Role of Amine Type in CO2 Separation Performance within Amine Functionalized Silica/Organosilica Membranes: A Review
Abstract
:1. Introduction
2. Classifications and Reaction Activities between CO2 and Amines
3. Synthesis of Amine-Functionalized Silica/Organosilica Membranes
3.1. Sol-Gel Route
3.2. Post-Treatment of Mesoporous Silica Membranes
4. Role of Amine Type in CO2 Separation Performance
4.1. Thermal Stability and Texture Microstructure
4.2. Reaction Activities of Amines
4.3. CO2 Adsorption/Desorption Behaviors
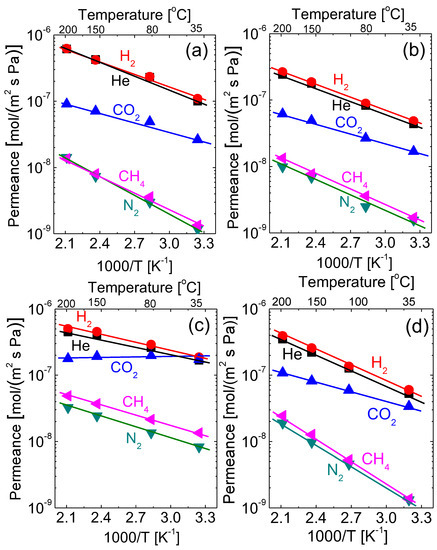
4.4. Gas Permeation Properties
4.5. Activation Energies for Gas Permeation
5. Final Remarks and Outlook
Author Contributions
Funding
Acknowledgments
Conflicts of Interest
References
- Gin, D.L.; Noble, R.D. Designing the next generation of chemical separation membranes. Science 2011, 332, 674–676. [Google Scholar] [CrossRef] [PubMed]
- Car, A.; Stropnik, C.; Yave, W.; Peinemann, K.V. Tailor-made polymeric membranes based on segmented block copolymers for CO2 separation. Adv. Funct. Mater. 2008, 18, 2815–2823. [Google Scholar] [CrossRef]
- He, W.; Wang, Z.; Li, W.; Li, S.; Bai, Z.; Wang, J.; Wang, S. Cyclic tertiary amino group containing fixed carrier membranes for CO2 separation. J. Membr. Sci. 2015, 476, 171–181. [Google Scholar] [CrossRef]
- Chung, T.-S.; Jiang, L.Y.; Li, Y.; Kulprathipanja, S. Mixed matrix membranes (mmms) comprising organic polymers with dispersed inorganic fillers for gas separation. Prog. Polym. Sci. 2007, 32, 483–507. [Google Scholar] [CrossRef]
- Hillock, A.M.; Koros, W.J. Cross-linkable polyimide membrane for natural gas purification and carbon dioxide plasticization reduction. Macromolecules 2007, 40, 583–587. [Google Scholar] [CrossRef]
- Xomeritakis, G.; Tsai, C.-Y.; Brinker, C.J. Microporous sol–gel derived aminosilicate membrane for enhanced carbon dioxide separation. Sep. Purif. Technol. 2005, 42, 249–257. [Google Scholar] [CrossRef]
- Paradis, G.G.; Kreiter, R.; van Tuel, M.M.; Nijmeijer, A.; Vente, J.F. Amino-functionalized microporous hybrid silica membranes. J. Mater. Chem. 2012, 22, 7258–7264. [Google Scholar] [CrossRef]
- Suzuki, S.; Messaoud, S.B.; Takagaki, A.; Sugawara, T.; Kikuchi, R.; Oyama, S.T. Development of inorganic–organic hybrid membranes for carbon dioxide/methane separation. J. Membr. Sci. 2014, 471, 402–411. [Google Scholar] [CrossRef]
- Jang, K.-S.; Kim, H.-J.; Johnson, J.; Kim, W.-G.; Koros, W.J.; Jones, C.W.; Nair, S. Modified mesoporous silica gas separation membranes on polymeric hollow fibers. Chem. Mater. 2011, 23, 3025–3028. [Google Scholar] [CrossRef]
- Messaoud, S.B.; Takagaki, A.; Sugawara, T.; Kikuchi, R.; Oyama, S.T. Alkylamine–silica hybrid membranes for carbon dioxide/methane separation. J. Membr. Sci. 2015, 477, 161–171. [Google Scholar] [CrossRef]
- Ostwal, M.; Singh, R.P.; Dec, S.F.; Lusk, M.T.; Way, J.D. 3-aminopropyltriethoxysilane functionalized inorganic membranes for high temperature CO2/N2 separation. J. Membr. Sci. 2011, 369, 139–147. [Google Scholar] [CrossRef]
