Scale-Free Features in Collective Robot Foraging
Abstract
1. Introduction
2. Methods
2.1. Robot Behavior
2.1.1. State Switching Probabilities
2.1.2. Communication Modes
2.2. Swarm Behavior
- the total number of collected items at the end of the experiment Ncoll
- the average number of collected items per time spent in collision avoidance , where Tca is the total duration of all collision avoidance events in the swarm throughout the experiment. One collision avoidance event includes slowing down and turning around until the angle to the closest possible obstacle is >25°. In essence, ωca reflects the trade-off between coordination and interference.
- the average number of collected items per time spent exploring , where Te is the aggregate time that all individuals spent in the exploring state.
2.3. Measured Features
2.4. Data Analysis
2.4.1. Power Law Fitting Procedures
- Using maximum likelihood estimation, fit the data by the power law distributionwhere α is the scaling parameter and xmin is the lower bound. In particular, α and xmin are estimated using procedures described in [54].
- Apply Kolmogorov-Smirnov statistic to carry out the goodness-of-fit tests and verify the above results. Here, essentially, a large set of synthetic data is generated from a power law distribution (with α and xmin found in 1.) and their distances to their respective fits are compared to the distance between the empiric data and the best-fit found in step 1. The outcome of this procedure is the p-ratio which estimates the contribution of random fluctuations. If p < 0.1 the power law fit found in step 1 is very likely to be due to inherent randomness in the empiric data. Moreover, the p-value is unreliable when the data set is too small. Therefore, the percentage of data points Ndata,pl that lie above xmin should be 10% or higher.
- Finally, even if p > 0.1, the power law fit might be not the only model that fits the data well. Consequently, complete the above steps for a set of other potential distributions including exponential or lognormal distributions. Then, compare the resulting best fits to the one obtained for the power law by computing the ratio R. The latter is defined as the log likelihood of the power law over the log likelihood of another distribution. If R > 0, power law is the statistically superior fit. Although this last step still does not give us the certainty that the data is power law distributed, it makes the hypothesis more plausible. For this step we used an open-access Python toolbox [56].
2.4.2. Quality Ratio ρq
- First, we begin with the p-value. As mentioned above, the linear shape of the data distribution on a log-log plot can be mainly attributed to random fluctuations if . Taking this into account, we design to be a binary piecewise function evaluating the goodness-of-fit in terms of the p-value:This way, we take into account the possibility that random fluctuations may be present but as soon as we do not assign the precise value of p to the ranking of the fit. The reason is that random fluctuations might be present even if the data is in fact power law distributed. In that case the p-value could be very low even if the data is in fact power law distributed. In general, it might be more substantial to consider the size of the fitted data set and to compare the power law fit to other important distributions [54,56].
- Second, , denotes the ratio of the data which is fit by the (truncated) power law to the total number of data points .
