Energy Efficient Joint Power Control and User Association Optimization in Massive MIMO Enabled HetNets
Abstract
1. Introduction
1.1. Motivation
1.2. Related Works
1.3. Main Contribution
- In this paper, we consider the characteristic of channel hardening in the massive MIMO system and calculate ergodic rate of each user with perfect channel state information (CSI). In addition, we establish the energy consumption model in massive MIMO enabled HetNets and then define the network EE in consideration of user fairness. Finally, a joint optimization problem of power control and user association is formulated to maximize the network EE with the constraint of each BS’s maximum load.
- Giving priority to the EE, an energy efficient joint optimization algorithm of power control and user association is proposed in massive MIMO enabled HetNets. We note that the joint optimization problem is a fractional and mixed integer nonlinear programming (FMINLP) problem. Firstly, the objective function of the problem is transformed into an integral expression with weight coefficient based on the Dinkelbach’s theorem and an optimal EE iterative algorithm is proposed correspondingly. Then, the joint optimization problem is decomposed into power control and user association optimization subproblem. Both subproblems can be transformed into convex optimization problems with the help of the approximately iterative method and Lagrange’s dual method, respectively. Finally, the joint optimization algorithm is proposed through the interior point method and the sub-gradient method. In addition, the convergence of the proposed algorithm is analyzed and we discuss the gap between the solution obtained from the proposed algorithm and the optimal one.
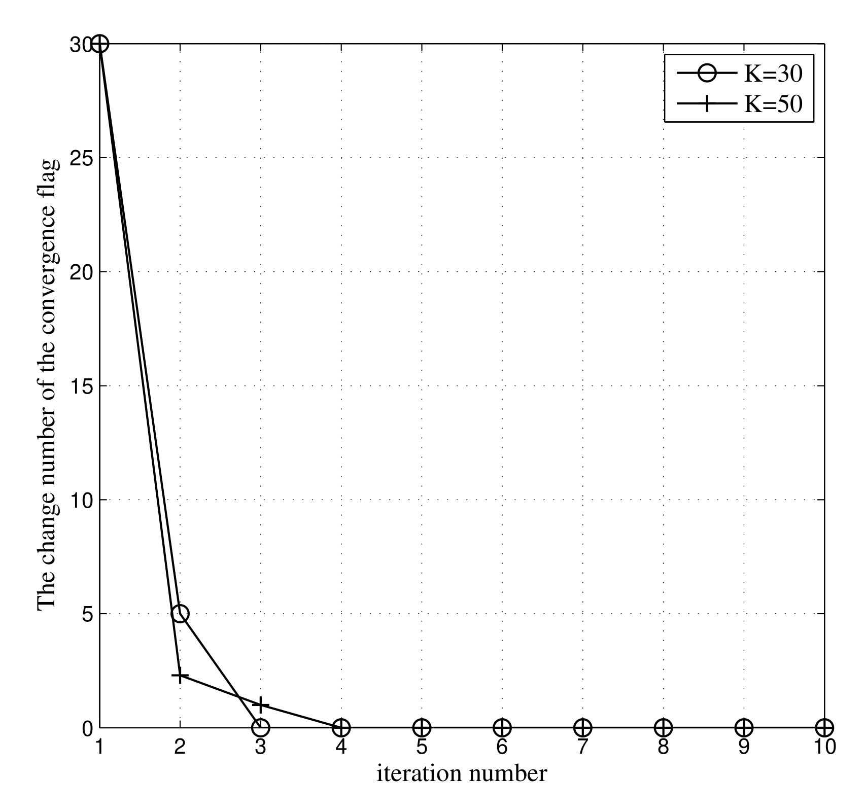
- This paper analyzes the performance and its influence factors of the proposed algorithm. First, this paper proves the validity of all the proposed algorithms through convergence results. In addition, the paper analyzes the EE of the network and its functional relationship with other factors, such as spectrum efficiency, weight coefficient, the number of antennas, and so on. Finally, comparing with other algorithms, this paper analyzes superiority of the proposed algorithm in terms of the EE.
