Graphene-Coated Elliptical Nanowires for Low Loss Subwavelength Terahertz Transmission
Abstract
1. Introduction
2. Theoretical Model and Methods
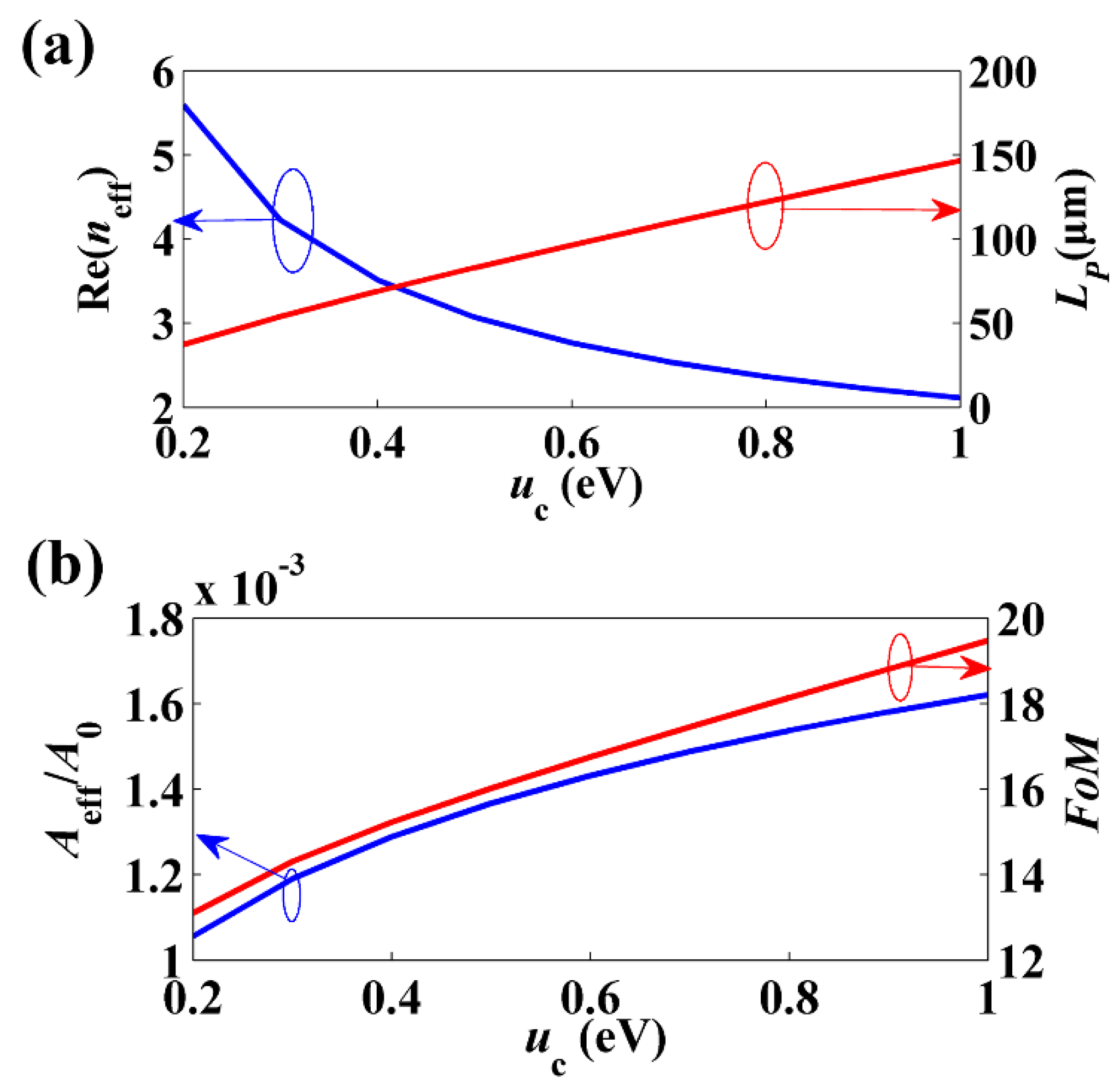
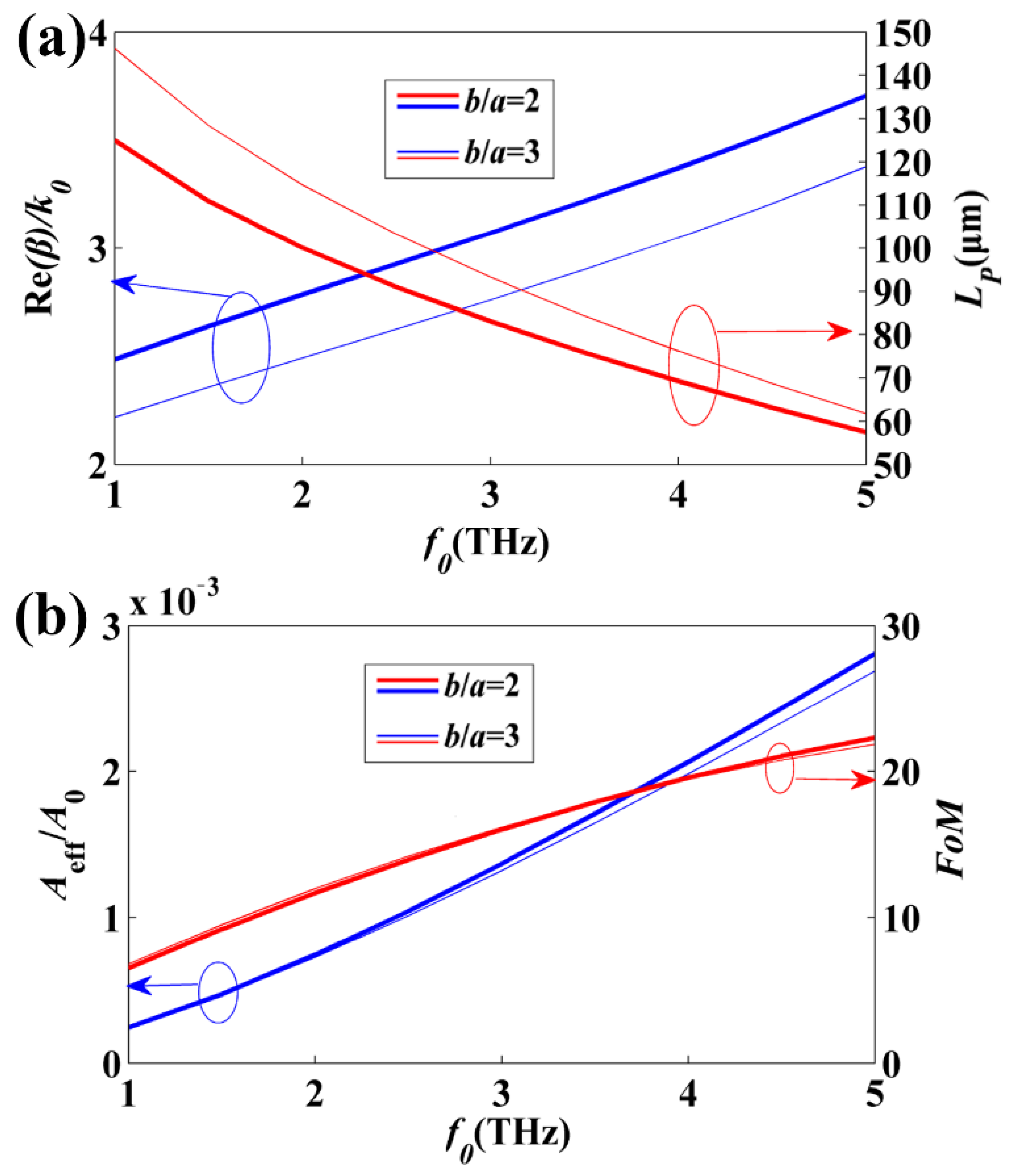
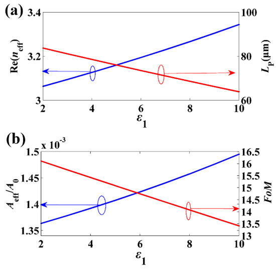
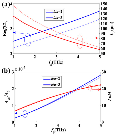
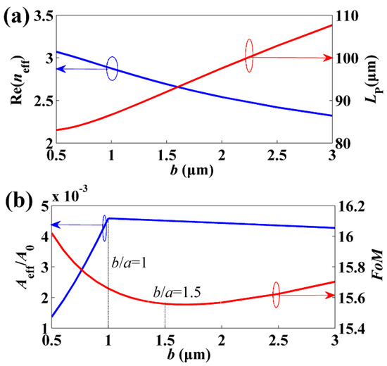
3. Results
4. Discussion
5. Conclusions
Author Contributions
Funding
Conflicts of Interest
References
- Exter, M.; Fattinger, C.; Grischkowsky, D. Terahertz time-domain spectroscopy of water vapor. Opt. Lett. 1989, 14, 1128–1130. [Google Scholar] [CrossRef] [PubMed]
- Hu, B.B.; Nuss, M.C. Imaging with terahertz waves. Opt. Lett. 1995, 20, 1716–1718. [Google Scholar] [CrossRef] [PubMed]
- Mittleman, D.M.; Jacobsen, R.H.; Nuss, M.C. T-ray Imaging. IEEE J. Sel. Top. Quantum Electron. 1997, 2, 679–692. [Google Scholar] [CrossRef]
- Fitch, M.J.; Osiander, R. Terahertz waves for communications and sensing. Johns Hopkins APL Tech. Dig. 2004, 25, 348–355. [Google Scholar]
- Li, S.; Jadidi, M.M.; Murphy, T.E.; Kumar, G. Terahertz surface plasmon polaritons on a semiconductor surface structured with periodic V-grooves. Opt. Express 2013, 21, 7041–7049. [Google Scholar] [CrossRef] [PubMed]
- Ung, B.; Mazhorova, A.; Dupuis, A.; Rozé, M.; Skorobogatiy, M. Polymer microstructured optical fibers for terahertz wave guiding. Opt. Express 2011, 19, B848–B861. [Google Scholar] [CrossRef] [PubMed]
- Markov, A.; Guerboukha, H.; Skorobogatiy, M. Hybrid metal wire-dielectric terahertz waveguides: Challenges and opportunities [Invited]. J. Opt. Soc. Am. B 2014, 31, 2587. [Google Scholar] [CrossRef]
- Atakaramians, S.; Afshar, S.; Monro, T.M.; Abbott, D. Terahertz dielectric waveguides. Adv. Opt. Photonics 2013, 5, 169–215. [Google Scholar] [CrossRef]
- Wang, J.; Du, J. Plasmonic and dielectric metasurfaces: Design, fabrication and applications. Appl. Sci. 2016, 6, 239. [Google Scholar] [CrossRef]
