Priming of Solanum melongena L. Seeds Enhances Germination, Alters Antioxidant Enzymes, Modulates ROS, and Improves Early Seedling Growth: Indicating Aqueous Garlic Extract as Seed-Priming Bio-Stimulant for Eggplant Production
Abstract
1. Introduction
2. Materials and Methods
2.1. Preparation of Aqueous Garlic Extract (AGE), Salicylic Acid (SA), and Methyl Jasmonate (MeJA) Solution
2.2. Germination of Eggplant Seeds and Seedling Growth in Petri Dishes
2.3. Measurement of Morphological Parameters and Germination Efficiency
2.4. Estimation of Antioxidant Activity (SOD, POD, and CAT) and MDA Content
2.5. Total Soluble Proteins, Superoxides and Peroxides Determination
2.6. Statistical Analysis and Preparation of Illustrations
3. Results
3.1. Effect of Seed Priming on the Germination Traits of Eggplant
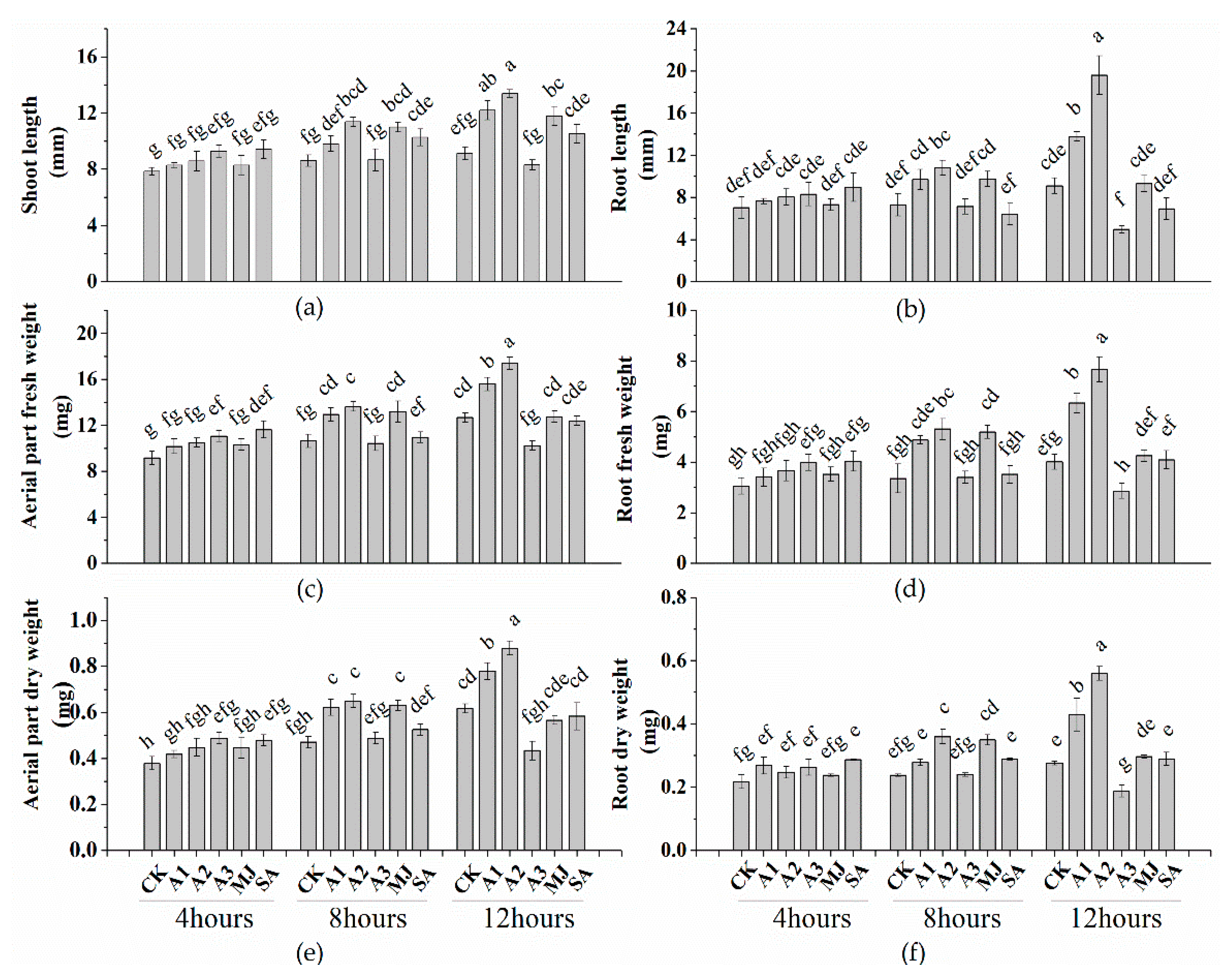
3.2. Seed Priming Promotes Morphological Indices of Eggplant
3.3. Seed Priming Alters the Antioxidant Enzymes and Indicates a Stress Like Response in the Resulted Eggplant Seedlings
3.4. Effect of Seed Priming on the Reactive Oxygen Species Observed in Eggplant Seedlings after Germination
3.5. Seed Priming of Eggplant Indicates Alterations in the Total Soluble Protein Concentrations in the Obtained Seedlings
4. Discussion
5. Conclusions
Author Contributions
Funding
Acknowledgments
Conflicts of Interest
Abbreviations
| SOD | superoxides dismutase |
| POD | peroxidase |
| CAT | catalase |
| MDA | malondialdehyde |
| ROS | reactive oxygen species |
| DADS | diallyl disulfide |
| DATS | diallyl trisulfide |
| ABA | Abscisic acid |
| IAA | Indole-3-acetic acid |
| GA3 | Gibberellic acid |
| SA | Salicylic acid |
| MeJA | Methyl Jasmonate |
| DADS | Diallyl disulfide |
| DATS | Diallyl trisulfide |
| CVG | coefficient of velocity of germination |
References
- Bewley, J.D. Seed Germination and Dormancy. Plant Cell Online 1997, 9, 1055–1066. [Google Scholar] [CrossRef] [PubMed]
- Bewley, J.D.; Bradford, K.J.; Hilhorst, H.W.M.; Nonogaki, H. Seeds physiology of development. In Gerrmination and Dormancy; Springer: New York, NY, USA, 2013; ISBN 978-1-4614-4692-7. [Google Scholar]
- Rosental, L.; Perelman, A.; Nevo, N.; Toubiana, D.; Samani, T.; Batushansky, A.; Sikron, N.; Saranga, Y.; Fait, A. Environmental and genetic effects on tomato seed metabolic balance and its association with germination vigor. BMC Genom. 2016, 17, 1047. [Google Scholar] [CrossRef] [PubMed]
- Steinbrecher, T.; Leubner-Metzger, G. The biomechanics of seed germination. J. Exp. Bot. 2017, 68, 765–783. [Google Scholar] [CrossRef] [PubMed]
- Guan, Y.; Hu, J.; Wang, X.; Shao, C. Seed priming with chitosan improves maize germination and seedling growth in relation to physiological changes under low temperature stress. J. Zhejiang Univ. Sci. B 2009, 10, 427–433. [Google Scholar] [CrossRef] [PubMed]
