Gaussian Quantum Trajectories for the Variational Simulation of Open Quantum-Optical Systems
Abstract
Featured Application
Abstract
1. Introduction
2. Quantum Trajectories for Expectation Values and Gaussianity
2.1. Quantum Trajectories for Expectation Values
2.1.1. Photon-Counting Unraveling
2.1.2. Homodyne and Heterodyne Unravelings
2.2. Closing at the Gaussian Level
3. Kerr Bistability and the XP-Gaussian Methods
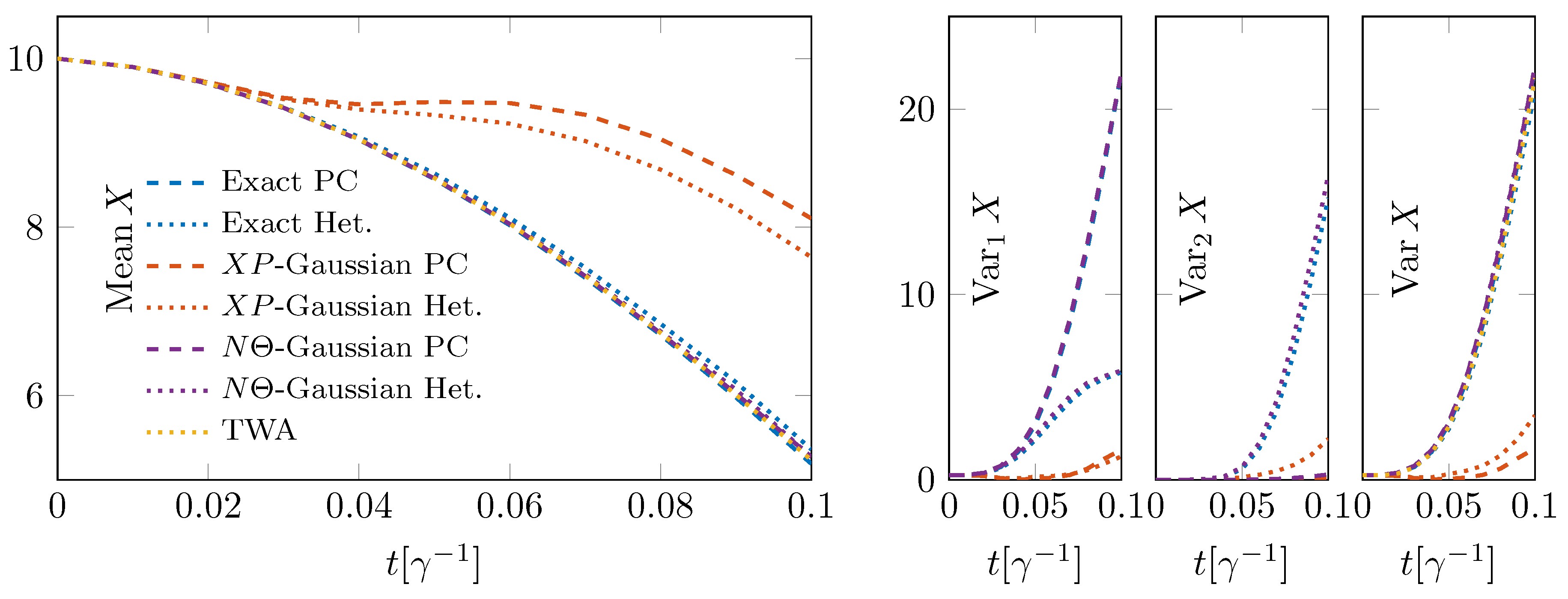
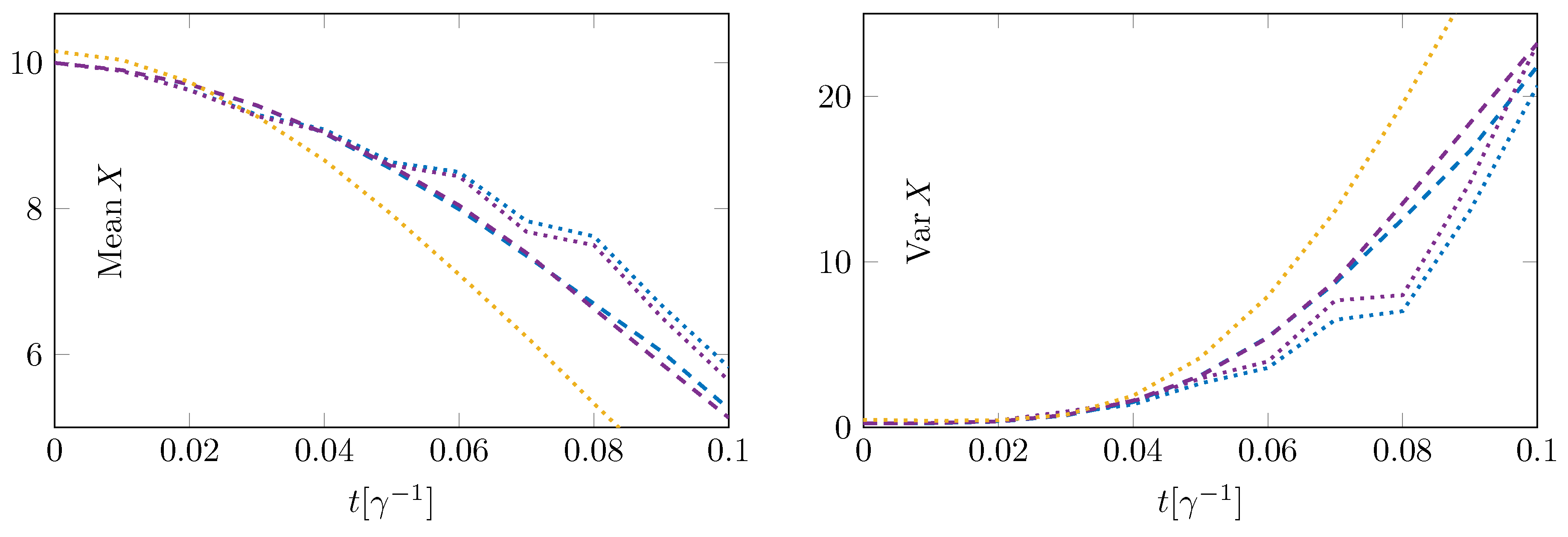
4. Phase Diffusion and the NΘ-Gaussian Method
4.1. Phase Space Evolution
4.2. -Gaussian States
5. Computational Aspects
6. Conclusions and Outlook
Supplementary Materials
Author Contributions
Funding
Acknowledgments
Conflicts of Interest
Abbreviations
| -Gaussian | state Gaussian in the quadrature variables |
| -Gaussian | state Gaussian in density and phase |
| TWA | Truncated Wigner Approximation |
| PC | Photon-Counting |
| Hom. (X) | Homodyne detection of X-quadrature |
| Het. | Heterodyne detection |
| symmetrically ordered |
Appendix A. Photon-Counting, Homodyne and Heterodyne Unravelings
Appendix A.1. Photon Counting
Appendix A.2. Homodyne Detection

Appendix A.3. Heterodyne Detection
Appendix B. Full Equations for NΘ-Gaussian Trajectories
Appendix C. Expansions for Correlators of an NΘ-Gaussian State
References
- Fitzpatrick, M.; Sundaresan, N.M.; Li, A.C.Y.; Koch, J.; Houck, A.A. Observation of a dissipative phase transition in a one-dimensional circuit QED lattice. Phys. Rev. X 2017, 7, 011016. [Google Scholar] [CrossRef]
- Hartmann, M.J. Quantum simulation with interacting photons. J. Opt. 2016, 18, 104005. [Google Scholar] [CrossRef]
- Noh, C.; Angelakis, D.G. Quantum simulations and many-body physics with light. Rep. Prog. Phys. 2017, 80, 016401. [Google Scholar] [CrossRef] [PubMed]
- Amo, A.; Lefrère, J.; Pigeon, S.; Adrados, C.; Ciuti, C.; Carusotto, I.; Houdré, R.; Giacobino, E.; Bramati, A. Superfluidity of polaritons in semiconductor microcavities. Nat. Phys. 2009, 5, 805–810. [Google Scholar] [CrossRef]
- Lai, C.W.; Kim, N.Y.; Utsunomiya, S.; Roumpos, G.; Deng, H.; Fraser, M.D.; Byrnes, T.; Recher, P.; Kumada, N.; Fujisawa, T.; et al. Coherent zero-state and p-state in an exciton-polariton condensate array. Nature 2007, 450, 529–532. [Google Scholar] [CrossRef] [PubMed]
- Jacqmin, T.; Carusotto, I.; Sagnes, I.; Abbarchi, M.; Solnyshkov, D.D.; Malpuech, G.; Galopin, E.; Lemaître, A.; Bloch, J.; Amo, A. Direct observation of Dirac cones and a flatband in a honeycomb lattice for polaritons. Phys. Rev. Lett. 2014, 112, 116402. [Google Scholar] [CrossRef] [PubMed]