- Third, represents the fraction of likelihood-ratio-tests in which the (truncated) power law fit proved to be statistically more plausible than other distributions. To include the quality of the (truncated) power law fit as compared to other distributions, we count how many times we obtained from the likelihood-ratio tests. We compare the power law fit to six distributions: truncated power law, exponential, stretched exponential, lognormal, positive lognormal and normal; all of them are implemented in [56] (except the normal distribution). Hence, we use the piecewise function,where we added 1 to to account for the possibility that the likelihood-ratio test yields , in which case the support for the power law fit is neither strengthened nor weakened.Please note that in Equation (7) we set if at least one distribution is a more reliable model than the power law. However, it is important to remember that our simulated systems are meant to include real-world attributes (e.g., finite-size effects, physical interference, line-of-sight interruptions during communication) and therefore deviate from ideal systems. Consequently, the assumption of power law (i.e., scale-free) distribution might be distorted and needs to be corrected. The deviation is often particularly distinct in the heavy tail. Therefore, one common correction technique is to consider the power law distribution with an exponential cutoff (also known as truncated power law) [57]:where is the scaling parameter of the exponential decay and is the upper incomplete gamma function. While Equation (4) directly implies that the feature is scale-free, Equation (8) describes an asymptotic scale-freeness in the limit . This equation approaches the power law distribution asymptotically for and the exponential distribution for , respectively. Thus, accepting that our systems are significantly constrained within physical boundaries we can slightly soften the criteria given by Equation (7) in the following way:If the truncated power law passes more likelihood-ratio tests than the power law fit, i.e., if , we consider the success-ratio of the former. In short:
2.4.3. Correlation Measures
2.5. Simulation Setup
3. Results and Discussion
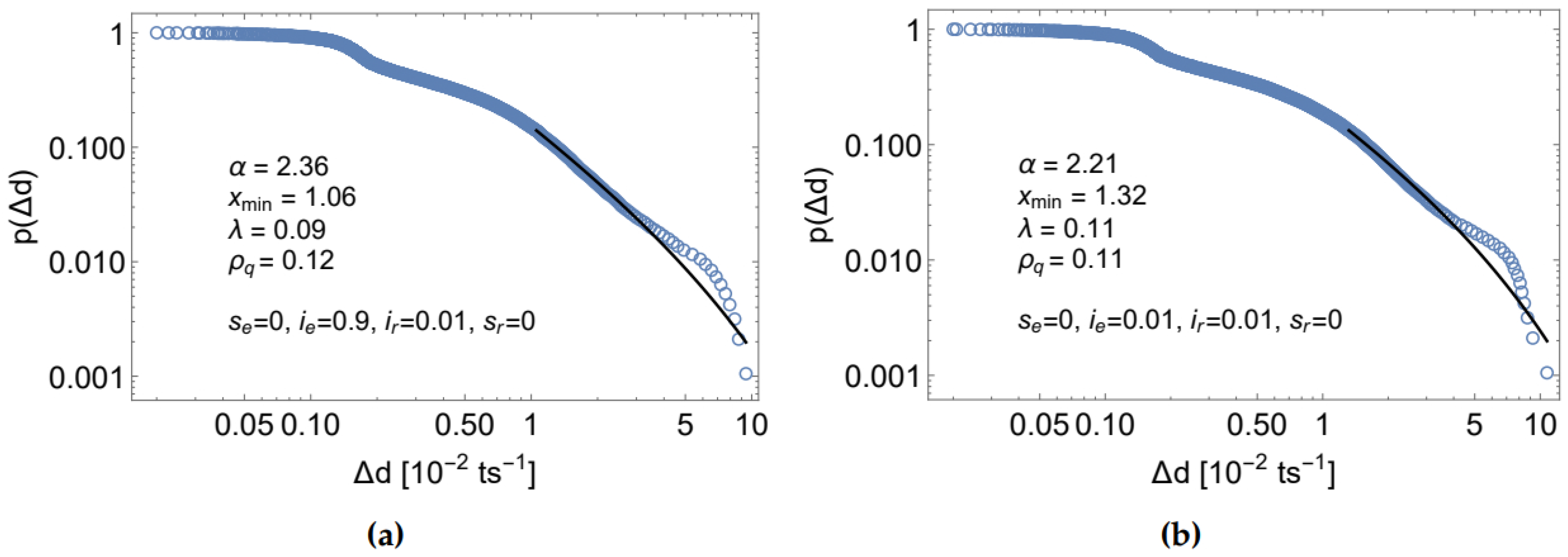
3.1. Presence of Power Law Distributed Features
3.2. Correlation with Swarm Performance
3.3. The Role of Feedback Mechanisms in the Emergence of Scale-Free Features
4. Conclusions
Supplementary Materials
Author Contributions
Funding
Conflicts of Interest
References
- Khaluf, Y.; Ferrante, E.; Simoens, P.; Huepe, C. Scale invariance in natural and artificial collective systems: A review. J. R. Soc. Interface 2017, 14, 20170662. [Google Scholar] [CrossRef] [PubMed]
- Cavagna, A.; Cimarelli, A.; Giardina, I.; Parisi, G.; Santagati, R.; Stefanini, F.; Viale, M. Scale-free correlations in starling flocks. Proc. Natl. Acad. Sci. USA 2010, 107, 11865–11870. [Google Scholar] [CrossRef] [PubMed]
