Micromechanical Multiscale Modeling of ITZ-Driven Failure of Recycled Concrete: Effects of Composition and Maturity on the Material Strength
Abstract
1. Introduction
2. Model Development
2.1. Micromechanical Representation of Recycled Concrete
- A considerable fraction of the recycled aggregates are either completely free of attached mortar or cement paste covers only a negligible part of their surfaces. Recycled aggregates that exhibit such a morphology are herein labeled as class I aggregates.
- A considerable fraction of the recycled aggregates are old mortar particles where none of the many small aggregates inside the mortar exhibits a dominant size, labeled herein as class II aggregates.
- A considerable fraction of the recycled aggregates are single stone aggregates, whereby the majority of the aggregate surface is covered by cement paste, labeled herein as class III aggregates.
2.2. Modeling of Hydrate Failure in Critical ITZs
- the ITZ between the new natural aggregates and the new cement paste matrix, herein labeled as , associated with failure as sketched in Figure 4a;
- the ITZ between the old plain aggregates and the new cement paste matrix, associated with failure as sketched in Figure 4b;
- the ITZ between the old mortar aggregates and the new cement paste matrix, associated with failure as sketched in Figure 4c;
- the ITZ between the old embedded aggregates and the old cement paste matrix inside the old mortar aggregates, associated with failure as sketched in Figure 4d;
- the ITZ between the old covered aggregates and the old cement paste cover, associated with failure as sketched in Figure 4e;
- the ITZ between the old cement paste cover and the new cement paste matrix, associated with failure as sketched in Figure 4f.
2.3. Stress Downscaling to Hydrates via ITZs
2.4. Upscaling of Hydrate Failure to Failure of Recycled Concrete
2.5. Material Phase Properties
3. Model Predictions
3.1. Sensitivity Study Regarding the w/c-Ratio of New and Old Paste and the Age of New Paste
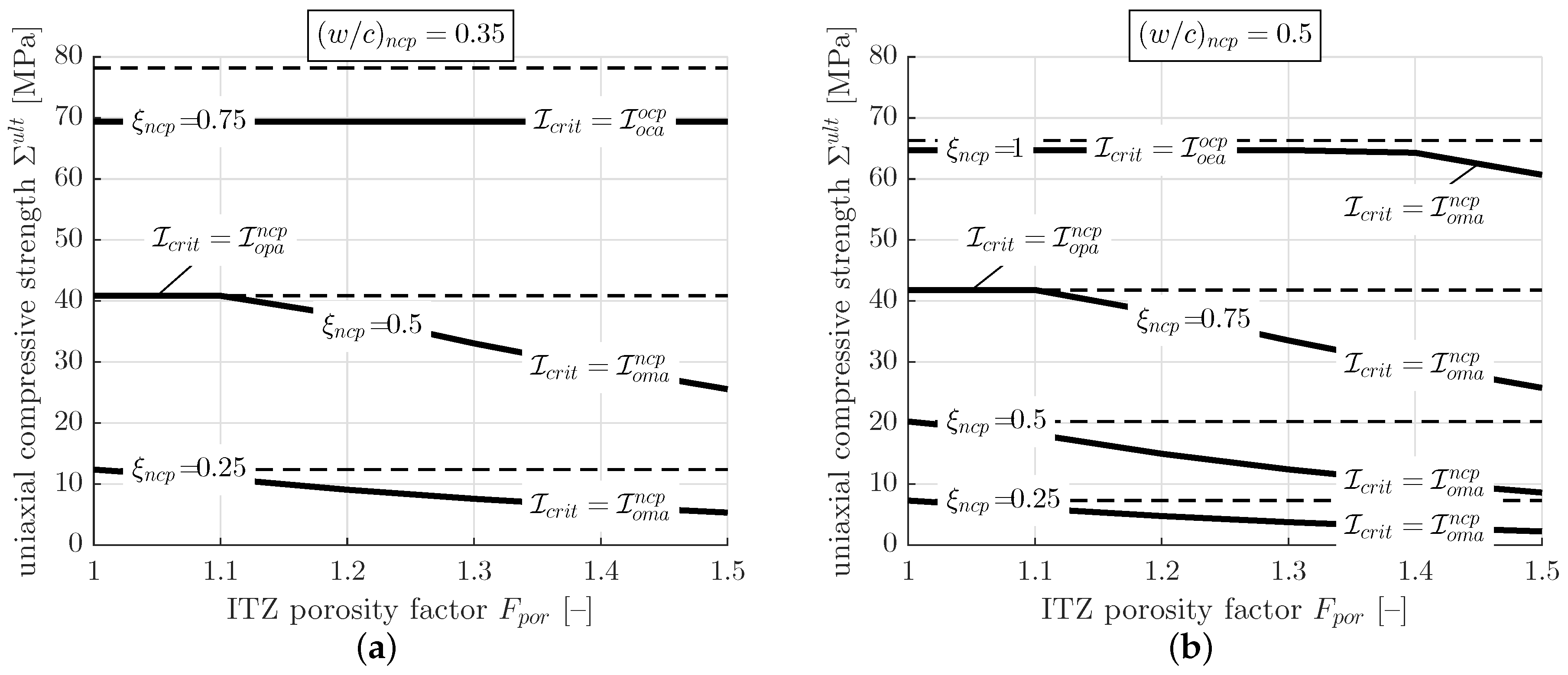
3.2. Sensitivity Study Regarding the ITZ Porosity
3.3. Sensitivity Study Regarding the Recycled Aggregate Morphology
- The volume fraction of old plain aggregates (class I) amounts to 65%, allowing for maintaining 35% of old cement paste (according to composition of the benchmark concrete), which is then attributed to old mortar aggregates (class II), i.e., the class volume fractions read as , , .
- All aggregates are considered to be old mortar aggregates (class II), i.e., , , .
- All aggregates are considered to be old covered (class III), i.e., , , .
3.4. Sensitivity Study Regarding the Old Cement Paste Content
3.5. Sensitivity Study Regarding the Aggregate Replacement Ratio
4. Discussion
5. Conclusions
- The extent of the strength reduction for recycled concrete compared to conventional concrete is determined by the ITZ, where failure is induced, and thus most importantly by the mutual stiffness contrasts between old cement paste, new cement paste, and aggregates.