- Seo, M.; Nambara, E.; Okamoto, M.; Kamiya, Y.; Tatematsu, K.; Yano, R.; Seo, M.; Kamiya, Y.; Nambara, E.; Okamoto, M.; et al. Abscisic acid and the control of seed dormancy and germination. Seed Sci. Res. 2010, 20, 55–67. [Google Scholar] [CrossRef]
- Zhao, Y.; Liu, X.; Feng, Z.; Li, Q.; Luan, S.; Zhang, H.; Yang, H.-Q.; Li, J.; He, Z.-H. Auxin controls seed dormancy through stimulation of abscisic acid signaling by inducing ARF-mediated ABI3 activation in Arabidopsis. Proc. Natl. Acad. Sci. USA 2013, 110, 15485–15490. [Google Scholar] [CrossRef]
- Tran, L.-S.P.; Khan, M.A.; An, P.; Li, W.; Liu, X.; Yamaguchi, S. Roles of Gibberellins and Abscisic Acid in Regulating Germination of Suaeda salsa Dimorphic Seeds Under Salt Stress. Front. Plant Sci. 2016, 6, 1235. [Google Scholar] [CrossRef]
- Liu, Y.; Han, C.; Deng, X.; Liu, D.; Liu, N.; Yan, Y. Integrated physiology and proteome analysis of embryo and endosperm highlights complex metabolic networks involved in seed germination in wheat (Triticum aestivum L.). J. Plant Physiol. 2018, 229, 63–76. [Google Scholar] [CrossRef] [PubMed]
- Ferreira, C.D.S.; Piedade, M.T.F.; Tiné, M.A.S.; Rossatto, D.R.; Parolin, P.; Buckeridge, M.S. The role of carbohydrates in seed germination and seedling establishment of Himatanthus sucuuba, an Amazonian tree with populations adapted to flooded and non-flooded conditions. Ann. Bot. 2009, 104, 1111–1119. [Google Scholar] [CrossRef]
- Wojtyla, Ł.; Lechowska, K.; Kubala, S.; Garnczarska, M. Different modes of hydrogen peroxide action during seed germination. Front. Plant Sci. 2016, 7, 66. [Google Scholar] [CrossRef]
- Li, J.; Jian, H.; Wang, J.; Wei, L.; Li, C.; Wang, T.; Liu, L. Identification of microRNAs actively involved in fatty acid biosynthesis in developing Brassica napus seeds using high-throughput sequencing. Front. Plant Sci. 2016, 7, 1570. [Google Scholar] [CrossRef]
- Savvides, A.; Ali, S.; Tester, M.; Fotopoulos, V. Chemical priming of plants against multiple abiotic stresses: Mission Possible? Trends Plant Sci. 2016, 21, 329–340. [Google Scholar] [CrossRef]
- Saberi, M.; Shahriari, A.; Tarnian, F.; Jafari, M.; Safari, H. Influence of some chemical compounds on germination and early seedling growth of two range species under allelopathic conditions. Front. Agric. China 2011, 5, 310–321. [Google Scholar] [CrossRef]
- Ibrahim, E.A. Seed priming to alleviate salinity stress in germinating seeds. J. Plant Physiol. 2016, 192, 38–46. [Google Scholar] [CrossRef]
- Mahesh, H.M.; Murali, M.; Anup Chandra Pal, M.; Melvin, P.; Sharada, M.S. Salicylic acid seed priming instigates defense mechanism by inducing PR-Proteins in Solanum melongena L. upon infection with Verticillium dahliae Kleb. Plant Physiol. Biochem. 2017, 117, 12–23. [Google Scholar] [CrossRef]
