Magnetohydrodynamic Nanofluid Natural Convection in a Cavity under Thermal Radiation and Shape Factor of Nanoparticles Impacts: A Numerical Study Using CVFEM
Abstract
:1. Introduction
2. Problem Description
3. Numerical Solution and Validation
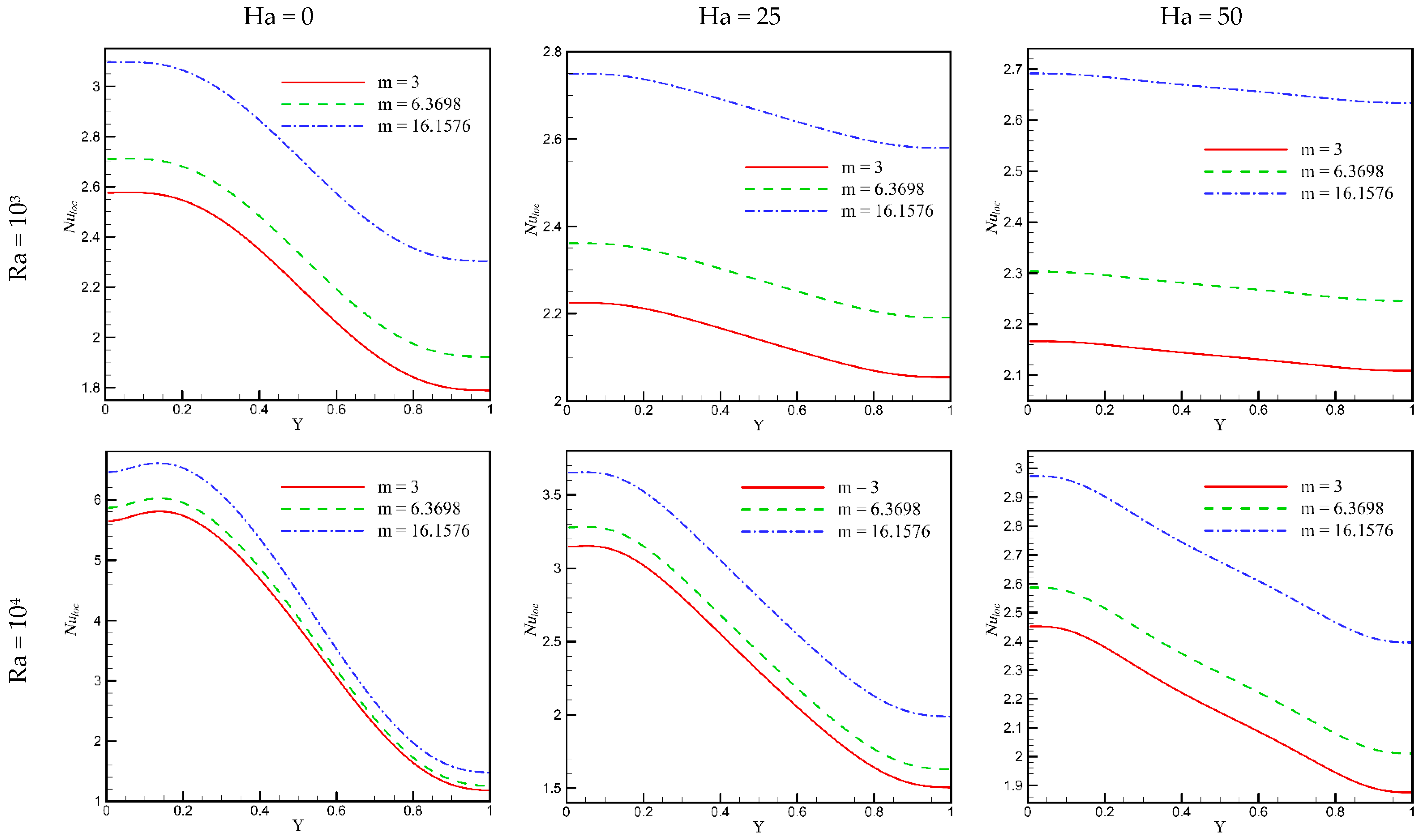
4. Results and Discussion
5. Conclusions
Author Contributions
Funding
Conflicts of Interest
Nomenclature
| Ha | Hartmann number | Greek symbols | |
| Pr | Prandtl number | β | Thermal expansion coefficient (K−1) |
| B0 | Strength of magnetic field | ρ | Density (kg m−3) |
| C | Specific heat (J kg−1 K−1) | μ | Dynamic viscosity (kg m−1 s−1) |
| T | Temperature (K) | ν | Kinematic viscosity (m2 s−1) |
| Nuloc. | Local Nusselt number | σ | Electrical conductivity (Ω−1 m−1) |
| Nuave. | Average Nusselt number | ϕ | Nanoparticles volume fraction |
| k | Thermal conductivity (W m−1 K−1) | σ* | Stefan–Boltzmann constant |
| u, v | Velocity components in x and y directions, respectively (m s−1) | ||
| Ra | Rayleigh number | Subscripts | |
| m | Shape factor of nanoparticles | f | Base fluid |
| qrad. | Radiative heat flux | nf | Nanofluid |
| N | Radiation parameter | s | Solid nanoparticles |
| p | Pressure term | ||
| Mean absorption coefficient | |||
References
- Bhatti, M.M.; Rashidi, M.M. Numerical simulation of entropy generation on MHD nanofluid towards a stagnation point flow over a stretching surface. Int. J. Appl. Comput. Math. 2017, 3, 2275–2289. [Google Scholar] [CrossRef]
- Bhatti, M.M.; Abbas, T.; Rashidi, M.M. Entropy generation as a practical tool of optimisation for non-Newtonian nanofluid flow through a permeable stretching surface using SLM. J. Comput. Des. Eng. 2017, 4, 21–28. [Google Scholar] [CrossRef]
- Abbas, T.; Hayat, T.; Ayub, M.; Bhatti, M.M.; Alsaedi, A. Electromagnetohydrodynamic nanofluid flow past a porous Riga plate containing gyrotactic microorganism. Neural Comput. Appl. 2017. [Google Scholar] [CrossRef]
- Zeeshan, A.; Shehzad, N.; Ellahi, R.; Sultan Alamri, Z. Convective Poiseuille flow of Al2O3-EG nanofluid in a porous wavy channel with thermal radiation. Neural Comput. Appl. 2017. [Google Scholar] [CrossRef]
- Dogonchi, A.S.; Alizadeh, M.; Ganji, D.D. Investigation of MHD Go-water nanofluid flow and heat transfer in a porous channel in the presence of thermal radiation effect. Adv. Powder Technol. 2017, 28, 1815–1825. [Google Scholar] [CrossRef]
- Dogonchi, A.S.; Ganji, D.D. Analytical Solution and heat transfer of two-phase nanofluid flow between Non-parallel walls considering Joule heating effect. Powder Technol. 2017, 318, 390–400. [Google Scholar] [CrossRef]
- Dogonchi, A.S.; Divsalar, K.; Ganji, D.D. Flow and heat transfer of MHD nanofluid between parallel plates in the presence of thermal radiation. Comput. Methods Appl. Mech. Eng. 2016, 310, 58–76. [Google Scholar] [CrossRef]
- Waqas, M.; Hayat, T.; Alsaedi, A. A theoretical analysis of SWCNT–MWCNT and H2O nanofluids considering Darcy–Forchheimer relation. Appl. Nanosci. 2018. [Google Scholar] [CrossRef]
