High Temperature (Up to 950 °C) Sensor Based on Micro Taper In-Line Fiber Mach–Zehnder Interferometer
Abstract
:Featured Application
Abstract
1. Introduction
2. Theoretical Analysis and Simulations
2.1. Theoretical Analysis
2.2. Simulations
3. Experiments and Results
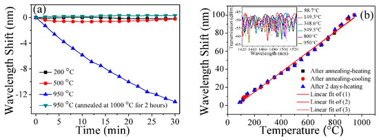
3.1. MZI Sensor
3.2. MZI Probe
4. Conclusions
Author Contributions
Funding
Conflicts of Interest
References
- Wang, Y. Review of long period fiber gratings written by CO2 laser. J. Appl. Phys. 2010, 108, 11–279. [Google Scholar] [CrossRef]
- Rao, Y.J.; Webb, D.J.; Jackson, D.A.; Zhang, L.; Bennion, I. High-resolution, wavelength-divisionmultiplexed in-fibre Bragg grating sensor system. Electron. Lett. 1996, 32, 924–926. [Google Scholar] [CrossRef]
- Cusano, A.; Paladino, D.; Iadicicco, A. Microstructured Fiber Bragg Gratings. J. Light. Technol. 2009, 27, 1663–1697. [Google Scholar] [CrossRef]
- Lee, B.H.; Kim, Y.H.; Park, K.S.; Eom, J.B.; Kim, M.J.; Rho, B.S.; Choi, H.Y. Interferometric fiber optic sensors. Sensors 2012, 12, 2467–2486. [Google Scholar] [CrossRef] [PubMed]
- Zhu, T.; Wu, D.; Liu, M.; Duan, D.W. In-line fiber optic interferometric sensors in single-mode fibers. Sensors 2012, 12, 10430–10449. [Google Scholar] [CrossRef] [PubMed]
- Wei, T.; Han, Y.; Tsai, H.L.; Xiao, H. Miniaturized fiber inline Fabry-Perot interferometer fabricated with a femtosecond laser. Opt. Lett. 2008, 33, 536–538. [Google Scholar] [CrossRef]
- Lee, C.L.; Ho, H.Y.; Gu, J.H.; Yeh, T.Y.; Tseng, C.H. Dual hollow core fiber-based Fabry-Perot interferometer for measuring the thermo-optic coefficients of liquids. Opt. Lett. 2015, 40, 459–462. [Google Scholar] [CrossRef]
- Liu, S.; Wang, Y.P.; Liao, C.R.; Wang, G.J.; Li, Z.Y.; Wang, Q.; Zhou, J.T.; Yang, K.M.; Zhong, X.Y.; Zhao, J.; et al. High-sensitivity strain sensor based on in-fiber improved Fabry-Perot interferometer. Opt. Lett. 2014, 39, 2121–2124. [Google Scholar] [CrossRef]
- Li, Z.Y.; Liao, C.R.; Wang, Y.P.; Xu, L.; Wang, D.N.; Dong, X.P.; Liu, S.; Wang, Q.; Yang, K.M.; Zhou, J.T. Highly-sensitive gas pressure sensor using twin-core fiber based in-line Mach-Zehnder interferometer. Opt. Express 2015, 23, 6673–6678. [Google Scholar] [CrossRef]
- Li, Z.Y.; Liao, C.R.; Song, J.; Wang, Y.; Zhu, F.; Dong, X.P. Ultrasensitive magnetic field sensor based on an in-fiber Mach-Zehnder interferometer with a magnetic fluid component. Photonics Res. 2016, 4, 197–201. [Google Scholar] [CrossRef]
- Wang, P.; Ni, K.; Wang, B.; Ma, Q.; Tian, W. Methylcellulose coated humidity sensor based on Michelson interferometer with thin-core fiber. Sens. Actuators A Phys. 2019, 288, 75–78. [Google Scholar] [CrossRef]
- Zhang, S.; Liu, Y.; Guo, H.; Zhou, A.; Yuan, L. Highly Sensitive Vector Curvature Sensor Based on Two Juxtaposed Fiber Michelson Interferometers with Vernier-Like Effect. IEEE Sens. J. 2019, 19, 2148–2154. [Google Scholar] [CrossRef]
- Xiao, S.; Wu, B.; Dong, Y.; Xiao, H.; Yao, S.; Jian, S. Strain and temperature discrimination using two sections of PMF in Sagnac interferometer. Opt. Laser Technol. 2019, 113, 394–398. [Google Scholar] [CrossRef]
