Rheological Performance of Bio-Char Modified Asphalt with Different Particle Sizes
Abstract
:1. Introduction
2. Motivation and Objectives
3. Materials and Preparation
3.1. Control Asphalt PG 58-28
3.2. Graphite and Preparation of Graphite Modified Asphalt
3.3. Bio-Char and Preparation of Bio-Char Modified Asphalt
4. Experimental Program
4.1. Scanning Electron Microscopy (SEM) Test
4.2. Rotational Viscosity (RV) Test
4.3. Dynamic Shear Rheometer (DSR) Test
4.4. Aging Test
4.5. Bending Beam Rheometer (BBR) Test
- P—Applied constant load (100 g or 0.98 N);
- L—Distance between beam supports (102 mm);
- b—Beam width (12.5 mm);
- h—Beam thickness (6.25 mm);
- St—Asphalt binder stiffness at a specific time;
- δt—Deflection at a specific time.
5. Results and Discussions
5.1. Microscopic Morphology Analysis
5.2. Rotational Viscosity Test
5.2.1. Rotational Viscosity Analysis
5.2.2. Anti-Aging Property Analysis
- Iagr—Aging index of the asphalt binder;
- VRTFO—Rotational viscosity of RTFO aged asphalt binder;
- Vorigin—Rotational viscosity of the original asphalt binder.
5.3. Dynamic Shear Rheometer Test
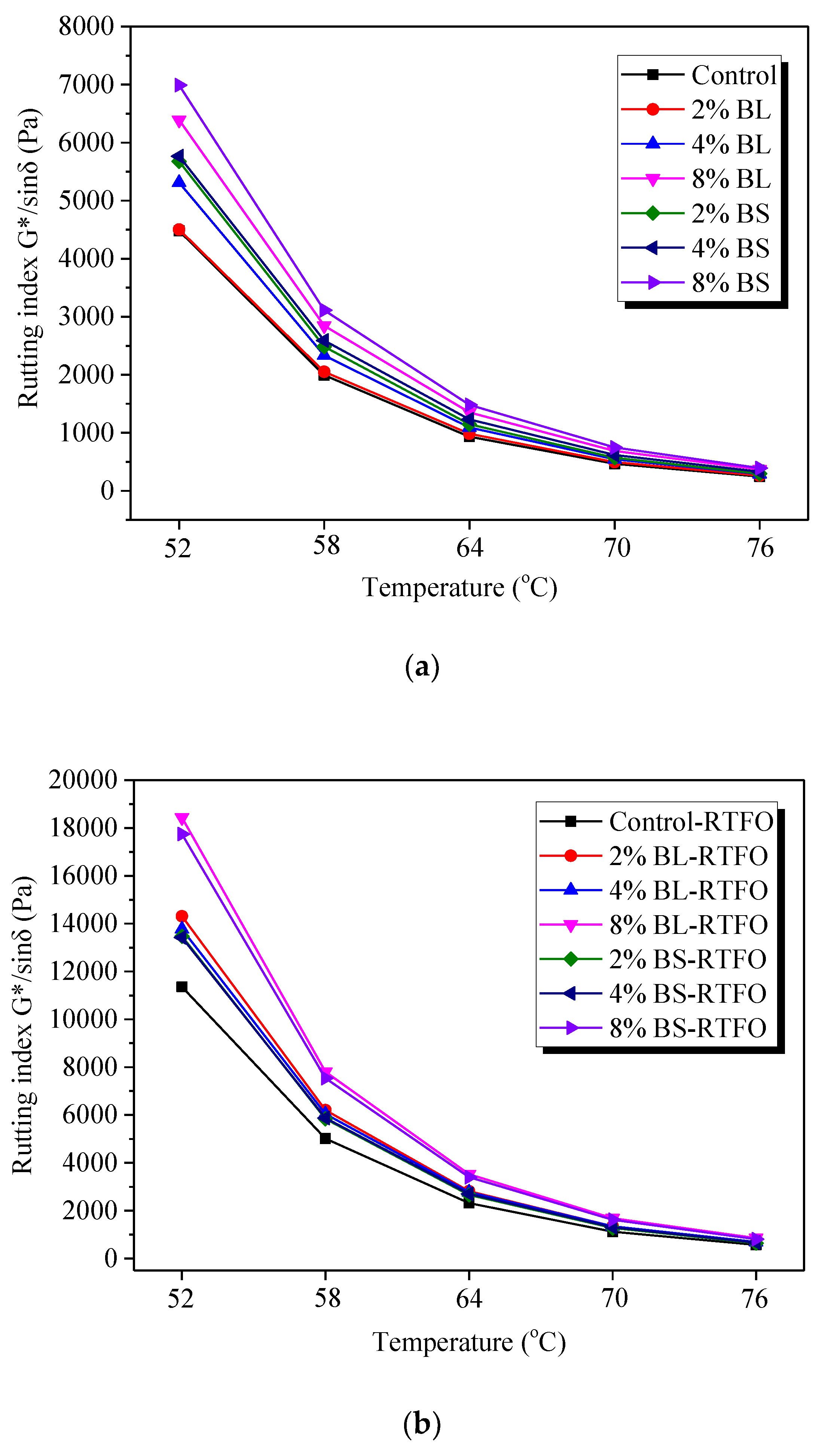
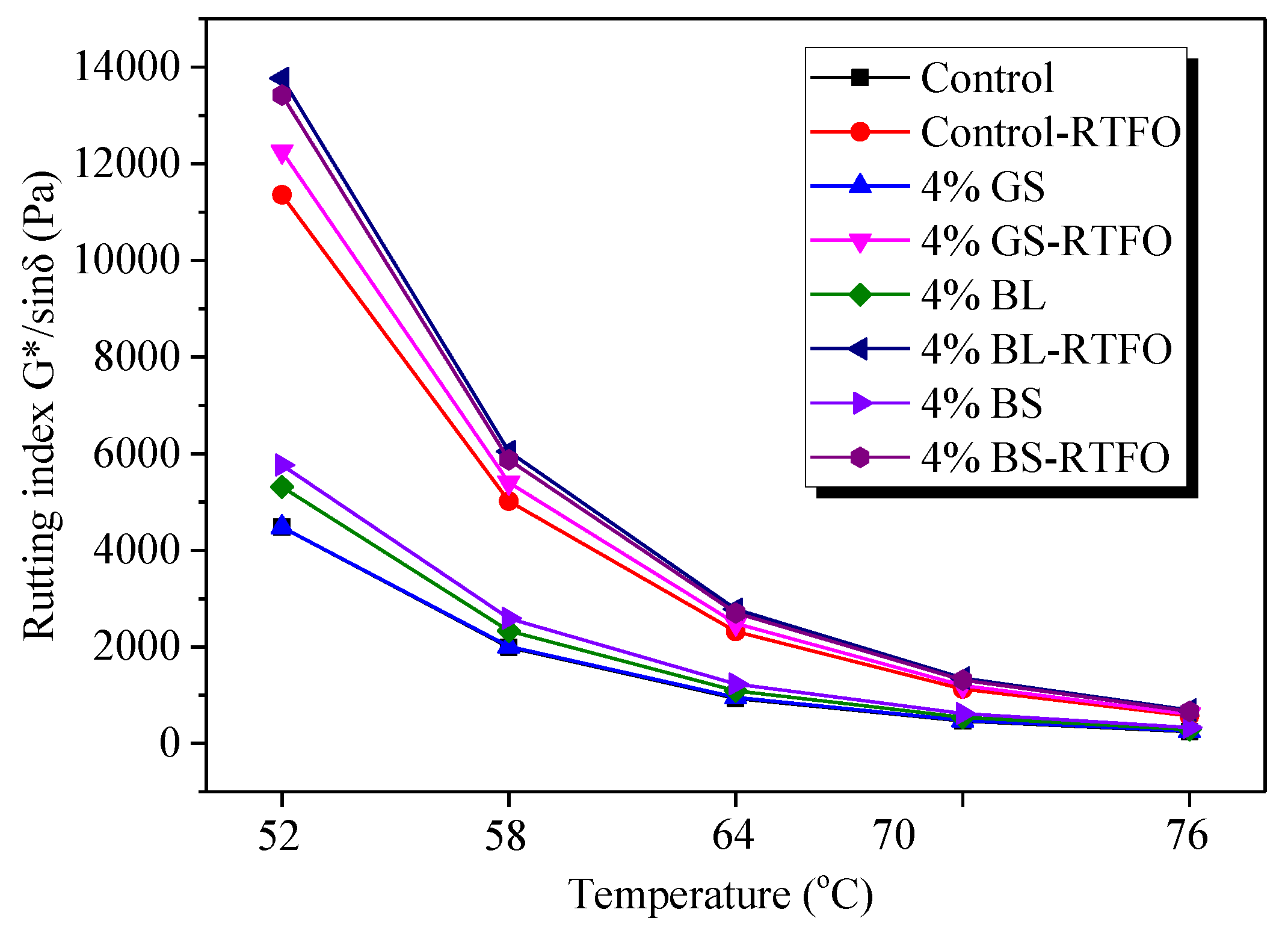
5.3.1. Rutting Resistance Analysis
5.3.2. High Critical Temperature Analysis
- T(G*/sinδ) = The high critical temperatures of asphalts;
- To(G*/sinδ) = The high critical temperatures of original asphalts;
- TR(G*/sinδ) = The high critical temperatures of RTFO aged asphalts.
5.4. Bending Beam Rheometer Test
5.4.1. Low-Temperature Cracking Resistance Analysis
5.4.2. Low Critical Temperature Analysis
6. Summaries and Conclusions
- (1)
- Compared with dense and smooth flake graphite, the bio-char particle had a more porous microstructure and rough surface texture.
- (2)
- Both bio-char and graphite could increase the rotational viscosity of the asphalt, with the added contents. The bio-char modified asphalt binders with smaller-sized particles had higher viscosities than those with larger-sized particles. They all satisfied the requirement for the specifications of rotational viscosity—less than or equal to 3000 mPa·s at 135 °C.
- (3)
- The porous structure and rough surface of bio-char could lead to a larger adhesion interaction in asphalt binder than those of the smooth flake graphite. As a result, the bio-char modified asphalts had a better high-temperature rutting resistance and better anti-aging properties than that of the graphite modified asphalt. A more noticeable improvement was found for the bio-char modified asphalt with the smaller-sized and higher number of particles. Moreover, the bio-char modified asphalts with the smaller-sized particles had the highest critical temperatures among all other binder types.
- (4)
- Though the crack resistance, at low temperatures, of the bio-char modified asphalts decreased with the added bio-char, as seen in the BBR test results, the low critical temperatures were still lower than −18 °C, with the smaller-sized bio-char particles. The bio-char modified asphalts had similar low-temperature properties as that of the graphite modified asphalt binder.