- Carmichael, H.J. Statistical Methods in Quantum Optics 2: Non-Classical Fields; Theoretical and mathematical physics; Springer: Berlin, Germany, 2008. [Google Scholar]
- Breuer, H.P.; Petruccioni, F. The Theory of Open Quantum Systems; Oxford University Press: Oxford, UK, 2002. [Google Scholar]
- Daley, A.J. Quantum trajectories and open many-body quantum systems. Adv. Phys. 2014, 63, 77–149. [Google Scholar] [CrossRef]
- Davies, E.B. Quantum stochastic processes. Commun. Math. Phys. 1969, 15, 277–304. [Google Scholar] [CrossRef]
- Plenio, M.B.; Knight, P.L. The quantum-jump approach to dissipative dynamics in quantum optics. Rev. Mod. Phys. 1998, 70, 101–144. [Google Scholar] [CrossRef]
- Dalibard, J.; Castin, Y.; Mølmer, K. Wave-function approach to dissipative processes in quantum optics. Phys. Rev. Lett. 1992, 68, 580–583. [Google Scholar] [CrossRef] [PubMed]
- Dum, R.; Zoller, P.; Ritsch, H. Monte Carlo simulation of the atomic master equation for spontaneous emission. Phys. Rev. A 1992, 45, 4879–4887. [Google Scholar] [CrossRef] [PubMed]
- Carmichael, H. An Open Systems Approach to Quantum Optics; Lecture Notes in Physics; Springer: Berlin, Germany, 1993; Volume m18. [Google Scholar]
- Barchielli, A.; Belavkin, V.P. Measurements continuous in time and a posteriori states in quantum mechanics. J. Phys. A: Math. Gen. 1991, 24, 1495. [Google Scholar] [CrossRef]
- Wiseman, H.M.; Milburn, G.J. Quantum Measurement and Control; Cambridge University Press: Cambridge, UK, 2009. [Google Scholar]
- Prosen, T. Third quantization: A general method to solve master equations for quadratic open Fermi systems. New J. Phys. 2008, 10, 043026. [Google Scholar] [CrossRef]
- Sedlmayr, N.; Fleischhauer, M.; Sirker, J. Fate of dynamical phase transitions at finite temperatures and in open systems. Phys. Rev. B 2018, 97, 045147. [Google Scholar] [CrossRef]
- Kramer, P. A review of the time-dependent variational principle. J. Phys. Conf. Ser. 2008, 99, 012009. [Google Scholar] [CrossRef]
- Weimer, H. Variational principle for steady states of dissipative quantum many-body systems. Phys. Rev. Lett. 2015, 114, 040402. [Google Scholar] [CrossRef] [PubMed]
- Overbeck, V.R.; Weimer, H. Time evolution of open quantum many-body systems. Phys. Rev. A 2016, 93, 012106. [Google Scholar] [CrossRef]
