Performance of SIMO FSO Links over Mixture Composite Irradiance Channels
Abstract
1. Introduction
2. Channel Model
2.1. Atmospheric Turbulence Model
2.2. NZB-PE Model
2.3. Composite Irradiance Model
3. Performance Analysis
3.1. Outage Probability
3.2. Average BER
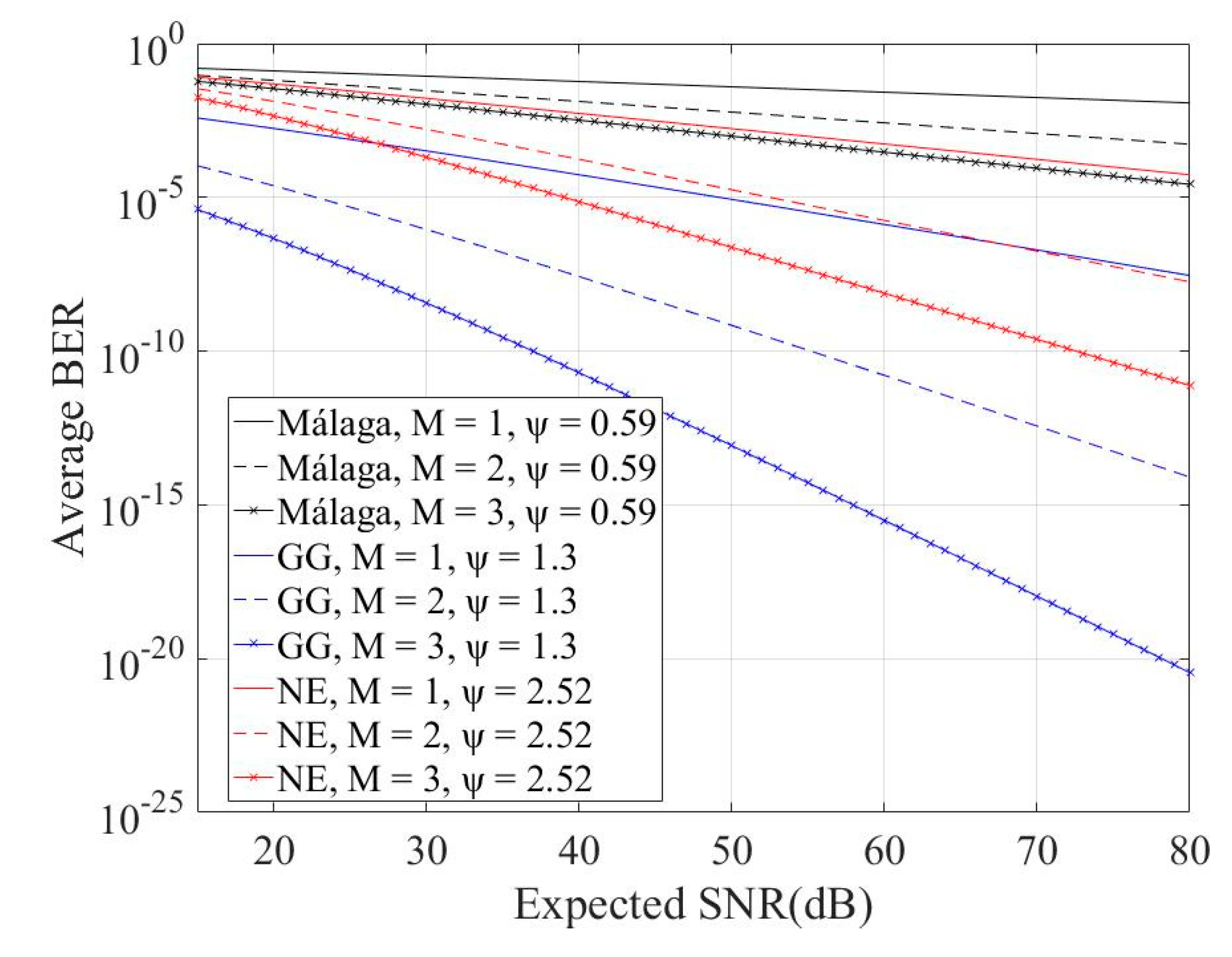
4. Numerical Results
5. Conclusions
Author Contributions
Funding
Conflicts of Interest
References
- Ghassemlooy, Z.; Arnon, S.; Uysal, M.; Xu, Z.; Cheng, J. Emerging optical wireless communications-advances and challenges. IEEE J. Sel. Areas Commun. 2015, 33, 1738–1749. [Google Scholar] [CrossRef]
- Khalighi, M.A.; Uysal, M. Survey on free space optical communication: A communication theory perspective. IEEE Commun. Surv. Tutor. 2014, 16, 2231–2258. [Google Scholar] [CrossRef]
- Boluda-Ruiz, R.; García-Zambrana, A.; Castillo-Vázquez, C.; Castillo-Vázquez, B. Novel approximation of misalignment fading modeled by beckmann distribution on free-space optical links. Opt. Express 2016, 24, 22635. [Google Scholar] [CrossRef] [PubMed]
- Varotsos, G.K.; Nistazakis, H.E.; Petkovic, M.I.; Djordjevic, G.T.; Tombras, G.S. SIMO optical wireless links with nonzero boresight pointing errors over m modeled turbulence channels. Opt. Commun. 2017, 403, 391–400. [Google Scholar] [CrossRef]
- Sandalidis, H.G.; Chatzidiamantis, N.D.; Karagiannidis, G.K. A Tractable model for turbulence- and misalignment-induced fading in optical wireless systems. IEEE Commun. Lett. 2016, 20, 1904–1907. [Google Scholar] [CrossRef]
- Gradshteyn, I.S.; Ryzhik, I.M. Special Functions. In Table of Integrals, Series, and Products, 7th ed.; Jeffrey, A., Zwillinger, D., Eds.; Elsevier (Academic Press): New York, NY, USA, 2008; pp. 859–1046. [Google Scholar]
- Jurado-Navas, A.; Maria, J.; Francisco, J.; Puerta-Notario, A. A Unifying Statistical Model for Atmospheric Optical Scintillation. In Numerical Simulations of Physical and Engineering Processes; InTech, 2011. Available online: https://www.intechopen.com/books/numerical-simulations-of-physical-and-engineering-processes/a-unifying-statistical-model-for-atmospheric-optical-scintillation (accessed on 18 May 2019).
- Varotsos, G.K.; Nistazakis, H.E.; Volos, C.K.; Tombras, G.S. FSO links with diversity pointing errors and temporal broadening of the pulses over weak to strong atmospheric turbulence channels. Optik 2016, 127, 3402–3409. [Google Scholar] [CrossRef]