- Wang, K.; Mittleman, D.M. Metal wires for terahertz wave guiding. Nature 2004, 432, 376–379. [Google Scholar] [CrossRef]
- Cao, Q.; Jahns, J. Azimuthally polarized surface plasmons as effective terahertz waveguides. Opt. Express 2005, 13, 511–518. [Google Scholar] [CrossRef] [PubMed]
- Xu, L.; Li, F.; Wei, L.; Zhou, J.; Liu, S. Design of surface plasmon nanolaser based on MoS2. Appl. Sci. 2018, 8, 2110. [Google Scholar] [CrossRef]
- Heshmat, B.B.; Li, D.; Darcie, T.E.; Gordon, R. Tuning plasmonic resonances of an annular aperture in metal plate. Opt. Express 2011, 19, 5912–5923. [Google Scholar] [CrossRef] [PubMed]
- Maier, S.A.; Andrews, S.R.; Martín-Moreno, L.; García-Vidal, F.J. Terahertz surface plasmon-polariton propagation and focusing on periodically corrugated metal wires. Phys. Rev. Lett. 2006, 97, 176805. [Google Scholar] [CrossRef] [PubMed]
- Teng, D.; Cao, Q.; Gao, H.; Wang, K.; Zhu, M. Three-wave approximation for the modal field inside high-index dielectric rods of hybrid plasmonic waveguides. J. Mod. Opt. 2016, 63, 1451–1456. [Google Scholar] [CrossRef]
- Liang, H.; Ruan, S.; Zhang, M. Terahertz surface wave propagation and focusing on conical metal wires. Opt. Express 2008, 16, 18241. [Google Scholar] [CrossRef]
- Zheng, Z.; Kanda, N.; Konishi, K.; Kuwata-Gonokami, M. Efficient coupling of propagating broadband terahertz radial beams to metal wires. Opt. Express 2013, 21, 10642–10650. [Google Scholar] [CrossRef]
- Mbonye, M.; Mendis, R.; Mittleman, D.M. A terahertz two-wire waveguide with low bending loss. Appl. Phys. Lett. 2009, 95, 233506. [Google Scholar] [CrossRef]
- Pahlevaninezhad, H.; Darcie, T.E.; Heshmat, B. Two-wire waveguide for terahertz. Opt. Express 2010, 18, 7415–7420. [Google Scholar] [CrossRef]
- Teng, D.; Cao, Q.; Li, S.; Gao, H. Tapered dual elliptical plasmon waveguides as highly efficient terahertz connectors between approximate plate waveguides and two-wire waveguides. J. Opt. Soc. Am. A 2014, 31, 268–273. [Google Scholar] [CrossRef]