- McCutcheon, D.P.S.; Dattani, N.S.; Gauger, E.M.; Lovett, B.W.; Nazir, A. A general approach to quantum dynamics using a variational master equation: Application to phonon-damped Rabi rotations in quantum dots. Phys. Rev. B 2011, 84, 081305. [Google Scholar] [CrossRef]
- Pollock, F.A.; McCutcheon, D.P.S.; Lovett, B.W.; Gauger, E.M.; Nazir, A. A multi-site variational master equation approach to dissipative energy transfer. New J. Phys. 2013, 15, 075018. [Google Scholar] [CrossRef]
- Suri, N.; Binder, F.C.; Muralidharan, B.; Vinjanampathy, S. Speeding up thermalisation via open quantum system variational optimisation. arXiv, 2017; arXiv:1711.08776. [Google Scholar]
- Diehl, S.; Tomadin, A.; Micheli, A.; Fazio, R.; Zoller, P. Dynamical phase transitions and instabilities in open atomic many-body systems. Phys. Rev. Lett. 2010, 105, 015702. [Google Scholar] [CrossRef] [PubMed]
- Tomadin, A.; Diehl, S.; Zoller, P. Nonequilibrium phase diagram of a driven and dissipative many-body system. Phys. Rev. A 2011, 83, 013611. [Google Scholar] [CrossRef]
- Joubert-Doriol, L.; Izmaylov, A.F. Problem-free time-dependent variational principle for open quantum systems. J. Chem. Phys. 2015, 142, 134107. [Google Scholar] [CrossRef] [PubMed]
- Schröder, F.A.Y.N.; Chin, A.W. Simulating open quantum dynamics with time-dependent variational matrix product states: Towards microscopic correlation of environment dynamics and reduced system evolution. Phys. Rev. B 2016, 93, 075105. [Google Scholar] [CrossRef]
- Manzoni, M.T.; Chang, D.E.; Douglas, J.S. Simulating quantum light propagation through atomic ensembles using matrix product states. Nat. Commun. 2017, 8, 1743. [Google Scholar] [CrossRef] [PubMed]
- Mascarenhas, E.; Flayac, H.; Savona, V. Matrix-product-operator approach to the nonequilibrium steady state of driven-dissipative quantum arrays. Phys. Rev. A 2015, 92, 022116. [Google Scholar] [CrossRef]
- Cui, J.; Cirac, J.I.; Bañuls, M.C. Variational matrix product operators for the steady state of dissipative quantum systems. Phys. Rev. Lett. 2015, 114, 220601. [Google Scholar] [CrossRef] [PubMed]
- Verstraete, F.; García-Ripoll, J.J.; Cirac, J.I. Matrix product density operators: Simulation of finite-temperature and dissipative systems. Phys. Rev. Lett. 2004, 93, 207204. [Google Scholar] [CrossRef] [PubMed]
- Zwolak, M.; Vidal, G. Mixed-State Dynamics in one-dimensional quantum lattice systems: A time-dependent superoperator renormalization algorithm. Phys. Rev. Lett. 2004, 93, 207205. [Google Scholar] [CrossRef] [PubMed]