- Huepe, C.; Ferrante, E.; Wenseleers, T.; Turgut, A.E. Scale-Free Correlations in Flocking Systems with Position-Based Interactions. J. Stat. Phys. 2015, 158, 549–562. [Google Scholar] [CrossRef]
- Chen, X.; Dong, X.; Be’er, A.; Swinney, H.L.; Zhang, H.P. Scale-Invariant Correlations in Dynamic Bacterial Clusters. Phys. Rev. Lett. 2012, 108, 148101. [Google Scholar] [CrossRef] [PubMed]
- Boyer, D.; Ramos-Fernández, G.; Miramontes, O.; Mateos, J.L.; Cocho, G.; Larralde, H.; Ramos, H.; Rojas, F. Scale-free foraging by primates emerges from their interaction with a complex environment. Proc. R. Soc. B Biol. Sci. 2006, 273, 1743–1750. [Google Scholar] [CrossRef] [PubMed]
- Reynolds, A.M.; Ouellette, N.T. Swarm dynamics may give rise to Lévy flights. Sci. Rep. 2016, 6, 30515. [Google Scholar] [CrossRef] [PubMed]
- Albert, R.; Barabási, A.L. Statistical mechanics of complex networks. Rev. Mod. Phys. 2002, 74, 47–97. [Google Scholar] [CrossRef]
- Fewell, J.H. Social Insect Networks. Science 2003, 301, 1867–1870. [Google Scholar] [CrossRef]
- Kasthurirathna, D.; Piraveenan, M. Emergence of scale-free characteristics in socio-ecological systems with bounded rationality. Sci. Rep. 2015, 5, 10448. [Google Scholar] [CrossRef]
- Goh, K.I.; Kahng, B.; Kim, D. Universal Behavior of Load Distribution in Scale-Free Networks. Phys. Rev. Lett. 2001, 87, 278701. [Google Scholar] [CrossRef]
- Cohen, R.; Havlin, S. Scale-Free Networks Are Ultrasmall. Phys. Rev. Lett. 2003, 90, 058701. [Google Scholar] [CrossRef] [PubMed]
- Thivierge, J.P. Scale-free and economical features of functional connectivity in neuronal networks. Phys. Rev. E 2014, 90, 022721. [Google Scholar] [CrossRef] [PubMed]
- Albert, R.; Jeong, H.; Barabási, A.L. Error and attack tolerance of complex networks. Nature 2000, 406, 378–382. [Google Scholar] [CrossRef] [PubMed]
- Liu, W.; Winfield, A.F.T.; Sa, J.; Chen, J.; Dou, L. Towards Energy Optimization: Emergent Task Allocation in a Swarm of Foraging Robots. Adapt. Behav. 2007, 15, 289–305. [Google Scholar] [CrossRef]
- Pinciroli, C.; Trianni, V.; O’Grady, R.; Pini, G.; Brutschy, A.; Brambilla, M.; Mathews, N.; Ferrante, E.; Di Caro, G.; Ducatelle, F.; et al. ARGoS: A modular, parallel, multi-engine simulator for multi-robot systems. Swarm Intell. 2012, 6, 271–295. [Google Scholar] [CrossRef]
- Pini, G.; Brutschy, A.; Pinciroli, C.; Dorigo, M.; Birattari, M. Autonomous task partitioning in robot foraging: An approach based on cost estimation. Adapt. Behav. 2013, 21, 118–136. [Google Scholar] [CrossRef]
- Brambilla, M.; Ferrante, E.; Birattari, M.; Dorigo, M. Swarm robotics: A review from the swarm engineering perspective. Swarm Intell. 2013, 7, 1–41. [Google Scholar] [CrossRef]
- Bayındır, L. A Review of Swarm Robotics Tasks. Neurocomput. 2016, 172, 292–321. [Google Scholar] [CrossRef]
- Khaluf, Y.; Dorigo, M. Modeling robot swarms using integrals of birth-death processes. ACM Trans. Auton. Adapt. Syst. (TAAS) 2016, 11, 8. [Google Scholar] [CrossRef]
