Effect of WC Nanoparticles on the Microstructure and Properties of WC-Bronze-Ni-Mn Based Diamond Composites
Abstract
1. Introduction
2. Materials and Methods
2.1. Sample Preparation
2.2. Characterization
3. Results and Discussion
3.1. Microstructure
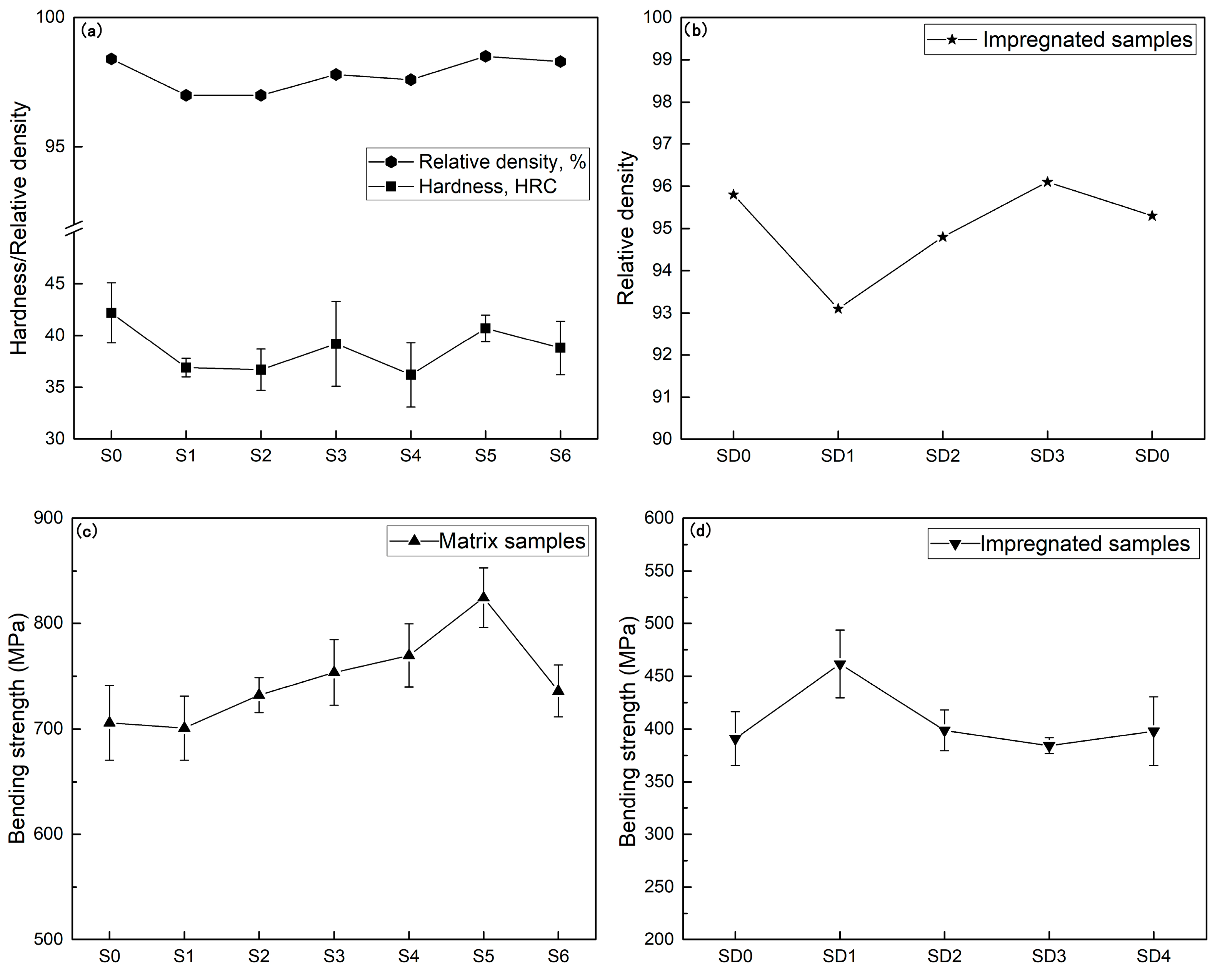
3.2. Mechanical Properties
3.3. Wear Resistance
4. Conclusions
Author Contributions
Funding
Conflicts of Interest
References
- Tönshoff, H.K.; Hillmann, A.H.; Asche, J. Diamond tools in stone and civil engineering industry: Cutting principles, wear and applications. Diam. Relat. Mater. 2002, 250, 103–109. [Google Scholar] [CrossRef]
- Boland, J.N.; Li, X.S. Microstructural Characterisation and Wear Behaviour of Diamond Composite Materials. Materials 2010, 3, 1390–1419. [Google Scholar] [CrossRef]
- Zhao, X.; Duan, L. A Review of the Diamond Retention Capacity of Metal Bond Matrices. Metals 2018, 8, 307. [Google Scholar] [CrossRef]
- Konstanty, J.S.; Baczek, E.; Romanski, A.; Tyrala, D. Wear-resistant iron-based Mn–Cu–Sn matrix for sintered diamond tools. Powder Metall. 2017, 61, 43–49. [Google Scholar] [CrossRef]
- Artini, C.; Muolo, M.L.; Passerone, A. Diamond–metal interfaces in cutting tools: A review. J. Mater. Sci. 2011, 47, 3252–3264. [Google Scholar] [CrossRef]
- Dai, H.; Wang, L.; Zhang, J.; Liu, Y.; Wang, Y.; Wang, L.; Wan, X. Iron based partially pre-alloyed powders as matrix materials for diamond tools. Powder Metall. 2015, 58, 83–86. [Google Scholar] [CrossRef]
- Sun, Y.; Wu, H.; Li, M.; Meng, Q.; Gao, K.; Lu, X.; Liu, B. The Effect of ZrO2 Nanoparticles on the Microstructure and Properties of Sintered WC-Bronze-Based Diamond Composites. Materials 2016, 9, 343. [Google Scholar] [CrossRef] [PubMed]
- Li, M.; Sun, Y.H.; Dong, B.; Wu, H.D.; Gao, K. Study on effects of CNTs on the properties of WC-based impregnated diamond matrix composites. Mater. Res. Innov. 2015, 19, 59–63. [Google Scholar] [CrossRef]
- Sun, Y.C.; Liu, Y.B. Diamond Tool and Metallurgical Technology; China Construction Materials Press: Beijing, China, 1999. [Google Scholar]
- Di Ilio, A.; Togna, A. A theoretical wear model for diamond tools in stone cutting. Int. J. Mach. Tools Manuf. 2003, 43, 1171–1177. [Google Scholar] [CrossRef]
- Wang, Z.; Zhang, Z.; Sun, Y.; Gao, K.; Liang, Y.; Li, X.; Ren, L. Wear behavior of bionic impregnated diamond bits. Tribol. Int. 2016, 94, 217–222. [Google Scholar] [CrossRef]
