Abstract
Black phosphorus nanoribbons (BPNs) might offer alternatives to narrow-gap compound semiconductors for tunable optoelectronics in infrared region. In this work we present a quantum perturbation theory on two-photon absorption (TPA) in monolayer armchair-edged black phosphorus nanoribbons (acBPNs) employing the reduced two-band model within the long-wavelength BP Hamiltonian. The matrix elements for one-photon transition have been derived and the TPA spectrum associate with intra conduction band transition and inter band transition have been drawn. The calculations predict that the TPA coefficient in acBPNs is in the magnitude of 10−6 m/W in visible region, which is 4 orders higher than the conventional semiconductor quantum dots. And in infrared region, there is a giant TPA coefficient, which is mainly contributed from intra band transitions and can reach up to10−1 m/W. The TPA peaks can be tuned both by the width of BPNs and the electron relaxation energy.
1. Introduction
Black phosphorus (BP), which consists of phosphorus atoms arranged to puckered layers with a honeycomb structure, is one of new two-dimensional (2D) materials [1,2,3,4,5]. BP has a layer-dependent direct bandgap varying from 0.3 eV for bulk BP to 2.0 eV for monolayer BP (also known as phosphorene), which can bridge the energy gap between zero-gap graphene and large-gap transition metal dichalcogenides (TMDs) [6,7,8]. So, it is a promising candidate for near- and mid-infrared opto-electronical applications [9,10,11]. The instability of the surface due to the chemical degradation in ambient conditions used to be a main problem to its prospective applications. However, the scientists have successfully solved the degradation problem in BP and mitigated the instability issue using many innovative approaches, such as surface functionalization or coatings, capping, and encapsulation [5,12]. Similar to graphene nanoribbons [13,14], it is predicted that the electronic structure and the transport properties of confined black phosphorous nanoribbons (BPNs) will be much more abundant compared with the infinite sample, due to its crystal orientation and width dependent electronic states. Accurate knowledge of the nonlinear optical characteristics of BPNs is very important for design and optimizing its optical applications
Recent theoretical studies of BPNs mainly focus on its electronic energy states on the base of the tight-binding approach [15,16] or first-principles [10,17]. The boundary conditions for BPNs have been proposed by Sousa et al. in the continuum approach, and they have investigated the energy spectrum of monolayer BPNs using a low-energy expansion of tight-binding theory for energy close to the Fermi energy level [16]. Carvalho et al. have examined the edge-induced states located in band gap in few-layer phosphorene employing density functional theory [18]. The theoretical treatment of nonlinear optical refraction and absorption in single layer BP has been presented by Margulis et al. And they explored the polarization dependent properties [19]. As far as the experimental studies are concerned, although the BP sample is instable in ambient conditions, there still have been a series of advances in experimental investigations into nonlinear optical (NLO) characters in limited layered BP or its different nanoscale forms, which are dispersed in organic solvents that shows no nonlinear properties under laser excitation. It is reported that the few-layer BP nanosheets possess giant saturable absorption (SA) response and the TPA coefficient is measured to be (4.16 ± 0.4) × 103 cm/GW by the OA Z-Scan and pump-probe spectra techniques [20]. Also, the SA measurements have been conducted by wide-band Z-scan technique. Three different sets of organic solvents (isopropyl alcohol, N-Methylpyrrolidone solvents and ethyl alcohol) were chosen to disperse BP flakes [9]. Wang et al. systematically investigated the excited carrier dynamics and NLO saturable absorption of liquid-exfoliated BP nanosheets over a broad wavelength range from 800 to 2100 nm [21]. The achievement of size-dependent SA and Kerr nonlinearity of BP nanosheets employing Z-scan and pump-probe technique was also reported by Xu and co-workers with pulse duration of about 635 fs centered at wavelength of 1562 nm [22]. In addition, Jiang’s group has explored the broadband NLO properties of ultrasmall black phosphorus quantum dots (BPQDs) using OA Z-scan technique and the nonlinear absorption coefficients are found to be (7.49 ± 0.23) × 10−3, (1.68 ± 0.078) × 10−3 and (0.81 ± 0.03) × 10−3 cm/GW for 500, 700, and 900 nm [23]. Nevertheless, all of the experimental data lack the verification from the view of NLO theories.