Author Contributions
Funding
Acknowledgements
Conflicts of Interest
References
- Demirbas, A.; Pehlivan, E.; Altun, T. Potential evolution of Turkish agricultural residues as bio-gas, bio-char and bio-oil sources. Int. J. Hydrogen Energy 2006, 31, 613–620. [Google Scholar] [CrossRef]
- Jaiswal, A.K.; Elad, Y.; Graber, E.R.; Frenkel, O. Rhizoctonia solani suppression and plant growth promotion in cucumber as affected by biochar pyrolysis temperature, feedstock and concentration. Soil Biol. Biochem. 2014, 69, 110–118. [Google Scholar] [CrossRef]
- Muñoz, E.; Curaqueo, G.; Cea, M.; Vera, L.; Navia, R. Environmental hotspots in the life cycle of a biochar-soil system. J. Clean. Prod. 2017, 158, 1–7. [Google Scholar] [CrossRef]
- Mohan, D.; Pittman, C.U.; Steele, P.H. Pyrolysis of wood/biomass for bio-oil: A critical review. Energy Fuels 2006, 20, 848–889. [Google Scholar] [CrossRef]
- Zhong, Z.; Song, B.; Zaki, M. Life-cycle assessment of flash pyrolysis of wood waste. J. Clean. Prod. 2010, 18, 1177–1183. [Google Scholar] [CrossRef]
- Zhang, R.; Wang, H.; You, Z.; Jiang, X.; Yang, X. Optimization of bio-asphalt using bio-oil and distilled water. J. Clean. Prod. 2017, 165, 281–289. [Google Scholar] [CrossRef]
- Yang, X.; You, Z.-P.; Dai, Q.-L. Performance evaluation of asphalt binder modified by bio-oil generated from waste wood resources. Int. J. Pavement Res. Technol. 2013, 6, 431–439. [Google Scholar]
- Imam, T.; Capareda, S. Characterization of bio-oil, syn-gas and bio-char from switchgrass pyrolysis at various temperatures. J. Anal. Appl. Pyrolysis 2012, 93, 170–177. [Google Scholar] [CrossRef]
- Zhang, R.; Wang, H.; Jiang, X.; You, Z.; Yang, X.; Ye, M. Thermal storage stability of bio-oil modified asphalt. J. Mater. Civ. Eng. 2018, 30, 04018054. [Google Scholar] [CrossRef]
- Gaunt, J.L.; Lehmann, J. Energy balance and emissions associated with biochar sequestration and pyrolysis bioenergy production. Environ. Sci. Technol. 2008, 42, 4152–4158. [Google Scholar] [CrossRef] [PubMed]
- Zhang, R.; Wang, H.; Gao, J.; You, Z.; Yang, X. High temperature performance of sbs modified bio-asphalt. Constr. Build. Mater. 2017, 144, 99–105. [Google Scholar] [CrossRef]
- Zhang, R.; Wang, H.; Gao, J.; Yang, X.; You, Z. Comprehensive performance evaluation and cost analysis of sbs-modified bioasphalt binders and mixtures. J. Mater. Civ. Eng. 2017, 29, 04017232. [Google Scholar] [CrossRef]
- Zhao, B.; O’Connor, D.; Zhang, J.; Peng, T.; Shen, Z.; Tsang, D.C.; Hou, D. Effect of pyrolysis temperature, heating rate, and residence time on rapeseed stem derived biochar. J. Clean. Prod. 2018, 174, 977–987. [Google Scholar] [CrossRef]
- Smith, J.L.; Collins, H.P.; Bailey, V.L. The effect of young biochar on soil respiration. Soil Biol. Biochem. 2010, 42, 2345–2347. [Google Scholar] [CrossRef]
- Mukherjee, A.; Zimmerman, A.R. Organic carbon and nutrient release from a range of laboratory-produced biochars and biochar–soil mixtures. Geoderma 2013, 193, 122–130. [Google Scholar] [CrossRef]
- Masiello, C.; Dugan, B.; Brewer, C.; Spokas, K.; Novak, J.; Liu, Z.; Sorrenti, G. Biochar effects on soil hydrology. In Biochar for Environmental Management, 2nd ed.; Routledge: Earthscan, UK, 2015. [Google Scholar]
- Suliman, W.; Harsh, J.B.; Abu-Lail, N.I.; Fortuna, A.-M.; Dallmeyer, I.; Garcia-Pérez, M. The role of biochar porosity and surface functionality in augmenting hydrologic properties of a sandy soil. Sci. Total Environ. 2017, 574, 139–147. [Google Scholar] [CrossRef] [PubMed]
- Ali, S.; Rizwan, M.; Qayyum, M.F.; Ok, Y.S.; Ibrahim, M.; Riaz, M.; Arif, M.S.; Hafeez, F.; Al-Wabel, M.I.; Shahzad, A.N. Biochar soil amendment on alleviation of drought and salt stress in plants: A critical review. Environ. Sci. Pollut. Res. 2017, 24, 12700–12712. [Google Scholar] [CrossRef] [PubMed]
- Six, J. Biochar: Is There a Dark Side? 2014. Available online: https://www.ethz.ch/en/news-and-events/eth-news/news/2014/04/biochar-is-there-a-dark-side.html (accessed on 1 April 2014).