- Yan, M. Seed priming stimulate germination and early seedling growth of Chinese cabbage under drought stress. S. Afr. J. Bot. 2015, 99, 88–92. [Google Scholar] [CrossRef]
- Zhang, Y.; Liu, H.; Shen, S.; Zhang, X. Improvement of eggplant seed germination and seedling emergence at low temperature by seed priming with incorporation SA into KNO 3 solution. Front. Agric. China 2011, 5, 534–537. [Google Scholar] [CrossRef]
- Król, P.; Igielski, R.; Pollmann, S.; Kepczyńska, E. Priming of seeds with methyl jasmonate induced resistance to hemi-biotroph Fusarium oxysporum f.sp. lycopersici in tomato via 12-oxo-phytodienoic acid, salicylic acid, and flavonol accumulation. J. Plant Physiol. 2015, 179, 122–132. [Google Scholar] [CrossRef]
- Nawaz, A.; Sheteiwy, M.S.; Khan, S.M.; Hu, Q.; Guan, Y.; Bukhari, S.A.H.; Luo, Y.; Hu, J. Optimization of germination inhibitors for controlling pre-harvest sprouting in hybrid rice. Pak. J. Agric. Sci. 2017, 54, 261–270. [Google Scholar] [CrossRef]
- Nawaz, A.; Sheteiwy, M.S.; Khan, S.M.; Bukhari, S.A.H.; Dawood, M.; Guan, Y.; Hu, J. Exploring the mechanism of exogenous applied Methyl jasmonate for germination inhibition in hybrid rice. Pak. J. Life Soc. Sci. 2017, 15, 60–71. [Google Scholar]
- Calvo, P.; Nelson, L.; Kloepper, J.W. Agricultural uses of plant biostimulants. Plant Soil 2014, 383, 3–41. [Google Scholar] [CrossRef]
- Inderjit; Mukerji, K.G. Allelochemicals: Biological control of plant pathogens and diseases. In Disease Management of Fruits and Vegetables; Inderjit Mukerji, K.G., Ed.; Disease Management of Fruits and Vegetables; Springer Science & Business Media: Berlin, Germany, 2006; Volume 2, pp. 1–211. ISBN 9781402044458. [Google Scholar]
- Andresen, M.; Wulff, E.G.; Mbega, E.R.; Stokholm, M.S.; Glazowska, S.E.; Zida, P.E.; Mabagala, R.B.; Lund, O.S.; Stokholm, M.S.; Mbega, E.R.; et al. Seed treatment with an aqueous extract of Agave sisalana improves seed health and seedling growth of sorghum. Eur. J. Plant Pathol. 2014, 141, 119–132. [Google Scholar] [CrossRef]
- Inagaki, H.; Yamaguchi, A.; Kato, K.; Kageyama, C.; Iyozumi, H. Induction of systemic resistance to anthracnose in cucumber by natural components of Allium vegetables and shiitake mushrooms. Sci. Against Microb. Pathog. 2011, 728–735. [Google Scholar]
- Foyer, C.H.; Shigeoka, S. Understanding oxidative stress and antioxidant functions to enhance photosynthesis. Plant Physiol. 2010, 155, 93–100. [Google Scholar] [CrossRef]
- Zhang, S.; Moyne, A.-L.L.; Reddy, M.S.; Kloepper, J.W. The role of salicylic acid in induced systemic resistance elicited by plant growth-promoting rhizobacteria against blue mold of tobacco. Biol. Control 2002, 25, 288–296. [Google Scholar] [CrossRef]
- Zytynska, S.E.; Hanna, R.; Houmgny, R.; Weisser, W.W.; Singh, A. Reduce pests, enhance production: Benefits of intercropping at high densities for okra farmers in Cameroon. Pest Manag. Sci. 2017, 73, 2017–2027. [Google Scholar] [CrossRef]