Therefore, in this work we theoretically investigate the two-photon absorption properties of BPNs based on the electronic energy states obtained from the reduced two-band model within the long-wavelength BP Hamiltonian. We adopt the second order perturbation method of quantum theory to describe the interactions between electrons and photons. The analytical expression of two-photon absorption coefficient for armchair BPNs is derived. We simulate the TPA spectra associated with the intra conduction band transitions and inter band transitions respectively. It is found that the TPA coefficient in acBPNs can reach up to 10−6 m/W in visible region, which is 4 orders higher than the conventional semiconductor quantum dots. And in infrared region, there is a giant TPA coefficient for acBPNs, which is up to 10−1 m/W. However, the giant TPA coefficient in acBPNs is mainly contributed from intra band transitions. The TPA can be tuned both by the width of BPNs and the electron relaxation energy. These results can give suggestions to the optoelectronic applications as an optical limiter in visible or infrared region. It also can be applied to photonic cancer therapy [24].
2. Theory and Calculations
The geometry of a monolayer BPN with armchair edges is illustrated in Figure 1, where l2 = 4.19 Å is the period constants for the nanoribbon along the y-axis. It is convenient to define the width W of a BPN by one half of the number of atoms N in the unit cell: W = (N − 1) l1/2. It is can be derived as following: if there is s (integer or semi-integer) units in the x direction, the number of the atoms in unit cell 2N = 4s + 2; Since the length of one unit in x direction is l1 that the ribbon’s width W = s × l1 = (N − 1) l1/2. Employing the reduced two-band model, we can write the Hamiltonian of low-energy electrons and holes for monolayer BPNs as following [16,25],
which acts on the eigenstate
where Ψ the total wave function of the atomic sites A, B, A′ and B′. The parameters in the Hamiltonian, which has taken into account the hopping energies between the atoms in BP sheet and its lattice geometry, can be defined as following [16]: , , .
Figure 1.
Crystal structure of a black phosphorus sheet. (a) Top view. The sublattices A and B (A′ and B′) are at the bottom (top) of the monolayer structure. (b) Armchair black phosphorus nanoribbon. A dotted rectangular denote the unit cells. (c) Side view.
Bringing Equations (1) and (2) into the Schrodinger equation , we can get two coupled second-order differential equations. For armchair phosphorene nanoribbon (acBPN), considering the symmetries between sublattices owing to the D2h point group invariance of the BP lattice, these two coupled differential equations must be modified as
By solving the two differential equations, the general solution of the component or has the form
The coefficients and in the exponentials are defined by
where and . And the constants and (j = 1, 2) to be determined are related by
with and . Since the width of the ribbon is W, i.e., , a series relation below can be derived from Equations (5) and (6) at the boundaries:
Similar to the armchair graphene nanoribbons, the wave functions of both the atoms at the edges and their corresponding symmetry partners will vanish for acBPNs. Thus, the boundary conditions can be expressed as
Here it is defined and . Applying the above boundary conditions to Equation (10) and eliminating the constants t1 and t2, two algebraic equations can be obtained
Noted that , so we can conclude and consequently . And then the dispersion relation for acBPNs can be derived as
where kn=nπ/W which results from the assumption is a pure imaginary number. It is found that when , the above dispersion relation is similar to that of bulk BP for . The wave functions of an acBPN are the combinations of all possible modes
where An is the normalized constant.
Based on the energy spectrum expressed by Equation (13), we calculate the width dependent band gap at the Γ point by taking the difference between conduction band and valence band where n = 1,
It is noted that the two-photon absorption coefficient is proportional to the two-photon transition probability rate, which can be furnished by the second order time-dependent perturbation theory as following [26]
where Ei, Ef and Ev represent the energy levels of the initial, final and intermediate states of a carrier, respectively. The electron-photon interaction Hamiltonian Hint = (e/mc) A·p with m the effective mass of electron in acBPN, A = Ae is the vector potential of the light wave with the amplitude A and the polarization vector e, p is the electron momentum operator. Substituting the energy levels and wave functions for acBPNs we have obtained, the expression of matrix elements for one-photon absorption transition with the quantum numbers ni and nv can be written as
Here, δi,j is the Kronecker function, and ex, ey are the orthogonal components of the polarization vector e. The two-photon absorption coefficient α2 is proportional to the electron transition rate W(2) per unit volume through the following expression in the international system of units, under the incident laser excitation with the intersity I,
where the factor 1/(Wd) stands for the concentration of acBPNs per unit volume with W the width and d the thickness.