- Sakamoto, Y.; Nagata, K.; Yogo, K.; Yamada, K. Preparation and CO2 separation properties of amine-modified mesoporous silica membranes. Microporous Mesoporous Mat. 2007, 101, 303–311. [Google Scholar] [CrossRef]
- Kim, H.-J.; Chaikittisilp, W.; Jang, K.-S.; Didas, S.A.; Johnson, J.R.; Koros, W.J.; Nair, S.; Jones, C.W. Aziridine-functionalized mesoporous silica membranes on polymeric hollow fibers: Synthesis and single-component CO2 and N2 permeation properties. Ind. Eng. Chem. Res. 2014, 54, 4407–4413. [Google Scholar] [CrossRef]
- Sartori, G.; Ho, W.; Savage, D.; Chludzinski, G.; Wlechert, S. Sterically-hindered amines for acid-gas absorption. Sep. Purif. Methods 1987, 16, 171–200. [Google Scholar] [CrossRef]
- Chowdhury, F.A.; Okabe, H.; Yamada, H.; Onoda, M.; Fujioka, Y. Synthesis and selection of hindered new amine absorbents for CO2 capture. Energy Procedia 2011, 4, 201–208. [Google Scholar] [CrossRef]
- Idris, Z.; Eimer, D.A. Representation of CO2 absorption in sterically hindered amines. Energy Procedia 2014, 51, 247–252. [Google Scholar] [CrossRef]
- Chowdhury, F.A.; Yamada, H.; Higashii, T.; Goto, K.; Onoda, M. CO2 capture by tertiary amine absorbents: A performance comparison study. Ind. Eng. Chem. Res. 2013, 52, 8323–8331. [Google Scholar] [CrossRef]
- Zhao, Y.; Ho, W.W. Steric hindrance effect on amine demonstrated in solid polymer membranes for CO2 transport. J. Membr. Sci. 2012, 415, 132–138. [Google Scholar] [CrossRef]
- Zhao, Y.; Ho, W.W. CO2-selective membranes containing sterically hindered amines for CO2/H2 separation. Ind. Eng. Chem. Res. 2012, 52, 8774–8782. [Google Scholar] [CrossRef]
- Tong, Z.; Ho, W.W. New sterically hindered polyvinylamine membranes for CO2 separation and capture. J. Membr. Sci. 2017, 543, 202–211. [Google Scholar] [CrossRef]
- Yu, L.; Kanezashi, M.; Nagasawa, H.; Oshita, J.; Naka, A.; Tsuru, T. Pyrimidine-bridged organoalkoxysilane membrane for high-efficiency CO2 transport via mild affinity. Sep. Purif. Technol. 2017, 178, 232–241. [Google Scholar] [CrossRef]
- Yu, L.; Kanezashi, M.; Nagasawa, H.; Tsuru, T. Fabrication and CO2 permeation properties of amine-silica membranes using a variety of amine types. J. Membr. Sci. 2017, 541, 447–456. [Google Scholar] [CrossRef]
- Yu, L.; Kanezashi, M.; Nagasawa, H.; Moriyama, N.; Tsuru, T.; Ito, K. Enhanced CO2 separation performance for tertiary amine-silica membranes via thermally induced local liberation of CH3Cl. AIChE J. 2018, 64, 1528–1539. [Google Scholar] [CrossRef]
- Yu, L.; Kanezashi, M.; Nagasawa, H.; Ohshita, J.; Naka, A.; Tsuru, T. Fabrication and microstructure tuning of a pyrimidine-bridged organoalkoxysilane membrane for CO2 separation. Ind. Eng. Chem. Res. 2017, 56, 1316–1326. [Google Scholar] [CrossRef]
- Pera-Titus, M. Porous inorganic membranes for CO2 capture: Present and prospects. Chem. Rev. 2013, 114, 1413–1492. [Google Scholar] [CrossRef] [PubMed]