- Casteels, W.; Wouters, M. Optically bistable driven-dissipative Bose-Hubbard dimer: Gutzwiller approaches and entanglement. Phys. Rev. A 2017, 95, 043833. [Google Scholar] [CrossRef]
- Casteels, W.; Wilson, R.M.; Wouters, M. Gutzwiller Monte Carlo approach for a critical dissipative spin model. arXiv, 2017; arXiv:1709.00693. [Google Scholar] [CrossRef]
- Pichler, H.; Schachenmayer, J.; Daley, A.J.; Zoller, P. Heating dynamics of bosonic atoms in a noisy optical lattice. Phys. Rev. A 2013, 87, 033606. [Google Scholar] [CrossRef]
- Daley, A.J.; Taylor, J.M.; Diehl, S.; Baranov, M.; Zoller, P. Atomic three-body loss as a dynamical three-body interaction. Phys. Rev. Lett. 2009, 102, 040402. [Google Scholar] [CrossRef] [PubMed]
- Kantian, A.; Dalmonte, M.; Diehl, S.; Hofstetter, W.; Zoller, P.; Daley, A.J. Atomic color superfluid via three-body loss. Phys. Rev. Lett. 2009, 103, 240401. [Google Scholar] [CrossRef] [PubMed]
- Barmettler, P.; Kollath, C. Controllable manipulation and detection of local densities and bipartite entanglement in a quantum gas by a dissipative defect. Phys. Rev. A 2011, 84, 041606. [Google Scholar] [CrossRef]
- Mazzucchi, G.; Kozlowski, W.; Caballero-Benitez, S.F.; Mekhov, I.B. Collective dynamics of multimode bosonic systems induced by weak quantum measurement. New J. Phys. 2016, 18, 073017. [Google Scholar] [CrossRef]
- Mazzucchi, G.; Caballero-Benitez, S.F.; Mekhov, I.B. Quantum measurement-induced antiferromagnetic order and density modulations in ultracold Fermi gases in optical lattices. Sci. Rep. 2016, 6, 31196. [Google Scholar] [CrossRef] [PubMed]
- Gardiner, C.; Zoller, P. Quantum Noise: A Handbook of Markovian and Non-Markovian Quantum Stochastic Methods with Applications to Quantum Optics (Springer Series in Synergetics); Springer: Berlin, Germany, 2004. [Google Scholar]
- Lewin, M.; Paul, S. A numerical perspective on Hartree-Fock-Bogoliubov theory. ESAIM: M2AN 2014, 48, 53–86. [Google Scholar] [CrossRef]
- Bach, V.; Breteaux, S.; Chen, T.; Fröhlich, J.; Sigal, I.M. The time-dependent Hartree-Fock-Bogoliubov equations for Bosons. arXiv, 2016; arXiv:1602.05171. [Google Scholar]
- Zhu, J.X. Bogoliubov-de Gennes Method and Its Applications; Springer: Cham, Switzerland, 2016. [Google Scholar]
- Montina, A.; Castin, Y. Exact BCS stochastic schemes for a time-dependent many-body fermionic system. Phys. Rev. A 2006, 73, 013618. [Google Scholar] [CrossRef]
- Hudson, R. When is the wigner quasi-probability density non-negative? Rep. Math. Phys. 1974, 6, 249–252. [Google Scholar] [CrossRef]