- Old concretes with high ratios do not qualify as source of recycled aggregates if high-strength recycled concretes are targeted, since the aggregate-old cement paste ITZ will trigger macroscopic failure and the potential of a high-quality new cement paste cannot be exploited. Ideally, the -ratios of old and new cement paste match, resulting in less pronounced stress concentration and consequently an optimized use of cement. This calls for careful selection of the parent concrete.
- Modeling the commonly observed weakness of ITZs between old and new cement paste, resulting from water migration or chemical reactions, by means of increasing the porosity of the ITZ shows that the early-age strength significantly reduces with increasing ITZ porosity. For mature pastes, however, weak ITZs between old and new paste do not significantly alter the uniaxial compressive strength.
- The strength of recycled concrete does generally decrease with increasing content of old cement paste in the recycled aggregates, whereby the decrease is less pronounced at early ages.
Author Contributions
Acknowledgments
Conflicts of Interest
Appendix A. Mathematical Expressions for Stiffness Homogenization and Stress Concentration
Appendix B. Covered Aggregate Inclusion

References
- Limbachiya, M.; Leelawat, T.; Dhir, R. Use of recycled concrete aggregate in high-strength concrete. Mater. Struct. 2000, 33, 574. [Google Scholar] [CrossRef]
- Poon, C.; Shui, Z.; Lam, L. Effect of microstructure of ITZ on compressive strength of concrete prepared with recycled aggregates. Constr. Build. Mater. 2004, 18, 461–468. [Google Scholar] [CrossRef]
- Etxeberria, M.; Vázquez, E.; Marí, A.; Barra, M. Influence of amount of recycled coarse aggregates and production process on properties of recycled aggregate concrete. Cem. Concr. Res. 2007, 37, 735–742. [Google Scholar] [CrossRef]
- Casuccio, M.; Torrijos, M.; Giaccio, G.; Zerbino, R. Failure mechanism of recycled aggregate concrete. Constr. Build. Mater. 2008, 22, 1500–1506. [Google Scholar] [CrossRef]
- Tabsh, S.; Abdelfatah, A. Influence of recycled concrete aggregates on strength properties of concrete. Constr. Build. Mater. 2009, 23, 1163–1167. [Google Scholar] [CrossRef]
- Gonzalez-Corominas, A.; Etxeberria, M. Experimental analysis of properties of high performance recycled aggregate concrete. Constr. Build. Mater. 2014, 52, 227–235. [Google Scholar]
- Katz, A. Properties of concrete made with recycled aggregate from partially hydrated old concrete. Cem. Concr. Res. 2003, 33, 703–711. [Google Scholar] [CrossRef]
- Otsuki, N.; Miyazato, S.; Yodsudjai, W. Influence of recycled aggregate on interfacial transition zone, strength, chloride penetration and carbonation of concrete. J. Mater. Civ. Eng. 2003, 15, 443–451. [Google Scholar] [CrossRef]
- Poon, C.; Shui, Z.; Lam, L.; Fok, H.; Kou, S. Influence of moisture states of natural and recycled aggregates on the slump and compressive strength of concrete. Cem. Concr. Res. 2004, 34, 31–36. [Google Scholar] [CrossRef]
- Rahal, K. Mechanical properties of concrete with recycled coarse aggregate. Build. Environ. 2007, 42, 407–415. [Google Scholar] [CrossRef]
- Tam, V.; Gao, X.; Tam, C. Microstructural analysis of recycled aggregate concrete produced from two-stage mixing approach. Cem. Concr. Res. 2005, 35, 1195–1203. [Google Scholar] [CrossRef]
