An Approach to Predicting Sediment Microbial Fuel Cell Performance in Shallow and Deep Water
Abstract
:Featured Application
Abstract
1. Introduction
2. Materials and Methods
3. Results
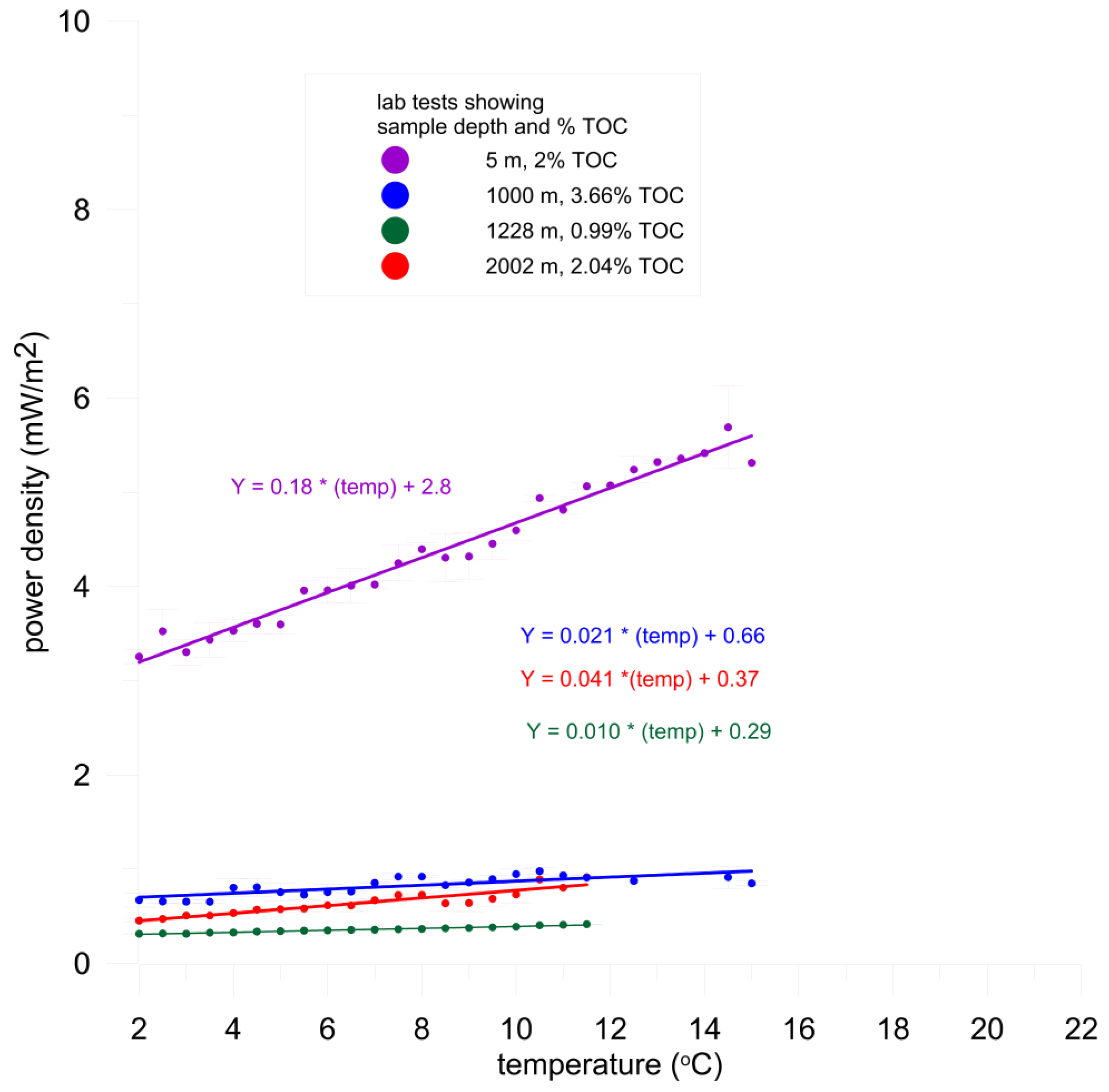
3.1. Shallow Water Predictions (<100 m)
3.2. Deep Water Predictions (≥1000 m)
4. Discussion
- (1)
- It could be due to lack of Geobacter-like electrogenic bacteria at deeper depths, hinted at by the unexpected temperature response from the deeper sediment tests. While Geobacter is widely distributed in marine sediments, we did not test for its presence in our samples.
- (2)
- It could be due to finer sediment particle size in deeper sediments. Finer particle size results in less permeability and reduced pore water circulation [24]. Since microbial metabolism at the anode is partially limited by the advection and diffusion of organic material in the pore water, reduced permeability would negatively impact MFC power output. Coarse analysis of grain size in the sediment samples revealed that the shallow sediments from 5 m depth had percent fines (percent of clay plus silt by weight) of ~45% while percent fines of sediments from >1000 m depth ranged from 80% to 100% (unpublished data).
