mixture from a plant and construction site. The long-term aging evaluation was presented in a separate paper by Sirin et al. [27].

2. Experimental Investigation

The experimental investigation included collection of loose mixtures from construction sites and an asphalt plant, which were then compacted to determine dynamic modulus in the asphalt mixture performance tester (AMPT). The researchers also collected aggregates and binders from the plant, reproduced the same mixtures in the lab, and then conditioned them by using different aging conditions. Specimens were prepared from lab mixes and results were compared with those obtained from field/plant mixes. To supplement the mixture study, binders were also recovered from the lab and field mixtures, and a comparison was made between them.

2.1. Description of Construction Sites and Collection of Mixtures

Mixture 1 was collected from a construction site during the laying and compacting of the base layer portion of road pavement, as shown in Figure 1a. The construction site is an extension of the North road project in Qatar. This road connects traffic from Al Shamal road with Al-Khor community and a major industrial area called Ras Laffan. Every day, thousands of trucks are expected to run on this route. Mixture 3 was also collected from the construction site during the laying of the wearing course of the Orbital highway in Dukhan. The Orbital highway is another major road in Qatar connecting the port in Mesaieed all the way to Al Khor and Ras Laffan in the north. Mixture 2 was collected from an asphalt plant in Doha. This plant mix represents a typical wearing course layer with an unmodified binder used in Qatar. All the mixes were filled in a cardboard box, as shown in Figure 1b. Mixtures 1 and 3 were transported instantly after mixing at the plant, and the transportation time from the plant to the construction site was approximately 0.5 h. For mixture 2, the mixture was collected just after mixing at the plant and before going to the silo.
Figure 1. (a) Asphalt paver and (b) collection of loose mixtures.

2.2. Mixture Characteristics

Gabbro aggregate was used to prepare the mixtures obtained from the construction site and the plant. All the mixtures’ characteristics can be seen in Table 1. The aggregate gradations for mixtures 1–3 are shown in Figure 2, Figure 3 and Figure 4, respectively. Mixtures 1 and 2 were manufactured using an unmodified binder (Pen 60/70), while mixture 3 was prepared using a modified binder (PG 76-10). The optimum binder content for mixtures 1–3 were 3.5%, 4.1%, and 4.0%, respectively. It should be noted that Qatar is a small country and only limited types of aggregate and binders are used. Gabbro has been used in almost every case of road construction here until recent efforts were made to use recycled and local limestone aggregate. The binders used were Pen 60/70 and PG 76-10. Therefore, the mixture used in this study was representative of the asphalt materials used in this country.
Table 1. Mixture characteristics.
Figure 2. Gradation of base course field loose mixture (mixture 1).
Figure 3. Gradation of wearing course plant loose mixture (mixture 2).
Figure 4. Gradation of wearing coarse field loose mixture (mixture 3).

2.3. Mixture Conditioning and Sample Preparation for AMPT Testing

Laboratory compacted specimens were prepared from loose mixtures. Before compacting, the cardboard box filled with the mixture was placed in an oven at the compaction temperature (e.g., 144 °C) for 1.5 h for ease of handling and compaction. There is always a concern of aging the mixture during this extended period of heating and any unwanted change in mixture properties. Hence, the oven heating time of the boxed mixtures was kept low enough to just break the materials and spread them on a tray to achieve a uniform compaction temperature. Furthermore, to counter the concern, binders were recovered from both mixtures before and after 1.5 h of heating and tested in a Brookfield viscometer (discussed later). After heating the loose mixtures, specimens were compacted to 7% ± 0.5% air voids using a Servopac gyratory compactor (SGC). The SGC compacted specimens were 150 mm in diameter and 178 mm in height. The specimens were then cored and cut to 100 mm diameter by 150 mm height and tested in the AMPT in order to obtain the mechanical properties of the mixtures.
Simultaneously, the virgin aggregate and binders were also collected, and laboratory mixtures were prepared with exactly the same mix design as that of the loose mixtures at the site (i.e., mixtures 1–3 as shown in Figure 2, Figure 3 and Figure 4). Then, these lab mixtures were exposed to different aging conditions to simulate the field/plant-produced mixtures. Specimens with similar dimensions and air void levels were prepared and tested in the AMPT. The testing program details of the laboratory-prepared mixtures for short-term aging evaluation are given in Table 2. Note that the specimen ID presents information about aging time and duration; for example, M1_S135T2 refers to: M1 means mixture 1, S135 means short-term aging temperature of 135 °C, and T2 means short-term aging duration (time) of 2 h.
Table 2. Testing program details for laboratory specimens.

