Three Flow Features behind the Flow Control Authority of DBD Plasma Actuator: Result of High-Fidelity Simulations and the Related Experiments
Abstract
:1. Introduction
2. Problem Setting
3. Experimental Approach
4. Computational Approach
4.1. Basic Equations
4.2. Modeling of the Body Force Induced by the Plasma Actuator
4.3. Numerical Method
5. Results
5.1. Use of Burst Waves: Observations in Our Early Study
5.2. Use of Burst Waves: Observation from the Later Stage of Study (2011–2017)
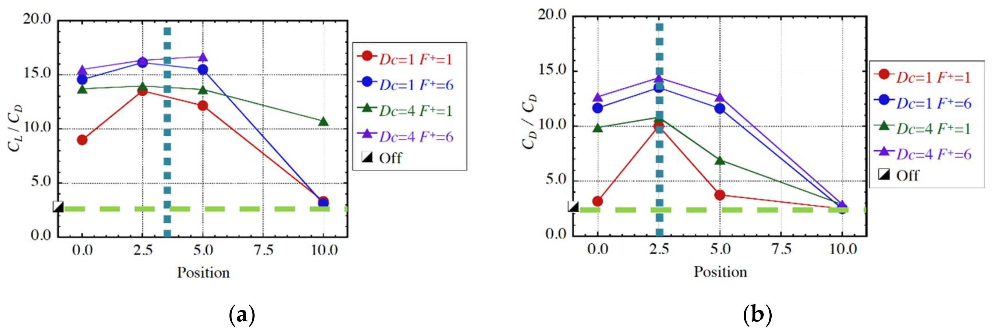
5.3. Three Important Flow Features and the Guidelines from the Observations
5.4. Additional Issues
5.5. Functions of Plasma Actuator at Cruise Condition
6. Conclusions
Supplementary Materials
Acknowledgments
Conflicts of Interest
References
- Post, M.L.; Corke, T.C. Separation Control on HIgh Angle of Attack Airfoil Using Plasma Actuators. AIAA J. 2004, 42, 2177–2184. [Google Scholar] [CrossRef]
- Roth, J.R.; Dai, X. Optimization of the Aerodynamic Plasma Actuator as an Electrohydrodynamic (EHD) Electrical Device. In Proceedings of the AIAA-2006-1203, 44th AIAA Aerospace Sciences Meeting and Exhibit, Reno, NV, USA, 9–12 January 2006. [Google Scholar]
- Corke, T.C.; Post, M.L.; Orlov, D.M. SDBD plasma enhanced aerodynamics: Concepts, optimization and applications. Prog. Aerosp. Sci. 2007, 43, 193–217. [Google Scholar] [CrossRef]
- Enloe, C.L.; McLaughlin, T.E.; Van Dyken, R.D.; Kachnew, K.D.; Jumper, E.J.; Corke, T.C. Mechanisms and Responses of a Single Dielectric Barrier Plasma Actuator: Plasma Morphology. AIAA J. 2004, 42, 589–594. [Google Scholar] [CrossRef]
- Visbal, M.R.; Gaitonde, D.V.; Roy, S. Control of transitional and turbulent flows using plasma-based actuators. In Proceedings of the AIAA-2006-3230, 25th Aerodynamic Measurement Technology and Ground Testing Conference, San Francisco, CA, USA, 5–8 June 2006. [Google Scholar]
- Greenblatt, D.; Goksel, B.; Rechenberg, I.; Schule, C.Y.; Romann, D.; Paschereit, C.O. Dielectric Barrier Discharge Flow Control at Very Low Flight Reynolds Numbers. AIAA J. 2008, 46, 1528–1541. [Google Scholar] [CrossRef]
- Greenblatt, D.; Schneider, T.; Schule, C.Y. Mechanism of flow separation control using plasma actuation. Phys. Fluids 2012, 24, 077102. [Google Scholar] [CrossRef]
- Asada, K.; Fujii, K. Computational Study of Separation Control Mechanism with the Imaginary Body Force added to the Flows over an Airfoil. In Proceedings of the 10th International Conference on Fluid Control, Measurements, and Visualization, Moscow, Russia, 17–21 August 2009. [Google Scholar]
- Rizzetta, D.P.; Visbal, M.R. Numerical investigation of plasma-based control for low-Reynolds-number airfoil flows. AIAA J. 2011, 49, 411–425. [Google Scholar] [CrossRef]
- Kaneda, I.; Sekimoto, S.; Nonomura, T.; Asada, K.; Oyama, A.; Fujii, K. An effective three-dimensional layout of actuation body force for separation control. Int. J. Aerosp. Eng. 2012, 2012, 786960. [Google Scholar] [CrossRef]
- Benard, N.; Joliboris, J.; Moreau, E. Lift and drag performances of an axisymmetric airfoil controlled by plasma actuator. J. Electrost. 2009, 67, 133–139. [Google Scholar] [CrossRef]
- Corke, T.C.; Post, M.L.; Orlov, D.M. Single dielectric barrier discharge plasma enhanced aerodynamics: Physics, modeling and applications. Exp. Fluids 2009, 46, 1–26. [Google Scholar] [CrossRef]