- Downie, A. Biochar Production and Use: Environmental Risks and Rewards; University South Wales: Treforest, UK, 2011. [Google Scholar]
- An, C.; Huang, G. Environmental concern on biochar: Capture, then what? Environ. Earth Sci. 2015, 74, 7861–7863. [Google Scholar] [CrossRef]
- Yang, X.; You, Z.; Dai, Q.; Mills-Beale, J. Mechanical performance of asphalt mixtures modified by bio-oils derived from waste wood resources. Constr. Build. Mater. 2014, 51, 424–431. [Google Scholar] [CrossRef]
- Fini, E.H.; Al-Qadi, I.L.; You, Z.; Zada, B.; Mills-Beale, J. Partial replacement of asphalt binder with bio-binder: Characterisation and modification. Int. J. Pavement Eng. 2012, 13, 515–522. [Google Scholar] [CrossRef]
- Yang, X.; Mills-Beale, J.; You, Z. Chemical characterization and oxidative aging of bio-asphalt and its compatibility with petroleum asphalt. J. Clean. Prod. 2017, 142, 1837–1847. [Google Scholar] [CrossRef]
- Brick, S.; Lyutse, S. Biochar: Assessing the Promise and Risks to Guide US Policy; NRDC Issue Paper; Natural Resources Defense Council: New York, NY, USA, 2010. [Google Scholar]
- Cleven, M.A. Investigation of the Properties of Carbon Fiber Modified Asphalt Mixtures; Michigan Technological University: Houghton, MI, USA, 2000. [Google Scholar]
- Yao, H.; You, Z.; Li, L.; Goh, S.W.; Lee, C.H.; Yap, Y.K.; Shi, X. Rheological properties and chemical analysis of nanoclay and carbon microfiber modified asphalt with fourier transform infrared spectroscopy. Constr. Build. Mater. 2013, 38, 327–337. [Google Scholar] [CrossRef]
- Khattak, M.J.; Khattab, A.; Rizvi, H.R.; Zhang, P. The impact of carbon nano-fiber modification on asphalt binder rheology. Constr. Build. Mater. 2012, 30, 257–264. [Google Scholar] [CrossRef]
- Liu, X.; Wu, S. Study on the graphite and carbon fiber modified asphalt concrete. Constr. Build. Mater. 2011, 25, 1807–1811. [Google Scholar] [CrossRef]
- Cong, P.; Xu, P.; Chen, S. Effects of carbon black on the anti aging, rheological and conductive properties of sbs/asphalt/carbon black composites. Constr. Build. Mater. 2014, 52, 306–313. [Google Scholar] [CrossRef]
- Gupta, S.; Kua, H.W.; Koh, H.J. Application of biochar from food and wood waste as green admixture for cement mortar. Sci. Total Environ. 2018, 619, 419–435. [Google Scholar] [CrossRef] [PubMed]
- Akhtar, A.; Sarmah, A.K. Novel biochar-concrete composites: Manufacturing, characterization and evaluation of the mechanical properties. Sci. Total Environ. 2018, 616, 408–416. [Google Scholar] [CrossRef] [PubMed]
- Walters, R.C.; Fini, E.H.; Abu-Lebdeh, T. Enhancing asphalt rheological behavior and aging susceptibility using bio-char and nano-clay. Am. J. Eng. Appl. Sci. 2014, 7, 66–76. [Google Scholar] [CrossRef]
- Zhao, S.; Huang, B.; Ye, X.P.; Shu, X.; Jia, X. Utilizing bio-char as a bio-modifier for asphalt cement: A sustainable application of bio-fuel by-product. Fuel 2014, 133, 52–62. [Google Scholar] [CrossRef]
