Online State of Health Estimation for Lithium-Ion Batteries Based on Support Vector Machine
Abstract
1. Introduction
2. Definition and Description of State of Health
3. State of Health Estimation Model
3.1. Support Vector Machine
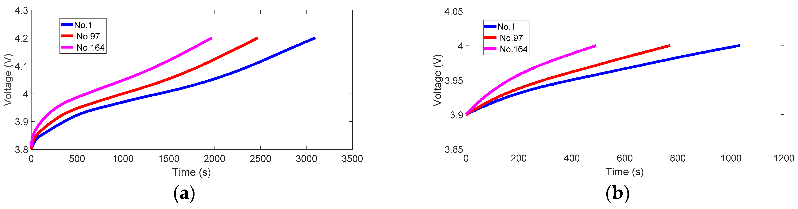
3.2. Feature Extraction and Data Processing
3.3. Optimal Support Vector Machine Parameter Determination
4. Predicted Results and Analysis
4.1. State of Health Estimation with All Charging Range
4.2. State of Health Estimation with Partial Charging Range
4.3. State of Health Estimation for Different Cells
5. Conclusions
Author Contributions
Funding
Acknowledgments
Conflicts of Interest
References
- Shen, J.-N.; He, Y.-J.; Ma, Z.-F.; Luo, H.-B.; Zhang, Z.-F. Online state of charge estimation of lithium-ion batteries: A moving horizon estimation approach. Chem. Eng. Sci. 2016, 154, 42–53. [Google Scholar] [CrossRef]
- Wang, Y.; Zhang, C.; Chen, Z. A method for state-of-charge estimation of Li-ion batteries based on multi-model switching strategy. Appl. Energy 2015, 137, 427–434. [Google Scholar] [CrossRef]
- Xiong, R.; Gong, X.; Mi, C.C.; Sun, F. A robust state-of-charge estimator for multiple types of lithium-ion batteries using adaptive extended Kalman filter. J. Power Sources 2013, 243, 805–816. [Google Scholar] [CrossRef]
- Weng, C.; Feng, X.; Sun, J.; Peng, H. State-of-health monitoring of lithium-ion battery modules and packs via incremental capacity peak tracking. Appl. Energy 2016, 180, 360–368. [Google Scholar] [CrossRef]
- Weng, C.; Feng, X.; Sun, J.; Ouyang, M.; Peng, H. Battery SOH Management Research in the US-China Clean Energy Research Center-Clean Vehicle Consortium. IFAC-PapersOnLine 2015, 48, 448–453. [Google Scholar] [CrossRef]
- Moura, S.J.; Krstic, M.; Chaturvedi, N.A. Adaptive PDE observer for battery SOC/SOH estimation. Am. Soc. Mech. Eng. 2012, 101–110. [Google Scholar] [CrossRef]
- Zhang, J.; Lee, J. A review on prognostics and health monitoring of Li-ion battery. J. Power Sources 2011, 196, 6007–6014. [Google Scholar] [CrossRef]
- Rezvanizaniani, S.M.; Liu, Z.; Chen, Y.; Lee, J. Review and recent advances in battery health monitoring and prognostics technologies for electric vehicle (EV) safety and mobility. J. Power Sources 2014, 256, 110–124. [Google Scholar] [CrossRef]
- Ng, S.S.Y.; Xing, Y.; Tsui, K.L. A naive Bayes model for robust remaining useful life prediction of lithium-ion battery. Appl. Energy 2014, 118, 114–123. [Google Scholar] [CrossRef]
- Lyu, C.; Lai, Q.; Ge, T.; Yu, H.; Wang, L.; Ma, N. A lead-acid battery’s remaining useful life prediction by using electrochemical model in the Particle Filtering framework. Energy 2017, 120, 975–984. [Google Scholar] [CrossRef]
- Han, X.; Ouyang, M.; Lu, L.; Li, J. A comparative study of commercial lithium ion battery cycle life in electric vehicle: Capacity loss estimation. J. Power Sources 2014, 268, 658–669. [Google Scholar] [CrossRef]
- Li, Z.; Lu, L.; Ouyang, M.; Xiao, Y. Modeling the capacity degradation of LiFePO4/graphite batteries based on stress coupling analysis. J. Power Sources 2011, 196, 9757–9766. [Google Scholar] [CrossRef]
- Chen, Z.; Mi, C.C.; Fu, Y.; Xu, J.; Gong, X. Online battery state of health estimation based on Genetic Algorithm for electric and hybrid vehicle applications. J. Power Sources 2013, 240, 184–192. [Google Scholar] [CrossRef]