2. System Model
2.1. Ergodic Rate and Power Consumption
2.2. Problem Formulation
3. Energy Efficient Joint Power Control and User Association Optimization Algorithm
3.1. Optimal EE Iterative Algorithm Based on Dinkelbach’s Theorem
| Algorithm 1 Optimal EE iterative algorithm |
|
3.2. Joint Optimization Algorithm
| Algorithm 2 Joint optimization algorithm |
|
3.2.1. The Lower Level Problem: Power Control
| Algorithm 3 Power control algorithm based on approximately iterative method |
|
3.2.2. The Master Problem: User Association Optimization Problem
| Algorithm 4 User association algorithm based on Lagrange’s dual method |
|
3.3. Complexity Analysis
4. Simulation and Analysis
5. Conclusions and Future Work
Acknowledgments
Author Contributions
Conflicts of Interest
Appendix A
Appendix B
References
- Andrews, J.G.; Buzzi, S.; Wan, C.; Hanly, S.V.; Lozano, A. What Will 5G Be? IEEE J. Sel. Areas Commun. 2014, 32, 1065–1082. [Google Scholar] [CrossRef]
- Agiwal, M.; Roy, A.; Saxena, N. Next, Generation 5G Wireless Networks: A Comprehensive Survey. IEEE Commun. Surv. Tutor. 2016, 18, 1617–1655. [Google Scholar] [CrossRef]
- Hoydis, J.; Hosseini, K.; Ten Brink, S.; Debbah, M. Making smart use of excess antennas: Massive MIMO, small cells, and TDD. Bell Labs Tech. J. 2013, 18, 5–21. [Google Scholar] [CrossRef]
- Tran, T.X.; Teh, K.C. Performance Analysis of Two-Tier HetNets with Massive MIMO and Non-Uniformly Small Cell Deployment. IEEE Trans. Veh. Technol. 2017, 66, 10044–10054. [Google Scholar] [CrossRef]
- He, A.; Wang, L.; Elkashlan, M.; Chen, Y.; Wong, K.K. Spectrum and energy efficiency in massive MIMO enabled HetNets: A stochastic geometry approach. IEEE Commun. Lett. 2015, 19, 2294–2297. [Google Scholar] [CrossRef]
- Mili, M.R.; Hamdi, K.A.; Marvasti, F.; Bennis, M. Joint Optimization for Optimal Power Allocation in OFDMA Femtocell Networks. IEEE Commun. Lett. 2016, 20, 133–136. [Google Scholar] [CrossRef]
- Mao, T.; Feng, G.; Liang, L.; Qin, S.; Wu, B. Distributed Energy-Efficient Power Control for Macro-Femto Networks. IEEE Trans. Veh. Technol. 2016, 65, 718–731. [Google Scholar] [CrossRef]
- Hirata, A.T.; Xavier, E.C.; Borin, J.F. Load Balance and User Association on HetNets. IEEE Latin Am. Trans. 2017, 14, 4781–4786. [Google Scholar] [CrossRef]
- Liu, D.; Chen, Y.; Chai, K.K.; Zhang, T.; Elkashlan, M. Opportunistic User Association for Multi-Service HetNets Using Nash Bargaining Solution. IEEE Commun. Lett. 2014, 18, 463–466. [Google Scholar] [CrossRef]
- Sun, R.; Hong, M.; Luo, Z.Q. Joint Downlink Base Station Association and Power Control for Max-Min Fairness: Computation and Complexity. IEEE J. Sel. Areas Commun. 2014, 33, 1040–1054. [Google Scholar] [CrossRef]
- Yang, H.; Marzetta, T.L. Massive MIMO with Max-Min Power Control in Line-of-Sight Propagation Environment. IEEE Trans. Commun. 2017, 65, 4685–4693. [Google Scholar] [CrossRef]
- Choi, J. Massive MIMO With Joint Power Control. IEEE Wirel. Commun. Lett. 2014, 3, 329–332. [Google Scholar] [CrossRef]
- Xu, Y.; Mao, S. User Association in Massive MIMO HetNets. IEEE Syst. J. 2017, 11, 7–19. [Google Scholar] [CrossRef]
- Dhillon, H.S.; Ganti, R.K.; Baccelli, F.; Andrews, J.G. Modeling and analysis of K-tier downlink heterogeneous cellular networks. IEEE J. Sel. Areas Commun. 2012, 30, 550–560. [Google Scholar] [CrossRef]
- Vien, Q.T.; Le, T.A.; Nguyen, H.X.; Karamanoglu, M. An energy-efficient resource allocation for optimal downlink coverage in heterogeneous wireless cellular networks. Proc. ISWCS 2015, 156–160. [Google Scholar] [CrossRef]