- Asada, K.; Ninomiya, Y.; Oyama, A.; Fujii, K. Airfoil Flow Experiment on the Duty Cycle of DBD Plasma Actuator. In Proceedings of the 47th AIAA Aerospace Sciences Meeting including the New Horizons Forum and Aerospace Exposition, Orlando, FL, USA, 5–8 January 2009. [Google Scholar]
- Fujii, K. High-performance computing based exploration of flow control with micro devices. Philos. Trans. A R. Soc. 2014, 372, 1471–2962. [Google Scholar] [CrossRef] [PubMed]
- Sidorenko, A.A.; Zanin, B.Y.; Postnikov, B.V.; Budovsky, A.D.; Starikovskii, A.Y.; Roupassov, D.V.; Zavialov, I.N.; Malmuth, N.D.; Smereczniak, P.; Silkey, J.S. Pulsed discharge actuators for rectangular wings separation control. In Proceedings of the 45th AIAA Aerospace Sciences Meeting and Exhibit, Reno, NV, USA, 8–11 January 2007. [Google Scholar]
- Goksel, B.; Greenblatt, D.; Rechenberg, I.; Nayeri, C.N.; Paschereit, C.O. Steady and Unsteady Plasma Wall Jets for Separation and Circulation Control. In Proceedings of the 3rd AIAA Flow Control Conference, Fluid Dynamics and Co-Located Conferences, San Francisco, CA, USA, 5–8 June 2006. [Google Scholar]
- Shang, J.S. Progress and future prospects of CFD in aerospace wind tunnel and beyond. In Proceedings of the 4th Joint Fluids Summer Engineering Conference, Honolulu, HI, USA, 6–10 July 2003. [Google Scholar]
- Fujii, K. Progress and future prospects of CFD in aerospace wind tunnel and beyond. Prog. Aerosp. Sci. 2005, 41, 455–470. [Google Scholar] [CrossRef]
- Sekimoto, S.; Anyoji, M.; Miyakawa, Y.; Shimomura, S.; Matsuno, T.; Nonomura, T.; Ito, S.; Nishida, H.; Fujii, K. Experimental study of separation control over a wide range of reynolds numbers using dielectric barrier discharge plasma actuator on airfoil. In Proceedings of the ASME 2017 Fluids Engineering Division Summer Meeting, Waikoloa, HI, USA, 30 July–3 August 2017. [Google Scholar]
- Shang, J.S.; Huang, P.G. Surface plasma actuators modeling for Flow control. Prog. Aerosp. Sci. 2014, 67, 29–50. [Google Scholar] [CrossRef]
- Kotsonis, M.; Ghaemi, S.; Veldhuis, L.; Scarano, F. Measurement of the body force field of plasma actuators. J. Phys. D Appl. Phys. 2011, 44, 045204. [Google Scholar] [CrossRef]
- Kriegseis, J.; Schwartz, C.; Tropea, C.; Grundmann, S. Power consumption, discharge capacitance and light emission as measures for thrust production of dielectric barrier discharge plasma actuators. J. Phys. D Appl. Phys. 2013, 46, 055202. [Google Scholar] [CrossRef]
- Suzen, Y.B.; Huang, P.G.; Jacob, J.D.; Ashpis, D.E. Numerical Simulations of Plasma Based Flow Control Applications. In Proceedings of the 35th Fluid Dynamics Conference and Exhibit, Toronto, ON, Canada, 6–9 June 2005. [Google Scholar]
- Suzen, Y.B.; Huang, P.G. Simulations of flow separation control using plasma actuators. In Proceedings of the 44th AIAA Aerospace Sciences Meeting and Exhibit, Reno, NV, USA, 9–12 January 2006. [Google Scholar]
- Tsubakino, D.; Fujii, K. Effective Layout of Plasma Actuators for a Flow Separation Control on a Wing. In Proceedings of the 45th AIAA Aerospace Sciences Meeting and Exhibit, Reno, NV, USA, 8–11 January 2007. [Google Scholar]
- Asada, K.; Fujii, K. Computational analysis of unsteady flow-field induced by plasma actuator in burst mode. In Proceedings of the AIAA 5th Flow Control Conference, Chicago, IL, USA, 28 June–1 July 2010. [Google Scholar]