- Caplow, M. Kinetics of carbamate formation and breakdown. J. Am. Chem. Soc. 1968, 90, 6795–6803. [Google Scholar] [CrossRef]
- Li, Y.; Wang, S.; He, G.; Wu, H.; Pan, F.; Jiang, Z. Facilitated transport of small molecules and ions for energy-efficient membranes. Chem. Soc. Rev. 2015, 44, 103–118. [Google Scholar] [CrossRef] [PubMed]
- Donaldson, T.L.; Nguyen, Y.N. Carbon dioxide reaction kinetics and transport in aqueous amine membranes. Ind. Eng. Chem. Fund. 1980, 19, 260–266. [Google Scholar] [CrossRef]
- Sartori, G.; Savage, D.W. Sterically hindered amines for carbon dioxide removal from gases. Ind. Eng. Chem. Fund. 1983, 22, 239–249. [Google Scholar] [CrossRef]
- Xomeritakis, G.; Tsai, C.; Jiang, Y.; Brinker, C. Tubular ceramic-supported sol–gel silica-based membranes for flue gas carbon dioxide capture and sequestration. J. Membr. Sci. 2009, 341, 30–36. [Google Scholar] [CrossRef]
- Kim, H.-J.; Yang, H.-C.; Chung, D.-Y.; Yang, I.-H.; Choi, Y.J.; Moon, J.-k. Functionalized mesoporous silica membranes for CO2 separation applications. J. Chem. 2015, 2015. [Google Scholar] [CrossRef]
- Kanezashi, M.; Matsugasako, R.; Tawarayama, H.; Nagasawa, H.; Yoshioka, T.; Tsuru, T. Tuning the pore sizes of novel silica membranes for improved gas permeation properties via an in situ reaction between NH3 and Si–H groups. Chem. Commun. 2015, 51, 2551–2554. [Google Scholar] [CrossRef] [PubMed]
- Miyamoto, M.; Takayama, A.; Uemiya, S.; Yogo, K. Gas permeation properties of amine loaded mesoporous silica membranes for CO2 separation. Desalin. Water Treat. 2011, 34, 266–271. [Google Scholar] [CrossRef]
- Merkel, T.C.; Lin, H.; Wei, X.; Baker, R. Power plant post-combustion carbon dioxide capture: An opportunity for membranes. J. Membr. Sci. 2010, 359, 126–139. [Google Scholar] [CrossRef]
- Gouedard, C.; Picq, D.; Launay, F.; Carrette, P.-L. Amine degradation in CO2 capture. I. A review. Int. J. Greenh. Gas Control 2012, 10, 244–270. [Google Scholar] [CrossRef]
- Ren, X.; Nishimoto, K.; Kanezashi, M.; Nagasawa, H.; Yoshioka, T.; Tsuru, T. CO2 permeation through hybrid organosilica membranes in the presence of water vapor. Ind. Eng. Chem. Res. 2014, 53, 6113–6120. [Google Scholar] [CrossRef]
- Hahn, M.W.; Jelic, J.; Berger, E.; Reuter, K.; Jentys, A.; Lercher, J.A. Role of amine functionality for CO2 chemisorption on silica. J. Phys. Chem. B 2016, 120, 1988–1995. [Google Scholar] [CrossRef] [PubMed]
- Kim, Y.E.; Lim, J.A.; Jeong, S.K.; Yoon, Y.I.; Bae, S.T.; Nam, S.C. Comparison of carbon dioxide absorption in aqueous mea, dea, tea, and amp solutions. Bull. Korean Chem. Soc. 2013, 34, 783–787. [Google Scholar] [CrossRef]
- Van Amerongen, G.J. The permeability of different rubbers to gases and its relation to diffusivity and solubility. J. Appl. Phys. 1946, 17, 972–985. [Google Scholar] [CrossRef]
- Koros, W.J. Barrier Polymers and Structures; ACS Publications: Washington, DC, USA, 1990. [Google Scholar]