3. Results and Discussion
We now turn to the results of our numerical studies following the expressions derived above. Hereinafter, the calculations and discussions for monolayer acBPNs are using the following parameters [27]: μ0 = −0.42 eV, ηx = 0.58 eV·Å2, ηy = 1.01 eV·Å2, σ = 0.76 eV, χ = 5.25 eV·Å, γx = 3.93 eV·Å2, γy = 3.79 eV·Å2, m = 1.03 m0, and d = 1.84 Å.
To demonstrate the modulability of the bandgap for acBPNs, in Figure 2 we show the bandgap as a function of nanoribbon’s width, i.e., one half of the number of atoms N in the unit cell. It tells us the bandgap of acBPN can be tuned ideally from 8.5 eV to 1.6 eV by change the width of the nanoribbon. The wider the ribbon, the smaller the bandgap. Furthermore, the bandgap decreases sharply with the increase of ribbon’s width for acBPNs with small width (N < 10), while it decreases gentlely for larger values of N. Actually, it can be derived from Equation (15) that Eg → 2σ for N trends to infinite. This happens to be the situation of two-dimensional BP. For small values of N, the bandgap Eg is in proportion to 1/(N − 1)2, i.e., 1/W2. We also can analyze several characters of energy band structure from Equation (13). Firstly, the dispersion is discrete with the quantum number n in kx direction, but parabolic in ky direction; Secondly, the energy levels are of bilateral symmetry by , while for conduction band and valence band.
Figure 2.
The band gap energies obtained as a function of the atom numbers in unit cell for armchair black phosphorus nanoribbons.
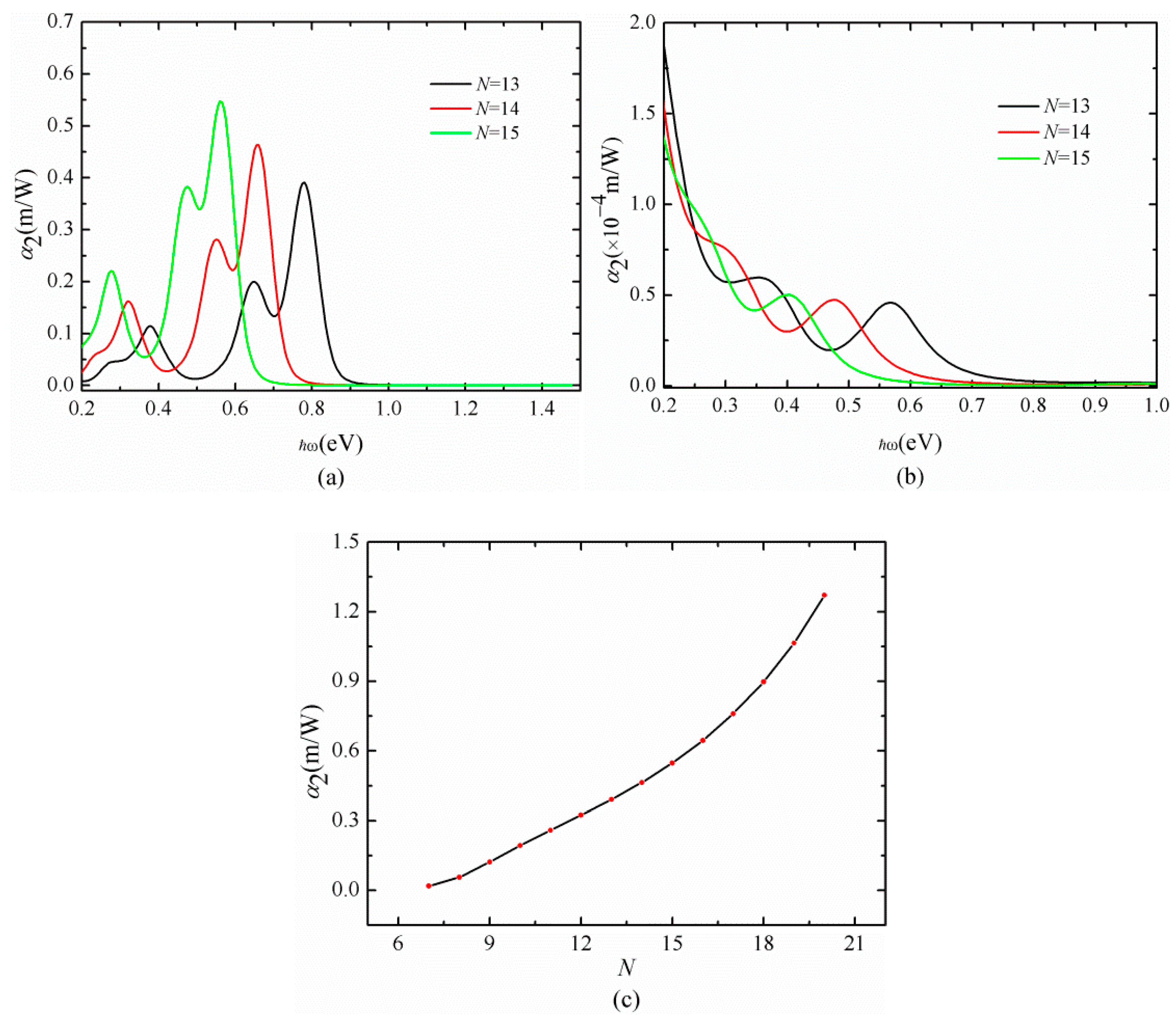
There are three transition modes for TPA depending on the initial, intermediate and final states: intra conduction band transition (all of the states are in conduction band), intra valence band transition and inter band transition (transit from valence band to conduction and any one can be the intermediate state). Adopting the TPA model presented in the previous section, the TPA spectra result from intra conduction band transitions and inter band transitions for acBPNs with three different width are respectively shown in Figure 3a,b. We can see that the magnitude of two-photon absorption coefficient α2 resulted from the transitions intra conduction band is about 10−1 m/W for acBPNs with width N = 13, 14, 15. The