- Asada, K.; Nonomura, T.; Aono, H.; Sato, M.; Okada, K.; Fujii, K. LES of transient flows controlled by DBD plasma actuator over a stalled airfoil. Int. J. Comput. Fluid Dyn. 2015, 29, 215–229. [Google Scholar] [CrossRef]
- Aono, H.; Sekimoto, S.; Sato, M.; Yakeno, A.; Fujii, K. Computational and experimental analysis of flow structures induced by a plasma actuator with burst modulations in quiescent air. Bull. JSME Mech. Eng. 2015, 2, 1–16. [Google Scholar] [CrossRef]
- Pereira, R.; Ragni, D.; Kotsonis, M. Effect of external flow velocity on momentum transfer of dielectric barrier discharge plasma actuators. J. Appl. Phys. 2014, 116, 103301. [Google Scholar] [CrossRef]
- Koizumi, T.; Nishida, H. Coupling of discharged plasma and induced flows by the DBD plasma actuators. In Proceedings of the Annual Meeting of JSASS, Tokyo, Japan, 18–19 April 2013. (In Japanese). [Google Scholar]
- Lele, S.K. Compact finite difference schemes with spectral-like resolution. J. Comput. Phys. 1992, 103, 16–42. [Google Scholar] [CrossRef]
- Fujii, K. CFD Contributions to High-Speed Shock-Related Problems: Examples Today and New Features Tomorrow. Shock Waves 2008, 18, 145–154. [Google Scholar] [CrossRef]
- Fujii, K. Efficiency Improvement of Unified Implicit Relaxation/Time Integration Algorithms. AIAA J. 1999, 37, 125–128. [Google Scholar] [CrossRef]
- Kojima, R.; Nonomura, T.; Oyama, A.; Fujii, K. Large-eddy simulation of low-Reynolds-number flow over thick and thin NACA airfoils. J. Aircr. 2013, 50, 187–196. [Google Scholar] [CrossRef]
- Lee, D.; Kawai, S.; Nonomura, T.; Anyoji, M.; Aono, H.; Oyama, A.; Asai, K.; Fujii, K. Mechanisms of surface pressure distribution within a laminar separation bubble at different Reynolds numbers. Phys. Fluids 2015, 27, 023602. [Google Scholar] [CrossRef]
- Nonomura, T.; Aono, H.; Sato, M.; Yakeno, A.; Okada, K.; Abe, Y.; Fujii, K. Control mechanism of plasma actuator for separated flow around NACA0015 at Reynolds number 63,000—Separation bubble related mechanisms. In Proceedings of the 51st AIAA Aerospace Sciences Meeting including the New Horizons Forum and Aerospace Exposition, Grapevine, TX, USA, 7–10 January 2013. [Google Scholar]
- Fujii, K. Unified Zonal Method Based on the Fortified Solution Algorithm. J. Comput. Phys. 1995, 118, 92–108. [Google Scholar] [CrossRef]
- Sekimoto, S.; Nonomura, T.; Fujii, K. Burst-Mode Frequency Effects of Dielectric Barrier Discharge Plasma Actuator for Separation Control. AIAA J. 2017, 55, 1385–1392. [Google Scholar] [CrossRef]
- Sekimoto, S. Flow Control Mechanism of a DBD Plasma Actuator for Airfoils in Low Speed Free-Stream. Ph.D. Thesis, Department of Aeronautics and Astronautics, University of Tokyo, Tokyo, Japan, March 2015. [Google Scholar]
- Sato, M.; Aono, H.; Yakeno, A.; Nonomura, T.; Fujii, K.; Okada, K.; Asada, K. Multifactorial Effects of Operating Conditions of Dielectric-Barrier-Discharge Plasma Actuator on Laminar-Separated-Flow Control. AIAA J. 2015, 53, 2544–2559. [Google Scholar] [CrossRef]
- Sato, M.; Nonomura, T.; Okada, K.; Asada, K.; Aono, H.; Yakeno, A.; Abe, Y.; Fujii, K. Mechanisms for laminar separated-flow control using dielectric-barrier-discharge plasma actuator at low Reynolds number. Phys. Fluids 2015, 27, 117101. [Google Scholar] [CrossRef]
- Yakeno, A.; Kawai, S.; Nonomura, T.; Fujii, K. Wall-Turbulence Structure with Pressure Gradient around 2D Hump. Prog. Turbul. 2016, 6, 167–170. [Google Scholar]