- Khaluf, Y.; Pinciroli, C.; Valentini, G.; Hamann, H. The impact of agent density on scalability in collective systems: Noise-induced versus majority-based bistability. Swarm Intell. 2017, 11, 155–179. [Google Scholar] [CrossRef]
- Yang, G.Z.; Bellingham, J.; Dupont, P.E.; Fischer, P.; Floridi, L.; Full, R.; Jacobstein, N.; Kumar, V.; McNutt, M.; Merrifield, R.; et al. The grand challenges of Science Robotics. Sci. Robot. 2018, 3. [Google Scholar] [CrossRef]
- Ferrante, E.; Turgut, A.E.; Huepe, C.; Stranieri, A.; Pinciroli, C.; Dorigo, M. Self-organized flocking with a mobile robot swarm: A novel motion control method. Adapt. Behav. 2012, 20, 460–477. [Google Scholar] [CrossRef]
- Khaluf, Y.; Rausch, I.; Simoens, P. The Impact of Interaction Models on the Coherence of Collective Decision-Making: A Case Study with Simulated Locusts. In Swarm Intelligence; Dorigo, M., Birattari, M., Blum, C., Christensen, A.L., Reina, A., Trianni, V., Eds.; Springer International Publishing: Cham, Switzerland, 2018; pp. 252–263. [Google Scholar]
- Correll, N.; Martinoli, A. Modeling and designing self-organized aggregation in a swarm of miniature robots. Int. J. Robot. Res. 2011, 30, 615–626. [Google Scholar] [CrossRef]
- Deneubourg, J.L.; Goss, S. Collective patterns and decision-making. Ethol. Ecol. Evol. 1989, 1, 295–311. [Google Scholar] [CrossRef]
- Sumpter, D.J. The principles of collective animal behaviour. Philos. Trans. R. Soc. B Biol. Sci. 2005, 361, 5–22. [Google Scholar] [CrossRef] [PubMed]
- Batalin, M.A.; Sukhatme, G.S. Spreading Out: A Local Approach to Multi-robot Coverage. In Distributed Autonomous Robotic Systems 5; Asama, H., Arai, T., Fukuda, T., Hasegawa, T., Eds.; Springer: Tokyo, Japan, 2002; pp. 373–382. [Google Scholar]
- Ren, H.; Tse, Z.T.H. Investigation of Optimal Deployment Problem in Three-Dimensional Space Coverage for Swarm Robotic System. In Social Robotics; Ge, S.S., Khatib, O., Cabibihan, J.J., Simmons, R., Williams, M.A., Eds.; Springer: Berlin/Heidelberg, Germany, 2012; pp. 468–474. [Google Scholar]
- Mclurkin, J.; Smith, J. Distributed algorithms for dispersion in indoor environments using a swarm of autonomous mobile robots. In Distributed Autonomous Robotic Systems 6; Asama, H., Alami, R., Chatila, R., Eds.; Springer: Tokyo, Japan, 2007; pp. 399–408. [Google Scholar]
- Sharma, S.; Shukla, A.; Tiwari, R. Multi robot area exploration using nature inspired algorithm. Biol. Inspired Cogn. Archit. 2016, 18, 80–94. [Google Scholar] [CrossRef]
- Schmickl, T.; Crailsheim, K. A Navigation Algorithm for Swarm Robotics Inspired by Slime Mold Aggregation. In Swarm Robotics; Şahin, E., Spears, W.M., Winfield, A.F.T., Eds.; Springer: Berlin/Heidelberg, Germany, 2007; pp. 1–13. [Google Scholar]
- Gauci, M.; Chen, J.; Dodd, T.J.; Groß, R. Evolving Aggregation Behaviors in Multi-Robot Systems with Binary Sensors. In Distributed Autonomous Robotic Systems; Ani Hsieh, M., Chirikjian, G., Eds.; Springer: Berlin/Heidelberg, Germnay, 2014; pp. 355–367. [Google Scholar]