- Li, W.; Xiao, J.; Sun, Z.; Kawashima, S.; Shah, S. Interfacial transition zones in recycled aggregate concrete with different mixing approaches. Constr. Build. Mater. 2012, 35, 1045–1055. [Google Scholar] [CrossRef]
- Fonseca, N.; De Brito, J.; Evangelista, L. The influence of curing conditions on the mechanical performance of concrete made with recycled concrete waste. Cem. Concr. Compos. 2011, 33, 637–643. [Google Scholar] [CrossRef]
- Hsu, T.; Slate, F.; Sturman, G.; Winter, G. Microcracking of plain concrete and the shape of the stress-strain curve. Am. Concr. Inst. J. Proc. 1963, 60, 209–224. [Google Scholar]
- Shah, S.; Chandra, S. Critical stress, volume change, and microcracking of concrete. Am. Concr. Inst. J. Proc. 1968, 65, 770–780. [Google Scholar]
- Xiao, J.; Li, W.; Corr, D.; Shah, S. Effects of interfacial transition zones on the stress–strain behavior of modeled recycled aggregate concrete. Cem. Concr. Res. 2013, 52, 82–99. [Google Scholar] [CrossRef]
- Liu, Q.; Xiao, J.; Sun, Z. Experimental study on the failure mechanism of recycled concrete. Cem. Concr. Res. 2011, 41, 1050–1057. [Google Scholar] [CrossRef]
- Königsberger, M.; Pichler, B.; Hellmich, C. Micromechanics of ITZ-aggregate interaction in concrete—Part I: Stress concentration. J. Am. Ceram. Soc. 2014, 97, 535–542. [Google Scholar] [CrossRef]
- Königsberger, M.; Pichler, B.; Hellmich, C. Micromechanics of ITZ-aggregate interaction in concrete—Part II: Strength upscaling. J. Am. Ceram. Soc. 2014, 97, 543–551. [Google Scholar] [CrossRef]
- Skarżyński, L.; Nitka, M.; Tejchman, J. Modelling of concrete fracture at aggregate level using FEM and DEM based on X-ray μCT images of internal structure. Eng. Fract. Mech. 2015, 147, 13–35. [Google Scholar] [CrossRef]
- Königsberger, M.; Hlobil, M.; Delsaute, B.; Staquet, S.; Hellmich, C.; Pichler, B. Hydrate failure in ITZ governs concrete strength: A micro-to-macro validated engineering mechanics model. Cem. Concr. Res. 2018, 103, 77–94. [Google Scholar] [CrossRef]
- Zaoui, A. Continuum micromechanics: Survey. J. Eng. Mech. 2002, 128, 808–816. [Google Scholar] [CrossRef]
- Bernard, O.; Ulm, F.J.; Lemarchand, E. A multiscale micromechanics-hydration model for the early-age elastic properties of cement-based materials. Cem. Concr. Res. 2003, 33, 1293–1309. [Google Scholar] [CrossRef]
- Sanahuja, J.; Dormieux, L.; Chanvillard, G. Modelling elasticity of a hydrating cement paste. Cem. Concr. Res. 2007, 37, 1427–1439. [Google Scholar] [CrossRef]
- Scheiner, S.; Hellmich, C. Continuum microviscoelasticity model for aging basic creep of early-age concrete. J. Eng. Mech. 2009, 135, 307–323. [Google Scholar] [CrossRef]
- Königsberger, M.; Irfan-ul Hassan, M.; Pichler, B.; Hellmich, C. Downscaling based identification of nonaging power-law creep of cement hydrates. J. Eng. Mech. 2016, 142, 04016106. [Google Scholar] [CrossRef]
- Honorio, T.; Bary, B.; Benboudjema, F. Thermal properties of cement-based materials: Multiscale estimations at early-age. Cem. Concr. Compos. 2018, 78, 205–2019. [Google Scholar] [CrossRef]
- Pichler, C.; Lackner, R.; Mang, H. A multiscale micromechanics model for the autogenous-shrinkage deformation of early-age cement-based materials. Eng. Fract. Mech. 2007, 74, 34–58. [Google Scholar] [CrossRef]