- Carusotto, I.; Ciuti, C. Quantum Fluids of light. Rev. Mod. Phys. 2013, 85, 299. [Google Scholar] [CrossRef]
- Sinatra, A.; Lobo, C.; Castin, Y. Classical-field method for time dependent Bose-Einstein condensed gases. Phys. Rev. Lett. 2001, 87, 210404. [Google Scholar] [CrossRef] [PubMed]
- Sinatra, A.; Lobo, C.; Castin, Y. The truncated Wigner method for Bose-condensed gases: Limits of validity and applications. J. Phys. B: At. Mol. Opt. Phys. 2002, 35, 3599. [Google Scholar] [CrossRef]
- Polkovnikov, A. Phase space representation of quantum dynamics. Ann. Phys. 2010, 325, 1790–1852. [Google Scholar] [CrossRef]
- Drummond, P.D.; Opanchuk, B. Truncated Wigner dynamics and conservation laws. Phys. Rev. A 2017, 96, 043616. [Google Scholar] [CrossRef]
- Drummond, P.D.; Hardman, A.D. Simulation of Quantum Effects in Raman-Active Waveguides. EPL (Europhys. Lett.) 1993, 21, 279. [Google Scholar] [CrossRef]
- Carter, S.J. Quantum theory of nonlinear fiber optics: Phase-space representations. Phys. Rev. A 1995, 51, 3274–3301. [Google Scholar] [CrossRef] [PubMed]
- Steel, M.J.; Olsen, M.K.; Plimak, L.I.; Drummond, P.D.; Tan, S.M.; Collett, M.J.; Walls, D.F.; Graham, R. Dynamical quantum noise in trapped Bose-Einstein condensates. Phys. Rev. A 1998, 58, 4824–4835. [Google Scholar] [CrossRef]
- Blakie†, P.; Bradley†, A.; Davis, M.; Ballagh, R.; Gardiner, C. Dynamics and statistical mechanics of ultra-cold Bose gases using c-field techniques. Adv. Phys. 2008, 57, 363–455. [Google Scholar] [CrossRef]
- Hebenstreit, F. Vortex formation and dynamics in two-dimensional driven-dissipative condensates. Phys. Rev. A 2016, 94, 063617. [Google Scholar] [CrossRef]
- Van Regemortel, M.; Casteels, W.; Carusotto, I.; Wouters, M. Spontaneous Beliaev-Landau scattering out of equilibrium. Phys. Rev. A 2017, 96, 053854. [Google Scholar] [CrossRef]
- Drummond, P.D.; Walls, D.F. Quantum theory of optical bistability. I. Nonlinear polarisability model. J. Phys. A.: Math. Gen. 1979, 13, 725. [Google Scholar] [CrossRef]
- Ferraro, A.; Olivares, S.; Paris, M. Gaussian States in Quantum Information; Napoli Series on Physics and Astrophysics; Bibliopolis: Naples, Italy, 2005. [Google Scholar]
- Casteels, W.; Finazzi, S.; Boité, A.L.; Storme, F.; Ciuti, C. Truncated correlation hierarchy schemes for driven-dissipative multimode quantum systems. New J. Phys. 2016, 18, 093007. [Google Scholar] [CrossRef]