- Ninos, M.P.; Nistazakis, H.E.; Tombras, G.S. On the BER performance of FSO links with multiple receivers and spatial jitter over gamma-gamma or exponential turbulence channels. Optik 2017, 138, 269–279. [Google Scholar] [CrossRef]
- Sandalidis, H.G.; Chatzidiamantis, N.D.; Ntouni, G.D.; Karagiannidis, G.K. Performance of free-space optical communications over a mixture composite irradiance channel. Electron. Lett. 2017, 53, 260–262. [Google Scholar] [CrossRef]
- Nistazakis, H.E.; Tombras, G.S. On the use of wavelength and time diversity in optical wireless communication systems over gamma-gamma turbulence channels. Opt. Laser Technol. 2012, 44, 2088–2094. [Google Scholar] [CrossRef]
- Chiani, M.; Dardari, D.; Simon, M.K. New exponential bounds and approximations for the computation of error probability in fading channels. IEEE Trans. Wirel. Commun. 2003, 24, 840–845. [Google Scholar] [CrossRef]
- Prudnikov, A.P.; Brychkov, Y.A.; Marichev, O.I. Definite Integral. In Integrals and Series: Special Functions; Gordon and Breach Science Publishers: Glasgow, UK, 1992; Volume 2, pp. 55–312. [Google Scholar]




| Distributions | α or α’ | β or β’ | ψ | A0 | g |
|---|---|---|---|---|---|
| NE | - | - | 2.52 | 0.04 | 0.79 |
| GG | 2 | 5 | 1.3 | 0.04 | 1.21 |
| Málaga | 2 | 5 | 0.59 | 0.04 | 11.86 |
© 2019 by the authors. Licensee MDPI, Basel, Switzerland. This article is an open access article distributed under the terms and conditions of the Creative Commons Attribution (CC BY) license (http://creativecommons.org/licenses/by/4.0/).
Share and Cite
Androutsos, N.A.; Nistazakis, H.E.; Stassinakis, A.N.; Sandalidis, H.G.; Tombras, G.S. Performance of SIMO FSO Links over Mixture Composite Irradiance Channels. Appl. Sci. 2019, 9, 2072. https://doi.org/10.3390/app9102072
Androutsos NA, Nistazakis HE, Stassinakis AN, Sandalidis HG, Tombras GS. Performance of SIMO FSO Links over Mixture Composite Irradiance Channels. Applied Sciences. 2019; 9(10):2072. https://doi.org/10.3390/app9102072
Chicago/Turabian StyleAndroutsos, Nikolaos A., Hector E. Nistazakis, Argyris N. Stassinakis, Harilaos G. Sandalidis, and George S. Tombras. 2019. "Performance of SIMO FSO Links over Mixture Composite Irradiance Channels" Applied Sciences 9, no. 10: 2072. https://doi.org/10.3390/app9102072
APA StyleAndroutsos, N. A., Nistazakis, H. E., Stassinakis, A. N., Sandalidis, H. G., & Tombras, G. S. (2019). Performance of SIMO FSO Links over Mixture Composite Irradiance Channels. Applied Sciences, 9(10), 2072. https://doi.org/10.3390/app9102072