- Ersoy, A.; Buyuksagic, S.; Atici, U. Wear characteristics of circular diamond saws in the cutting of different hard abrasive rocks. Wear 2005, 258, 1422–1436. [Google Scholar] [CrossRef]
- Levashov, E.; Kurbatkina, V.; Alexandr, Z. Improved Mechanical and Tribological Properties of Metal-Matrix Composites Dispersion-Strengthened by Nanoparticles. Materials 2009, 3, 97–109. [Google Scholar] [CrossRef]
- Casati, R.; Vedani, M. Metal Matrix Composites Reinforced by Nano-Particles—A Review. Metals 2014, 4, 65–83. [Google Scholar] [CrossRef]
- Zhou, Y.M.; Zhang, F.L.; Wang, C.Y. Effect of Ni–Al SHS reaction on diamond grit for fabrication of diamond tool material. Int. J. Refract. Met. Hard Mater. 2010, 28, 416–423. [Google Scholar] [CrossRef]
- Spriano, S.; Chen, Q.; Settineri, L.; Bugliosi, S. Low content and free cobalt matrixes for diamond tools. Wear 2005, 259, 1190–1196. [Google Scholar] [CrossRef]
- Li, M.; Sun, Y.; Meng, Q.; Wu, H.; Gao, K.; Liu, B. Fabrication of Fe-Based Diamond Composites by Pressureless Infiltration. Materials 2016, 9, 1006. [Google Scholar] [CrossRef] [PubMed]
- Uemura, M. An analysis of the catalysis of Fe, Ni or Co on the wear of diamonds. Tribol. Int. 2004, 37, 887–892. [Google Scholar] [CrossRef]
- Narulkar, R.; Bukkapatnam, S.; Raff, L.M.; Komanduri, R. Graphitization as a precursor to wear of diamond in machining pure iron: A molecular dynamics investigation. Comput. Mater. Sci. 2009, 45, 358–366. [Google Scholar] [CrossRef]
- Sidorenko, D.A.; Zaitsev, A.A.; Kirichenko, A.N.; Levashov, E.A.; Kurbatkina, V.V.; Loginov, P.A.; Rupasov, S.I.; Andreev, V.A. Interaction of diamond grains with nanosized alloying agents in metal–matrix composites as studied by Raman spectroscopy. Diam. Relat. Mater. 2013, 38, 59–62. [Google Scholar] [CrossRef]
- Sidorenko, D.; Mishnaevsky, L.; Levashov, E.; Loginov, P.; Petrzhik, M. Carbon nanotube reinforced metal binder for diamond cutting tools. Mater. Des. 2015, 83, 536–544. [Google Scholar] [CrossRef]
- Zaitsev, A.A.; Sidorenko, D.A.; Levashov, E.A.; Kurbatkina, V.V.; Rupasov, S.I.; Andreev, V.A.; Sevast’yanov, P.V. Development and application of the Cu-Ni-Fe-Sn-based dispersion-hardened bond for cutting tools of superhard materials. J. Superhard Mater. 2012, 34, 270–280. [Google Scholar] [CrossRef]
- Loginov, P.; Mishnaevsky, L.; Levashov, E.; Petrzhik, M. Diamond and cBN hybrid and nanomodified cutting tools with enhanced performance: Development, testing and modelling. Mater. Des. 2015, 88, 310–319. [Google Scholar] [CrossRef]