- Liang, H.; Ruan, S.; Zhang, M.; Su, H. Nanofocusing of terahertz wave on conical metal wire waveguides. Opt. Commun. 2010, 283, 262–264. [Google Scholar] [CrossRef]
- He, X. Investigation of terahertz surface waves of a metallic nanowire. J. Opt. Soc. Am. B 2010, 27, 2298. [Google Scholar] [CrossRef]
- Bonaccorso, F.; Sun, Z.; Hasan, T.; Ferrari, A.C. Graphene photonics and optoelectronics. Nat. Photonics 2010, 4, 611. [Google Scholar] [CrossRef]
- Politano, A.; Chiarello, G. Plasmon modes in graphene: Status and prospect. Nanoscale 2014, 6, 10927–10940. [Google Scholar] [CrossRef] [PubMed]
- Vakil, A.; Engheta, N. Transformation optics using graphene. Science 2011, 332, 1291–1294. [Google Scholar] [CrossRef] [PubMed]
- Jablan, M.; Buljan, H.; Soljacic, M. Plasmonics in graphene at infrared frequencies. Phys. Rev. B 2009, 80, 245435. [Google Scholar] [CrossRef]
- Wang, B.; Zhang, X.; Garcia-Vidal, F.J.; Yuan, X.; Teng, J. Strong coupling of surface plasmon polaritons in monolayer graphene sheet arrays. Phys. Rev. Lett. 2012, 109, 073901. [Google Scholar] [CrossRef]
- Ding, Y.; Guan, X.; Zhu, X.; Hu, H.; Bozhevolnyi, S.I.; Oxenlowe, L.K.; Jin, K.J.; Mortensen, N.A.; Xiao, S. Efficient electro-optic modulation in low-loss graphene-plasmonic slot waveguides. Nanoscale 2017, 9, 15576–15581. [Google Scholar] [CrossRef]
- Liu, P.; Zhang, X.; Ma, Z.; Cai, W.; Wang, L.; Xu, J. Surface plasmon modes in graphene wedge and groove waveguides. Opt. Express 2013, 21, 32432–32440. [Google Scholar] [CrossRef]
- Lorestaniweiss, Z.; Salar, B. Tunable transverse-electric surface plasmon polariton waves in a parallel-plate graphene-based waveguide. Phys. Scr. 2019. accepted. [Google Scholar] [CrossRef]
- Xu, W.; Zhu, Z.; Liu, K.; Zhang, J.; Yuan, X.; Lu, Q.; Qin, S. Dielectric loaded graphene plasmon waveguide. Opt. Express 2015, 23, 5147–5153. [Google Scholar] [CrossRef] [PubMed]