main absorption peak locates at 0.5~0.8 eV. While associated with inter band transitions, the α2 is in the magnitude of 10−5 m/W, which is only 10−4 of that originated from the intra conduction band transitions. Thus, the two-photon absorption is mainly contributed from the intra band transitions. Furthermore, it is found that α2 increases and absorption peaks shift to lower energy direction with the increase of ribbon’s width. Figure 3c illustrates the calculated peak value of TPA coefficient for N varied from 5 to 20 (W~0.6–3 nm) involving the intra conduction band transitions. This width dependence can be explained by the quantum size effect. Actually, the wider the nanoribbon, the larger the density of energy states. Thus, more two-photon transitions are involved in. We summarize the measured TPA coefficient of conventional semiconductor QDs, 2D graphene, transition metal dichalcogenides (TMDs) and BP by other group as well as our theoretical calculated values in Table 1 for comparison. We can find that, similar to other 2D materials, acBPNs have large TPA coefficient (~10−6 m/W) in visible region, which is nearly four or more orders higher than that of conventional semiconductor QDs. According to the theoretical calculation, there is a giant TPA coefficient for acBPNs in infrared band, which can reach up to 10−1 m/W. The BP nanoribbons possess so large TPA coefficient due to its in-plane anisotropy to large extent [5]. In graphene that is disk geometrical, the TPA transitions are only dependent on the scalar of momentum. While the TPA transitions in BP are dependent on the vectorial momentum due. If we simply change the polarization direction of the incident light, the TPA transition resonance frequency can be tuned continuously. As such, TPA resonance enhancement occurs a great deal. Also, it is theoretically predicted the “quasi-particle” energy band in limited-layer BP, where the quantum confinement is stronger than in other 2D material.
Figure 3.
(a) Absorption spectra for monolayer acBPNs with three different widths only result from intra conduction band transitions. (b)Two-photon absorption spectra of monolayer acBPNs for inter band transitions. (c) The peak value of absorption coefficient as a function of the atom numbers in unit cell for acBPNs.
