Methodology for Optical Engine Characterization by Means of the Combination of Experimental and Modeling Techniques
Abstract
1. Introduction
2. Tools and Methods
2.1. Cell Test
2.2. Optical Engine
2.3. Engine Operating Conditions and Test Matrix
2.4. Mechanical Deformations Measurements
2.5. Theoretical Tools
2.5.1. 0D Thermodynamic Model
- Chamber pressure and temperature are assumed to be spatially uniform.
- Three species are considered: air, fuel vapor, and stoichiometric combustion products.
- The chamber volume deformation due to pressure and inertia is calculated by means of a simple deformation model [20]. However, for this study, the chamber volume deformation was measured and imposed in the model.
- The specific heat of the gas depends on both the temperature and composition [21].
- Heat transfer is calculated with the modified Woschni-like model [22], where the convective heat transfer is calculated using Equation (1), simplified for a motored condition:
- Finally, a filling and emptying model is normally used to calculate the trapped mass at IVC (mc) in the original methodology, however, for this study, the trapped mass was calculated by a GT-Power model.
2.5.2. GT-Power Model
2.5.3. Blow-By Measurement
3. Results and Discussion
3.1. Mechanical Deformations Due to Gas Pressures
3.2. Trapped Mass Estimation
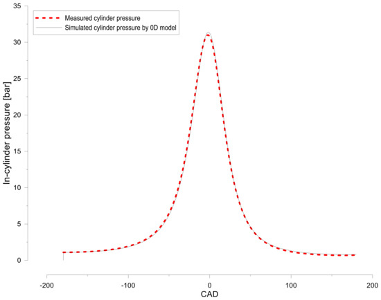
3.3. 0D Thermodynamic Analysis
4. Conclusions
- Mechanical deformations were measured at 1.1 and 2.7 bar of intake pressure with 31 and 80 bar of TDC cylinder pressure, respectively. The deformation for the low intake pressure was insignificant, less than 0.05 mm. On the other hand, for the highest intake pressure, the deformation was 0.5 mm.
- From the deformation results, it was possible to obtain a mechanical deformation coefficient Kdef, whose value was 2.25.
- The impact of mechanical deformation on the instantaneous volume trace was investigated by including the mechanical deformation in the volume expression. The difference between the minimum volume calculation with and without deformation was 8% at 2.7 bar of intake pressure.
- Residuals in the heat release rate calculation were investigated by a comparison of HRR trace calculated from a normal in-cylinder volume equation and another one that considered the volume change caused by the deformations. The results showed that the adjusted volume expression provided a more accurate shape to the HRR trace.
- Uncertain parameters were adjusted considering the minimum residual in the HRR that means to obtain more reliable values to these parameters as well as to the gas properties. The effective compression ratio CR was 13.66 and the heat transfer coefficient CW1 was 4.8.
Author Contributions
Funding
Acknowledgments
Conflicts of Interest
Nomenclature
| CR | Compression ratio |
| PIV | Particle Image Velocimetry |
| RoHR | Rate of Heat Release |
| TDC | Top Dead Center |
| BDC | Before Top Dead Center |
| IVC | Inlet valve closing |
| EVO | Exhaust valve opening |
| D | Cylinder diameter |
| cu | Tangential velocity of the gas chamber |
| cm | Mean piston speed |
| Kdef | Mechanical deformation constant |
| ∆Vp | Volume variation due to in-cylinder pressure |
| ma | Fresh air mass |
| mres | Residual mass |
| air | Mass flow rate |
| mc | Trapped mass |
| cv,c | Specific heat of the gas |
| T | In-cylinder temperature |
| Q | Heat transferred to the walls |
| p | In-cylinder pressure |
| V | Instantaneous in-cylinder volume |
| Rc | Gas constant |
| mbb | Blow-by mass |
| CW1 | Woschni coefficient 1 |
| CW2 | Woschni coefficient 2 |
| VCC | Combustion chamber volume |
| Vd,int | Volume displaced by the piston |
| ∆Vdef | Volume changes by mechanical Deformations. |
| mSC | Short circuit mass |
| TPA | Three pressure analysis |
References
- El-Adawy, M.; Heikal, M.R.; Rashid, A.; Aziz, A.; Siddiqui, M.I.; Abdul Wahhab, H.A. Experimental study on an IC engine in-cylinder flow using different steady-state flow benches. Alex. Eng. J. 2017, 56, 727–736. [Google Scholar] [CrossRef]