- Yang, F.; Chen, P.; Liu, X.; Shu, K.; Wang, X.; Yong, T.; Du, Q.; Yang, W.; Lei, L.; Hussain, S.; et al. Effects of reduced nitrogen inputs on crop yield and nitrogen use efficiency in a long-term maize-soybean relay strip intercropping system. PLoS ONE 2017, 12, e0184503. [Google Scholar] [CrossRef]
- Liu, T.; Cheng, Z.; Meng, H.; Ahmad, I.; Zhao, H. Growth, yield and quality of spring tomato and physicochemical properties of medium in a tomato/garlic intercropping system under plastic tunnel organic medium cultivation. Sci. Hortic. 2014, 170, 159–168. [Google Scholar] [CrossRef]
- Wang, M.; Wu, C.; Cheng, Z.; Meng, H. Growth and physiological changes in continuously cropped eggplant (Solanum melongena L.) upon relay intercropping with garlic (Allium sativum L.). Front. Plant Sci. 2015, 6, 262. [Google Scholar] [CrossRef]
- Du, L.; Huang, B.; Du, N.; Guo, S.; Shu, S.; Sun, J. Effects of garlic/cucumber relay intercropping on soil enzyme activities and the microbial environment in continuous cropping. HortScience 2017, 52, 78–84. [Google Scholar] [CrossRef]
- Xiao, X.; Cheng, Z.; Meng, H.; Khan, M.A.; Li, H. Intercropping with garlic alleviated continuous cropping obstacle of cucumber in plastic tunnel. Acta Agric. Scand. Sect. B Soil Plant Sci. 2012, 62, 696–705. [Google Scholar] [CrossRef]
- Ren, K.; Hayat, S.; Qi, X.; Liu, T.; Cheng, Z. The garlic allelochemical DADS influences cucumber root growth involved in regulating hormone levels and modulating cell cycling. J. Plant Physiol. 2018, 230, 51–60. [Google Scholar] [CrossRef]
- Cheng, F.; Cheng, Z.; Meng, H.; Tang, X. The garlic allelochemical diallyl disulfide affects tomato root growth by influencing cell division, phytohormone balance and expansin gene expression. Front. Plant Sci. 2016, 7, 1199. [Google Scholar] [CrossRef]
- Hayat, S.; Cheng, Z.; Ahmad, H.; Ali, M.; Chen, X.; Wang, M. Garlic, from remedy to stimulant: Evaluation of antifungal potential reveals diversity in phytoalexin allicin content among garlic cultivars; allicin containing aqueous garlic extracts trigger antioxidants in cucumber. Front. Plant Sci. 2016, 7, 1235. [Google Scholar] [CrossRef]
- Perelló, A.; Gruhlke, M.; Slusarenko, A.J. Effect of garlic extract on seed germination, seedling health, and vigour of pathogen-infested wheat. J. Plant Prot. Res. 2013, 53. [Google Scholar] [CrossRef]
- Rady, M.M.; Seif El-Yazal, M.A. Garlic extract as a novel strategy to hasten dormancy release in buds of “Anna” apple trees. S. Afr. J. Bot. 2014, 92, 105–111. [Google Scholar] [CrossRef]
- Martins, N.; Petropoulos, S.; Ferreira, I.C.F.R. Chemical composition and bioactive compounds of garlic (Allium sativum L.) as affected by pre- and post-harvest conditions: A review. Food Chem. 2016, 211, 41–50. [Google Scholar] [CrossRef]