Table 1.
Calculated and experimental two-photon absorption coefficients for acBPNs and other related materials.
There is another parameter which will affect the magnitude of TPA coefficient, the relaxation energy τ appeared in Equation (17). Relaxation energy-dependent TPA spectra are presented in Figure 4. Since it is reported that the excited carrier recovery time is about 24 ± 2 fs in BP suspension at the pump-probe wavelength of 1550 nm and the carrier recombination time is between tens of femtoseconds to hundreds of picoseconds [33]. So, we show two-photon absorption spectra for three different relaxation energies τ = 0.01 eV, 0.03 eV and 0.06 eV, which correspond to relaxation times 60, 20, 10 fs. It can be drawn that the relaxation energy will not determine the position but the magnitude of the absorption peak. These properties can be interpreted from a mathematical perspective: When TPA resonant transition occurs, and , then , which means the absorption coefficient is inversely proportional to the square of relaxation energy.
Figure 4.
TPA spectra contributed from intra conduction band transitions for different electron relaxation energy in acBPNs (N = 15).
4. Conclusions
In summary, based on the reduced two-band Hamiltonian under long-wavelength approximation, we have developed a simple analytical TPA theory capable of providing an absorption spectrum simulating in acBPNs. With this theory, we have calculated the TPA coefficient of 2–3-nm-width acBPNs, which is up to 10−1 m/W in the infrared region and 10−6 m/W in visible region. This high absorption coefficient originates from the strong quantum confinement due to in-plane anisotropy, and it is mainly contributed from the intraband transitions. Also, we have explored the width dependence of TPA in acBPNs. Consistent to other quantum confinement materials, with the increase of acBPNs’ width, the absorption peak shift to lower energy direction accompanied by the TPA coefficient increases, resulting from the quantum size effect. The carrier’s relaxation energy will not determine the position but the magnitude of the absorption peak.
Author Contributions
Conceptualization, X.F. and Q.W.; Methodology, X.F.; Software, Y.L. and Y.Q; Formal Analysis, Y.L.; Writing-Original Draft Preparation, Y.L.; Writing-Review & Editing, X.F.; Supervision, X.F.; Project Administration, X.F.; Funding Acquisition, X.F.
Funding
This work was supported by the National Natural Science Foundation of China (NSFC) (Grant Nos. 11304275, 11764047, 11864046) and Applied Basic Research Foundation of Yunnan Province (Grant No. 2017FB009); It was also supported in part by Candidate Talents Training Fund of Yunnan Province (Grant No. 2014HB010).
Conflicts of Interest
The authors declare no conflicts of interest.
References
- Reich, S.E. Phosphorene excites materials scientists. Nature 2014, 506, 19. [Google Scholar] [CrossRef] [PubMed]
- Liu, H.; Neal, A.T.; Zhu, Z.; Luo, Z.; Xu, X.; Tománek, D.; Ye, P.D. Phosphorene: An Unexplored 2D Semiconductor with a High Hole Mobility. ACS Nano 2014, 8, 4033–4041. [Google Scholar] [CrossRef] [PubMed]
- Zhao, Y.; Chen, Y.; Zhang, Y.H.; Liu, S.F. Recent advance in black phosphorus: Properties and applications. Mater. Chem. Phys. 2017, 189, 215–229. [Google Scholar] [CrossRef]