- Wu, B.; Zhao, C.; Xu, B.; Li, Y. Optical fiber hydrogen sensor with single Sagnac interferometer loop based on vernier effect. Sens. Actuators B Chem. 2018, 255, 3011–3016. [Google Scholar] [CrossRef]
- Wang, X.; Wang, Q. A High-Birefringence Microfiber Sagnac-Interferometer Biosensor Based on the Vernier Effect. Sensors 2018, 18, 4114. [Google Scholar] [CrossRef] [PubMed]
- Tian, Z.; Yam, S.S.H.; Barnes, J.; Bock, W.; Greig, P.; Fraser, J.M.; Loock, H.P.; Oleschuk, R.D. Refractive Index Sensing With Mach–Zehnder Interferometer Based on Concatenating Two Single-Mode Fiber Tapers. IEEE Photonics Technol. Lett. 2008, 20, 626–628. [Google Scholar] [CrossRef]
- Tian, Z.; Yam, S.H. In-line abrupt taper optical fiber Mach-Zehnder interferometric strain sensor. IEEE Photonics Technol. Lett. 2009, 21, 161–163. [Google Scholar] [CrossRef]
- Lu, P.; Men, L.; Sooley, K.; Chen, Q. Tapered fiber Mach–Zehnder interferometer for simultaneous measurement of refractive index and temperature. Appl. Phys. Lett. 2009, 94, 13110. [Google Scholar] [CrossRef]
- Wu, D.; Zhu, T.; Deng, M.; Duan, D.W.; Shi, L.L.; Yao, J.; Rao, Y.J. Refractive index sensing based on Mach-Zehnder interferometer formed by three cascaded single-mode fiber tapers. Appl. Opt. 2011, 50, 1548. [Google Scholar] [CrossRef]
- Zhang, S.; Zhang, W.; Gao, S.; Geng, P.; Xue, X. Fiber-optic bending vector sensor based on Mach-Zehnder interferometer exploiting lateral-offset and up-taper. Opt. Lett. 2012, 37, 4480–4482. [Google Scholar] [CrossRef]
- Li, L.; Xia, L.; Xie, Z.; Liu, D. All-fiber Mach-Zehnder interferometers for sensing applications. Opt. Express 2012, 20, 11109–11120. [Google Scholar] [CrossRef] [PubMed]
- Nguyen, L.V.; Hwang, D.; Moon, S.; Moon, D.S.; Chung, Y. High temperature fiber sensor with high sensitivity based on core diameter mismatch. Opt. Express 2008, 16, 11369–11375. [Google Scholar] [CrossRef] [PubMed]
- Zhao, N.; Lin, Q.; Jing, W.; Jiang, Z.; Wu, Z.; Yao, K.; Tian, B.; Zhang, Z.; Shi, P. High temperature high sensitivity Mach–Zehnder interferometer based on waist-enlarged fiber bitapers. Sens. Actuators A Phys. 2017, 267, 491–495. [Google Scholar] [CrossRef]
- Wu, Q.; Semenova, Y.; Wang, P.; Farrell, G. High sensitivity SMS fiber structure base refractometer – analysis and experiment. Opt. Express 2011, 19, 7937–7944. [Google Scholar] [CrossRef] [PubMed]
- Wu, C.; Fu, H.Y.; Qureshi, K.K.; Guan, B.O.; Tam, H.Y. High-pressure and high-temperature characteristics of a Fabry-Perot interferometer based on photonic crystal fiber. Opt. Lett. 2011, 36, 412–414. [Google Scholar] [CrossRef] [PubMed]
- Wu, J.; Miao, Y.; Song, B.; Lin, W.; Zhang, K.; Zhang, H.; Liu, B.; Yao, J. Simultaneous measurement of displacement and temperature based on thin-core fiber modal interferometer. Opt. Commun. 2015, 340, 136–140. [Google Scholar] [CrossRef]
- Wu, Q.; Semenova, Y.; Wang, P.; Farrell, G. A comprehensive analysis verified by experiment of a refractometer based on an SMF28- Small-Core Singlemode fiber (SCSMF) -SMF28 fiber structure. J. Opt. 2011, 13, 125401. [Google Scholar] [CrossRef]
