Micromechanism of the Dispersion Behavior of Polymer-Modified Rejuvenators in Aged Asphalt Material
Abstract
Featured Application
Abstract
1. Introduction
2. Materials and Methods
2.1. Materials
2.1.1. Aged Asphalt Binder
2.1.2. Rejuvenators
2.2. Experiments
2.2.1. Specimen Preparation
2.2.2. Gel Permeation Chromatography Analysis
2.2.3. Atomic Force Microscopy Analysis
2.2.4. Scanning Electron Microscopy Analysis
2.2.5. Rheological Performance Analysis
2.2.6. Toughness and Tenacity Analysis
2.2.7. Force–Ductility Analysis
3. Results
3.1. Gel Permeation Chromatography Analysis
3.2. Atomic Force Microscopy Test Results
3.3. Scanning Electron Microscopy Analysis
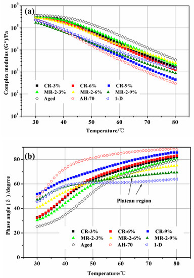
3.4. DSR Analysis
3.5. Toughness and Tenacity Analysis
3.6. Force–Ductility Test Result
4. Discussion
5. Conclusions
- (1)
- A new analysis method for assessing the dispersive ability of rejuvenator in aged asphalt binders is proposed, and determined by molecular weight distribution and AFM imaging at different vertical positions within the asphalt binder;
- (2)
- The dispersion ability of polymer-modified rejuvenator on aged asphalt binder is qualified for the pavement-recycling process. The polar groups in the dispersing agent can form carboxyl hydrogen bonds with asphaltene, and partly break the agglomerate structure of asphaltene to reduce the dispersion resistance from molecular group structure;
- (3)
- Asphalt binder treated with polymer-modified rejuvenator could improve the performance of recycled pavement material at high and low in-service temperatures. The complex modulus at a temperature of 60 °C is increased from 5190 to 6640 Pa, the tenacity is increased from 0.91 N·m to 15.06 N·m, and the ductility at a temperature of 5 °C is increased to 22.5 cm.
Author Contributions
Funding
Acknowledgments
Conflicts of Interest
References
- Im, S.; Zhou, F.; Lee, R.; Scullion, T. Impacts of rejuvenators on performance and engineering properties of asphalt mixtures containing recycled materials. Constr. Build. Mater. 2014, 53, 596–603. [Google Scholar] [CrossRef]
- Kou, C.; Xiao, P.; Kang, A.; Mikhailenko, P.; Baaj, H.; Wu, Z. Methods to Evaluate the Aging Grades of Reclaimed Asphalt Binder. Appl. Sci. 2017, 7, 1209. [Google Scholar] [CrossRef]
- Bowers, B.F.; Moore, J.; Huang, B.; Shu, X. Blending efficiency of Reclaimed Asphalt Pavement: An approach utilizing rheological properties and molecular weight distributions. Fuel 2014, 145, 63–68. [Google Scholar] [CrossRef]
- Stimilli, A.; Ferrotti, G.; Conti, C.; Tosi, G.; Canestrari, F. Chemical and rheological analysis of modified bitumens blended with ‘artificial reclaimed bitumen. Constr. Build. Mater. 2014, 63, 1–10. [Google Scholar] [CrossRef]
- Han, S.; Chung, H.-W.; Subgranon, T.; Tia, M. Development of Mix Designs for Minimally Refined Reclaimed Asphalt Pavement (RAP) Concrete for Florida Concrete Test Road. Sustainability 2018, 10, 2598. [Google Scholar] [CrossRef]