- Pitonakova, L.; Crowder, R.; Bullock, S. Information flow principles for plasticity in foraging robot swarms. Swarm Intell. 2016, 10, 33–63. [Google Scholar] [CrossRef][Green Version]
- Bullock, S.; Crowder, R.; Pitonakova, L. Task Allocation in Foraging Robot Swarms: The Role of Information Sharing. In Proceedings of the The 2018 Conference on Artificial Life: A Hybrid of the European Conference on Artificial Life (ECAL) and the International Conference on the Synthesis and Simulation of Living Systems (ALIFE), Cancun, Mexico, 4–8 July 2016; pp. 306–313. [Google Scholar]
- Ostergaard, E.H.; Sukhatme, G.S.; Matari, M.J. Emergent bucket brigading: A simple mechanisms for improving performance in multi-robot constrained-space foraging tasks. In Proceedings of the Fifth International Conference on Autonomous Agents, Montreal, QC, Canada, 28 May–1 June 2001; pp. 29–30. [Google Scholar]
- Hamann, H.; Wörn, H. An Analytical and Spatial Model of Foraging in a Swarm of Robots. In Swarm Robotics: Second International Workshop, SAB 2006, Rome, Italy, September 30–October 1, 2006, Revised Selected Papers; Şahin, E., Spears, W.M., Winfield, A.F.T., Eds.; Springer: Berlin/Heidelberg, Germany, 2007; pp. 43–55. [Google Scholar]
- Hoff, N.R.; Sagoff, A.; Wood, R.J.; Nagpal, R. Two foraging algorithms for robot swarms using only local communication. In Proceedings of the 2010 IEEE International Conference on Robotics and Biomimetics, Tianjin, China, 14–18 December 2010; pp. 123–130. [Google Scholar]
- Hecker, J.P.; Letendre, K.; Stolleis, K.; Washington, D.; Moses, M.E. Formica ex Machina: Ant Swarm Foraging from Physical to Virtual and Back Again. In Swarm Intelligence; Dorigo, M., Birattari, M., Blum, C., Christensen, A.L., Engelbrecht, A.P., Groß, R., Stützle, T., Eds.; Springer: Berlin/Heidelberg, Germany, 2012; pp. 252–259. [Google Scholar]
- Castañeda Cisneros, J.; Pomares Hernandez, S.E.; Perez Cruz, J.R.; Rodríguez-Henríquez, L.M.; Gonzalez Bernal, J.A. Data-Foraging-Oriented Reconnaissance Based on Bio-Inspired Indirect Communication for Aerial Vehicles. Appl. Sci. 2017, 7, 729. [Google Scholar] [CrossRef]
- Wang, H.; Li, Y.; Chang, T.; Chang, S.; Fan, Y. Event-Driven Sensor Deployment in an Underwater Environment Using a Distributed Hybrid Fish Swarm Optimization Algorithm. Appl. Sci. 2018, 8, 1638. [Google Scholar] [CrossRef]
- Hernández-Ocaña, B.; Hernández-Torruco, J.; Chávez-Bosquez, O.; Calva-Yáñez, M.B.; Portilla-Flores, E.A. Bacterial Foraging-Based Algorithm for Optimizing the Power Generation of an Isolated Microgrid. Appl. Sci. 2019, 9, 1261. [Google Scholar] [CrossRef]
- Lerman, K.; Galstyan, A. Mathematical Model of Foraging in a Group of Robots: Effect of Interference. Auton. Robot. 2002, 13, 127–141. [Google Scholar] [CrossRef]