- Gu, B.; Yin, M.J.; Zhang, A.P.; Qian, J.W.; He, S. Low-cost high-performance fiber-optic pH sensor based on thin-core fiber modal interferometer. Opt. Express 2009, 17, 22296. [Google Scholar] [CrossRef] [PubMed]
- Liu, D.; Wu, Q.; Mei, C.; Yuan, J.; Xin, X.; Mallik, A.K.; Wei, F.; Han, W.; Kumar, R.; Yu, C.; et al. Hollow Core Fiber Based Interferometer for High-Temperature (1000 °C) Measurement. J. Light. Technol. 2018, 36, 1583–1590. [Google Scholar] [CrossRef]
- Li, Y.; Liu, Z.; Jian, S. Multimode interference refractive index sensor based on coreless fiber. Photonic Sens. 2014, 4, 21–27. [Google Scholar] [CrossRef]
- Antonio-Lopez, J.E.; Eznaveh, Z.S.; LiKamWa, P.; Schülzgen, A.; Amezcua-Correa, R. Multicore fiber sensor for high-temperature applications up to 1000°C. Opt. Lett. 2014, 39, 4309. [Google Scholar] [CrossRef] [PubMed]
- Yin, B.; Yang, L.; Liu, Z.-B.; Feng, S.; Bai, Y.; Xu, Y.; Jian, S. Investigation on a compact in-line multimode-single-mode-multimode fiber structure. Opt. Laser Technol. 2016, 80, 16–21. [Google Scholar] [CrossRef]
- Zhou, S.; Huang, B.; Shu, X. A multi-core fiber based on interferometer for high temperature sensing. Meas. Sci. Technol. 2017, 28, 045107. [Google Scholar] [CrossRef]
- Shao, M.; Qiao, X.; Fu, H.; Li, H.; Zhao, J.; Li, Y. A Mach–Zehnder interferometric humidity sensor based on waist-enlarged tapers. Opt. Lasers Eng. 2014, 52, 86–90. [Google Scholar] [CrossRef]
- Wu, Q.; Hatta, A.M.; Semenova, Y.; Farrell, G. Use of a SMS fiber filter for interrogating FBG strain sensors with dynamic temperature compensation. Appl. Opt. 2009, 48, 5451–5458. [Google Scholar] [CrossRef]









© 2019 by the authors. Licensee MDPI, Basel, Switzerland. This article is an open access article distributed under the terms and conditions of the Creative Commons Attribution (CC BY) license (http://creativecommons.org/licenses/by/4.0/).
Share and Cite
Liao, Y.-C.; Liu, B.; Liu, J.; Wan, S.-P.; He, X.-D.; Yuan, J.; Fan, X.; Wu, Q. High Temperature (Up to 950 °C) Sensor Based on Micro Taper In-Line Fiber Mach–Zehnder Interferometer. Appl. Sci. 2019, 9, 2394. https://doi.org/10.3390/app9122394
Liao Y-C, Liu B, Liu J, Wan S-P, He X-D, Yuan J, Fan X, Wu Q. High Temperature (Up to 950 °C) Sensor Based on Micro Taper In-Line Fiber Mach–Zehnder Interferometer. Applied Sciences. 2019; 9(12):2394. https://doi.org/10.3390/app9122394
Chicago/Turabian StyleLiao, Yun-Cheng, Bin Liu, Juan Liu, Sheng-Peng Wan, Xing-Dao He, Jinhui Yuan, Xinyu Fan, and Qiang Wu. 2019. "High Temperature (Up to 950 °C) Sensor Based on Micro Taper In-Line Fiber Mach–Zehnder Interferometer" Applied Sciences 9, no. 12: 2394. https://doi.org/10.3390/app9122394
APA StyleLiao, Y.-C., Liu, B., Liu, J., Wan, S.-P., He, X.-D., Yuan, J., Fan, X., & Wu, Q. (2019). High Temperature (Up to 950 °C) Sensor Based on Micro Taper In-Line Fiber Mach–Zehnder Interferometer. Applied Sciences, 9(12), 2394. https://doi.org/10.3390/app9122394