2.4. Testing of AMPT Specimens

In order to determine the mechanical properties of the specimens, such as the dynamic modulus (|E*|) and phase angle (δ), the specimens were tested in an AMPT testing system according to AASHTO T 342-11 [28]. This machine consists of a confining pressure system and an environmental chamber that can control temperatures from 4 to 70 °C. Three different temperatures (4, 20, and 40 °C) were used to test the specimens. Specimens were subjected to different loading frequencies depending on their testing temperature. For each testing condition, two samples were tested.
A master curve describes the viscoelastic property at the reference temperature and over a range of time/frequency. Also, mechanical properties can be estimated over a range of temperature and times (or frequencies) by utilizing the time–temperature superposition principle. Comparisons can also be made between linear viscoelastic materials tested under different sets of test conditions such as temperatures and aging durations. The dynamic modulus (|E*|) master curve for asphalt mixtures can be represented by a sigmoidal function defined by Equation (1) as proposed by Pellinen [29]:
log | E * | =   δ   + α 1 + e β + γ ( log f r )
where f r is the reduced frequency at the reference temperature; δ is the limiting minimum modulus value; δ + α is the limiting maximum modulus value, which depends on the aggregate gradation, binder content, and air void content; and β ,   γ are fitting parameters, the values of which depend on the characteristics of the asphalt binder and the magnitude of δ and α [29].
The shift factor, a ( T ) , was used to shift the data collected at different temperatures with respect to the time of loading or frequency (f) and to form a single smooth master curve. The shift factor is defined as
a ( T ) = f f r .
The shift factor can be calculated using the Arrhenius equation given in Pellinen et al., 2003 [30]:
log [ a ( T ) ] = Δ E a 19.15 ( 1 T 1 T r )
where T r the is reference temperature, T is the test temperature, and Δ E a is the activation energy (treated as a fitting parameter).
Therefore, the reduced frequency is computed using Equation (4):
log f r = log f + Δ E a 19.15 ( 1 T 1 T r ) .
In this study, an Excel spreadsheet with the solver function was used to fit the measured data to a master curve using the Arrhenius temperature shift factors (Equation (3)). The solver function tool minimized the sum of the squared error between the predicted and measured values.

2.5. Extraction and Recovery of Asphalt Binders

Extraction and recovery of asphalt binders from laboratory and field mixtures were made to determine their rheological properties. The extraction was carried out according to method A of ASTM D 2172 (2011) standard procedure [31], as shown in Figure 5a. A rotary evaporator (Figure 5b) was used for the recovery of asphalt binder from the solution at 140 °C according to ASTM D5404 (2012) standard procedure [32]. The recovery process was carried out carefully so that the binder properties did not change significantly (only a slight change in viscosity was observed), as discussed in Sirin et al., 2017 [23].
Figure 5. (a) Extraction unit and (b) rotavapor setup for recovery of asphalt binder from asphalt mixture.