- Wang, M.; Gao, H.; Lv, T. Energy-Efficient User Association and Power Control in the Heterogeneous Network. IEEE Access 2017, 5, 5059–5068. [Google Scholar] [CrossRef]
- Ye, Q.; Bursalioglu, O.Y.; Papadopoulos, H.C.; Caramanis, C.; Andrews, J.G. User Association and Interference Management in Massive MIMO HetNets. IEEE Trans. Commun. 2015, 64, 2049–2065. [Google Scholar] [CrossRef]
- Liu, D.; Wang, L.; Chen, Y.; Zhang, T.; Chai, K.; Elkashlan, M. Distributed energy efficient fair user association in massive MIMO enabled HetNets. IEEE Commun. Lett. 2015, 19, 1770–1773. [Google Scholar] [CrossRef]
- Kwon, Y.; Hwang, T.; Wang, X. Energy-Efficient Transmit Power Control for Multi-tier MIMO HetNets. IEEE J. Sel. Areas Commun. 2015, 33, 2070–2086. [Google Scholar] [CrossRef]
- Prasad, K.N.R.S.V.; Hossain, E.; Bhargava, V.K. Joint User Association and Backhaul Routing for Green 5G Mesh Millimeter Wave Backhaul Networks. IEEE Wirel. Commun. 2017, 24, 86–94. [Google Scholar] [CrossRef]
- Mesodiakaki, A.; Zola, E.; Kassler, A. Energy Efficiency in Massive MIMO-Based 5G Networks: Opportunities and Challenges. IEEE Wirel. Commun. 2017. [Google Scholar] [CrossRef]
- Amaldi, E.; Capone, A.; Malucelli, F.; Mannino, C. Optimization Problems and Models for Planning Cellular Networks; Springer: Berlin, Germany, 2006. [Google Scholar]
- Kennington, J.; Olinick, E.; Rajan, D. Wireless Network Design: Optimization Models and Solution Procedures; Springer: Berlin, Germany, 2010. [Google Scholar]
- D’Andreagiovanni, F.; Mannino, C.; Sassano, A. Negative Cycle Separation in Wireless Network Design. Lect. Notes Comput. Sci. 2011, 6701, 51–56. [Google Scholar]
- D’Andreagiovanni, F.; Mannino, C.; Sassano, A. GUB Covers and Power-Indexed Formulations for Wireless Network Design. Manag. Sci. 2013, 59, 142–156. [Google Scholar] [CrossRef]
- D’Andreagiovanni, F. On Improving the Capacity of Solving Large-scale Wireless Network Design Problems by Genetic Algorithms. Lect. Notes Comput. Sci. 2011, 6625, 11–20. [Google Scholar]
- Chiaraviglio, L.; Amorosi, L.; Cartolano, S.; Blefari-Melazzi, N.; Dell’olmo, P.; Shojafar, M.; Salsano, S. Optimal Superfluid Management of 5G Networks. In Proceedings of the 2017 IEEE Conference on Network Softwarization (NetSoft), Bologna, Italy, 3–7 July 2017. [Google Scholar]
- Marotta, A.; D’Andreagiovanni, F.; Kassler, A.; Zola, E. On the energy cost of robustness for green virtual network function placement in 5G virtualized infrastructures. Comput. Netw. 2017, 125, 64–75. [Google Scholar] [CrossRef]
- Salsano, S.; Chiaraviglio, L.; Blefari-Melazzi, N.; Parada, C.; Fontes, F.; Mekuria, R.; Griffioen, D. Toward Super fluid Deployment of Virtual Functions: Exploiting Mobile Edge Computing for Video Streaming. In Proceedings of the 2017 29th International Teletraffic Congress (ITC 29), Genoa, Italy, 4–8 September 2017. [Google Scholar]
- Shojafar, M.; Chiaraviglio, L.; Blefari-Melazzi, N.; Salsano, S. P5G: A Bio-inspired Algorithm for the Superfluid Management of 5G Networks. In Proceedings of the 2017 IEEE Global Communications Conference, Singapore, 4–8 December 2017. [Google Scholar]
- Dely, P.; D’Andreagiovanni, F.; Kassler, A. Fair optimization of mesh-connected WLAN hotspots. Wirel. Commun. Mobile Comput. 2015, 15, 924–946. [Google Scholar] [CrossRef]