- Pichler, B.; Hellmich, C. Upscaling quasi-brittle strength of cement paste and mortar: A multi-scale engineering mechanics model. Cem. Concr. Res. 2011, 41, 467–476. [Google Scholar] [CrossRef]
- Pichler, B.; Hellmich, C.; Eberhardsteiner, J.; Wasserbauer, J.; Termkhajornkit, P.; Barbarulo, R.; Chanvillard, G. Effect of gel-space ratio and microstructure on strength of hydrating cementitious materials: An engineering micromechanics approach. Cem. Concr. Res. 2013, 45, 55–68. [Google Scholar] [CrossRef]
- Königsberger, M.; Hlobil, M.; Delsaute, B.; Staquet, S.; Hellmich, C.; Pichler, B. Micromechanics-based sensitivity analyses regarding ITZ-induced concrete strength. In Proceedings of the 2nd RILEM/COST Conference on Early Age Cracking and Serviceability in Cement-based Materials and Structures (EAC2), Brussels, Belgium, 12–14 September 2017; pp. 349–354. [Google Scholar]
- Bendimerad, A.Z.; Roziere, E.; Loukili, A. Combined experimental methods to assess absorption rate of natural and recycled aggregates. Mater. Struct. 2015, 48, 3557–3569. [Google Scholar] [CrossRef]
- Sánchez de Juan, M.; Alaejos Gutiérrez, P. Study on the influence of attached mortar content on the properties of recycled concrete aggregate. Constr. Build. Mater. 2009, 23, 872–877. [Google Scholar] [CrossRef]
- Benveniste, Y. A new approach to the application of Mori-Tanaka’s theory in composite materials. Mech. Mater. 1987, 6, 147–157. [Google Scholar] [CrossRef]
- Kröner, E. Berechnung der elastischen Konstanten des Vielkristalls aus den Konstanten des Einheitskristalls. Z. Phys. 1958, 151, 504–518. (In German) [Google Scholar] [CrossRef]
- Hershey, A. The elasticity of an isotropic aggregate of anisotropic cubic crystals. J. Appl. Mech. Trans. 1954, 21, 236–240. [Google Scholar]
- Sarris, E.; Constantinides, G. Finite element modeling of nanoindentation on C–S–H: Effect of pile-up and contact friction. Cem. Concr. Compos. 2013, 36, 78–84. [Google Scholar] [CrossRef]
- Kreher, W. Residual stresses and stored elastic energy of composites and polycrystals. J. Mech. Phys. Solids 1990, 38, 115–128. [Google Scholar] [CrossRef]
- Dormieux, L.; Molinari, A.; Kondo, D. Micromechanical approach to the behavior of poroelastic materials. J. Mech. Phys. Solids 2002, 50, 2203–2231. [Google Scholar] [CrossRef]
- Pichler, B.; Hellmich, C.; Eberhardsteiner, J. Spherical and acicular representation of hydrates in a micromechanical model for cement paste: Prediction of early-age elasticity and strength. Acta Mech. 2009, 203, 137–162. [Google Scholar] [CrossRef]
- Powers, T.; Brownyard, T. Studies of the physical properties of hardened Portland cement paste. Am. Concr. Inst. J. Proc. 1946–1947, 18, 101–992. [Google Scholar]
- Chakradhara Rao, M.; Bhattacharyya, S.; Barai, S. Recycled aggregate concrete: A sustainable built environment. In Proceedings of the International Conference on Sustainable Built Environment, Kandy, Sri Lanka, 13–14 December 2010; pp. 227–232. [Google Scholar]
- Ismail, S.; Kwan, W.; Ramli, M. Mechanical strength and durability properties of concrete containing treated recycled concrete aggregates under different curing conditions. Constr. Build. Mater. 2017, 155, 296–306. [Google Scholar] [CrossRef]