- Hayat, S.; Ahmad, H.; Ali, M.; Hayat, K.; Khan, M.A.; Cheng, Z.; Hayat, S.; Ahmad, H.; Ali, M.; Hayat, K.; et al. Aqueous garlic extract as a plant biostimulant enhances physiology, Improves crop quality and metabolite abundance, and primes the defense responses of receiver plants. Appl. Sci. 2018, 8, 1505. [Google Scholar] [CrossRef]
- Hayat, S.; Ahmad, H.; Ali, M.; Ren, K.; Cheng, Z. Aqueous garlic extract stimulates growth and antioxidant enzymes activity of tomato (Solanum lycopersicum). Sci. Hortic. 2018, 240, 139–146. [Google Scholar] [CrossRef]
- Hayat, S.; Ahmad, H.; Ren, K.; Ali, M.; Cheng, Z. Response of tomato growth to foliar spray and root drenching of aqueous garlic extract: A cocktail of antioxidative defenses, chlorophyll, carotenoid and soluble sugar contents. Int. J. Agric. Biol. 2018, 20, 1251–1259. [Google Scholar] [CrossRef]
- Kepczyńska, E.; Król, P. The phytohormone methyl jasmonate as an activator of induced resistance against the necrotroph Alternaria porri f. sp. solani in tomato plants. J. Plant Interact. 2012, 7, 307–315. [Google Scholar] [CrossRef]
- Gokul, A.; Roode, E.; Klein, A.; Keyster, M. Exogenous 3,3′-diindolylmethane increases Brassica napus L. seedling shoot growth through modulation of superoxide and hydrogen peroxide content. J. Plant Physiol. 2016, 196–197, 93–98. [Google Scholar] [CrossRef]
- Alsaeedi, A.; El-Ramady, H.; Alshaal, T.; El-Garawani, M.; Elhawat, N.; Al-Otaibi, A. Exogenous nanosilica improves germination and growth of cucumber by maintaining K+/Na+ ratio under elevated Na+ stress. Plant Physiol. Biochem. 2018, 125, 164–171. [Google Scholar] [CrossRef] [PubMed]
- Gao, J. Experimental Guidance for Plant Physiology; Higher Education Press: Beijing, China, 2006. [Google Scholar]
- Stewart, R.R.C.; Bewley, J.D. Lipid peroxidation associated with accelerated aging of soybean axes. Plant Physiol. 1980, 65, 245–248. [Google Scholar] [CrossRef]
- Polle, A.; Otter, T.; Seifert, F. Apoplastic Peroxidases and lignification in needles of Norway Spruce (Picea abies L.). Plant Physiol. 2016, 106, 53–60. [Google Scholar] [CrossRef]
- Chance, B.; Maehly, A.C. Assay of catalases and peroxidases. Methods Enzymol. 1955, 2, 764–775. [Google Scholar] [CrossRef]
- Dhindsa, R.S.; Plumb-Dhindsa, P.L.; Reid, D.M. Leaf senescence and lipid peroxidation: Effects of some phytohormones, and scavengers of free radicals and singlet oxygen. Physiol. Plant. 1982, 56, 453–457. [Google Scholar] [CrossRef]
- Bradford, M.M. A rapid and sensitive method for the quantitation of microgram quantities of protein utilizing the principle of protein-dye binding. Anal. Biochem. 1976, 72, 248–254. [Google Scholar] [CrossRef]