3. Results and Discussion

3.1. Asphalt Mixture Test Results

The coefficient of variation (CoV = standard deviation/mean) of the complex modulus value was used to evaluate the variability of test data and the repeatability of the testing method. The variability of the dynamic modulus value obtained in this study is shown in Figure 6. In general, 81% of the dynamic modulus values showed CoVs below 10%. Only 4% and 4% of data showed CoVs of 15–20% and greater than 20%, respectively, with the highest CoV value being 23%. According to AASHTO T342-11 (2015) [28], the estimated accuracy of dynamic modulus for two replicates and three LVDTs per specimen was 13.1%. Thus, the test data appeared to be sufficiently consistent and reproducible in this study.
Figure 6. Variability in raw dynamic modulus data.
Table 3 shows the summary of average dynamic modulus test results on the base mixture with an unmodified binder (mixture 1) collected from the field and prepared in the laboratory for different aging conditions. As one would expect, the dynamic modulus values increased when the samples were subjected to higher aging temperatures and durations. For example, when the aging duration increased from 2 to 4 h at 135 °C, the dynamic modulus at 1 Hz frequency increased from 17,416 to 20,677 MPa, 5606 to 7823 MPa, and 622 to 914 MPa for tests at 4, 20, and 40 °C, respectively. The phase angle had a decreasing trend with the increase in aging duration. However, at high temperatures and very low frequencies (e.g., 0.01 and 0.1 HZ at 40 °C), there was no clear trend. This could be due to the aggregate interlock effects at high temperatures [33].
Table 3. Comparison of dynamic modulus results on mixture 1.
A master curve was constructed for each set of specimens at a reference temperature of 20 °C. The goodness of fit statistics, Se/Sy (standard error of estimate/standard deviation), and coefficient of correlation (R2) of the master curves were in the range of 0.03–0.09 and 0.98–0.99, respectively. This indicates that the correlation between the laboratory-measured modulus and master curve fit equation was very good and rated as excellent according to the criteria (i.e., Se/Sy < 0.35 and R2 > 0.9) used by Pellinen and Witczak [34].
Field base mixtures and laboratory-prepared mixtures were compared to develop the short-term aging protocol based on dynamic modulus values. Figure 7 shows the comparison between the master curves for field and laboratory mixtures for different aging conditions. For the high-temperature/low-frequency region (right-hand side of the graph), the field mixture master curve lay between the master curves of the laboratory specimens conditioned at 135 °C for 3 and 4 h (see Table 3 and Figure 7). Therefore, it may seem that the short-term aging protocol for the field loose mixture lay between 3 and 4 h of conditioning at 135 °C in a forced draft oven. However, it was found that the short-term aging protocol lay between 2 and 3 h for the low-temperature/high-frequency region (see inset photo in linear scale |E*| value).
Figure 7. Comparison of master curves for base layer mixture from the site (mixture 1).
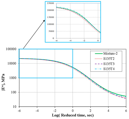
For the loose mixtures from the plant (mix 2), a similar increase in the dynamic modulus with an increase in the conditioning time was observed, as shown in Table 4. For the plant wearing mixture, the short-term aging protocol at 135 °C lay close to 4 h for the high-temperature/low-frequency region (see Table 4 and Figure 8) and between 3 and 4 h of conditioning at 135 °C for the low-temperature/high-frequency region (see inset photo).
Table 4. Comparison of dynamic modulus results on mixture 2.
Figure 8. Comparison of master curves for wearing course mixture from the plant (mixture 2).
For mixture 3, the laboratory mixture was conditioned at 135 °C for 4 h and was found to be adequate to simulate the wearing mixture with the modified binder collected from the site, as seen in Table 5 and Figure 9.
Table 5. Comparison of dynamic modulus results on mixture 3.
Figure 9. Comparison of master curves for wearing course mixture from the site (mixture 3).
The field mixtures collected from the construction site were expected to be aged slightly higher compared with the plant wearing mix since the former mixture was subjected to elevated temperatures for a longer time due to hauling from the plant to the site. However, this was not reflected in the dynamic modulus test results. The short-term aging protocol for the unmodified plant mixture 2 was slightly higher than that for the unmodified field base mixture 1. Aggregate gradation was different between the two mixtures and, thus, the difference in mix design could be a reason for the different extents of aging in the mixtures. Moreover, mixture 3 showed 4 h of duration to simulate the short-term aging yet with a different aggregate gradation and modified binder. In summary, for the three mixtures studied in this work, the short-term aging protocol was found to be mostly close to 4 h of conditioning at 135 °C. To further investigate and validate the protocol, a binder study was also undertaken.