- Mosallam, A.; Medjaher, K.; Zerhouni, N. Data-driven prognostic method based on Bayesian approaches for direct remaining useful life prediction. J. Intell. Manuf. 2014, 27, 1037–1048. [Google Scholar] [CrossRef]
- Xiong, R.; Sun, F.; Chen, Z.; He, H. A data-driven multi-scale extended Kalman filtering based parameter and state estimation approach of lithium-ion olymer battery in electric vehicles. Appl. Energy 2014, 113, 463–476. [Google Scholar] [CrossRef]
- Xiong, R.; Sun, F.; Gong, X.; Gao, C. A data-driven based adaptive state of charge estimator of lithium-ion polymer battery used in electric vehicles. Appl. Energy 2014, 113, 1421–1433. [Google Scholar] [CrossRef]
- Zhou, Y.; Huang, M. Lithium-ion batteries remaining useful life prediction based on a mixture of empirical mode decomposition and ARIMA model. Microelectron. Reliabil. 2016, 65, 265–273. [Google Scholar] [CrossRef]
- Awan, M.A.A. Remaining Useful life Prediction of Lithium-Ion Batteries Using Particle Filter Framework. Master’s Thesis, Karlstad University, Faculty of Technology and Science, Karlstad, Sweden, 2014. [Google Scholar]
- Dong, H.; Jin, X.; Lou, Y.; Wang, C. Lithium-ion battery state of health monitoring and remaining useful life prediction based on support vector regression-particle filter. J. Power Sources 2014, 271, 114–123. [Google Scholar] [CrossRef]
- Wang, D.; Miao, Q.; Pecht, M. Prognostics of lithium-ion batteries based on relevance vectors and a conditional three-parameter capacity degradation model. J. Power Sources 2013, 239, 253–264. [Google Scholar] [CrossRef]
- Liu, D.; Pang, J.; Zhou, J.; Peng, Y.; Pecht, M. Prognostics for state of health estimation of lithium-ion batteries based on combination Gaussian process functional regression. Microelectron. Reliabil. 2013, 53, 832–839. [Google Scholar] [CrossRef]
- He, W.; Williard, N.; Osterman, M.; Pecht, M. Prognostics of lithium-ion batteries based on Dempster–Shafer theory and the Bayesian Monte Carlo method. J. Power Sources 2011, 196, 10314–10321. [Google Scholar] [CrossRef]
- Michel, P.H.; Heiries, V. Book An Adaptive Sigma Point Kalman Filter Hybridized by Support Vector Machine Algorithm for Battery SoC and SoH Estimation. In Proceedings of the 2015 IEEE 81st Vehicular Technology Conference (VTC Spring), Glasgow, UK, 11–14 May 2015; pp. 1–7. [Google Scholar]
- Patil, M.A.; Tagade, P.; Hariharan, K.S.; Kolake, S.M.; Song, T.; Yeo, T.; Doo, S. A novel multistage Support Vector Machine based approach for Li ion battery remaining useful life estimation. Appl. Energy 2015, 159, 285–297. [Google Scholar] [CrossRef]
- Nuhic, A.; Terzimehic, T.; Soczka-Guth, T.; Buchholz, M.; Dietmayer, K. Health diagnosis and remaining useful life prognostics of lithium-ion batteries using data-driven methods. J. Power Sources 2013, 239, 680–688. [Google Scholar] [CrossRef]
- Klass, V.; Behm, M.; Lindbergh, G. A support vector machine-based state-of-health estimation method for lithium-ion batteries under electric vehicle operation. J. Power Sources 2014, 270, 262–272. [Google Scholar] [CrossRef]
- Weng, C.; Cui, Y.; Sun, J.; Peng, H. On-board state of health monitoring of lithium-ion batteries using incremental capacity analysis with support vector regression. J. Power Sources 2013, 235, 36–44. [Google Scholar] [CrossRef]
- Saha, B.; Goebel, K.; Battery data set. NASA Ames Prognostics Data Repository. Available online: http://ti.arc.nasa.gov/project/prognostic-data-repository (accessed on 22 May 2018).