- An, J.; Nam, B.H.; Youn, H. Investigation on the Effect of Recycled Asphalt Shingle (RAS) in Portland Cement Mortar. Sustainability 2016, 8, 384. [Google Scholar] [CrossRef]
- Zargar, M.; Ahmadinia, E.; Asli, H.; Karim, M.R. Investigation of the possibility of using waste cooking oil as a rejuvenating agent for aged bitumen. J. Hazard. Mater. 2012, 233–234, 254–258. [Google Scholar] [CrossRef] [PubMed]
- Hesp, S.A.; Shurvell, H.F. Quality Assurance Testing of Asphalt Containing Waste Engine oil. In Proceedings of the International Journal of Pavements Conference, Sao Paulo, Brazil, 9–10 December 2013; pp. 3–12. [Google Scholar]
- Álvaro, G.; Erik, S.; Martin, V. Properties of capsules containing rejuvenators for their use in asphalt concrete. Fuel 2012, 90, 583–591. [Google Scholar]
- Cao, X.; Cao, X.; Tang, B.; Wang, Y.; Li, X. Investigation on Possibility of Waste Vegetable Oil Rejuvenating Aged Asphalt. Appl. Sci. 2018, 8, 765. [Google Scholar]
- Asli, H.; Ahmadinia, E.; Zargar, M.; Karim, M.R. Investigation on physical properties of waste cooking oil—Rejuvenated bitumen binder. Constr. Build. Mater. 2012, 37, 398–405. [Google Scholar] [CrossRef]
- Silva, H.; Oliveira, J.; Jesus, C. Are totally recycled hot mix asphalts a sustainable alternative for road paving? Resour. Conserv. Recycl. 2012, 60, 38–48. [Google Scholar] [CrossRef]
- Tran, N.H.; Taylor, A.; Willis, R. Effect of Rejuvenator on Performance Properties of HMA Mixtures with High RAP and RAS Contents; NCAT Report 12-05; Auburn University: Auburn, AL, USA, 2012. [Google Scholar]
- Shen, J.; Amirkhanian, S.; Tang, B. Effects of rejuvenator on performance-based properties of rejuvenated asphalt binder and mixtures. Constr. Build. Mater. 2007, 21, 958–964. [Google Scholar] [CrossRef]
- Cheng, Y.; Wang, W.; Tan, G. Assessing High- and Low-Temperature Properties of Asphalt Pavements Incorporating Waste Oil Shale as an Alternative Material in Jilin Province, China. Sustainability 2018, 10, 2179. [Google Scholar] [CrossRef]
- Walubita, L.F. Comparison of Fatigue Analysis Approaches for Predicting Fatigue Lives of Hot-Mix Asphalt Concrete (HMAC) Mixtures. Ph.D. Thesis, Texas A&M University, College Station, TX, USA, 2006. [Google Scholar]
- Yu, X.; Zaumanis, M.; Dos Santos, S.; Poulikakos, L.D. Rheological, microscopic, and chemical characterization of the rejuvenating effect on asphalt binders. Fuel 2014, 135, 162–171. [Google Scholar] [CrossRef]
- Moghaddam, T.B.; Baaj, H. The use of rejuvenating agents in production of recycled hot mix asphalt: A systematic review. Constr. Build. Mater. 2016, 114, 805–816. [Google Scholar] [CrossRef]
- Shen, J.; Amirkhanian, S.; Miller, J.A. Effects of Rejuvenating Agents on Superpave Mixtures Containing Reclaimed Asphalt Pavement. J. Mater. Civ. Eng. 2007, 19, 376–384. [Google Scholar] [CrossRef]
- Romera, R.; Santamaría, A.; Peña, J.J.; Muñoz, M.E.; Barral, M.; García, E.; Jañez, V. Rheological aspects of the rejuvenation of aged bitumen. Rheol. Acta 2006, 45, 47–48. [Google Scholar] [CrossRef]