- Xia, F.N.; Wang, H.; Jia, Y.C. Rediscovering black phosphorus as an anisotropic layered material for optoelectronics and electronics. Nat. Commun. 2014, 5, 5458-1–5458-6. [Google Scholar] [CrossRef]
- Ling, X.; Wang, H.; Huang, S.; Xia, F.; Dresselhaus, M.S. The renaissance of black phosphorus. PNAS 2015, 112, 4523–4530. [Google Scholar] [CrossRef]
- Li, D.; Jussila, H.; Karvonen, L.; Ye, G.; Lipsanen, H.; Chen, X.; Sun, Z. Polarization and thickness dependent absorption properties of black phosphorus: New saturable absorber for ultrafast pulse generation. Sci. Rep. 2015, 5, 15899-1–15899-9. [Google Scholar] [CrossRef]
- Li, L.; Yu, Y.; Ye, G.J.; Ge, Q.; Ou, X.; Wu, H.; Feng, D.; Chen, X.; Zhang, Y. Black phosphorus field-effect transistors. Nat. Nanotechnol. 2014, 9, 372–377. [Google Scholar] [CrossRef] [PubMed]
- Zhang, J.L.; Han, C.; Hu, Z.H.; Wang, L.; Liu, L.; Wee, A.T.S.; Chen, W. 2D phosphorene: Epitaxial growth and interface engineering for electronic devices. Adv. Mater. 2018, 30, 1802207-1–1802207-11. [Google Scholar] [CrossRef] [PubMed]
- Lu, S.B.; Miao, L.L.; Guo, Z.N.; Qi, X.; Zhao, C.J.; Zhang, H.; Wen, S.C.; Tang, D.Y.; Fan, D.Y. Broadband nonlinear optical response in multi-layer black phosphorus: An emerging infrared and mid-infrared optical material. Opt. Express 2015, 23, 11183–11194. [Google Scholar] [CrossRef]
- Peng, X.; Copple, A.; Wei, Q. Edge effects on the electronic properties of phosphorene nanoribbons. J. Appl. Phys. 2014, 116, 144301-1–144301-6. [Google Scholar] [CrossRef]
- Rodin, A.S.; Carvalho, A.; Castro Neto, A.H. Strain-Induced Gap Modification in Black Phosphorus. Phys. Rev. Lett. 2014, 112, 176801-1–176801-5. [Google Scholar] [CrossRef] [PubMed]
- Abate, Y.; Akinwande, D.; Gamage, S.; Wang, H.; Snure, M.; Poudel, N.; Cronin, S.B. Recent progress on stability and passivation of black phosphorus. Adv. Mater. 2018, 30, 1704749-1–1704749-13. [Google Scholar] [CrossRef]
- Brey, L.; Fertig, H.A. Electronic states of graphene nanoribbons studied with the Dirac equation. Phys. Rev. B 2006, 73, 235411-1–235411-5. [Google Scholar] [CrossRef]
- Barone, V.; Hod, O.; Scuseria, G.E. Electronic structure and stability of semiconducting graphene nanoribbons. Nano Lett. 2006, 6, 2748–2754. [Google Scholar] [CrossRef] [PubMed]
- Sisakht, E.T.; Zare, M.H.; Fazileh, F. Scaling laws of band gaps of phosphorene nanoribbons: A tight-binding calculation. Phys. Rev. B 2015, 91, 085409-1–085409-8. [Google Scholar] [CrossRef]
- de Sousa, D.J.P.; de Castro, L.V.; da Costa, D.R.; Pereira, J.M. Boundary conditions for phosphorene nanoribbons in the continuum approach. Phys. Rev. B 2016, 94, 235415-1–235415-10. [Google Scholar] [CrossRef]
- Zeng, B.W.; Li, M.J.; Zhang, X.J.; Yi, Y.G.; Fu, L.P.; Long, M.Q. First-Principles Prediction of the Electronic Structure and Carrier Mobility in Hexagonal Boron Phosphide Sheet and Nanoribbons. J. Phys. Chem. C 2016, 120, 25037–25042. [Google Scholar] [CrossRef]
- Carvalho, A.; Rodin, A.S.; Neto, A.H.C. Phosphorene nanoribbons. EPL 2014, 108, 47005-1–47005-6. [Google Scholar] [CrossRef]
- Margulis, V.A.; Muryumin, E.E.; Gaiduk, E.A. Optical Kerr effect and two-photon absorption in monolayer black phosphorus. J. Opt. 2018, 20, 055503-1–055503-10. [Google Scholar] [CrossRef]