- Wouters, M. Wave-function Monte Carlo method for polariton condensates. Phys. Rev. B 2012, 85, 165303. [Google Scholar] [CrossRef]
- Kuznetsov, I.O.; Kartsev, P.F. Simulation of equilibrium particle distribution of the Bose gas of polaritons using quantum Monte Carlo. J. Phys. Conf. Ser. 2017, 941, 012070. [Google Scholar] [CrossRef]
- Le Boité, A. Strongly Correlated Photons in Arrays of Nonlinear Cavities. Ph.D. Thesis, Université Paris Diderot-Paris 7, Paris, France, 2015. [Google Scholar]
- Nieto, M.M. Quantum phase and quantum phase operators: Some physics and some history. Phys. Scr. 1993, 1993, 5. [Google Scholar] [CrossRef]
- Pitaevskii, L.; Stringari, S. Bose-Einstein Condensation; The International Series of Monographs on Physics; Oxford University Press: New York, NY, USA, 2003. [Google Scholar]
- Johnson, A.; Szigeti, S.S.; Schemmer, M.; Bouchoule, I. Long-lived nonthermal states realized by atom losses in one-dimensional quasicondensates. Phys. Rev. A 2017, 96, 013623. [Google Scholar] [CrossRef]
- Hush, M.R.; Carvalho, A.R.R.; Hope, J.J. Number-phase Wigner representation for scalable stochastic simulations of controlled quantum systems. Phys. Rev. A 2012, 85, 023607. [Google Scholar] [CrossRef]
- Hush, M.R.; Szigeti, S.S.; Carvalho, A.R.R.; Hope, J.J. Controlling spontaneous-emission noise in measurement-based feedback cooling of a Bose–Einstein condensate. New J. Phys. 2013, 15, 113060. [Google Scholar] [CrossRef]
- Lewis-Swan, R.J.; Olsen, M.K.; Kheruntsyan, K.V. Approximate particle number distribution from direct stochastic sampling of the Wigner function. Phys. Rev. A 2016, 94, 033814. [Google Scholar] [CrossRef]
- Mølmer, K.; Castin, Y.; Dalibard, J. Monte Carlo wave-function method in quantum optics. J. Opt. Soc. Am. B 1993, 10, 524–538. [Google Scholar] [CrossRef]
- Krämer, S.; Plankensteiner, D.; Ostermann, L.; Ritsch, H. QuantumOptics.jl: A Julia framework for simulating open quantum systems. Comput. Phys. Commun. 2018, 227, 109–116. [Google Scholar] [CrossRef]
- Adam, P.; Mechler, M.; Szalay, V.; Koniorczyk, M. Intelligent states for a number-operator-annihilation- operator uncertainty relation. Phys. Rev. A 2014, 89, 062108. [Google Scholar] [CrossRef]
- Haroche, S.; Raimond, J. Exploring the Quantum: Atoms, Cavities, and Photons; Oxford University Press: Oxford, UK, 2006. [Google Scholar]
- Brun, T.A. A simple model of quantum trajectories. Am. J. Phys 2002, 70, 719–737. [Google Scholar] [CrossRef]
- Walls, D.F.; Milburn, G.J. Quantum Optics, 2nd ed.; Springer: Berlin, Germany, 2008. [Google Scholar]