- Zhou, X.; Zhang, T.; Chen, L.; Hong, W.; Li, X. A graphene-based hybrid plasmonic waveguide with ultra-deep subwavelength confinement. J. Lightwave Technol. 2014, 32, 3597–3601. [Google Scholar]
- Chen, M.; Sheng, P.; Sun, W.; Cai, J. A symmetric terahertz graphene-based hybrid plasmonic waveguide. Opt. Commun. 2016, 376, 41–46. [Google Scholar] [CrossRef]
- He, X.; Ning, T.; Lu, S.; Zheng, J.; Li, J.; Li, R.; Pei, L. Ultralow loss graphene-based hybrid plasmonic waveguide with deep-subwavelength confinement. Opt. Express 2018, 26, 10109–10118. [Google Scholar] [CrossRef]
- He, X.; Ning, T.; Pei, L.; Zheng, J.; Li, J.; Wen, X.D. Tunable hybridization of graphene plasmons and dielectric modes for highly confined light transmit at terahertz wavelength. Opt. Express 2019, 27, 5961–5972. [Google Scholar] [CrossRef]
- Ye, L.; Sui, K.; Liu, Y.; Zhang, M.; Liu, Q. Graphene-based hybrid plasmonic waveguide for highly efficient broadband mid-infrared propagation and modulation. Opt. Express 2018, 26, 15935–15947. [Google Scholar] [CrossRef] [PubMed]
- Gao, Y.; Ren, G.; Zhu, B.; Liu, H.; Lian, Y.; Jian, S. Analytical model for plasmon modes in graphene-coated nanowire. Opt. Express 2014, 22, 24322. [Google Scholar] [CrossRef]
- Gao, Y.; Shadrivov, I.V. Second harmonic generation in graphene-coated nanowires. Opt. Lett. 2016, 41, 3623–3626. [Google Scholar] [CrossRef]
- Hajati, M.; Hajati, Y. High-performance and low-loss plasmon waveguiding in graphene-coated nanowire with substrate. J. Opt. Soc. Am. B 2016, 33, 2560–2565. [Google Scholar] [CrossRef]
- Teng, D.; Wang, K.; Li, Z.; Zhao, Y. Graphene-coated nanowire dimers for deep subwavelength waveguiding in mid-infrared range. Opt. Express 2019, 27, 12458–12469. [Google Scholar] [CrossRef]
- Davoyan, A.R.; Engheta, N. Salient Features of Deeply Subwavelength Guiding of Terahertz Radiation in Graphene-Coated Fibers. ACS Photonics 2016, 3, 737–742. [Google Scholar] [CrossRef]