- (3)
- It could be due to a relative lack of labile material at depth. Global benthic bacteria biomass has been found to be proportional to TOC sediment concentrations, and sediment concentrations are generally inversely proportional to water depth and distance from land [24]. Small organic particles (e.g., dead plankton) sink slowly and are subject to bacterial attack. The labile fraction of total organic matter reaching the bottom in the Mediterranean Sea decreased with depth [25]. The benthic bacterial population density in Mediterranean sediments was correlated with carbohydrate (labile TOC) concentrations at depths from 100 m to 2400 m.
5. Conclusions
- Shallow sediment MFCs are predicted to yield significantly greater power densities than deep sediment MFCs. We predict shallow sediment MFC power density to range from 5 to 10 mW/m2 off the Texas coast and 4 to 7 mW/m2 off the South Korean coast, using a 1 m2 anode. We predict deep sediment power density < 1 mW/m2 for the same anode size.
- Near-bottom water temperatures off Texas and South Korea warm ~10 °C seasonally from February to August. This temperature increase is predicted to increase MFC power densities by 1 to 2 mW/m2.
- Observations connected with this study suggest that testing MFCs with sediments collected at depth (≥1000 m) and not pressurized during retrieval or in the laboratory does not unduly impact power density estimates.
Author Contributions
Funding
Acknowledgments
Conflicts of Interest
References
- Coates, J.D.; Phillips, E.J.P.; Lonergan, D.J.; Jenter, H.; Lovley, D.R. Isolation of Geobacter Species from Diverse Sedimentary Environments. Appl. Environ. Microbiol. 1996, 62, 1531–1536. [Google Scholar] [PubMed]
- Tender, L.M.; Gray, S.A.; Groveman, E.; Lowy, D.A.; Kauffman, P.; Melhado, J.; Tyce, R.C.; Flynn, D.; Petrecca, R.; Dobarro, J. The first demonstration of a microbial fuel cell as a viable power supply: Powering a meteorological buoy. J. Power Sources 2008, 179, 571–575. [Google Scholar] [CrossRef]
- Bond, D.R.; Holmes, D.E.; Tender, L.M.; Lovley, D.R. Electrode-reducing microorganisms that harvest sediments. Science 2002, 295, 483–485. [Google Scholar] [CrossRef] [PubMed]
- Logan, B.E.; Hamelers, B.; Rozendal, R.; Schroder, U.; Keller, J.; Freguia, S.; Aelterman, P.; Verstraet, W.; Rabaey, K. Microbial Fuel Cells: Methodology and Technology. Environ. Sci. Technol. 2006, 40, 5181–5192. [Google Scholar] [CrossRef] [PubMed]
- Lovley, D.R. Bug juice: Harvesting electricity with microorganisms. Nat. Rev. Microbiol. 2006, 4, 497–508. [Google Scholar] [CrossRef] [PubMed]
- Lovley, D.R.; Ueki, T.; Zhang, T.; Malvankar, N.S.; Shrestha, P.M.; Flanagan, K.A.; Aklujkar, M.; Butler, J.E.; Giloteaux, L.; Rotaru, A.E.; et al. Geobacter: The microbe electric’s physiology, ecology, and practical applications. Adv. Microbiol. Physiol. 2011, 59, 1–100. [Google Scholar] [CrossRef]
- Rabaey, K.; Verstraete, W. Microbial fuel cells: Novel biotechnology for energy generation. TRENDS Biotech. 2005, 23, 291–298. [Google Scholar] [CrossRef] [PubMed]
- Tender, L.M.; Reimers, C.E.; Stecher, H.A., III; Holmes, D.E.; Bond, D.R.; Lowy, D.A. Harnessing microbially-generated power on the seafloor. Nat. Biotech. 2008, 20, 821–825. [Google Scholar] [CrossRef] [PubMed]
- Donovan, C.; Dewan, A.; Heo, D.; Beyenal, H. Batteryless, wireless sensor powered by a sediment microbial fuel cell. Environ. Sci. Technol. 2008, 42, 8591–8596. [Google Scholar] [CrossRef] [PubMed]
- Hsu, L.; Chadwick, B.; Kagan, J.; Thacher, R.; Wotawa-Bergen, A.; Richter, K. Scale-up considerations for sediment microbial fuel cells. RSC Adv. 2013, 3, 15947–15954. [Google Scholar] [CrossRef]
- Kagan, J.; Hsu, L.; Chadwick, B. Large-Scale Benthic Microbial Fuel Cell Construction, Deployment, and Operation. In Biofilms in Bioelectrochemical Systems: From Laboratory Practice to Data Interpretation; Beyenal, H., Babauta, J., Eds.; Wiley: Hoboken, NJ, USA, 2015; pp. 367–416. ISBN 978-1-118-41349-4. [Google Scholar]
- Schrader, P.S.; Reimers, C.E.; Girguis, P.; Delaney, J.; Doolan, C.; Wolf, M.; Green, D. Independent Benthic Microbial Fuel Cells Powering Sensors and Acoustic Communications with the MARS Underwater Observatory. Am. Meteorol. Soc. 2016, 33, 607–617. [Google Scholar] [CrossRef]
- Richter, K.; Wotawa-Bergen, A. Predicting in situ sediment fuel cell potential. In Proceedings of the OCEANS’11 MTS/IEEE KONA, Waikoloa, HI, USA, 19–22 September 2011; pp. 39–50. [Google Scholar] [CrossRef]
- Dewan, A.; Beyenal, H.; Lewandowski, Z. Scaling up microbial fuel cells. Environ. Sci. Technol. 2008, 42, 7643–7648. [Google Scholar] [CrossRef] [PubMed]
- Logan, B.E. Sediment MFCs. In Microbial Fuel Cells; Wiley-Interscience: Hoboken, NJ, USA, 2008; pp. 162–166. ISBN 978-0-470-23948-3. [Google Scholar]
- NOAA Coastal Relief Model Grid Extract. Available online: https://maps.ngdc.noaa.gov/viewers/wcs-client/ (accessed on 1 October 2018).