- Zaitsev, A.A.; Sidorenko, D.A.; Levashov, E.A.; Kurbatkina, V.V.; Andreev, V.A.; Rupasov, S.I.; Sevast’yanov, P.V. Diamond tools in metal bonds dispersion-strengthened with nanosized particles for cutting highly reinforced concrete. J. Superhard Mater. 2011, 32, 423–431. [Google Scholar] [CrossRef]
- Loginov, P.A.; Sidorenko, D.A.; Levashov, E.A.; Petrzhik, M.I.; Bychkova, M.Y.; Mishnaevsky, L. Hybrid metallic nanocomposites for extra wear-resistant diamond machining tools. Int. J. Refract. Met. Hard Mater. 2018, 71, 36–44. [Google Scholar] [CrossRef]
- Tjong, S.C. Novel Nanoparticle-Reinforced Metal Matrix Composites with Enhanced Mechanical Properties. Adv. Eng. Mater. 2007, 9, 639–652. [Google Scholar] [CrossRef]
- Kamyar, S.; Mohammad, M.A.; Bhargav, P.; Minoo, N. Periodical patterning of a fully tailored nanocarbon on CNT for fabrication of thermoplastic composites. Compos. A 2018, 107, 304–314. [Google Scholar]
- Karbalaei, A.M.; Rajabi, S.; Shirvanimoghaddam, K. Wear and friction behavior of nanosized Formula and Formula particle-reinforced casting A356 aluminum nanocomposites: A comparative study focusing on particle capture in matrix. J. Compos. Mater. 2015, 49, 3665–3681. [Google Scholar] [CrossRef]
- Myalska, H.; Swadźba, R.; Rozmus, R.; Moskal, G.; Wiedermann, J.; Szymański, K. STEM analysis of WC-Co coatings modified by nano-sized TiC and nano-sized WC addition. Surf. Coat. Technol. 2017, 318, 279–287. [Google Scholar] [CrossRef]
- Mauro, P.; Sasa, B. On the Properties of WC/SiC Multilayers. Appl. Sci. 2018, 8, 571. [Google Scholar] [CrossRef]
- Kurlov, A.S.; Rempel, A.A. Effect of WC nanoparticle size on the sintering temperature, density, and microhardness of WC-8 wt % Co alloys. Inorg. Mater. 2009, 45, 380–385. [Google Scholar] [CrossRef]
- Zhang, Z.; Chen, D. Consideration of Orowan strengthening effect in particulate-reinforced metal matrix nanocomposites: A model for predicting their yield strength. Scr. Mater. 2006, 54, 1321–1326. [Google Scholar] [CrossRef]
- Zhang, Z.; Chen, D.L. Contribution of Orowan strengthening effect in particulate-reinforced metal matrix nanocomposites. Mater. Sci. Eng. A 2008, 483–484, 148–152. [Google Scholar] [CrossRef]
- Vaidya, R.U.; Chawla, K.K. Thermal expansion of metal-matrix composites. Compos. Sci. Technol. 1994, 50, 13–22. [Google Scholar] [CrossRef]