- Gill, S.S.; Tuteja, N. Reactive oxygen species and antioxidant machinery in abiotic stress tolerance in crop plants. Plant Physiol. Biochem. 2010, 48, 909–930. [Google Scholar] [CrossRef] [PubMed]
- Das, K.; Roychoudhury, A. Reactive oxygen species (ROS) and response of antioxidants as ROS-scavengers during environmental stress in plants. Front. Environ. Sci. 2014, 2, 53. [Google Scholar] [CrossRef]
- Mittler, R. ROS Are Good. Trends Plant Sci. 2017, 22, 11–19. [Google Scholar] [CrossRef] [PubMed]
- Kranner, I.; Roach, T.; Beckett, R.P.; Whitaker, C.; Minibayeva, F.V. Extracellular production of reactive oxygen species during seed germination and early seedling growth in Pisum sativum. J. Plant Physiol. 2010, 167, 805–811. [Google Scholar] [CrossRef]
- Muller, K.; Linkies, A.; Fry, S.C.; Leubner-Metzger, G.; Vreeburg, R.A.M.; Krieger-Liszkay, A. In vivo cell wall loosening by hydroxyl radicals during cress seed germination and elongation growth. Plant Physiol. 2009, 150, 1855–1865. [Google Scholar] [CrossRef]
- Kumar, J.S.P.; Rajendra Prasad, S.; Banerjee, R.; Thammineni, C. Seed birth to death: Dual functions of reactive oxygen species in seed physiology. Ann. Bot. 2015, 116, 663–668. [Google Scholar] [CrossRef]
- Baxter, A.; Mittler, R.; Suzuki, N. ROS as Key Players in Plant Stress Signalling; Oxford University Press: Oxford, UK, 2014; Volume 65, pp. 1229–1240. [Google Scholar]
- Shafi, A.; Chauhan, R.; Gill, T.; Swarnkar, M.K.; Sreenivasulu, Y.; Kumar, S.; Kumar, N.; Shankar, R.; Ahuja, P.S.; Singh, A.K. Expression of SOD and APX genes positively regulates secondary cell wall biosynthesis and promotes plant growth and yield in Arabidopsis under salt stress. Plant Mol. Biol. 2015, 87, 615–631. [Google Scholar] [CrossRef]
- Mittler, R.; Vanderauwera, S.; Suzuki, N.; Miller, G.; Tognetti, V.B.; Vandepoele, K.; Gollery, M.; Shulaev, V.; Van Breusegem, F. ROS Signaling: The New Wave? Trends Plant Sci. 2011, 16, 300–309. [Google Scholar] [CrossRef]
- Torres, M.A.; Jones, J.D.G.; Dangl, J.L. Reactive oxygen species signaling in response to pathogens. Plant Physiol. 2006, 141, 373–378. [Google Scholar] [CrossRef]
- Ali, M.; Cheng, Z.; Ahmad, H.; Hayat, S. Reactive oxygen species (ROS) as defenses against a broad range of plant fungal infections and case study on ROS employed by crops against Verticillium dahliae wilts. J. Plant Interact. 2018, 13, 353–363. [Google Scholar] [CrossRef]
- Miller, G.; Suzuki, N.; Ciftci-Yilmaz, S.; Mittler, R. Reactive oxygen species homeostasis and signalling during drought and salinity stresses. Plant Cell Environ. 2010, 33, 453–467. [Google Scholar] [CrossRef] [PubMed]
- Golldack, D.; Li, C.; Mohan, H.; Probst, N. Tolerance to drought and salt stress in plants: Unraveling the signaling networks. Front. Plant Sci. 2014, 5, 151. [Google Scholar] [CrossRef]