3.2. Binder Test Results

Recovered binders were tested to evaluate their rheological properties. Binder testing included rotational viscosity (ASTM D 4402-13, 2013) [35], a performance grading (PG) test (AASHTO T 315, 2012) [36], and multiple stress creep and recovery (MSCR) tests (AASHTO T350, 2014) [37] by a dynamic shear rheometer (DSR). The same tests were also conducted on original binders (OB) and rolling thin film oven (RTFO)-conditioned samples.
The binder test results for the unmodified and modified mixtures are summarized in Table 6 and Table 7, respectively. The original binder was subjected to RTFO at 163 °C for 85 min. The RTFO-conditioned samples were tested and compared with those recovered from field and plant mixtures. As can be seen in Table 6 and Table 7, the RTFO-conditioned binder closely simulated the binder recovered from mixtures 1–3. It is also noted from Table 6 and Figure 10 and Figure 11 that heating the mixtures for 1.5 h prior to compaction did not affect the properties of the binder much. Therefore, the loose mixtures collected from the field/plant were not subjected to any unwanted additional aging (i.e., minimal heating for warming purpose only) in the laboratory due to handling and processing.
Table 6. Summary of binder test results for unmodified mixtures (mixtures 1 and 2).
Table 7. Summary of binder test results for modified mixture (mixture 3).
Figure 10. Comparison of viscosity results of unmodified binders recovered from mixture 1.
Figure 11. Comparison of viscosity results of unmodified binders recovered from mixture 2.
Unmodified binders recovered from the field base mixture (mixture 1) had higher viscosity values at 135 and 165 °C compared with those recovered from the plant wearing mixture (mixture 2). This could be due to the fact that mixture 1 was collected from the construction site, whereas mixture 2 was from the asphalt plant. Hence, the additional time required during transportation and laying of the mixture at elevated temperatures contributed to further aging the binder.
In the PG system, a binder is aged in the RTFO and tested in DSR to check its rutting potential. The purpose of the test is to determine the changes that would take place to an asphalt binder after it is subjected to heat and oxygen at the HMA plant and in the paving process. The test is conducted at high temperatures, usually the pavement’s maximum temperature. It passes the test against rutting if the value of G*/sinδ is greater than 2.2 kPa. The test is conducted at a certain temperature and if it passes at that temperature, then another temperature (generally low to high) is selected and continued until the binder fails the criteria for rutting resistance. The maximum temperature for which the criterion is met is the true-grade high temperature.
On the other hand, the RTFO-aged binder is further aged in PAV and tested in DSR at intermediate temperatures to check its fatigue resistance. If the value of G*sinδ is less than 5000 kPa, the binder is believed to perform satisfactorily against fatigue cracking. This test is conducted from high to low until the PG criteria for fatigue (i.e., G*sinδ > 5000 kPa) is reached. The lowest temperature for which the criterion is met is the true-grade intermediate temperature.
Due to aging, the binder becomes stiffer and, hence, the resistance to rutting (i.e., G*/sinδ) is increased. Here, the true-grade intermediate temperature of the mixture 1 binder increased in comparison with mixture 2, which indicates lesser resistance against fatigue. The MSCR test results also showed a high value of nonrecoverable compliance (Jnr) for the mixture 2 binder in comparison with mixture 1, which indicates a higher level of aging of the mixture 1 binder.
Brookfield viscosity results of binders recovered from mixtures 1 and 2 showed that the viscosity increased with the increase of the duration of short-term aging as presented in Table 6 and Figure 10 and Figure 11. The results also demonstrated that conditioning asphalt mixtures (mixtures 1 and 2) for 4 h at 135 °C was the closest condition to the viscosity results of asphalt binders extracted from loose mixtures (Figure 10 and Figure 11). Furthermore, the true PG and MSCR test results showed that the conditioning mixtures at the same conditions at 135 °C for 4 h were close to those of loose mixtures, especially for mixture 2, while it was slightly off for mixture 1. A very similar result was obtained for mixture 3, that is, 4 h of conditioning the lab mixture closely simulated the RTFO-aged binder and the mixture from the field (Figure 12). Therefore, considering the results of the mechanical properties (dynamic modulus) and binder tests, conditioning asphalt mixtures at 135 °C for 4 h can adequately simulate the short-term aging of most asphalt mixtures used in the State of Qatar.
Figure 12. Comparison of viscosity results of modified binders recovered from mixture 3.