- Singh-Ghosal, A.; Koros, W. Energetic and entropic contributions to mobility selectivity in glassy polymers for gas separation membranes. Ind. Eng. Chem. Res. 1999, 38, 3647–3654. [Google Scholar] [CrossRef]
- Fu, S.; Sanders, E.S.; Kulkarni, S.S.; Wenz, G.B.; Koros, W.J. Temperature dependence of gas transport and sorption in carbon molecular sieve membranes derived from four 6fda based polyimides: Entropic selectivity evaluation. Carbon 2015, 95, 995–1006. [Google Scholar] [CrossRef]
- Du, N.; Park, H.B.; Robertson, G.P.; Dal-Cin, M.M.; Visser, T.; Scoles, L.; Guiver, M.D. Polymer nanosieve membranes for CO2-capture applications. Nat. Mater. 2011, 10, 372–375. [Google Scholar] [CrossRef] [PubMed]
): conventional amines with no/low steric hindrance. Solid diamond (
): synthesized amines with sterical hindrance. Abbreviations: MEA, 2-aminoethanol; AMP, 2-amino-2-methyl-1-propanol; DEA, diethanolamine; MDEA, methyldiethanolamine; IPAE, 2-(isopropylamino)ethanol; IBAE, 2-(isobutylamino)ethanol; SBAE, 2-(secondarybutyamino)ethanol; IPDEA, 2-(isopropyl)diethanolamine; 1M-2PPE, 1-Methyl-2-piperidineethanol. Generally, there is a trade-off relationship between the heat of reaction and the absorption rate for conventional amines. However, the introduction of steric hindrance creates a unique performance that features a low heat of reaction but results in a moderately high absorption rate. The data were adapted from ref. [15].
): conventional amines with no/low steric hindrance. Solid diamond (
): synthesized amines with sterical hindrance. Abbreviations: MEA, 2-aminoethanol; AMP, 2-amino-2-methyl-1-propanol; DEA, diethanolamine; MDEA, methyldiethanolamine; IPAE, 2-(isopropylamino)ethanol; IBAE, 2-(isobutylamino)ethanol; SBAE, 2-(secondarybutyamino)ethanol; IPDEA, 2-(isopropyl)diethanolamine; 1M-2PPE, 1-Methyl-2-piperidineethanol. Generally, there is a trade-off relationship between the heat of reaction and the absorption rate for conventional amines. However, the introduction of steric hindrance creates a unique performance that features a low heat of reaction but results in a moderately high absorption rate. The data were adapted from ref. [15].


















| Precursors Used | Calcination Temperature [°C] a | Operation Temperature [°C] b | CO2 Permeance [10−10 mol/(m2 s Pa)] | CO2/N2 Selectivity [-] | Ref. |
|---|---|---|---|---|---|
| TEOS, APTES, | 300-350 (vacuum) | 22 | 100–800 | 40–80 c | [6] |
| TEOS, GlyNa | 300–350 (vacuum) | 22 | 100–400 | 50–100 c | [6] |
| TEOS, APTES | 300–500 | 22 | 70 | 55 c | [30] |
| BTESE, APTES | 250 | 50 | ~350 | 1–10 d | [7] |
| APTES | 300 | 35 | 30 | 8 d | [21] |
| BTPP | 300 | 35 | 337 | 25 d | [21] |
| PA-Si | 250 | 35 | 260 | 22 d | [22] |
| SA-Si | 250 | 35 | 170 | 11 d | [22] |
| TA-Si | 250 | 35 | 1720 | 21 d | [22] |
| QA-180 e | 180 | 35 | 40 | 4 d | [23] |
| QA-180-250 | 250 | 35 | 520 | 24 d | [23] |
| QA-250 | 250 | 35 | 490 | 18 d | [23] |