- Shaban, M. Effect of reactive oxygen species on germination and lipid proxidation in sunflower seeds. Int. J. Adv. Biol. Biomed. Res. 2014, 2, 2086–2090. [Google Scholar]
- Satour, P.; Youssef, C.; Châtelain, E.; Vu, B.L.; Teulat, B.; Job, C.; Job, D.; Montrichard, F. Patterns of protein carbonylation during Medicago truncatula seed maturation. Plant Cell Environ. 2018, 41, 2183–2194. [Google Scholar] [CrossRef]
- Châtelain, E.; Satour, P.; Laugier, E.; Ly Vu, B.; Payet, N.; Rey, P.; Montrichard, F. Evidence for participation of the methionine sulfoxide reductase repair system in plant seed longevity. Proc. Natl. Acad. Sci. USA 2013, 110, 3633–3638. [Google Scholar] [CrossRef]
- Shaoli, C.; Baoli, Z.; Shanshan, L.; Xia, L.; Xueling, Y. Accumulation of cinnamic acid and vanillin in eggplant root exudates and the relationship with continuous cropping obstacle. Afr. J. Biotechnol. 2011, 10, 2659–2665. [Google Scholar] [CrossRef]
- Huang, X.; Bie, Z.; Huang, Y. Identification of autotoxins in rhizosphere soils under the continuous cropping of cowpea. Allelopath. J. 2010, 25, 383–392. [Google Scholar]
- Wang, M.; Wu, C.; Cheng, Z.; Meng, H.; Zhang, M.; Zhang, H. Soil chemical property changes in eggplant/garlic relay intercropping systems under continuous cropping. PLoS ONE 2014, 9, e111040. [Google Scholar] [CrossRef]
- Hussain, S.; Khan, F.; Hussain, H.A.; Nie, L. Physiological and biochemical mechanisms of seed priming-induced chilling tolerance in rice cultivars. Front. Plant Sci. 2016, 7. [Google Scholar] [CrossRef]
- Anaya, F.; Fghire, R.; Wahbi, S.; Loutfi, K. Influence of salicylic acid on seed germination of Vicia faba L. under salt stress. J. Saudi Soc. Agric. Sci. 2018, 17. [Google Scholar] [CrossRef]
- Sheteiwy, M.S.; Gong, D.; Gao, Y.; Pan, R.; Hu, J.; Guan, Y. Priming with methyl jasmonate alleviates polyethylene glycol-induced osmotic stress in rice seeds by regulating the seed metabolic profile. Environ. Exp. Bot. 2018, 153, 236–248. [Google Scholar] [CrossRef]
- Bhandari, S.R.; Yoon, M.K.; Kwak, J.H. Contents of phytochemical constituents and antioxidant activity of 19 garlic (Allium sativum L.) parental lines and cultivars. Hortic. Environ. Biotechnol. 2014, 55, 138–147. [Google Scholar] [CrossRef]
- El–Hamied, S.A.A.; El-Amary, E.-A. Improving growth and productivity of “Pear” trees using some natural plants extracts under north sinai conditions. IOSR J. Agric. Vet. Sci. 2015, 8. [Google Scholar] [CrossRef]






| Treatments | Shoot Length (mm) | Aerial Part Fresh Weight (mg Plant−1) | Aerial Part Dry Weight (mg Plant−1) | Root Length (mm) | Root Fresh Weight (mg Plant−1) | Root Dry Weight (mg Plant−1) |
|---|---|---|---|---|---|---|
| Treatments | ||||||
| Control | 8.53 ± 0.38c | 10.83 ± 0.51de | 0.488 ± 0.025cd | 7.81 ± 0.94cd | 3.47 ± 0.40d | 0.243 ± 0.011d |
| AGE (100) | 10.09 ± 0.47b | 12.90 ± 0.60b | 0.606 ± 0.029a | 10.37 ± 0.55b | 4.87 ± 0.30ab | 0.325 ± 0.030b |