4. Summary of Findings and Conclusions

Short-term aging occurs during mixing in the plant, transportation to the site, and laying and compaction of asphalt mixtures. Aging an asphalt mixture increases its susceptibility to fatigue cracking, leading to reduced durability under traffic. As a general practice, loose asphalt mixtures are aged at 135 °C for 4 h to simulate short-term aging during construction. However, dissimilarities in the short-term aging simulation protocol have been reported by various researchers (ranging from 2 to 4 h at 135 °C and so on); thus, it is essential to validate the short-term aging protocol for different conditions, including the one in the Middle East. This study evaluated the short-term aging protocol that is suitable for asphalt mixtures used in asphalt roads in the State of Qatar.
Three loose asphalt mixtures that are often used in the State of Qatar were evaluated in this investigation. Mixtures 1 and 3 were collected from construction sites, while mixture 2 was obtained from the plant. Virgin aggregates and binders were also collected to reproduce the mixtures in the laboratory. Laboratory-produced mixtures were conditioned at 135 °C for different lengths of time. The mechanical properties of laboratory-produced samples were compared to samples produced at the site. The comparison of dynamic modulus master curves of the field and plant mixtures with their counterpart lab mixtures indicated that the short-term aging protocol lies between 3 and 4 h at 135 °C. Furthermore, the binder test results (viscosity, true PG, and MSCR) confirmed that aging asphalt mixtures at 135 °C for 4 h would produce asphalt mixtures with comparable binder properties to asphalt mixtures produced at the site. In summary, the proper short-term aging protocol for asphalt mixtures often used in pavement construction in Qatar would involve heating asphalt mixtures at 135 °C for 4 h before laboratory compaction. An appropriate short-term aging protocol simulates the plant operation of asphalt mixtures in Qatar and implementation of the protocol prior to compacting the specimen would provide a more accurate evaluation of pavement characterization and performance.

Author Contributions

Conceptualization, O.S. and E.K.; Investigation, D.K.P., O.S. and M.O.; Writing, reviewing, editing, and improving manuscript, O.S., D.K.P., E.K. and M.O.; Formal Analysis, D.K.P., O.S. and M.O.; Funding acquisition, O.S. and E.K.

Funding

This paper was made possible by the NPRP grant (NPRP 6-773-2-320) from the Qatar National Research Fund (a member of the Qatar Foundation). The findings herein reflect this work and are solely the responsibility of the authors.

Conflicts of Interest

The authors declare no conflict of interests.