- Seo, J.; Kim, H.; Park, S. Estimation of CO2 emissions from heavy-duty vehicles in Korea and potential for reduction based on scenario analysis. Sci. Total. Environ. 2018, 636, 1192–1201. [Google Scholar] [CrossRef] [PubMed]
- Tixeira, A.C.; Sodré, J.R. Impacts of replacement of engine powered vehicles by electric vehicles on energy consumption and CO2 emissions. Transp. Res. Part D 2018, 59, 375–384. [Google Scholar] [CrossRef]
- Colban, W.; Ekoto, I.; Kim, D.; Miles, P.C. In-cylinder PIV measurements in an Optical Light-Duty Diesel at LTC conditions. In Proceedings of the THIESEL, Valencia, Spain, 9–12 September 2008. [Google Scholar]
- Wang, Z.; Tanov, S.; Wang, H.; Richter, M. High-Speed Particle Image Velocimetry Measurement of Partially Premixed Combustion (PPC) in a Light Duty Engine for a Different Injection Strategies; SAE Technical Paper; SAE International: Warrendale, PA, USA, 2015. [Google Scholar]
- Liu, H.; Tang, Q.; Yang, Z. A comparative study on partially premixed combustion (PPC) and reactivity controlled compression ignition (RCCI) in an optical engine. Proc. Combust. Inst. 2018, in press. [Google Scholar] [CrossRef]
- Liu, J.; Dumitrescu, C.E. Flame development analysis in a diesel optical engine converted to spark ignition natural gas operation. Appl. Energy 2018, 230, 1205–1217. [Google Scholar] [CrossRef]
- Irimescu, A.; Merola, S.S.; Di Iorio, S.; Vaglieco, B.M. Investigation on the effects of butanol and ethanol fueling on combustion and PM emissions in an optically accessible DISI engine. Fuel 2018, 216, 121–141. [Google Scholar] [CrossRef]
- Tanov, S.; Pachano, L.; Andersson, Ö.; Wang, Z.; Richter, M.; Pastor, J.V.; García-Oliver, J.M.; García, A. Influence of spatial and temporal distribution of turbulent kinetic energy on heat transfer coefficient in a light duty CI engine operating with partially premixed combustion. Appl. Therm. Eng. 2018, 129, 31–40. [Google Scholar]
- Garcia-Oliver, J.M.; Garcia, A.; Novella, R.; Morales López, A. An Investigation of the Engine Combustion Network ‘Spray B’ in a Light Duty Single Cylinder Optical Engine; SAE Technical Paper; SAE International: Warrendale, PA, USA, 2018. [Google Scholar]
- Aronsson, U. Processes in Optical Diesel Engines: Emissions Formations and Heat Release. Ph.D. Thesis, Lund University, Lund, Sweden, 2011. [Google Scholar]
- Irimescu, A.; Marchitto, L.; Merola, S.S.; Tornatore, C.; Valentino, G. Evaluation of different methods for combined thermodynamic and optical analysis of combustion in spark ignition engines. Energy Convers. Manag. 2014, 87, 914–927. [Google Scholar] [CrossRef]
- Benajes, J.; Olmeda, P.; Martín, J.; Carreño, R. A new methodology for uncertainties characterization in combustion diagnosis and thermodynamic modelling. Appl. Therm. Eng. 2014, 71, 389–399. [Google Scholar] [CrossRef]
- Lapuerta, M.; Armas, O.; Bermúdez, V. Sensitivity of diesel engine thermodynamic cycle calculation to measurement errors and estimated parameters. Appl. Therm. Eng. 2000, 20, 843–861. [Google Scholar] [CrossRef]
- Payri, F.; Molina, S.; Martín, J.; Armas, O. Influence of measurement errors and estimated parameters on combustion diagnosis. Appl. Therm. Eng. 2006, 26, 226–236. [Google Scholar] [CrossRef]
- Garcia-Oliver, J.M.; Garcia, A.; Gil, A.; Pachano, L. Study of air flow interaction with pilot injections in a Diesel Engine by means of PIV measurements. In SAE International Journal of Engines; SAE International: Warrendale, PA, USA, 2017. [Google Scholar]
- Aronsson, U.; Solaka, H.; Charter, C.; Andersson, O. Impact of Mechanical Deformation Due to Pressure, Mass and Thermal Forces on the In-Cylinder Volume Trace in Optical Engines of Bowditch Design; SAE Technical Paper; SAE International: Warrendale, PA, USA, 2011. [Google Scholar]
- Aronsson, U.; Solaka, H.; Lequien, G.; Andersson, O.; Johansson, B. Analysis of Errors in Heat Release Calculations Due to Distortion of the In-Cylinder Volume Trace from Mechanical Deformation in Optical Diesel Engines. SAE Int. J. Engines 2012, 5, 1561–1570. [Google Scholar] [CrossRef]