| AGE (200) | 11.11 ± 0.43a | 13.83 ± 0.45a | 0.659 ± 0.033a | 12.81 ± 1.34a | 5.54 ± 0.43a | 0.388 ± 0.021a |
| AGE (300) | 8.76 ± 0.52c | 10.57 ± 0.51e | 0.469 ± 0.030d | 6.80 ± 0.72d | 3.41 ± 0.29d | 0.230 ± 0.017d |
| MeJA | 10.36 ± 0.57ab | 12.09 ± 0.63bc | 0.547 ± 0.028b | 8.79 ± 0.67bc | 4.32 ± 0.25bc | 0.294 ± 0.009bc |
| SA | 10.07 ± 0.64b | 11.65 ± 0.55cd | 0.528 ± 0.036bc | 7.43 ± 1.14cd | 3.88 ± 0.36cd | 0.288 ± 0.009c |
| Priming Durations | ||||||
| 4 h | 8.62 ± 0.49c | 10.47 ± 0.56c | 0.442 ± 0.029c | 7.88 ± 0.84b | 3.61 ± 0.34c | 0.253 ± 0.017c |
| 8 h | 9.96 ± 0.51b | 11.96 ± 0.59b | 0.564 ± 0.027b | 8.52 ± 0.87b | 4.27 ± 0.33b | 0.292 ± 0.010b |
| 12 h | 10.89 ± 0.52a | 13.51 ± 0.48a | 0.643 ± 0.034a | 10.61 ± 0.98a | 4.87 ± 0.34a | 0.339 ± 0.021a |
| F-Test | ||||||
| Concentrations (C) | *** | *** | *** | *** | *** | *** |
| Priming Durations (P) | *** | *** | *** | *** | *** | *** |
| C × P | ** | *** | *** | *** | *** | *** |
© 2019 by the authors. Licensee MDPI, Basel, Switzerland. This article is an open access article distributed under the terms and conditions of the Creative Commons Attribution (CC BY) license (http://creativecommons.org/licenses/by/4.0/).
Share and Cite
Ali, M.; Hayat, S.; Ahmad, H.; Ghani, M.I.; Amin, B.; Atif, M.J.; Cheng, Z. Priming of Solanum melongena L. Seeds Enhances Germination, Alters Antioxidant Enzymes, Modulates ROS, and Improves Early Seedling Growth: Indicating Aqueous Garlic Extract as Seed-Priming Bio-Stimulant for Eggplant Production. Appl. Sci. 2019, 9, 2203. https://doi.org/10.3390/app9112203
Ali M, Hayat S, Ahmad H, Ghani MI, Amin B, Atif MJ, Cheng Z. Priming of Solanum melongena L. Seeds Enhances Germination, Alters Antioxidant Enzymes, Modulates ROS, and Improves Early Seedling Growth: Indicating Aqueous Garlic Extract as Seed-Priming Bio-Stimulant for Eggplant Production. Applied Sciences. 2019; 9(11):2203. https://doi.org/10.3390/app9112203
Chicago/Turabian StyleAli, Muhammad, Sikandar Hayat, Husain Ahmad, Muhammad Imran Ghani, Bakht Amin, Muhammad Jawaad Atif, and Zhihui Cheng. 2019. "Priming of Solanum melongena L. Seeds Enhances Germination, Alters Antioxidant Enzymes, Modulates ROS, and Improves Early Seedling Growth: Indicating Aqueous Garlic Extract as Seed-Priming Bio-Stimulant for Eggplant Production" Applied Sciences 9, no. 11: 2203. https://doi.org/10.3390/app9112203
APA StyleAli, M., Hayat, S., Ahmad, H., Ghani, M. I., Amin, B., Atif, M. J., & Cheng, Z. (2019). Priming of Solanum melongena L. Seeds Enhances Germination, Alters Antioxidant Enzymes, Modulates ROS, and Improves Early Seedling Growth: Indicating Aqueous Garlic Extract as Seed-Priming Bio-Stimulant for Eggplant Production. Applied Sciences, 9(11), 2203. https://doi.org/10.3390/app9112203