References

  1. The Gulf Times. 2015. Available online: http://web.archive.org/web/20160711101329/http://www.gulf-times.com/story/455125/Road-transport-accounts-for-Qatar-s-95-infrastruct (accessed on 7 April 2019).
  2. Sadek, H.; Masad, E.; Sirin, O.; Al-Khalid, H.; Sadeq, M.; Little, D. Implementation of Mechanistic-Empirical Pavement Analysis in the State of Qatar. Int. J. Pavement Eng. 2014, 15, 495–511. [Google Scholar] [CrossRef]
  3. Bell, C.A.; Wieder, A.J.; Fellin, M.J. Laboratory Aging of Asphalt-Aggregate Mixtures: Field Validation; Research Report: SHRP-A-390; Oregon State University: Corvallis, OR, USA, 1994. [Google Scholar]
  4. Clements, T.M.; Blankenship, P.B.; Mahboub, K.C. The Effect of Loose Mix Aging on the Performance of Warm Asphalts. J. Assoc. Asph. Paving Technol. 2012, 80, 541–567. [Google Scholar]
  5. Houston, W.N.; Mirza, M.W.; Zapata, C.E.; Raghavendra, S. Environmental Effects in Pavement Mix and Structural Design Systems; Part 1 of Contractor’s Final Report for NCHRP Project 9-23; Arizona State University: Phoenix, AZ, USA, 2005. [Google Scholar]
  6. Epps Martin, A.; Arambula, E.; Yin, F.; Garcia Cucalon, L.; Chowdhury, A.; Lytton, R.; Epps, J.; Estakhri, C.; Park, E.S. Evaluation of the Moisture Susceptibility of WMA Technologies; NCHRP Report 763; Transportation Research Board: Washington, DC, USA, 2014. [Google Scholar]
  7. Tarbox, S.; Daniel, J.S. Effects of Long-Term Oven Aging on RAP Mixtures. Transp. Res. Rec. 2012, 2294, 1–15. [Google Scholar] [CrossRef]
  8. Sirin, O.; Shih, C.T.; Tia, M.; Ruth, B.E. Development of a Modified Rotavapor Apparatus and Method for Short-Term Aging of Modified Asphalts. Transp. Res. Rec. 1998, 1638, 72–81. [Google Scholar] [CrossRef]
  9. Newcomb, D.; Epps Martin, A.; Yin, F.; Arambula, E.; Park, E.S.; Chowdhury, A.; Brown, R.; Rodezno, C.; Tran, N.; Coleri, E.; et al. Short-Term Laboratory Conditioning of Asphalt Mixtures; NCHRP Report 815, Project 09-52; Transportation Research Board: Washington, DC, USA, 2015. [Google Scholar] [CrossRef]
  10. Apeagyei, A.K. Laboratory Evaluation of Antioxidants for Asphalt Binders. Constr. Build. Mater. 2011, 25, 47–53. [Google Scholar] [CrossRef]
  11. Lesueur, D. The colloidal structure of bitumen: Consequences on the rheology and on the mechanisms of bitumen modification. Adv. Colloid Interface Sci. 2009, 145, 42–82. [Google Scholar] [CrossRef] [PubMed]
  12. Traxler, R.N. Relation between Asphalt Composition and Hardening by Volatilization and Oxidation. J. Assoc. Asph. Paving Technol. 1961, 27, 359–377. [Google Scholar]
  13. Bell, C.A. Summary Report on Aging of Asphalt-Aggregate Systems; Research Report No. SR-OCU-A-003A-89-2, SHRP-A-305; National Research Council: Washington, DC, USA, 1989. [Google Scholar]
  14. Christensen, D.W.; Anderson, D.A. Interpretation of dynamic mechanical test data for paving grade asphalt cements. J. Assoc. Asph. Paving Technol. 1992, 61, 67–116. [Google Scholar]
  15. Cui, P.C.; Wu, S.; Xiao, Y.; Zhang, H. Study on the deteriorations of bituminous binder resulted from volatile. Constr. Build. Mater. 2014, 68, 644–649. [Google Scholar] [CrossRef]
  16. Sirin, O.; Paul, D.K.; Kassem, E. State of the Art Study on Aging of Asphalt Mixtures and Use of Antioxidant Additives. Adv. Civ. Eng. 2018, 2018, 3428961. [Google Scholar] [CrossRef]
  17. AASHTO R30. Standard Practice for Mixture Conditioning of Hot Mix Asphalt (HMA); American Association of State Highway and Transportation Officials: Washington, DC, USA, 2002.
  18. Aschenbrener, T.; Far, N. Short-Term Aging of Hot Mix Asphalt; Public Report No. CDOT-DTD-R-94-11; Colorado Department of Transportation: Denver, CO, USA, 1994.
  19. Daniel, J.S.; Bennert, T.; Kim, Y.R.; Mogawer, W. TPF 5(230): Evaluation of Plant-Produced RAP Mixtures in the Northeast; Pooled Fund Phase I Interim Report; Federal Highway Administration: Washington, DC, USA, 2014.