- Zhao, S.; Huang, B.; Shu, X.; Ye, P. Laboratory investigation of biochar-modified asphalt mixture. Transp. Res. Rec. J. Transp. Res. Board 2014, 2445, 56–63. [Google Scholar] [CrossRef]
- AASHTO. Standard Specification for Performance-Graded Asphlat Binder (m320-10); American Association of State Highway and Transportation Officials: Washington, DC, USA, 2013. [Google Scholar]
- Wang, Z.; Dai, Q.; Guo, S. Laboratory performance evaluation of both flake graphite and exfoliated graphite nanoplatelet modified asphalt composites. Constr. Build. Mater. 2017, 149, 515–524. [Google Scholar] [CrossRef]
- You, L.; You, Z.; Dai, Q.; Zhang, L. Assessment of nanoparticles dispersion in asphalt during bubble escaping and bursting: Nano hydrated lime modified foamed asphalt. Constr. Build. Mater. 2018, 184, 391–399. [Google Scholar] [CrossRef]
- AASHTO. Standard Method of Test for Viscosity Determination of Asphalt Binder Using Rotational Viscometer (t 316-13); American Association of State Highway and Transportation Officials: Washington, DC, USA, 2013. [Google Scholar]
- You, L.; You, Z.; Yang, X.; Ge, D.; Lv, S. Laboratory testing of rheological behavior of water-foamed bitumen. J. Mater. Civ. Eng. 2018, 30, 04018153. [Google Scholar] [CrossRef]
- Lv, S.; Wang, S.; Guo, T.; Xia, C.; Li, J.; Hou, G. Laboratory evaluation on performance of compound-modified asphalt for rock asphalt/styrene–butadiene rubber (sbr) and rock asphalt/nano-CaCO3. Appl. Sci. 2018, 8, 1009. [Google Scholar] [CrossRef]
- AASHTO. Standard Method of Test for Determining the Rheological Properties of Asphalt Binder Using a Dynamic Shear Rheometer (dsr) (t 315-12); American Association of State Highway and Transportation Officials: Washington, DC, USA, 2013. [Google Scholar]
- Ge, D.; Yan, K.; You, L.; Wang, Z. Modification mechanism of asphalt modified with sasobit and polyphosphoric acid (ppa). Constr. Build. Mater. 2017, 143, 419–428. [Google Scholar] [CrossRef]
- AASHTO. Effect of Heat and Air on a Moving Film of Asphalt Binder (Rolling Thin-film Oven Test); American Association of State Highway and Transportation Officials: Washington, DC, USA, 2013. [Google Scholar]
- AASHTO. Standard Practice for Accelerated Aging of Asphlat Binder Using a Pressurized Aging Vessel (pav); American Association of State Highway and Transportation Officials: Washington, DC, USA, 2013. [Google Scholar]
- AASHTO. Determining the flexural creep stiffness of asphalt binder using the bending beam rheometer (bbr) (t313-12); American Association of State Highway and Transportation Officials: Washington, DC, USA, 2013. [Google Scholar]
- Yao, H.; You, Z.; Li, L.; Goh, S.W.; Mills-Beale, J.; Shi, X.; Wingard, D. Evaluation of asphalt blended with low percentage of carbon micro-fiber and nanoclay. J. Test. Eval. 2013, 41, 278–288. [Google Scholar] [CrossRef]
- Peng, C.; Yu, J.; Dai, J.; Yin, J. Effect of zn/al layered double hydroxide containing 2-hydroxy-4-n-octoxy-benzophenone on uv aging resistance of asphalt. Adv. Mater. Sci. Eng. 2015, 2015. [Google Scholar] [CrossRef]