| Composition | WC | Bronze | Ni | Mn |
|---|---|---|---|---|
| Content (wt%) | 55 | 35 | 5 | 5 |
| Average particle size (μm) | 10 | 50 | 75 | 60 |
| Samples | Composites | Relative Density (%) | Hardness (HRC) | Bending Strength (MPa) |
|---|---|---|---|---|
| S0 | Matrix | 98.4 | 42.2 ± 2.9 | 705.9 ± 35.4 |
| S1 | Matrix + 0.5 wt% nano-WC | 97.0 | 36.9 ± 0.9 | 700.9 ± 30.3 |
| S2 | Matrix + 1.0 wt% nano-WC | 97.0 | 36.7 ± 2.0 | 732.1 ± 16.6 |
| S3 | Matrix + 1.5 wt% nano-WC | 97.8 | 39.2 ± 4.1 | 753.5 ± 31.0 |
| S4 | Matrix + 2.0 wt% nano-WC | 97.6 | 36.2 ± 3.1 | 769.6 ± 29.9 |
| S5 | Matrix + 2.5 wt% nano-WC | 98.5 | 40.7 ± 1.3 | 824.5 ± 28.4 |
| S6 | Matrix + 3.0 wt% nano-WC | 98.3 | 38.8 ± 2.6 | 736.0 ± 24.5 |
| SD0 | Matrix + Diamond | 95.8 | - | 391.0 ± 25.5 |
| SD1 | Matrix + 2.2 wt% nano-WC + Diamond | 93.1 | - | 461.6 ± 32.0 |
| SD2 | Matrix + 2.5 wt% nano-WC + Diamond | 94.8 | - | 398.8 ± 19.2 |
| SD3 | Matrix + 2.8 wt% nano-WC + Diamond | 96.1 | - | 384.3 ± 7.4 |
| SD4 | Matrix + 3.1 wt% nano-WC + Diamond | 95.3 | - | 398.0 ± 32.4 |
| Samples | SD0 | SD1 | SD2 | SD3 | SD4 |
|---|---|---|---|---|---|
| Width (μm) | 4.1 | 3.0 | 3.8 | 4.0 | 4.2 |
© 2018 by the authors. Licensee MDPI, Basel, Switzerland. This article is an open access article distributed under the terms and conditions of the Creative Commons Attribution (CC BY) license (http://creativecommons.org/licenses/by/4.0/).
Share and Cite
Li, S.; Han, Z.; Meng, Q.; Zhao, X.; Cao, X.; Liu, B. Effect of WC Nanoparticles on the Microstructure and Properties of WC-Bronze-Ni-Mn Based Diamond Composites. Appl. Sci. 2018, 8, 1501. https://doi.org/10.3390/app8091501
Li S, Han Z, Meng Q, Zhao X, Cao X, Liu B. Effect of WC Nanoparticles on the Microstructure and Properties of WC-Bronze-Ni-Mn Based Diamond Composites. Applied Sciences. 2018; 8(9):1501. https://doi.org/10.3390/app8091501
Chicago/Turabian StyleLi, Siqi, Zhe Han, Qingnan Meng, Xinzhe Zhao, Xin Cao, and Baochang Liu. 2018. "Effect of WC Nanoparticles on the Microstructure and Properties of WC-Bronze-Ni-Mn Based Diamond Composites" Applied Sciences 8, no. 9: 1501. https://doi.org/10.3390/app8091501
APA StyleLi, S., Han, Z., Meng, Q., Zhao, X., Cao, X., & Liu, B. (2018). Effect of WC Nanoparticles on the Microstructure and Properties of WC-Bronze-Ni-Mn Based Diamond Composites. Applied Sciences, 8(9), 1501. https://doi.org/10.3390/app8091501
