Design of a Laparoscopic Robot System Based on Spherical Magnetic Field
Abstract
1. Introduction
1.1. Background
1.2. Related Works
1.3. The Present Work
2. Control Principle of the Laparoscopic Robot System
3. Structural Design of Laparoscopic Robot System
3.1. Main Structure of the Laparoscopic Robot System
3.2. Design of the Rotor
3.3. Design of the Stator
4. Mathematic Modeling
4.1. The Magnetic Flux Intensity B Produced by Stator
4.1.1. The Magnetic Flux Intensity B Produced by Single Electromagnet
4.1.2. Superposition of Magnetic Flux Intensity B Produced by Multiple Electromagnets
4.2. Magnetc Moment of Rotor
4.3. Solution of Force and Torque
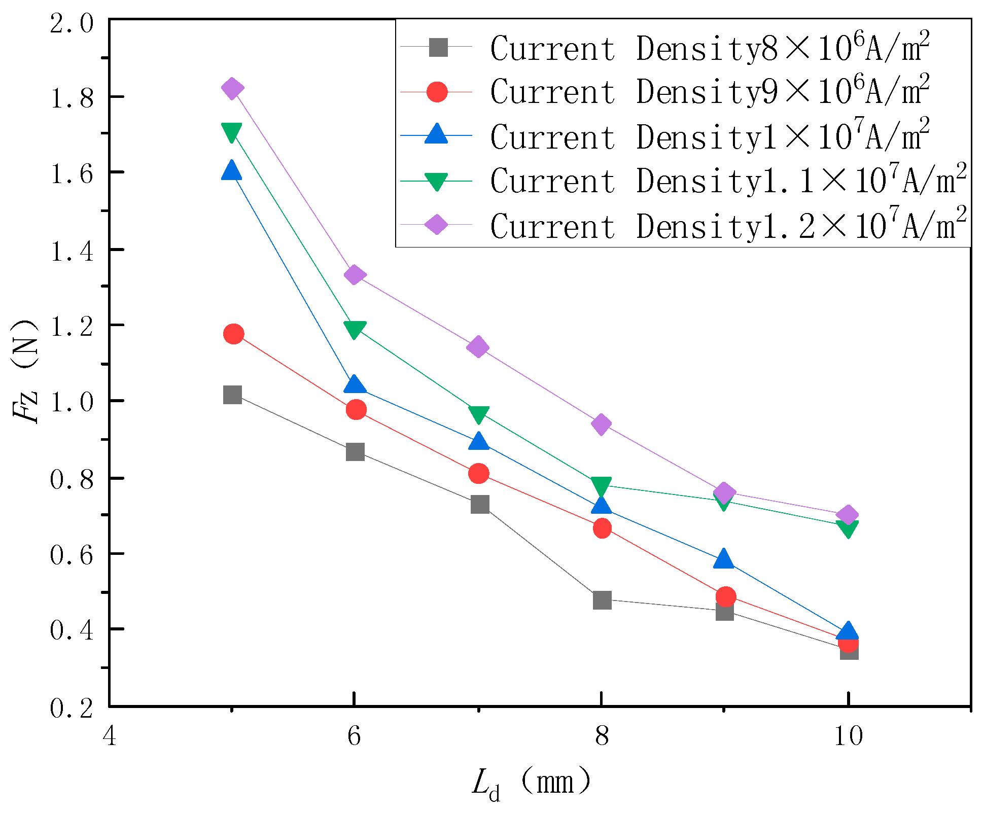
4.4. Statics Analysis
5. Verification Experiments
5.1. The Structure of the Experimantal Platform
5.2. Translational and Rotational Motion of the Rotor
5.3. Deflection Motion of the Rotor
5.4. Measurement of Deflection Angle
6. Conclusions and Future Works
Author Contributions
Funding
Conflicts of Interest
References
- Díaz, C.E.; Fernández, R.; Armada, M.; Gutiérrez, F.d.J.G. State of the art in robots used in minimally invasive surgeries. Natural Orifice Transluminal Surgery (NOTES) as a particular case. Ind. Robot Int. J. Robot. Res. Appl. 2015, 42, 508–532. [Google Scholar] [CrossRef]
- Jung, Y.W.; Kim, S.W.; Kim, Y.T. Recent advances of robotic surgery and single port laparoscopy in gynecologic oncology. J. Gynecol. Oncol. 2009, 20, 137–144. [Google Scholar] [CrossRef] [PubMed]
- Díaz, C.E.; Fernández, R.; Armada, M.; García, F. A research review on clinical needs, technical requirements, and normativity in the design of surgical robots. Int. J. Med. Robot. Comput. Assist. Surg. 2017, 13. [Google Scholar] [CrossRef] [PubMed]
- Hu, T.; Allen, P.K.; Fowler, D.L. In-vivo pan/tilt endoscope with integrated light source. In Proceedings of the IEEE/RSJ International Conference on Intelligent Robots & Systems, San Diego, CA, USA, 29 October–2 November 2007; pp. 1284–1289. [Google Scholar]
- Hu, T.; Allen, P.K.; Hogle, N.J.; Fowler, D.L. Insertable surgical imaging device with pan, tilt, zoom, and lighting. In Proceedings of the IEEE International Conference on Robotics & Automation, Pasadena, CA, USA, 19–23 May 2008; pp. 2948–2953. [Google Scholar]
- Castro, C.A.; Alqassis, A.; Smith, S.; Ketterl, T.; Sun, Y.; Ross, S.; Rosemurgy, A.; Savage, P.P.; Gitlin, R.D. A wireless robot for networked laparoscopy. IEEE Trans. Biomed. Eng. 2013, 60, 930–936. [Google Scholar] [CrossRef] [PubMed]
- Platt, S.R.; Hawks, J.A.; Rentschler, M.E. Vision and task assistance using modular wireless in vivo surgical robots. IEEE Trans. Bio-Med. Eng. 2009, 56, 1700–1710. [Google Scholar] [CrossRef] [PubMed]
- Simi, M.; Silvestri, M.; Cavallotti, C.; Vatteroni, M.; Valdrastri, P.; Menciassi, A.; Dario, P. Magnetically activated stereoscopic vision system for laparoendoscopic single-site surgery. IEEE/ASME Trans. Mechatron. 2013, 18, 1140–1151. [Google Scholar] [CrossRef]
