Plant-Mediated Biotransformations of S(+)- and R(–)-Carvones †
Abstract
:1. Introduction
2. Materials and Methods
2.1. Biotransformation
2.1.1. Biocatalyst
2.1.2. Procedure for Screening Biotransformation
2.1.3. Procedure for Preparative Biotransformation
2.1.4. Investigation of Biotransformation over Time
2.2. Analysis
3. Results
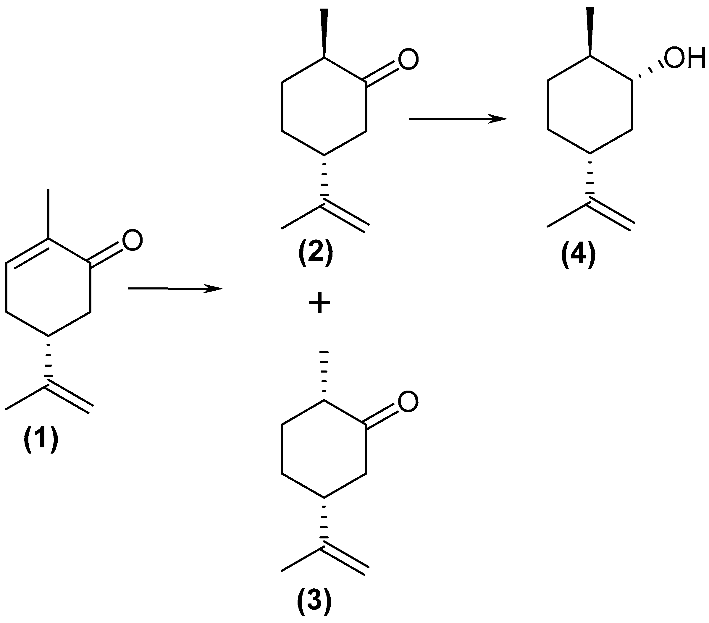
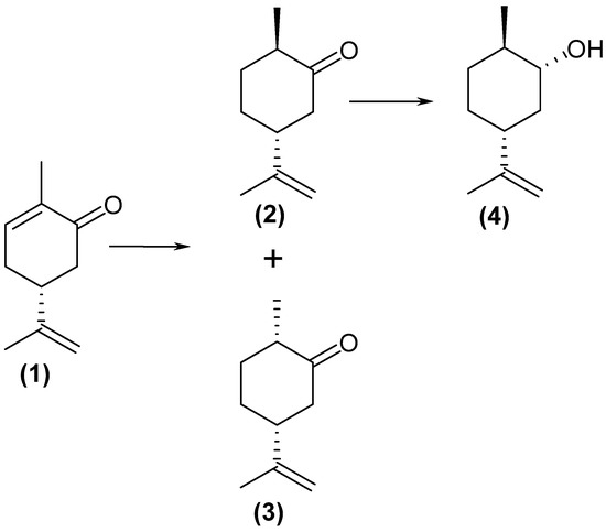
3.1. Biotransformation of (4R)-(–)-Carvone (1)
Verifying the Biotransformation of (4R)-(–)-Carvone (1) over Time Using Potato as a Biocatalyst
3.2. Biotransformation of (1R, 4R)-(+)-Dihydrocarvone (2)
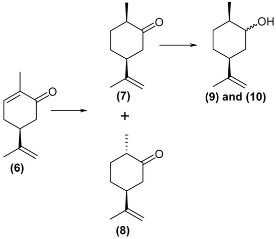
3.3. Biotransformation of (4S)-(+)-Carvone (6)
Verifying the Biotransformation of (4S)-(+)-Carvone (6) over Time Using Potato as a Biocatalyst
4. Discussion
5. Conclusions
Supplementary Materials
Author Contributions
Funding
Acknowledgments
Conflicts of Interest
References
- Sivropoulou, A.; Kokkini, S.; Lanaras, T.; Arsenakis, M. Antimicrobial activity of mint essential oils. J. Agric. Food. Chem. 1995, 43, 2384–2388. [Google Scholar] [CrossRef]
- Bouwmeester, H.J.; Konings, M.C.J.M.; Gershenzon, J.; Karp, F.; Croteau, R. Cytochrome P-450 dependent (+)-limonene-6-hydroxylation in fruits of caraway (Carum carvi). Phytochemistry 1999, 50, 243–248. [Google Scholar] [CrossRef]
- De Carvalho, C.C.C.R.; da Fonseca, M.M.R. Carvone: Why and how should one bother to produce this terpene. Food Chem. 2006, 95, 413–422. [Google Scholar] [CrossRef]
- Aydın, E.; Turkez, H.; Keles, M.S. Potential anticancer activity of carvone in N2a neuroblastoma cell line. Toxicol. Ind. Health 2015, 31, 764–772. [Google Scholar] [CrossRef] [PubMed]
- Ding, X.; Chen, H. Anticancer effects of carvone in myeloma cells is mediated through the inhibition of p38 MAPK signalling pathway, apoptosis induction and inhibition of cell invasion. JBUON 2018, 23, 747–751. [Google Scholar] [PubMed]
- Sabir, S.M.; Singh, D.; Rocha, J.B.T. In vitro antioxidant activity of S-carvone isolated from Zanthoxylum alatum. Pharm. Chem. J. 2015, 49, 187–191. [Google Scholar] [CrossRef]
- Wojtunik-Kulesza, K.A.; Targowska-Duda, K.; Klimek, K.; Ginalska, G.; Joźwiak, K.; Waksmundzka-Hajnos, M.; Cieśla, Ł. Volatile terpenoids as potential drug leeds in Alzheimer’s disease. Open Chem. 2017, 15, 332–343. [Google Scholar] [CrossRef]
- Kumaran, R.S.; Mehta, G. A versatile, RCM based approach to eudesmane and dihydroagarofuran sesquiterpenoids from (−)-carvone: A formal synthesis of (−)-isocelorbicol. Tetrahedron 2015, 71, 1718–1731. [Google Scholar] [CrossRef]