- Donya, A.; Colina, J.; Bruneaub, D. Reclaimed asphalt concretes with high recycling rates: Changes in reclaimed binder properties according to rejuvenating agent. Constr. Build. Mater. 2013, 41, 171–181. [Google Scholar] [CrossRef]
- Miliutenko, S.; Bjorklund, A.; Carlsson, A. Opportunities for environmentally improved asphalt recycling: The example of Sweden. J. Clean. Prod. 2013, 43, 56–65. [Google Scholar] [CrossRef]
- Zhang, D.; Qu, Y.; Zhao, Y.; Xu, Q. The feasibility analysis of modify the recycled asphalt. Pet. Asph. 2010, 22, 69–71. [Google Scholar]
- Huh, J.D. Temperature-Adjusted and Modified Recycled Ascon Composition for Reusing 100% of Waste Ascon for Road Pavement and Method for Manufacturing Same. U.S. Patent US20120167802A1, 7 March 2012. [Google Scholar]
- China Communications Press. JTG E20: 2011, Standard Test Methods of Bitumen and Bituminous Mixtures for Highway Engineering; China Communications Press: Beijing, China, 2011. [Google Scholar]
- Sun, L.; Wang, Y.Y.; Zhang, Y.M. Aging mechanism and effective recycling ratio of SBS modified asphalt. Constr. Build. Mater. 2014, 70, 26–35. [Google Scholar] [CrossRef]
- Liu, G.; Nielsen, E.; Komacka, J.; Greet, L.; van de Ven, M. Rheological and chemical evaluation on the ageing properties of SBS polymer modified bitumen: From the laboratory to the field. Constr. Build. Mater. 2014, 51, 244–248. [Google Scholar]
- Carrera, V.; Partal, P.; García-Morales, M.; Gallegos, C.; Páez, A. Influence of bitumen colloidal nature on the design of isocyanate-based bituminous products with enhanced rheological properties. Ind. Eng. Chem. Res. 2009, 48, 8464–8470. [Google Scholar] [CrossRef]
- Wu, S.; Pang, L.; Mo, L.; Chen, Y.; Zhu, G. Influence of aging on the evolution of structure, morphology and rheology of base and SBS modified bitumen. Constr. Build. Mater. 2009, 23, 1005–1010. [Google Scholar] [CrossRef]
- Zhu, J.Q.; Birgisson, B.; Kringos, N. Polymer modification of bitumen: Advances and challenges. Eur. Polym. J. 2014, 54, 18–38. [Google Scholar] [CrossRef]
- McNally, T. Polymer Modified Bitumen-Properties and Characterization; Woodhead Publishing: Cambridge, UK, 2011. [Google Scholar]
- Gao, J.; Wang, H.; You, Z.; Hasan, M.R.M.; Lei, Y.; Irfan, M. Rheological Behavior and Sensitivity of Wood-Derived Bio-Oil Modified Asphalt Binders. Appl. Sci. 2018, 8, 919. [Google Scholar] [CrossRef]
- Kuang, D.L. Preparation of Diffusible Rejuvenator and Its Influence on Performances of Recycled Bitumen and Recycled Asphalt Mixture. Ph.D. Thesis, Wuhan University of Technology, Wuhan, China, 2012. [Google Scholar]
- Song, H. Study on Synthesis Technology and Evaluation of Viscosity Reduction Copolymer Based on Long Chain Methacrylate. Master’s Thesis, Shandong University, Jinan, China, 2011. [Google Scholar]











| Sample | Penetration (0.1 mm) | Softening Point (°C) | Ductility 25 °C (cm) | Viscosity 60 °C (Pa·s) |
|---|---|---|---|---|
| Virgin asphalt (AH-70) | 72.6 | 47.5 | 162 | 256 |
| Aged asphalt | 35.8 | 65.2 | 12.5 | 1285 |
| Modified asphalt binder (1-D) | 48.2 | 72.5 | 52.3 | 6370 |