- Liang, H.; Zhang, L.; Zhang, S.; Cao, T.; Alù, A.; Ruan, S.; Qiu, C.W. Gate-Programmable Electro-Optical Addressing Array of Graphene-Coated Nanowires with Sub-10 nm Resolution. ACS Photonics 2016, 3, 1847–1853. [Google Scholar] [CrossRef]
- Kuzmin, D.A.; Bychkov, I.V.; Shavrov, V.G.; Temnov, V.V.; Lee, H.I.; Mok, J. Plasmonically induced magnetic field in graphene-coated nanowires. Opt. Lett. 2016, 41, 396–399. [Google Scholar] [CrossRef] [PubMed]
- Huang, Y.; Zhang, L.; Yin, H.; Zhang, M.; Su, H.; Li, I.; Liang, H. Graphene-coated nanowires with a drop-shaped cross section for 10 nm confinement and 1 mm propagation. Opt. Lett. 2017, 42, 2078–2081. [Google Scholar] [CrossRef] [PubMed]
- Zhang, T.; Chen, L.; Li, X. Graphene-based tunable broadband hyperlens for far-field subdiffraction imaging at mid-infrared frequencies. Opt. Express 2013, 21, 20888–20899. [Google Scholar] [CrossRef] [PubMed]
- Nikitin, A.Y.; Guinea, F.; Garcia-Vidal, F.J.; Martin-Moreno, L. Fields radiated by a nanoemitter in a graphene sheet. Phys. Rev. B 2011, 84, 195446. [Google Scholar] [CrossRef]
- Francescato, Y.; Giannini, V.; Maier, S.A. Strongly confined gap plasmon modes in graphene sandwiches and graphene-on-silicon. New J. Phys. 2013, 15, 063020. [Google Scholar] [CrossRef]
- Zhou, Y.; Zhu, Y.Y.; Zhang, K.; Wu, H.W.; Peng, R.W.; Fan, R.H.; Wang, M. Plasmonic band structures in doped graphene tubes. Opt. Express 2017, 25, 12081–12089. [Google Scholar] [CrossRef] [PubMed]
- Hanson, G.W. Quasi-transverse electromagnetic modes supported by a graphene parallel-plate waveguide. J. Appl. Phys. 2008, 104, 084314. [Google Scholar] [CrossRef]
- Xu, J.; Shi, N.; Chen, Y.; Lu, X.; Wei, H.; Lu, Y.; Liu, N.; Zhang, B.; Wang, J. TM01 mode in a cylindrical hybrid plasmonic waveguide with large propagation length. Appl. Opt. 2018, 57, 4043–4047. [Google Scholar] [CrossRef] [PubMed]