- Yakeno, A.; Abe, Y.; Kawai, S.; Nonomura, T.; Fujii, K. Separation control based on turbulence transition around a two-dimensional hump at different Reynolds numbers. Int. J. Heat Fluid Flow 2016, 55, 52–64. [Google Scholar] [CrossRef]
- Aono, H.; Kawai, S.; Nonomura, T.; Sato, M.; Fujii, K.; Okada, K. Plasma-Actuator Burst-Mode Frequency Effects on Leading-Edge Flow-Separation Control at Reynolds Number 2.6 × 105. AIAA J. 2017, 55, 3789–3806. [Google Scholar] [CrossRef]
- Sato, M.; Okada, K.; Nonomura, T.; Aono, H.; Yakeno, A.; Asada, K.; Abe, Y.; Fujii, K. Massive parametric study by LES on separated-flow control around airfoil using DBD plasma actuator at Reynolds number 63,000. In Proceedings of the 43rd Fluid Dynamics Conference, San Diego, CA, USA, 24–27 June 2013. [Google Scholar]
- Fujii, K. Advances in Computation, Modeling and Control of Transitional and Turbulent Flows; Sengupta, T., Lele, S.K., Davidson, P.A., Eds.; World Scientific: Singapore, Singapore, 2015. [Google Scholar]
- Abe, Y.; Okada, K.; Nonomura, T.; Fujii, K. The effects of actuation frequency on the separation control over an airfoil using a synthetic jet. Prog. Flight Phys. 2015, 7, 147–168. [Google Scholar]
- Abe, Y. Mechanism of Separated-Flow Control over an Airfoil with Synthetic Jet Devices in Low-Reynolds-Number Regime. Ph.D. Thesis, Department of Aeronautics and Astronautics, University of Tokyo, Tokyo, Japan, March 2016. [Google Scholar]
- Asada, K.; Sekimoto, S.; Tatsukawa, T.; Shimizu, T.; Yabu, M.; Fujii, K. Data Mining of Experimental Data on Separation Control of the Flows Over NACA0015 and Ishii Airfoils Using Dielectric Barrier Discharge Plasma Actuator. In Proceedings of the ASME 2017 Fluids Engineering Division Summer Meeting, Waikoloa, HI, USA, 30 July–3 August 2017. [Google Scholar]
- Asano, K.; Sato, M.; Nonomura, T.; Oyama, A.; Fujii, K. Control of Airfoil Flow at Cruise Condition by DBD Plasma Actuator-Sophisticated Airfoil vs. Simple Airfoil with Flow Control. In Proceedings of the 8th AIAA Flow Control Conference, Washington, DC, USA, 13–17 June 2016. [Google Scholar]

















| Burst Frequency | CL | CD | L/D (Lift-to-Drag Ratio) |
|---|---|---|---|
| off | 0.54923 | 0.20287 | 2.7073 |
| F+ = 1 | 0.76022 | 0.21408 | 3.5511 |
| F+ = 6 | 1.0145 | 0.13665 | 7.4241 |
© 2018 by the author. Licensee MDPI, Basel, Switzerland. This article is an open access article distributed under the terms and conditions of the Creative Commons Attribution (CC BY) license (http://creativecommons.org/licenses/by/4.0/).
Share and Cite
Fujii, K. Three Flow Features behind the Flow Control Authority of DBD Plasma Actuator: Result of High-Fidelity Simulations and the Related Experiments. Appl. Sci. 2018, 8, 546. https://doi.org/10.3390/app8040546
Fujii K. Three Flow Features behind the Flow Control Authority of DBD Plasma Actuator: Result of High-Fidelity Simulations and the Related Experiments. Applied Sciences. 2018; 8(4):546. https://doi.org/10.3390/app8040546
Chicago/Turabian StyleFujii, Kozo. 2018. "Three Flow Features behind the Flow Control Authority of DBD Plasma Actuator: Result of High-Fidelity Simulations and the Related Experiments" Applied Sciences 8, no. 4: 546. https://doi.org/10.3390/app8040546
APA StyleFujii, K. (2018). Three Flow Features behind the Flow Control Authority of DBD Plasma Actuator: Result of High-Fidelity Simulations and the Related Experiments. Applied Sciences, 8(4), 546. https://doi.org/10.3390/app8040546