- De Faria, M.L.; Magalhaes, R.D.A.; Silva, F.C.; Luiz, G.D.O.; Ceschi, M.A.; Brocksom, U.; Brocksom, T.J. Enantiodivergent syntheses of cycloheptenone intermediates for guaiane sesquiterpenes. Tetrahedron 2000, 11, 4093–4103. [Google Scholar] [CrossRef]
- Abad, A.; Agullo, C.; Cunat, A.C.; Garcıa, A.B.; Gimenez-Saiz, C. Synthetic studies on the preparation of oxygenated spongiane diterpenes from carvone. Tetrahedron 2003, 59, 9523–9536. [Google Scholar] [CrossRef]
- Honda, T.; Ishikawa, F. Enantiospecific synthesis of (+)-nemorensic acid, a necic acid component of the macropyrrolizidine alkaloid, nemorensine. J. Org. Chem. 1999, 64, 5542–5546. [Google Scholar] [CrossRef] [PubMed]
- Eggen, M.J.; Georg, G.I. The cryptophycins: their synthesis and anticancer activity. Med. Res. Rev. 2002, 71, 1718–1731. [Google Scholar] [CrossRef] [PubMed]
- Hamada, H.; Yasumune, H.; Fuchikami, Y.; Hirata, T.; Sattler, I.; Williams, H.J.; Scott, J. Biotransformation of geraniol, nerol and (+)- and (−)-carvone by suspension cultured cells of Catharanthus roseus. Phytochemistry 1997, 44, 615–621. [Google Scholar] [CrossRef]
- Hirata, T.; Hamada, H.; Aoki, T.; Suga, T. Stereoselectivity of the reduction of carvone and dihydrocarvone by suspension cells of Nicotiana tabacum. Phytochemistry 1982, 21, 2209–2212. [Google Scholar] [CrossRef]
- Machado, L.L.; Souza, J.S.N.; de Mattos, M.C.; Sakata, S.K.; Cordell, G.A.; Lemos, T.L.G. Bioreduction of aldehydes and ketones using Manihot species. Phytochemistry 2006, 67, 1637–1643. [Google Scholar] [CrossRef] [PubMed]
- Assuncao, J.C.C.; Machado, L.L.; Lemos, T.L.G.; Cordell, G.A.; Monte, F.J.Q. Sugar cane juice for the bioreduction of carbonyl compounds. J. Mol. Catal. B Enzym. 2008, 52–53, 194–198. [Google Scholar] [CrossRef]
- Fonseca, A.M.; Monte, F.J.Q.; de Oliveira, M.C.F.; de Mattos, M.C.; Cordell, G.A.; Braz-Filho, R.; Lemos, T.L.G. Coconut water (Cocos nucifera L.)—A new biocatalyst system for organic synthesis. J. Mol. Catal. B Enzym. 2009, 57, 78–82. [Google Scholar] [CrossRef]
- Mączka, W.K.; Mironowicz, A. Enantioselective reduction of bromo- and methoxy-acetophenone derivatives using carrot and celeriac enzymatic system. Tetrahedron 2004, 15, 1965–1967. [Google Scholar] [CrossRef]
- Liu, X.; Pan, Z.G.; Xu, J.H.; Li, H.X. Enantioselective reduction of acetophenone analogues using carrot and celeriac enzymes system. Chin. Chem. Lett. 2010, 21, 305–308. [Google Scholar] [CrossRef]
- Mączka, W.K.; Grabarczyk, M.; Wińska, K.; Anioł, M. Plant-mediated stereoselective biotransformation of phenylglyoxylic acid esters. Z. Naturforsch. 2014, 69, 309–316. [Google Scholar] [CrossRef]