- Chen, R.; Tang, Y.; Zheng, X.; Jiang, T. Giant nonlinear absorption and excited carrier dynamics of black phosphorus few-layer nanosheet in broadband spectra. Appl. Opt. 2016, 55, 10307–10312. [Google Scholar] [CrossRef]
- Wang, K.; Szydlowska, B.M.; Wang, G.; Zhang, X.; Wang, J.J.; Magan, J.J.; Zhang, L.; Coleman, J.N.; Wang, J.; Blau, W.J. Ultrafast nonlinear excitation dynamics of black phosphorus nanosheets from visible to mid-infrared. ACS Nano 2016, 10, 6923–6932. [Google Scholar] [CrossRef] [PubMed]
- Xu, Y.; Jiang, X.; Ge, Y.; Guo, Z.; Zeng, Z.; Xu, Q.; Zhang, H.; Yu, X.F.; Fan, D.Y. Size-dependent nonlinear optical properties of black phosphorus nanosheets and its applications in ultrafast photonics. J. Mater. Chem. C 2017, 5, 3007–3013. [Google Scholar] [CrossRef]
- Jiang, X.F.; Zeng, Z.K.; Li, S.; Guo, Z.N.; Zhang, H.; Huang, F.; Xu, Q.H. Tunable broadband nonlinear optical properties of black phosphorus quantum dots for femtosecond laser pulses. Materials 2017, 10, 210. [Google Scholar] [CrossRef]
- Shao, J.; Xie, H.; Huang, H.; Li, Z.; Sun, Z.; Xu, Y.; Xiao, Q.; Yu, X.; Zhao, Y.; Zhang, H.; Wang, H.; Chu, P.K. Biodegradable black phosphorus-based nanospheres for in vivo photothermal cancer therapy. Nat. Commun. 2016, 7, 12967-1–12967-14. [Google Scholar] [CrossRef]
- Pereira, J.M.; Katsnelson, M.I. Landau levels of single-layer and bilayer phosphorene. Phys. Rev. B 2015, 92, 075437-1–075437-9. [Google Scholar] [CrossRef]
- Nathan, V.; Guenther, A.H.; Mitra, S.S. Review of multiphoton absorption in crystalline solids. J. Opt. Soc. Am. B 1985, 2, 294–316. [Google Scholar] [CrossRef]
- Rudenko, A.N.; Katsnelson, M.I. Quasiparticle band structure and tight-binding model for single- and bilayer black phosphorus. Phys. Rev. B 2014, 89. [Google Scholar] [CrossRef]
- Gong, H.M.; Wang, X.H.; Du, Y.M.; Wang, Q.Q. Optical nonlinear absorption and refraction of CdS and CdS-Ag core-shell quantum dots. J. Chem. Phys. 2006, 125, 024707-1–024707-4. [Google Scholar] [CrossRef]
- Yu, B.L.; Zhu, C.S.; Gan, F.X. Nonlinear optical absorption and refraction by CdTe microcrystals doped in glass. J. Appl. Phys. 2000, 87, 1759–1761. [Google Scholar] [CrossRef]
- Yang, H.; Feng, X.; Wang, Q.; Huang, H.; Chen, W.; Wee, A.T.S.; Ji, W. Giant Two-Photon Absorption in Bilayer Graphene. Nano Lett. 2011, 11, 2622–2627. [Google Scholar] [CrossRef]
- Zheng, X.; Zhang, Y.; Chen, R.; Cheng, X.; Xu, Z.; Jiang, T. Z-scan measurement of the nonlinear refractive index of monolayer WS2. Opt. Express 2015, 23, 15616–15623. [Google Scholar] [CrossRef] [PubMed]
- Li, Y.; Dong, N.; Zhang, S.; Zhang, X.; Feng, Y.; Wang, K.; Zhang, L.; Wang, J. Giant two-photon absorption in monolayer MoS2. Laser Photon. Rev. 2015, 9, 427–434. [Google Scholar] [CrossRef]
- Wang, Y.; Huang, G.; Mu, H.; Lin, S.; Chen, J.; Xiao, S.; Bao, Q.; He, J. Ultrafast recovery time and broadband saturable absorption properties of black phosphorus suspension. Appl. Phys. Lett. 2015, 107, 091905-1–091905-5. [Google Scholar] [CrossRef]
© 2019 by the authors. Licensee MDPI, Basel, Switzerland. This article is an open access article distributed under the terms and conditions of the Creative Commons Attribution (CC BY) license (http://creativecommons.org/licenses/by/4.0/).