- Koczyk, P.; Wiewiór, P.; Radzewicz, C. Photon counting statistics—Undergraduate experiment. Am. J. Phys. 1996, 64, 240. [Google Scholar] [CrossRef]
- Scully, M.O.; Zubairy, M.S. Quantum Optics; Cambridge University Press: Cambridge, UK, 1997. [Google Scholar]
- Xu, Q.; Gallion, P.; Mendieta, F. Optical Homodyne Detection and Applications in Quantum Cryptography. Ph.D. Thesis, Télécom ParisTech, Paris, France, 2009. [Google Scholar]
- Fuwa, M.; Takeda, S.; Zwierz, M.; Wiseman, H.M.; Furusawa, A. Experimental proof of nonlocal wavefunction collapse for a single particle using homodyne measurements. Nat. Commun. 2015, 6, 6665. [Google Scholar] [CrossRef] [PubMed]
- D’Ariano, G.M.; Paris, M.G.A. Lower bounds on phase sensitivity in ideal and feasible measurements. Phys. Rev. A 1994, 49, 3022–3036. [Google Scholar] [CrossRef] [PubMed]
- Schmitt, J.; Damm, T.; Dung, D.; Wahl, C.; Vewinger, F.; Klaers, J.; Weitz, M. Spontaneous Symmetry Breaking and Phase Coherence of a Photon Bose-Einstein Condensate Coupled to a Reservoir. Phys. Rev. Lett. 2016, 116, 033604. [Google Scholar] [CrossRef] [PubMed]
- Hänsch, T.W. Passion for Precision. Available online: https://www.nobelprize.org/nobelprizes/physics/laureates/2005/hansch-lecture.pdf (accessed on 1 August 2018).
- Mora, C.; Castin, Y. Extension of Bogoliubov theory to quasicondensates. Phys. Rev. A 2003, 67, 053615. [Google Scholar] [CrossRef]





© 2018 by the authors. Licensee MDPI, Basel, Switzerland. This article is an open access article distributed under the terms and conditions of the Creative Commons Attribution (CC BY) license (http://creativecommons.org/licenses/by/4.0/).
Share and Cite
Verstraelen, W.; Wouters, M. Gaussian Quantum Trajectories for the Variational Simulation of Open Quantum-Optical Systems. Appl. Sci. 2018, 8, 1427. https://doi.org/10.3390/app8091427
Verstraelen W, Wouters M. Gaussian Quantum Trajectories for the Variational Simulation of Open Quantum-Optical Systems. Applied Sciences. 2018; 8(9):1427. https://doi.org/10.3390/app8091427
Chicago/Turabian StyleVerstraelen, Wouter, and Michiel Wouters. 2018. "Gaussian Quantum Trajectories for the Variational Simulation of Open Quantum-Optical Systems" Applied Sciences 8, no. 9: 1427. https://doi.org/10.3390/app8091427
APA StyleVerstraelen, W., & Wouters, M. (2018). Gaussian Quantum Trajectories for the Variational Simulation of Open Quantum-Optical Systems. Applied Sciences, 8(9), 1427. https://doi.org/10.3390/app8091427