- Eker, Ö.; Camci, F.; Jennions, I.K. Major Challenges in Prognostics: Study on Benchmarking Prognostics Datasets. Available online: http://dspace.lib.cranfield.ac.uk/handle/1826/9994 (accessed on 31 December 2012).
- Ghamisi, P.; Couceiro, M.S.; Benediktsson, J.A. A Novel Feature Selection Approach Based on FODPSO and SVM. IEEE Trans. Geosci. Remote Sens. 2015, 53, 2935–2947. [Google Scholar] [CrossRef]
- Wang, J.; Liu, P.; Hicks-Garner, J.; Sherman, E.; Soukiazian, S.; Verbrugge, M.; Tataria, H.; Musser, J.; Finamore, P. Cycle-life model for graphite-LiFePO4 cells. J. Power Sources 2011, 196, 3942–3948. [Google Scholar] [CrossRef]
- Duan, K.; Keerthi, S.S.; Poo, A.N. Evaluation of simple performance measures for tuning SVM hyperparameters. Neurocomputing 2003, 51, 41–59. [Google Scholar] [CrossRef]
- Chai, T.; Draxler, R.R. Root Mean Square Error (RMSE) or Mean Absolute Error (MAE)? Geosci. Model Dev. Discus. 2014, 7, 1525–1534. [Google Scholar] [CrossRef]
- Chang, C.-C.; Lin, C.-J. LIBSVM: A library for support vector machines. ACM Trans. Intell. Syst. Technol. 2007, 2. [Google Scholar] [CrossRef]
















| Battery Number | Charge Current (A) | Discharge Current (A) | Ending Discharge Voltage (V) | Temperature (°C) |
|---|---|---|---|---|
| Cell 1 | 1.5 | 2 | 2.7 | 24 |
| Cell 2 | 1.5 | 2 | 2.2 | 24 |
| Vector | SOH | t | Ah | Es |
|---|---|---|---|---|
| Unscaled | 92.82% | 3027 | 1.2687 | 48777 |
| Scaled | 1 | 0.7808 | 0.7780 | 0.7932 |
| Voltage Region | Cell 1 | Cell 2 | Voltage Region | Cell 1 | Cell 2 | ||||
|---|---|---|---|---|---|---|---|---|---|
| MSE (10−4) | MARE (%) | MSE (10−4) | MARE (%) | MSE (10−4) | MARE (%) | MSE (10−4) | MARE (%) | ||
| [3.75, 3.85] | 0.65 | 0.67 | 0.78 | 0.67 | [3.85, 4.20] | 0.14 | 0.32 | 0.098 | 0.23 |
| [3.75, 3.90] | 0.59 | 0.57 | 0.71 | 0.64 | [3.90, 3.95] | 0.48 | 0.52 | 0.69 | 0.64 |
| [3.75, 3.95] | 0.52 | 0.54 | 0.44 | 0.47 | [3.90, 4.00] | 0.17 | 0.34 | 0.30 | 0.36 |
| [3.75, 4.00] | 0.23 | 0.38 | 0.34 | 0.41 | [3.90, 4.05] | 0.11 | 0.30 | 0.14 | 0.31 |
| [3.75, 4.05] | 0.097 | 0.25 | 0.19 | 0.31 | [3.90, 4.10] | 0.090 | 0.27 | 0.14 | 0.30 |
| [3.75, 4.10] | 0.068 | 0.23 | 0.12 | 0.24 | [3.90, 4.15] | 0.12 | 0.29 | 0.079 | 0.20 |
| [3.75, 4.15] | 0.050 | 0.20 | 0.13 | 0.25 | [3.90, 4.20] | 0.12 | 0.29 | 0.086 | 0.22 |
| [3.75, 4.20] | 0.034 | 0.18 | 0.12 | 0.21 | [3.95, 4.00] | 0.20 | 0.41 | 0.23 | 0.36 |