- Simi, M.; Sardi, G.; Valdastri, P.; Menciassi, A.; Dario, P. Magnetic Levitation camera robot for endoscopic surgery. In Proceedings of the IEEE International Conference on Robotics & Automation, Shanghai, China, 9–13 May 2011; pp. 5279–5284. [Google Scholar]
- Rossini, L.; Chetelat, O.; Onillon, E.; Perriard, Y. Force and torque analytical models of a reaction sphere actuator based on spherical harmonic rotation and decomposition. IEEE/ASME Trans. Mechatron. 2013, 18, 1006–1018. [Google Scholar] [CrossRef]
- Wang, W.; Wang, J.; Jewell, G.W.; Howe, D. Design and control of a novel spherical permanent magnet actuator with three degrees of freedom. IEEE/ASME Trans. Mechatron. 2003, 8, 457–468. [Google Scholar] [CrossRef]
- Kratochvil, B.E.; Kummer, M.P.; Abbott, J.J.; Kratochvil, B.E.; Borer, R.; Sengul, A.; Nelson, B.J. OctoMag: An electromagnetic system for 5-DOF wireless micromanipulation. IEEE Trans. Robot. 2010, 26, 1006–1017. [Google Scholar]
- Tracy, C.R.; Raman, J.D.; Cadeddu, J.A.; Rane, A. Laparoendoscopic single-site surgery in urology: where have we been and where are we heading? Nat. Rev. Urol. 2008, 5, 561. [Google Scholar] [CrossRef] [PubMed]
- Abbott, J.J.; Ergeneman, O.; Kummer, M.P.; Hirt, A.M.; Nelson, B.J. Modeling magnetic torque and force for controlled manipulation of soft-magnetic bodies. IEEE Trans. Robot. 2007, 23, 1247–1252. [Google Scholar] [CrossRef]
- Qualification Appraisal and Certification Committee of Civil Aviation Non-destructive Testing Staff. Magnetic Particle Test of Aircraft, 2nd ed.; China Civil Aviation Press: Beijing, China, 2009; ISBN 9787801108760. (In Chinese) [Google Scholar]
- Zhou, J.B.; Liu, B.Y.B. Magnetic Circuit and Magnetic Field, 1st ed.; Harbin Institute of Technology Press: Harbin, China, 1998; pp. 1–108. ISBN 7560312853. (In Chinese) [Google Scholar]















| Number | Ratio of Length to Diameter | Magnetic Susceptibility in the Long Axis |
|---|---|---|
| 1 | 1 | 0.27 |
| 2 | 2 | 0.14 |
| 3 | 5 | 0.04 |
| 4 | 10 | 0.0172 |
| 5 | 20 | 0.00617 |
| 6 | 50 | 0.00129 |
| 7 | 100 | 0.00036 |
© 2019 by the authors. Licensee MDPI, Basel, Switzerland. This article is an open access article distributed under the terms and conditions of the Creative Commons Attribution (CC BY) license (http://creativecommons.org/licenses/by/4.0/).
Share and Cite
Wei, H.; Li, K.; Xu, D.; Tan, W. Design of a Laparoscopic Robot System Based on Spherical Magnetic Field. Appl. Sci. 2019, 9, 2070. https://doi.org/10.3390/app9102070
Wei H, Li K, Xu D, Tan W. Design of a Laparoscopic Robot System Based on Spherical Magnetic Field. Applied Sciences. 2019; 9(10):2070. https://doi.org/10.3390/app9102070
Chicago/Turabian StyleWei, Hongxing, Kaichao Li, Dong Xu, and Wenshuai Tan. 2019. "Design of a Laparoscopic Robot System Based on Spherical Magnetic Field" Applied Sciences 9, no. 10: 2070. https://doi.org/10.3390/app9102070
APA StyleWei, H., Li, K., Xu, D., & Tan, W. (2019). Design of a Laparoscopic Robot System Based on Spherical Magnetic Field. Applied Sciences, 9(10), 2070. https://doi.org/10.3390/app9102070