- Mironowicz, A. Biotransformations of racemic acetates by potato and topinambur tubers. Phytochemistry 1998, 47, 1531–1534. [Google Scholar] [CrossRef]
- Iqbal, N.; Rudroff, F.; Brig, A.; van Beeumen, J.; Mihovilovic, M.D. Asymmetric bioreduction of activated carbonecarbon double bonds using Shewanella yellow enzyme (SYE-4) as novel enoate reductase. Tetrahedron 2012, 68, 7619–7623. [Google Scholar] [CrossRef] [PubMed]
- Kim, G.-S.; Park, S.-H.; Chang, Y.-J.; Lim, Y.-H.; Kim, S.-U. Transformation of menthane monoterpenes by Mentha piperita cell culture. Biotechnol. Lett. 2002, 24, 1553–1556. [Google Scholar] [CrossRef]
- Shimoda, K.; Hirata, T. Biotransformation of enones with biocatalysts—Two enone reductases from Astasia longa. J. Mol. Catal. B Enzym. 2000, 8, 255–264. [Google Scholar] [CrossRef]
- Yadav, J.S.; Reddy, G.S.K.K.; Sabitha, G.; Krishna, A.D.; Prasad, A.R.; Rahaman, H.; Rao, K.V.; Rao, A.B. Daucus carota and baker’s yeast mediated bio-reduction of prochiral ketones. Tetrahedron 2007, 18, 717–723. [Google Scholar] [CrossRef]
- Magallanes-Noguera, C.; Cecati, F.M.; Mascotti, M.L.; Reta, G.F.; Agostini, E.; Orden, A.A.; Kurina-Sanz, M. Plant tissue cultures as sources of new ene- and ketoreductase activities. J. Biotechnol. 2017, 251, 14–20. [Google Scholar] [CrossRef] [PubMed]
- Winkler, C.K.; Clay, D.; van Heerden, E.; Faber, K. Overcoming co-product inhibition in the nicotinamide independent asymmetric bioreduction of activated C=C- bonds using flavin-dependent ene-reductases, Biotechnol. Bioeng. 2013, 110, 3085–3092. [Google Scholar] [CrossRef]
- Maestro, M.A.; Casledo, L.; Mourino, A. A convergent approach to the dihydrotachysteroldiene system. Application to the synthesis of dihydrotachysterol (DHT2), 25-hydroxydihydrotachysterol (25-OH-DHT), 10(R),19-dihydro-(5E)-3-epivitamin D2, and 25-hydroxy-10(R),19-dihydro-(5E)-3-epivitamin D2. J. Org. Chem. 1992, 57, 5208–5213. [Google Scholar] [CrossRef]









| Biocatalyst | Part of Plant | pH |
|---|---|---|
| Daucus carota L. (carrot) | root | 6.5 |
| Petroselinum sativum Hoffm: (parsley) | root | 6.5 |
| Apium graveolens L. var. rapaceum (celeriac) | root | 6.2 |
| Solanum tuberosum L. (potato) | tuber | 5.9 |
| Beta vulgaris L. (beetroot) | root | 5.9 |
| Malus pumila L.(apple) | fruit | 4.5 |
| Pyrus communis L.(pear) | fruit | 4.5 |
| Biocatalyst | Substrate (%) | Products (%) | ||
|---|---|---|---|---|
| (2) + (3) | de | (4) | ||
| Daucus carota L. (carrot) | 82.0 | 17 + 0.0 | 100 | 0.7 |
| Apium graveolens L. var. rapaceum (celeriac) | 27.9 | 47.4 + 1.3 | 94 | 23.4 |
| Petroselinum sativum Hoffm: (parsley) | 87.1 | 8.9 + 0.4 | 92 | 3.6 |