- Khaluf, Y.; Birattari, M.; Rammig, F. Analysis of long-term swarm performance based on short-term experiments. Soft Comput. 2016, 20, 37–48. [Google Scholar] [CrossRef]
- Hoff, N.; Wood, R.; Nagpal, R. Distributed colony-level algorithm switching for robot swarm foraging. In Distributed Autonomous Robotic Systems; Springer: Berlin/Heidelberg, Germany, 2013; pp. 417–430. [Google Scholar]
- Schafer, R.J.; Holmes, S.; Gordon, D.M. Forager activation and food availability in harvester ants. Anim. Behav. 2006, 71, 815–822. [Google Scholar] [CrossRef]
- Prabhakar, B.; Dektar, K.N.; Gordon, D.M. The Regulation of Ant Colony Foraging Activity without Spatial Information. PLoS Comput. Biol. 2012, 8, 1–7. [Google Scholar] [CrossRef] [PubMed]
- Pinter-Wollman, N.; Bala, A.; Merrell, A.; Queirolo, J.; Stumpe, M.; Holmes, S.; Gordon, D. Harvester ants use interactions to regulate forager activation and availability. Anim. Behav. 2013, 86, 197–207. [Google Scholar] [CrossRef]
- Seeley, T.D.; Visscher, P.K.; Schlegel, T.; Hogan, P.M.; Franks, N.R.; Marshall, J.A.R. Stop Signals Provide Cross Inhibition in Collective Decision-Making by Honeybee Swarms. Science 2012, 335, 108–111. [Google Scholar] [CrossRef]
- Reina, A.; Valentini, G.; Fernández-Oto, C.; Dorigo, M.; Trianni, V. A Design Pattern for Decentralised Decision Making. PLoS ONE 2015, 10, 0140950. [Google Scholar] [CrossRef]
- Valentini, G.; Ferrante, E.; Hamann, H.; Dorigo, M. Collective decision with 100Kilobots: Speed versus accuracy in binary discrimination problems. Auton. Agents Multi-Agent Syst. 2016, 30, 553–580. [Google Scholar] [CrossRef]
- Khaluf, Y.; Birattari, M.; Rammig, F. Probabilistic analysis of long-term swarm performance under spatial interferences. In Proceedings of the International Conference on Theory and Practice of Natural Computing, Cáceres, Spain, 3–5 December 2013; pp. 121–132. [Google Scholar]
- Hamann, H.; Valentini, G.; Khaluf, Y.; Dorigo, M. Derivation of a micro-macro link for collective decision-making systems. In Proceedings of the International Conference on Parallel Problem Solving from Nature; Springer: Cham, Switzerland, 2014; pp. 181–190. [Google Scholar]
- Newman, M.E. Power laws, Pareto distributions and Zipf’s law. Contemp. Phys. 2005, 46, 323–351. [Google Scholar] [CrossRef]
- Clauset, A.; Shalizi, C.R.; Newman, M.E.J. Power-Law Distributions in Empirical Data. SIAM Rev. 2009, 51, 661–703. [Google Scholar] [CrossRef]
- Broido, A.D.; Clauset, A. Scale-free networks are rare. Nat. Commun. 2019, 10, 1017. [Google Scholar] [CrossRef] [PubMed]
- Alstott, J.; Bullmore, E.; Plenz, D. Powerlaw: A Python Package for Analysis of Heavy-Tailed Distributions. PLoS ONE 2014, 9, e85777. [Google Scholar] [CrossRef] [PubMed]
- Viswanathan, G.M.; Afanasyev, V.; Buldyrev, S.; Murphy, E.; Prince, P.; Stanley, H.E. Lévy flight search patterns of wandering albatrosses. Nature 1996, 381, 413–415. [Google Scholar] [CrossRef]