- Peng, C.; Dai, J.; Yu, J.; Yin, J. Intercalation of p-methycinnamic acid anion into zn-al layered double hydroxide to improve uv aging resistance of asphalt. AIP Adv. 2015, 5, 027133. [Google Scholar] [CrossRef]






| Test Properties | Test Results | Requirement of Specification |
|---|---|---|
| Specific gravity | 1.03 | – |
| Rotational viscosity @135 °C (Pa·s) | 0.350 | <3.0 |
| G*/sinδ @ 58 °C for original binder (kPa) | 1.995 | >1.0 |
| G*/sinδ @ 58 °C for RTFO binder (kPa) | 5.018 | >2.2 |
| Binder Types | Modifier Type | Modifier Content (wt %) | Particle Size |
|---|---|---|---|
| PG58-28 | N/A | N/A | N/A |
| 2% BL | Bio-char | 2 | 75 μm < d < 150 μm |
| 4% BL | Bio-char | 4 | 75 μm < d < 150 μm |
| 8% BL | Bio-char | 8 | 75 μm < d < 150 μm |
| 2% BS | Bio-char | 2 | d < 75 μm |
| 4% BS | Bio-char | 4 | d < 75 μm |
| 8% BS | Bio-char | 8 | d < 75 μm |
| 4% GS | Graphite | 4 | d < 75 μm |
| Control Asphalt | 4% GS | 2% BL | 4% BL | 8% BL | 2% BS | 4% BS | 8% BS | |
|---|---|---|---|---|---|---|---|---|
| To(G*/sinδ) | 63.56 | 63.87 | 63.90 | 65.13 | 67.07 | 65.76 | 66.48 | 68.03 |
| TR(G*/sinδ) | 64.61 | 65.18 | 66.62 | 66.34 | 68.21 | 65.91 | 66.22 | 68.09 |
| T(G*/sinδ) | 63.56 | 63.87 | 63.90 | 65.13 | 67.07 | 65.76 | 66.48 | 68.03 |
| Asphalt Binder | Time (s) | Deflection (mm) | Stiffness (mPa) | m-Value | Remarks (for Stiffness and m-Value) |
|---|---|---|---|---|---|
| Control | 60.0 | 0.446 | 179 | 0.31 | Pass the specification |
| 4% GS | 60.0 | 0.422 | 187 | 0.30 | Pass the specification |
| 2% BL | 60.0 | 0.447 | 177 | 0.30 | Pass the specification |
| 4% BL | 60.0 | 0.329 | 243 | 0.29 | Fail the specification |
| 8% BL | 60.0 | 0.328 | 245 | 0.28 | Fail the specification |
| 2% BS | 60.0 | 0.378 | 213 | 0.30 | Pass the specification |
| 4% BS | 60.0 | 0.308 | 262 | 0.30 | Pass the specification |
| 8% BS | 60.0 | 0.284 | 284 | 0.28 | Fail the specification |
© 2018 by the authors. Licensee MDPI, Basel, Switzerland. This article is an open access article distributed under the terms and conditions of the Creative Commons Attribution (CC BY) license (http://creativecommons.org/licenses/by/4.0/).
Share and Cite
Zhang, R.; Dai, Q.; You, Z.; Wang, H.; Peng, C. Rheological Performance of Bio-Char Modified Asphalt with Different Particle Sizes. Appl. Sci. 2018, 8, 1665. https://doi.org/10.3390/app8091665
Zhang R, Dai Q, You Z, Wang H, Peng C. Rheological Performance of Bio-Char Modified Asphalt with Different Particle Sizes. Applied Sciences. 2018; 8(9):1665. https://doi.org/10.3390/app8091665
Chicago/Turabian StyleZhang, Ran, Qingli Dai, Zhanping You, Hainian Wang, and Chao Peng. 2018. "Rheological Performance of Bio-Char Modified Asphalt with Different Particle Sizes" Applied Sciences 8, no. 9: 1665. https://doi.org/10.3390/app8091665
APA StyleZhang, R., Dai, Q., You, Z., Wang, H., & Peng, C. (2018). Rheological Performance of Bio-Char Modified Asphalt with Different Particle Sizes. Applied Sciences, 8(9), 1665. https://doi.org/10.3390/app8091665