- Thielicke, W.; Stamhuis, E.J. PIVlab—Towards User-friendly, Affordable and Accurate Digital Particle Image Velocimetry in MATLAB. J. Open Res. Softw. 2014, 2, e30. [Google Scholar] [CrossRef]
- Payri, F.; Olmeda, P.; Martín, J.; García, A. A complete 0D thermodynamic predictive model for direct injection diesel engines. Appl. Energy 2011, 88, 4632–4641. [Google Scholar] [CrossRef]
- Lapuerta, M.; Armas, O.; Hernandez, J.J. Diagnosis of DI diesel combustion from in-cylinder pressure signal by estimation of mean thermodynamic properties of the gas. Appl. Therm. Eng. 1999, 19, 513–529. [Google Scholar] [CrossRef]
- Payri, F.; Margot, X.; Gil, A.; Martín, J. Computational Study of Heat Transfer to the Walls of a DI Diesel Engine; SAE Technical Paper; SAE International: Warrendale, PA, USA, 2005. [Google Scholar]
- GT-Suite. Engine Performance Application Manual; Gamma Technologies: Westmont, IL, USA, 2016. [Google Scholar]
- Busch, S.; Zha, K.; Kurtz, E.; Warey, A. Experimental and Numerical Studies of Bowl Geometry Impacts on Thermal Efficiency in a Light-Duty Diesel Engine; SAE Technical Paper; SAE International: Warrendale, PA, USA, 2018. [Google Scholar]
- Zha, K.; Busch, S.; Miles, P.; Wijeyakulasuriya, S.; Mitra, S.; Senecal, P.K. Characterization of flow asymmetry during the compression stroke using swirl-plane PIV in a light-duty optical diesel engine with the re-entrant piston bowl geometry. SAE Int. J. Engines 2015, 84, 1837–1855. [Google Scholar] [CrossRef]
















| Variable | Device | Manufacturer/Model | Accuracy |
|---|---|---|---|
| In-cylinder pressure | Piezoelectric transducer | AVL/GH13P | ±1.25 bar |
| Intake/exhaust pressure | Piezorresistive transducers | Kistler/4603B10 | ±25 mbar |
| Temperature in settling chambers and manifolds | Thermocouple | TC direct/type K | ±2.5 °C |
| Crank angle, engine speed | Encoder | AVL/364 | ±0.02 CAD |
| Air mass flow | Air flow meter | Sensyflow/FTM700-P | <±1% |
| Engine Type | 4 Stroke, Direct Injection |
|---|---|
| Number of cylinders [-] | 1 |
| Number of Valves [-] | 4 |
| Bore [mm] | 80 |
| Stroke [mm] | 80.1 |
| Compression ratio [-] | 13.7:1 |
| Bowl Type | Re-entrant |
| Displacement [l] | 0.402 |
| Intake Pressure [bar] | 1.1 | 1.5 | 1.9 | 2.1 | 2.7 |
|---|---|---|---|---|---|
| Exhaust Pressure [bar] | 1.3 | 1.7 | 2.1 | 2.5 | 2.9 |
| Engine speed [rpm] | 1200 | 1200 | 1200 | 1200 | 1200 |
| Intake temperature [°C] | 50 | 50 | 50 | 50 | 50 |
| Cooling water temperature [°C] | 15–25 | 15–25 | 15–25 | 15–25 | 15–25 |
| Oil temperature [°C] | 50 | 50 | 50 | 50 | 50 |
| Intake Pressure [bar] | Trapped Mass [g] |
|---|---|
| 1.1 | 0.479 |
| 1.5 | 0.644 |
| 1.9 | 0.825 |
| 2.1 | 1.009 |
| 2.7 | 1.198 |
| Engine | CW1 | Kdef | CR |
|---|---|---|---|
| Optical | 4.8 | 2.25 | 13.66 |
| Metal | 1.71 | 2.17 | 16.06 |
© 2018 by the authors. Licensee MDPI, Basel, Switzerland. This article is an open access article distributed under the terms and conditions of the Creative Commons Attribution (CC BY) license (http://creativecommons.org/licenses/by/4.0/).
Share and Cite
Pastor, J.V.; Olmeda, P.; Martín, J.; Lewiski, F. Methodology for Optical Engine Characterization by Means of the Combination of Experimental and Modeling Techniques. Appl. Sci. 2018, 8, 2571. https://doi.org/10.3390/app8122571
Pastor JV, Olmeda P, Martín J, Lewiski F. Methodology for Optical Engine Characterization by Means of the Combination of Experimental and Modeling Techniques. Applied Sciences. 2018; 8(12):2571. https://doi.org/10.3390/app8122571
Chicago/Turabian StylePastor, José V., Pablo Olmeda, Jaime Martín, and Felipe Lewiski. 2018. "Methodology for Optical Engine Characterization by Means of the Combination of Experimental and Modeling Techniques" Applied Sciences 8, no. 12: 2571. https://doi.org/10.3390/app8122571
APA StylePastor, J. V., Olmeda, P., Martín, J., & Lewiski, F. (2018). Methodology for Optical Engine Characterization by Means of the Combination of Experimental and Modeling Techniques. Applied Sciences, 8(12), 2571. https://doi.org/10.3390/app8122571