- Galton, F. The Journal of the Anthropological Institute of Great Britain and Ireland; Number v. 15; Anthropological Institute of Great Britain and Ireland: London, UK, 1886. [Google Scholar]
- Pearson, K. Proceedings of the Royal Society of London; Number v. 58; Taylor & Francis: Abingdon, UK, 1895. [Google Scholar]
- Lee Rodgers, J.; Nicewander, W.A. Thirteen ways to look at the correlation coefficient. Am. Stat. 1988, 42, 59–66. [Google Scholar] [CrossRef]
- Kraaikamp, F.D.C.; Meester, H.L.L. A Modern Introduction to Probability and Statistics; Springer: Berlin/Heidelberg, Germany, 2005. [Google Scholar]
- McDonald, J.H. Handbook of Biological Statistics; Sparky House Publishing: Baltimore, MD, USA, 2009; Volume 2. [Google Scholar]
- Wang, Y.; Li, Y.; Cao, H.; Xiong, M.; Shugart, Y.Y.; Jin, L. Efficient test for nonlinear dependence of two continuous variables. BMC Bioinform. 2015, 16, 260. [Google Scholar] [CrossRef] [PubMed]
- Spearman, C. The Proof and Measurement of Association between Two Things. Am. J. Psychol. 1904, 15, 72–101. [Google Scholar] [CrossRef]
- Kendall, M.G. A new measure of rank correlation. Biometrika 1938, 30, 81–93. [Google Scholar] [CrossRef]
- Christensen, D. Fast algorithms for the calculation of Kendall’s τ. Comput. Stat. 2005, 20, 51–62. [Google Scholar] [CrossRef]
- Blest, D.C. Theory & Methods: Rank Correlation—An Alternative Measure. Aust. N. Z. J. Stat. 2000, 42, 101–111. [Google Scholar]
- Darken, P.F.; Holtzman, G.I.; Smith, E.P.; Zipper, C.E. Detecting changes in trends in water quality using modified Kendall’s tau. Environmetrics 2000, 11, 423–434. [Google Scholar] [CrossRef]
- Emond, E.J.; Mason, D.W. A new rank correlation coefficient with application to the consensus ranking problem. J. Multi-Criteria Decis. Anal. 2002, 11, 17–28. [Google Scholar] [CrossRef]
- Sengupta, D.; Maulik, U.; Bandyopadhyay, S. Entropy steered Kendall’s tau measure for a fair Rank Aggregation. In Proceedings of the 2011 2nd National Conference on Emerging Trends and Applications in Computer Science, Shillong, India, 4–5 March 2011; pp. 1–5. [Google Scholar]
- Khaluf, Y.; Hamann, H. On the definition of self-organizing systems: Relevance of positive/negative feedback and fluctuations. In Proceedings of the Swarm Intelligence: 10th International Conference, ANTS 2016, Brussels, Belgium, 7–9 September 2016; Springer: New York, NY, USA, 2016; Volume 9882, p. 298. [Google Scholar]








| Description | Symbol |
|---|---|
| Probability to switch from resting to exploring | pr→e |
| Probability to switch from exploring to resting | pe→r |
| Number of ‘success’ minus ‘failure’ messages received | δη(t) |
| Impact of minimum exploring time θe | δϕ(t) |
| Social cues for exploring and resting, respectively | se, sr |
| Internal cues for exploring and resting, respectively | ie, ir |
| Description | Symbol |
|---|---|
| Space features | |
| Degree | d |
| Change of degree | Δd |
| Critical degree (sent, received) | dc,sent, dc,rec |