| Membrane Support | Functionalized Agent | Temperature [°C] a | CO2 Permeance [10−10 mol/(m2 s Pa)] | CO2/N2 Selectivity [-] | Ref. |
|---|---|---|---|---|---|
| Vycor tubes | APTES | 120 | 1.8 | 10 b | [11] |
| Silica | APTES | 100 | 10 | 800 b | [11] |
| Silica | Aziridine | 35 | ~6 | 0.15 c | [13] |
| Silica | Aziridine | 35 | ~10 (wet) | ~3 c | [13] |
| Silica | TRIES, NH3 | 200 | 2000 | 2 c | [32] |
| Silica | APTES | 40 | 0.15 | 50 b | [33] |
| 40 | 0.023 (wet) | 9 b | |||
| 60 | 6.1 | 72 b | |||
| 80 | 5.2 | 289 b | |||
| 100 | 6.1 | 339 b | |||
| Silica | TA | 60 | 6.9 | 300 b | [33] |
| 60 | 0.11 (wet) | 256 b |
| Sample | Atomic Composition [%] | Amine (N) Density [mmol/g] | ||||
|---|---|---|---|---|---|---|
| C1s | O1s | N1s | Si2s | Detected | Expected a | |
| PA-Si | 63.4 | 16.3 | 9.6 | 10.7 | 7.4 | 9.1 |
| SA-Si | 67.9 | 15.8 | 7.3 | 9.0 | 6.4 | 8.1 |
| TA-Si | 75.2 | 11.0 | 6.1 | 7.0 | 6.7 | 7.2 |
| Material | Post-Heat-Treatment Temperature [°C] | |||
|---|---|---|---|---|
| 150 | 200 | 250 | ||
| PA-Si | Cl (at. %) | 3.37 | 3.50 | 0.79 |
| Cl/Si (molar ratio) a | 0.26 | 0.28 | 0.048 | |
| SA-Si | Cl (at. %) | 3.31 | 3.34 | 0.63 |
| Cl/Si (molar ratio) | 0.25 | 0.26 | 0.046 | |
| TA-Si | Cl (at. %) | 4.8 | 4.3 | 0.14 |
| Cl/Si (molar ratio) | 0.49 | 0.42 | 0.017 | |
| Membranes | Activation Energies (Ep), [kJ/mol] | Membrane Performance at 35 °C | |||
|---|---|---|---|---|---|
| Ep(CO2) | Ep(N2) | Ep(CO2) − Ep(N2) | CO2 Permeance [10−10 mol/(m2 s Pa)] | CO2/N2 Ideal Selectivity [-] | |
| PA-Si | 8.8 | 18.0 | −9.2 | 260 | 22 |
| SA-Si | 9.8 | 16.1 | −6.3 | 170 | 11 |
| TA-Si | 0.2 | 10.0 | −9.8 | 1720 | 21 |
| BTPP | 9.0 | 20.4 | −11.4 | 337 | 25 |
© 2018 by the authors. Licensee MDPI, Basel, Switzerland. This article is an open access article distributed under the terms and conditions of the Creative Commons Attribution (CC BY) license (http://creativecommons.org/licenses/by/4.0/).
Share and Cite
Yu, L.; Kanezashi, M.; Nagasawa, H.; Tsuru, T. Role of Amine Type in CO2 Separation Performance within Amine Functionalized Silica/Organosilica Membranes: A Review. Appl. Sci. 2018, 8, 1032. https://doi.org/10.3390/app8071032
Yu L, Kanezashi M, Nagasawa H, Tsuru T. Role of Amine Type in CO2 Separation Performance within Amine Functionalized Silica/Organosilica Membranes: A Review. Applied Sciences. 2018; 8(7):1032. https://doi.org/10.3390/app8071032
Chicago/Turabian StyleYu, Liang, Masakoto Kanezashi, Hiroki Nagasawa, and Toshinori Tsuru. 2018. "Role of Amine Type in CO2 Separation Performance within Amine Functionalized Silica/Organosilica Membranes: A Review" Applied Sciences 8, no. 7: 1032. https://doi.org/10.3390/app8071032
APA StyleYu, L., Kanezashi, M., Nagasawa, H., & Tsuru, T. (2018). Role of Amine Type in CO2 Separation Performance within Amine Functionalized Silica/Organosilica Membranes: A Review. Applied Sciences, 8(7), 1032. https://doi.org/10.3390/app8071032