- Oulton, R.F.; Sorger, V.J.; Pile, D.F.P.; Genov, D.A.; Zhang, X. A hybrid plasmonic waveguide for sub-wavelength confinement and long range propagation. Nat. Photonics 2008, 2, 496–500. [Google Scholar] [CrossRef]
- Ghosh, R.R.; Thomas, A.; Bhardwaj, P.; Subramanian, S.; Ahmed, K.; Dhawan, A. Design of long-range hybrid plasmonic waveguides. Opt. Compon. Mater. XVI 2019, 10914, 109141Z. [Google Scholar]
- Berini, P. Figures of merit for surface plasmon waveguides. Opt. Express 2006, 14, 13030–13042. [Google Scholar] [CrossRef] [PubMed]







| b/a | neff | LP (μm) | FWHM (nm) |
|---|---|---|---|
| 2 | 3.0709 + 0.19168i | 83 | 140 |
| 3 | 2.7599 + 0.17064i | 93 | 100 |
| 5 | 2.4004 + 0.14512i | 110 | 75 |
| 10 | 2.0191 + 0.11677i | 136 | 40 |
| 15 | 1.8561 + 0.10439i | 152 | 36 |
| 20 | 1.7646 + 0.09751i | 163 | 32 |
© 2019 by the authors. Licensee MDPI, Basel, Switzerland. This article is an open access article distributed under the terms and conditions of the Creative Commons Attribution (CC BY) license (http://creativecommons.org/licenses/by/4.0/).
Share and Cite
Teng, D.; Wang, K.; Li, Z.; Zhao, Y.; Zhao, G.; Li, H.; Wang, H. Graphene-Coated Elliptical Nanowires for Low Loss Subwavelength Terahertz Transmission. Appl. Sci. 2019, 9, 2351. https://doi.org/10.3390/app9112351
Teng D, Wang K, Li Z, Zhao Y, Zhao G, Li H, Wang H. Graphene-Coated Elliptical Nanowires for Low Loss Subwavelength Terahertz Transmission. Applied Sciences. 2019; 9(11):2351. https://doi.org/10.3390/app9112351
Chicago/Turabian StyleTeng, Da, Kai Wang, Zhe Li, Yongzhe Zhao, Gao Zhao, Huiyong Li, and Heng Wang. 2019. "Graphene-Coated Elliptical Nanowires for Low Loss Subwavelength Terahertz Transmission" Applied Sciences 9, no. 11: 2351. https://doi.org/10.3390/app9112351
APA StyleTeng, D., Wang, K., Li, Z., Zhao, Y., Zhao, G., Li, H., & Wang, H. (2019). Graphene-Coated Elliptical Nanowires for Low Loss Subwavelength Terahertz Transmission. Applied Sciences, 9(11), 2351. https://doi.org/10.3390/app9112351