| Solanum tuberosum L. (potato) | 0.3 | 82.5 + 3.6 | 92 | 13.6 |
| Beta vulgaris L. (beetroot) | 74.5 | 24 + 0.8 | 94 | 0.7 |
| Malus pumila L.(apple) “Golden” | 91.0 | 5.3 + 0.0 | 100 | 3.7 |
| Malus pumila L.(apple) “Kortland” | 96.3 | 1.9 + 0.0 | 100 | 1.8 |
| Pyrus communis L.(pear) “Konferencja” | 49.3 | 49.2 + 0.8 | 97 | 0.7 |
| Biocatalyst | Substrate (%) | Product (%) |
|---|---|---|
| Daucus carota L. (carrot) | 27.9 | 72.1 |
| Apium graveolens L. var. rapaceum (celeriac) | 53.0 | 47.0 |
| Petroselinum sativum Hoffm: (parsley) | 58.6 | 41.4 |
| Solanum tuberosum L. (potato) | 74.7 | 25.3 |
| Beta vulgaris L. (beetroot) | 94.1 | 5.9 |
| Malus pumila L.(apple) “Golden” | 87.4 | 12.3 |
| Malus pumila L.(apple) “Kortland” | 93.8 | 6.2 |
| Pyrus communis L.(pear) “Konferencja” | 61.2 | 38.8 |
| Biocatalyst | Substrate (%) | Products (%) | |||
|---|---|---|---|---|---|
| (7) + (8) | de | (9) + (10) | de | ||
| Daucus carota L. (carrot) | 92 | 7 + 0 | 100 | 0 + 1 | 100 |
| Apium graveolens L. var. rapaceum (celeriac) | 81.6 | 16.6 + 0 | 100 | 0 + 1.8 | 100 |
| Petroselinum sativum Hoffm: (parsley) | 84.5 | 5.2 + 0 | 100 | 9.1 + 1.6 | 70 |
| Solanum tuberosum L. (potato) | 0 | 78.8 + 12.5 | 82 | 3.7 + 5 | 15 |
| Beta vulgaris L. (beetroot) | 79.6 | 19.1 + 0 | 100 | 0 + 1.3 | 100 |
| Malus pumila L.(apple) “Golden” | 91.4 | 7.4 + 0 | 100 | 0 + 1.2 | 100 |
| Malus pumila L.(apple) “Kortland” | 58.6 | 38.4 + 0 | 100 | 0 + 1.8 | 100 |
| Pyrus communis L.(pear) “Konferencja” | 61.2 | 37.5 + 0 | 100 | 0 + 1.3 | 100 |
© 2018 by the authors. Licensee MDPI, Basel, Switzerland. This article is an open access article distributed under the terms and conditions of the Creative Commons Attribution (CC BY) license (http://creativecommons.org/licenses/by/4.0/).
Share and Cite
Mączka, W.; Sołtysik, D.; Wińska, K.; Grabarczyk, M.; Szumny, A. Plant-Mediated Biotransformations of S(+)- and R(–)-Carvones. Appl. Sci. 2018, 8, 2605. https://doi.org/10.3390/app8122605
Mączka W, Sołtysik D, Wińska K, Grabarczyk M, Szumny A. Plant-Mediated Biotransformations of S(+)- and R(–)-Carvones. Applied Sciences. 2018; 8(12):2605. https://doi.org/10.3390/app8122605
Chicago/Turabian StyleMączka, Wanda, Daria Sołtysik, Katarzyna Wińska, Małgorzata Grabarczyk, and Antoni Szumny. 2018. "Plant-Mediated Biotransformations of S(+)- and R(–)-Carvones" Applied Sciences 8, no. 12: 2605. https://doi.org/10.3390/app8122605
APA StyleMączka, W., Sołtysik, D., Wińska, K., Grabarczyk, M., & Szumny, A. (2018). Plant-Mediated Biotransformations of S(+)- and R(–)-Carvones. Applied Sciences, 8(12), 2605. https://doi.org/10.3390/app8122605