  20. Lund, J.W.; Wilson, J.E. Evaluation of Asphalt Aging in Hot Mix Plants. J. Assoc. Asph. Paving Technol. 1984, 53, 1–18. [Google Scholar]
  21. Lund, J.W.; Wilson, J.E. Field Validation of Asphalt Aging in Hot Mix Plants. J. Assoc. Asph. Paving Technol. 1986, 55, 92–119. [Google Scholar]
  22. Morian, N.; Hajj, E.Y.; Glover, C.J.; Sebaaly, P.E. Oxidative Aging of Asphalt Binders in Hot Mix Asphalt Mixtures. Transp. Res. Rec. 2011, 2207, 107–116. [Google Scholar] [CrossRef]
  23. Sirin, O.; Paul, D.K.; Kassem, E.; Ohiduzzaman, M. Effect of ageing on asphalt binders in the State of Qatar: A case study. Road Mater. Pavement Des. 2017, 18 (Suppl. 4), 165–184. [Google Scholar] [CrossRef]
  24. University of California at Berkeley; Oregon State University; Austin Research Engineers, Inc. Accelerated Performance-Related Tests for Asphalt-Aggregate Mixes and Their Use in Mix Design and Analysis Systems; Strategic Highway Research Program, SHRP-A-417; National Research Council: Washington, DC, USA, 1994. [Google Scholar]
  25. Baek, C.; Underwood, B.S.; Kim, Y.R. Effects of Oxidative Aging on Asphalt Mixture Properties. Transp. Res. Rec. 2012, 2296, 77–85. [Google Scholar] [CrossRef]
  26. NCHRP. Short- and Long-Term Binder Aging Methods to Accurately Reflect Aging in Asphalt Mixtures; Interim Report-Project 09-61; ERES Division of ARA Inc.: Champaign, IL, USA, 2019. [Google Scholar]
  27. Sirin, O.; Ohiduzzaman, M.; Kassem, E.; Paul, D.K. Comprehensive Evaluation of Long-Term Aging of Asphalt Mixtures in Hot Climatic Condition. Road Mater. Pavement Des. 2018. [Google Scholar] [CrossRef]
  28. AASHTO T 342-11. Standard Method of Test for Determining Dynamic Modulus of Hot Mix Asphalt (HMA); American Association of State Highway and Transportation Officials: Washington, DC, USA, 2015.
  29. Pellinen, T.K. The Assessment of Validity of Using Different Shifting Equations to Construct a Master Curve for HMA; Department of Civil Engineering, The University of Maryland: College Park, MD, USA, 1988. [Google Scholar]
  30. Pellinen, T.K.; Witzack, M.W.; Bonaquist, R.F. Asphalt Mix Master Curve Construction Using Sigmoidal Fitting Function with Non-Linear Least Squares Optimization. In Recent Advances in Materials Characterization and Modelling in Pavement System; ASCE: Reston, VA, USA, 2003. [Google Scholar] [CrossRef]
  31. ASTM D 2172. Standard Test Methods for Quantitative Extraction of Bitumen from Bituminous Paving Mixtures; ASTM International: West Conshohocken, PA, USA, 2011. [Google Scholar]
  32. ASTM D 5404. Standard Practice for Recovery of Asphalt from Solution Using the Rotary Evaporator; ASTM International: West Conshohocken, PA, USA, 2012. [Google Scholar]
  33. Clyne, T.R.; Li, X.; Marasteanu, M.O.; Skok, E.L. Dynamic and Resilient Modulus of Mn/DOT Asphalt Mixtures; Report No. MN/RC–2003-09; University of Minnesota: Minneapolis, MN, USA, 2003. [Google Scholar]
  34. Pellinen, T.K.; Witczak, M.W. Use of Stiffness of Hot-Mix Asphalt as a Simple Performance Test. Transp. Res. Rec. 2002, 1789, 80–90. [Google Scholar] [CrossRef]
  35. ASTM D 4402-13. Standard Test Method for Viscosity Determination of Asphalt at Elevated Temperatures Using a Rotational Viscometer; ASTM International: West Conshohocken, PA, USA, 2013. [Google Scholar]
  36. AASHTO T 315. Standard Method of Test for Determining the Rheological Properties of Asphalt Binder Using a Dynamic Shear Rheometer (DSR); American Association of State Highway and Transportation Officials: Washington, DC, USA, 2012.
  37. AASHTO T 350. Standard Method of Test for Multiple Stress Creep Recovery (MSCR) Test of Asphalt Binder Using a Dynamic Shear Rheometer (DSR); American Association of State Highway and Transportation Officials: Washington, DC, USA, 2014.

Article Metrics

Citations

Article Access Statistics

Multiple requests from the same IP address are counted as one view.