| [3.80, 3.85] | 0.85 | 0.80 | 1.27 | 0.84 | [3.95, 4.05] | 0.35 | 0.49 | 0.41 | 0.45 |
| [3.80, 3.90] | 0.61 | 0.60 | 0.84 | 0.67 | [3.95, 4.10] | 1.07 | 0.74 | 0.46 | 0.46 |
| [3.80, 3.95] | 0.56 | 0.61 | 0.56 | 0.54 | [3.95, 4.15] | 0.74 | 0.63 | 0.32 | 0.39 |
| [3.80, 4.00] | 0.22 | 0.36 | 0.36 | 0.43 | [3.95, 4.20] | 0.66 | 0.57 | 0.28 | 0.41 |
| [3.85, 4.05] | 0.10 | 0.26 | 0.18 | 0.29 | [4.00, 4.05] | 2.00 | 1.04 | 1.10 | 0.81 |
| [3.80, 4.10] | 0.060 | 0.22 | 0.12 | 0.25 | [4.00, 4.10] | 0.96 | 0.82 | 2.24 | 1.06 |
| [3.80, 4.15] | 0.054 | 0.21 | 0.14 | 0.22 | [4.00, 4.15] | 0.99 | 0.84 | 1.46 | 0.90 |
| [3.80, 4.20] | 0.040 | 0.19 | 0.12 | 0.27 | [4.00, 4.20] | 1.96 | 1.03 | 1.61 | 0.88 |
| [3.85, 3.90] | 0.58 | 0.59 | 0.60 | 0.57 | [4.05, 4.10] | 2.87 | 1.54 | 20 | 3.59 |
| [3.85, 3.95] | 0.48 | 0.48 | 0.47 | 0.50 | [4.05, 4.15] | 3.21 | 1.72 | 9.98 | 2.36 |
| [3.85, 4.00] | 0.20 | 0.35 | 0.39 | 0.42 | [4.05, 4.20] | 3.70 | 1.70 | 9.90 | 2.74 |
| [3.85, 4.05] | 0.13 | 0.31 | 0.16 | 0.31 | [4.10, 4.15] | 3.41 | 1.74 | 11 | 3.21 |
| [3.85, 4.10] | 0.11 | 0.31 | 0.14 | 0.30 | [4.10, 4.20] | 5.84 | 2.13 | 14 | 3.42 |
| [3.85, 4.15] | 0.12 | 0.31 | 0.094 | 0.23 | [4.15, 4.20] | 12 | 3.07 | 20 | 3.95 |
| Error | Cell 3 | Cell 4 |
|---|---|---|
| MSE (10−4) | 0.45 | 0.93 |
| MARE (%) | 0.59 | 0.88 |
© 2018 by the authors. Licensee MDPI, Basel, Switzerland. This article is an open access article distributed under the terms and conditions of the Creative Commons Attribution (CC BY) license (http://creativecommons.org/licenses/by/4.0/).
Share and Cite
Chen, Z.; Sun, M.; Shu, X.; Xiao, R.; Shen, J. Online State of Health Estimation for Lithium-Ion Batteries Based on Support Vector Machine. Appl. Sci. 2018, 8, 925. https://doi.org/10.3390/app8060925
Chen Z, Sun M, Shu X, Xiao R, Shen J. Online State of Health Estimation for Lithium-Ion Batteries Based on Support Vector Machine. Applied Sciences. 2018; 8(6):925. https://doi.org/10.3390/app8060925
Chicago/Turabian StyleChen, Zheng, Mengmeng Sun, Xing Shu, Renxin Xiao, and Jiangwei Shen. 2018. "Online State of Health Estimation for Lithium-Ion Batteries Based on Support Vector Machine" Applied Sciences 8, no. 6: 925. https://doi.org/10.3390/app8060925
APA StyleChen, Z., Sun, M., Shu, X., Xiao, R., & Shen, J. (2018). Online State of Health Estimation for Lithium-Ion Batteries Based on Support Vector Machine. Applied Sciences, 8(6), 925. https://doi.org/10.3390/app8060925