- Xiao, J. Recycled Aggregate Concrete Structures; Springer: Berlin/Heidelberg, Germany, 2018. [Google Scholar]
- Nagataki, S.; Gokce, A.; Saeki, T.; Hisada, M. Assessment of recycling process induced damage sensitivity of recycled concrete aggregates. Cem. Concr. Res. 2004, 34, 965–971. [Google Scholar] [CrossRef]
- Ollivier, J.; Maso, J.; Bourdette, B. Interfacial transition zone in concrete. Adv. Cem. Based Mater. 1995, 2, 30–38. [Google Scholar] [CrossRef]
- Scrivener, K.; Crumbie, A.; Laugesen, P. The interfacial transition zone (ITZ) between cement paste and aggregate in concrete. Interface Sci. 2004, 12, 411–421. [Google Scholar] [CrossRef]
- Sudak, L.; Ru, C.; Schiavone, P.; Mioduchowski, A. A circular inclusion with inhomogeneously imperfect interface in plane elasticity. J. Elast. 1999, 55, 19–41. [Google Scholar] [CrossRef]
- Lavergne, F.; Ben Fraj, A.; Bayane, I.; Barthélémy, J. Estimating the mechanical properties of hydrating blended cementitious materials: An investigation based on micromechanics. Cem. Concr. Res. 2018, 104, 37–60. [Google Scholar] [CrossRef]
- Kupfer, H.; Hilsdorf, H.; Rusch, H. Behavior of concrete under biaxial stresses. Am. Concr. Inst. J. Proc. 1969, 66, 656–666. [Google Scholar]
- Eshelby, J. The determination of the elastic field of an ellipsoidal inclusion, and related problems. Proc. R. Soc. Lond. Ser. A 1957, 241, 376–396. [Google Scholar] [CrossRef]
- Christensen, R.; Lo, K. Solutions for effective shear properties in three phase sphere and cylinder models. J. Mech. Phys. Solids 1979, 27, 315–330. [Google Scholar] [CrossRef]
- Herve, E.; Zaoui, A. N-layered inclusion-based micromechanical modelling. Int. J. Eng. Sci. 1993, 31, 1–10. [Google Scholar] [CrossRef]










| Bulk Modulus | Shear Modulus | |||
|---|---|---|---|---|
| k [GPa] | [GPa] | |||
| clinker | 116.58 | 53.81 | ||
| hydrates | 18.69 | 11.76 | ||
| aggregates (old and new) | 35.35 | 29.91 | ||
| hydrates | 0.00 | 0.00 | ||
© 2018 by the authors. Licensee MDPI, Basel, Switzerland. This article is an open access article distributed under the terms and conditions of the Creative Commons Attribution (CC BY) license (http://creativecommons.org/licenses/by/4.0/).
Share and Cite
Königsberger, M.; Staquet, S. Micromechanical Multiscale Modeling of ITZ-Driven Failure of Recycled Concrete: Effects of Composition and Maturity on the Material Strength. Appl. Sci. 2018, 8, 976. https://doi.org/10.3390/app8060976
Königsberger M, Staquet S. Micromechanical Multiscale Modeling of ITZ-Driven Failure of Recycled Concrete: Effects of Composition and Maturity on the Material Strength. Applied Sciences. 2018; 8(6):976. https://doi.org/10.3390/app8060976
Chicago/Turabian StyleKönigsberger, Markus, and Stéphanie Staquet. 2018. "Micromechanical Multiscale Modeling of ITZ-Driven Failure of Recycled Concrete: Effects of Composition and Maturity on the Material Strength" Applied Sciences 8, no. 6: 976. https://doi.org/10.3390/app8060976
APA StyleKönigsberger, M., & Staquet, S. (2018). Micromechanical Multiscale Modeling of ITZ-Driven Failure of Recycled Concrete: Effects of Composition and Maturity on the Material Strength. Applied Sciences, 8(6), 976. https://doi.org/10.3390/app8060976