- NOAA BLM/OCS South Texas Outer Continental Shelf (STOCS) Project Sediment Data. Available online: https://www.ngdc.noaa.gov/docucomp/page?xml=NOAA/NESDIS/NGDC/MGG/Geology/iso/xml/G02888.xml&view=getDataView&header=none (accessed on 1 October 2018).
- NOAA National Centers for Environmental Information, Ocean Profile Data. Available online: https://www.nodc.noaa.gov/General/profile.html (accessed on 10 October 2018).
- Ayers, J.M.; Richter, K. The potential of small-scale turbines and microbial fuel cells to support persistent oceanographic sensors. In Proceedings of the OCEANS 2016 MTS/IEEE Monterey, Monterey, CA, USA, 19–23 September 2016. [Google Scholar] [CrossRef]
- Richter, K.; George, R.; Hardy, K. Autonomous, retrievable deep sea microbial fuel cell. In Proceedings of the Oceans ’15 MTS/IEEE Genova, Genoa, Italy, 18–21 May 2015. [Google Scholar] [CrossRef]
- Toby, P.S.; Deming, J.W.; Ohwanda, K.; Colwell, R. Activity and growth of microbial populations in pressurized deep-sea sediment and animal gut samples. Appl. Environ. Microbiol. 1982, 44, 413–422. [Google Scholar]
- Price, P.B.; Sowers, T. Temperature dependence of metabolic rates for microbial growth, maintenance and survival. PNAS 2004, 101, 4631–4636. [Google Scholar] [CrossRef] [PubMed]
- Seiter, K.; Hensen, C.; Schröter, J.; Zabel, M. Organic carbon content in surface sediments—Defining regional provinces. Deep Sea Res. Part I 2004, 51, 2001–2026. [Google Scholar] [CrossRef]
- Shepherd, R.G. Correlations of permeability and grain size. Ground Water 1989, 27, 633–638. [Google Scholar] [CrossRef]
- Danovaro, R.; Fabiaon, M.; Della Croce, N. Labile organic matter and microbial biomasses in deep-sea sediments (Eastern Mediterranean Sea). Deep Sea Res. Part I 1993, 40, 953–965. [Google Scholar] [CrossRef]

















© 2018 by the authors. Licensee MDPI, Basel, Switzerland. This article is an open access article distributed under the terms and conditions of the Creative Commons Attribution (CC BY) license (http://creativecommons.org/licenses/by/4.0/).
Share and Cite
Richter, K.E.; Ayers, J.M. An Approach to Predicting Sediment Microbial Fuel Cell Performance in Shallow and Deep Water. Appl. Sci. 2018, 8, 2628. https://doi.org/10.3390/app8122628
Richter KE, Ayers JM. An Approach to Predicting Sediment Microbial Fuel Cell Performance in Shallow and Deep Water. Applied Sciences. 2018; 8(12):2628. https://doi.org/10.3390/app8122628
Chicago/Turabian StyleRichter, Kenneth E., and Jennifer M. Ayers. 2018. "An Approach to Predicting Sediment Microbial Fuel Cell Performance in Shallow and Deep Water" Applied Sciences 8, no. 12: 2628. https://doi.org/10.3390/app8122628
APA StyleRichter, K. E., & Ayers, J. M. (2018). An Approach to Predicting Sediment Microbial Fuel Cell Performance in Shallow and Deep Water. Applied Sciences, 8(12), 2628. https://doi.org/10.3390/app8122628