- Gendron, B.; Scutellà, M.G.; Garroppo, R.G.; Nencioni, G.; Tavanti, L. A branch-and-Benders-cut method for nonlinear power design in green wireless local area networks. Eur. J. Oper. Res. 2016, 255, 151–162. [Google Scholar] [CrossRef]
- Wang, N.; Hossain, E.; Bhargava, V.K. Joint Downlink Cell Association and Bandwidth Allocation for Wireless Backhauling in Two-Tier HetNets With Large-Scale Antenna Arrays. IEEE Trans. Wirel. Commun. 2016, 15, 3251–3268. [Google Scholar] [CrossRef]
- Bethanabhotla, D.; Bursalioglu, O.Y.; Papadopoulos, H.C.; Caire, G. User association and load balancing for cellular massive MIMO. IEEE Inf. Theory Appl. Workshop 2014, 1–10. [Google Scholar] [CrossRef]
- Mo, J.; Walrand, J. Fair end-to-end window-based congestion control. IEEE/ACM Trans. Netw. 2000, 8, 556–567. [Google Scholar] [CrossRef]
- Björnson, E.; Hoydis, J.; Kountouris, M.; Debbah, M. Massive MIMO Systems With Non-Ideal Hardware: Energy Efficiency, Estimation, and Capacity Limits. IEEE Trans. Inf. Theory 2014, 60, 7112–7139. [Google Scholar] [CrossRef]
- Dinkelbach, W. On nonlinear fractional programming. Manag. Sci. 1967, 13, 492–498. [Google Scholar] [CrossRef]
- Papandriopoulos, J.; Evans, J.S. Low-Complexity Distributed Algorithms for Spectrum Balancing in Multi-User DSL Networks. IEEE Int. Conf. Commun. 2006, 3270–3275. [Google Scholar] [CrossRef]
- Boyd, S.; Vandenberghe, L. Convex Optimization; Springer: Cambridge, UK, 2004. [Google Scholar]
- Chiang, M.; Tan, C.W.; Palomar, D.P.; O’Neill, D.; Julian, D. Power Control By Geometric Programming. IEEE Trans. Wirel. Commun. 2017, 6, 2640–2651. [Google Scholar] [CrossRef]
- Marks, B.R.; Wright, G.P. A General Inner Approximation Algorithm for Nonconvex Mathematical Programs. Oper. Res. 1978, 16, 681–683. [Google Scholar] [CrossRef]
- Wong, C.Y.; Cheng, R.; Lataief, K.; Murch, R. Multiuser OFDM with adaptive subcarrier, bit, power allocation. IEEE J. Sel. Areas Commun. 1999, 17, 1747–1758. [Google Scholar] [CrossRef]
- 3GPP TR 36.814 V9.0.0(2010-03)-Evolved Universal Terrestrial Radio Access (E-UTRA), Further advancements for E-UTRA physical layer aspects (Release 9). Technical Report 3rd Generation Partnership Project, 2010.







| Parameter | Value | Parameter | Value |
|---|---|---|---|
| J | 10 | B | 10 MHz |
| 500 m | 50 m | ||
| M | 100 | N | 20 |
| 43 dBm | 23 dBm | ||
| 0.02 W | 0.38 | ||
| 10 W | 0.2 W |
| Channel | Path Loss Model |
|---|---|
| From MBS to users | |
| From SBS to users |
© 2018 by the authors. Licensee MDPI, Basel, Switzerland. This article is an open access article distributed under the terms and conditions of the Creative Commons Attribution (CC BY) license (http://creativecommons.org/licenses/by/4.0/).
Share and Cite
Tang, L.; Hu, H.; He, Y. Energy Efficient Joint Power Control and User Association Optimization in Massive MIMO Enabled HetNets. Appl. Sci. 2018, 8, 584. https://doi.org/10.3390/app8040584
Tang L, Hu H, He Y. Energy Efficient Joint Power Control and User Association Optimization in Massive MIMO Enabled HetNets. Applied Sciences. 2018; 8(4):584. https://doi.org/10.3390/app8040584
Chicago/Turabian StyleTang, Liangrui, Hailin Hu, and Yanhua He. 2018. "Energy Efficient Joint Power Control and User Association Optimization in Massive MIMO Enabled HetNets" Applied Sciences 8, no. 4: 584. https://doi.org/10.3390/app8040584
APA StyleTang, L., Hu, H., & He, Y. (2018). Energy Efficient Joint Power Control and User Association Optimization in Massive MIMO Enabled HetNets. Applied Sciences, 8(4), 584. https://doi.org/10.3390/app8040584