| Sample | Viscosity (60 °C) /Pa·s | Viscosity (135 °C) /Pa·s | Viscosity Ratio by TOFT | Mass Loss by TOFT/% |
|---|---|---|---|---|
| CR | 1.72 | 0.31 | 2.65 | −3.02 |
| MR-1 | 16.31 | 5.36 | 2.03 | −2.18 |
| MR-2 | 8.21 | 2.21 | 1.16 | −2.60 |
| Sample | Second-Line Extract oil/wt.% | Petroleum Resin/wt.% | Linear-Type SBS/wt.% | Stabilizing Agent/wt.% | Dispersing Agent /wt.% |
|---|---|---|---|---|---|
| MR-1 | 49 | 5 | 40 | 6 | 0 |
| MR-2 | 40 | 5 | 40 | 6 | 9 |
| Position | Correlation Coefficient (r) | ||
|---|---|---|---|
| CR | MR-1 | MR-2 | |
| D1 | 0.969758876 | 0.989985163 | 0.970139281 |
| D2 | 0.988691271 | 0.999302387 | 0.987872939 |
| D3 | 0.999597049 | 0.999829042 | 0.999758177 |
| Samples | CR | MR-1 | MR-2 | |||
|---|---|---|---|---|---|---|
| Mean Value of M800 | Standard Deviation | Mean Value of M800 | Standard Deviation | Mean Value of M800 | Standard Deviation | |
| Aged | 28.7 | 1.216 | 28.7 | 1.216 | 28.7 | 1.216 |
| Virgin | 34.1 | 0.925 | 34.1 | 0.925 | 34.1 | 0.925 |
| D1 | 38.8 | 1.053 | 33.7 | 0.931 | 37.7 | 0.832 |
| D2 | 35.0 | 0.921 | 29.9 | 1.823 | 34.8 | 1.056 |
| D3 | 29.8 | 1.336 | 29.4 | 1.521 | 29.2 | 1.228 |
| Samples | CR | MR-2 | 1-D | AH-70 | ||||
|---|---|---|---|---|---|---|---|---|
| 3% | 6% | 9% | 3% | 6% | 9% | |||
| Toughness/N·m | 6.21 | 6.03 | 5.75 | 7.61 | 16.31 | 19.23 | 24.46 | 5.42 |
| Standard Deviation | 0.12 | 0.13 | 0.08 | 0.12 | 0.15 | 0.36 | 0.28 | 0.16 |
| Tenacity/ N·m | 0.32 | 0.72 | 0.91 | 1.63 | 11.23 | 15.06 | 19.72 | 1.21 |
| Standard Deviation | 0.08 | 0.05 | 0.09 | 0.09 | 0.31 | 0.46 | 0.51 | 0.08 |
| Sample | CR | MR-2 | Aged | Virgin(AH-70) | 1-D | ||||
|---|---|---|---|---|---|---|---|---|---|
| 3% | 6% | 9% | 3% | 6% | 9% | ||||
| Ductility/cm | <1.0 | <1.0 | <1.0 | <1.0 | 10.5 | 22.5 | <1.0 | <1.0 | 26.3 |
| Maximum tension force/N | 101.2 | 102.5 | 139.8 | 134.1 | 135.1 | 142.6 | 98.8 | 116.5 | 156.6 |
| Fracture tension force/N | 101.2 | 102.5 | 139.8 | 134.1 | 7.6 | 37.3 | 98.8 | 116.5 | 85.2 |
© 2018 by the authors. Licensee MDPI, Basel, Switzerland. This article is an open access article distributed under the terms and conditions of the Creative Commons Attribution (CC BY) license (http://creativecommons.org/licenses/by/4.0/).
Share and Cite
Zhao, M.; Shen, F.; Ding, Q. Micromechanism of the Dispersion Behavior of Polymer-Modified Rejuvenators in Aged Asphalt Material. Appl. Sci. 2018, 8, 1591. https://doi.org/10.3390/app8091591
Zhao M, Shen F, Ding Q. Micromechanism of the Dispersion Behavior of Polymer-Modified Rejuvenators in Aged Asphalt Material. Applied Sciences. 2018; 8(9):1591. https://doi.org/10.3390/app8091591
Chicago/Turabian StyleZhao, Mingyu, Fan Shen, and Qingjun Ding. 2018. "Micromechanism of the Dispersion Behavior of Polymer-Modified Rejuvenators in Aged Asphalt Material" Applied Sciences 8, no. 9: 1591. https://doi.org/10.3390/app8091591
APA StyleZhao, M., Shen, F., & Ding, Q. (2018). Micromechanism of the Dispersion Behavior of Polymer-Modified Rejuvenators in Aged Asphalt Material. Applied Sciences, 8(9), 1591. https://doi.org/10.3390/app8091591