| Time features | |
| Foraging time | τf |
| Homing time | τh |
| Resting time | τr |
| Collision avoidance time | τca |
| Support for the (Truncated) Power Law | Numerical Value of ρq |
|---|---|
| No support | |
| Weak | |
| Moderate | |
| Strong |
| Parameter | Value |
|---|---|
| Robot parameters | |
| Type | Footbot |
| Proximity sensor range rprox | 0.1 m |
| Range-and-bearing sensor range rrab | 1.25 m |
| Maximum moving speed | 1 |
| No-turn threshold αnt | 10° |
| Soft-turn threshold αst | 30° |
| Hard-turn threshold αht | 90° |
| Arena parameters | |
| Total area A | 50 × 50 m2 |
| Nest area An | 10 × 50 m2 |
| Foraging area Af | 40 × 50 m2 |
| Number of robots Nrobots | 950 |
| Number of items Nitems | 300 |
| Radius of an item ritem | 0.2 m |
| Total experiment duration T | 104 ts |
| Property | Correlation with Ncoll | Correlation with ωca | Correlation with ωe |
|---|---|---|---|
| Discontinuous communication mode (DCM) | |||
| d | 0.11 | 0.17 | −0.03 |
| Δd | −0.19 | −0.33 | 0.64 |
| dc,sent | 0.03 | −0.05 | −0.03 |
| dc,rec | 0.14 | 0.29 | −0.51 |
| τca | 0.76 | 0.80 | 0.06 |
| τr | 0.74 | 0.77 | 0.08 |
| τf | 0.27 | 0.26 | −0.20 |
| τh | 0.22 | 0.28 | −0.44 |
| all | 0.40 | 0.42 | 0.02 |
| Continuous communication mode (CCM) | |||
| d | 0.50 | 0.56 | 0.10 |
| Δd | −0.02 | −0.16 | 0.51 |
| dc,sent | −0.15 | −0.39 | 0.54 |
| dc,rec | 0.44 | 0.44 | 0.15 |
| τca | 0.75 | 0.80 | −0.13 |
| τr | 0.59 | 0.67 | −0.02 |
| τf | 0.26 | 0.29 | −0.24 |
| τh | 0.11 | 0.17 | −0.27 |
| all | 0.40 | 0.41 | 0.05 |
| Support for pl | Correlation with Ncoll | Correlation with ωca | Correlation with ωe |
|---|---|---|---|
| Discontinuous communication mode (DCM) | |||
| weak | 0.18 | 0.18 | −0.16 |
| moderate | 0.10 | 0.08 | 0.21 |
| strong | 0.31 | 0.40 | −0.14 |
| moderate + strong | 0.50 | 0.53 | 0.22 |
| Continuous communication mode (CCM) | |||
| weak | 0.10 | 0.11 | 0.03 |
| moderate | 0.37 | 0.33 | 0.03 |
| strong | 0.66 | 0.63 | −0.25 |
| moderate + strong | 0.74 | 0.76 | −0.02 |
© 2019 by the authors. Licensee MDPI, Basel, Switzerland. This article is an open access article distributed under the terms and conditions of the Creative Commons Attribution (CC BY) license (http://creativecommons.org/licenses/by/4.0/).
Share and Cite
Rausch, I.; Khaluf, Y.; Simoens, P. Scale-Free Features in Collective Robot Foraging. Appl. Sci. 2019, 9, 2667. https://doi.org/10.3390/app9132667
Rausch I, Khaluf Y, Simoens P. Scale-Free Features in Collective Robot Foraging. Applied Sciences. 2019; 9(13):2667. https://doi.org/10.3390/app9132667
Chicago/Turabian StyleRausch, Ilja, Yara Khaluf, and Pieter Simoens. 2019. "Scale-Free Features in Collective Robot Foraging" Applied Sciences 9, no. 13: 2667. https://doi.org/10.3390/app9132667
APA StyleRausch, I., Khaluf, Y., & Simoens, P. (2019). Scale-Free Features in Collective Robot Foraging. Applied Sciences, 9(13), 2667. https://doi.org/10.3390/app9132667