- Hayat, T.; Sajjad, R.; Alsaedi, A.; Muhammad, T.; Ellahi, R. On squeezed flow of couple stress nanofluid between two parallel plates. Results Phys. 2017, 7, 553–561. [Google Scholar] [CrossRef]
- Ellahi, R.; Hassan, M.; Zeeshan, A.; Khan, A.A. The shape effects of nanoparticles suspended in HFE-7100 over wedge with entropy generation and mixed convection. Appl. Nanosci. 2016, 6, 641–651. [Google Scholar] [CrossRef]
- Dogonchi, A.S.; Chamkha, A.J.; Seyyedi, S.M.; Ganji, D.D. Radiative nanofluid flow and heat transfer between parallel disks with penetrable and stretchable walls considering Cattaneo–Christov heat flux model. Heat Transf. Asian Res. 2018, 47, 735–753. [Google Scholar] [CrossRef]
- Bhatti, M.M.; Zeeshan, A.; Ellahi, R. Endoscope analysis on peristaltic blood flow of Sisko fluid with Titanium magneto-nanoparticles. Comput. Biol. Med. 2016, 78, 29–41. [Google Scholar] [CrossRef] [PubMed]
- Dogonchi, A.S.; Ganji, D.D. Effects of Cattaneo-Christov heat flux on buoyancy MHD nanofluid flow and heat transfer over a stretching sheet in the presence of Joule heating and thermal radiation impacts. Indian J. Phys. 2018, 92, 757–766. [Google Scholar] [CrossRef]
- Ellahi, R.; Tariq, M.H.; Hassan, M.; Vafai, K. On boundary layer nano-ferroliquid flow under the influence of low oscillating stretchable rotating disk. J. Mol. Liq. 2017, 229, 339–345. [Google Scholar] [CrossRef]
- Alizadeh, M.; Dogonchi, A.S.; Ganji, D.D. Micropolar nanofluid flow and heat transfer between penetrable walls in the presence of thermal radiation and magnetic field. Case Stud. Therm. Eng. 2018, 12, 319–332. [Google Scholar] [CrossRef]
- Rashidi, M.M.; Ganesh, N.V.; Hakeem, A.A.; Ganga, B. Buoyancy effect on MHD flow of nanofluid over a stretching sheet in the presence of thermal radiation. J. Mol. Liq. 2014, 198, 234–238. [Google Scholar] [CrossRef]
- Dogonchi, A.S.; Ganji, D.D. Study of nanofluid flow and heat transfer between non-parallel stretching walls considering Brownian motion. J. Taiwan Inst. Chem. Eng. 2016, 69, 1–3. [Google Scholar] [CrossRef]
- Dogonchi, A.S.; Ganji, D.D.; Makinde, O.D. Impact of Stretching and Penetration of Walls on Nanofluid Flow and Heat Transfer in a Rotating System. Defect Diffus. Forum 2018, 387, 37–50. [Google Scholar] [CrossRef]
- Ghalambaz, M.; Doostani, A.; Izadpanahi, E.; Chamkha, A.J. Phase-change heat transfer in a cavity heated from below: The effect of utilizing single or hybrid nanoparticles as additives. J. Taiwan Inst. Chem. Eng. 2017, 72, 104–115. [Google Scholar] [CrossRef]
- Dogonchi, A.S.; Ganji, D.D. Thermal radiation effect on the nano-fluid buoyancy flow and heat transfer over a stretching sheet considering Brownian motion. J. Mol. Liq. 2016, 223, 521–527. [Google Scholar] [CrossRef]
- Dogonchi, A.S.; Ganji, D.D. Investigation of MHD nanofluid flow and heat transfer in a stretching/shrinking convergent/divergent channel considering thermal radiation. J. Mol. Liq. 2016, 220, 592–603. [Google Scholar] [CrossRef]
- Rashidi, M.M.; Nasiri, M.; Shadloo, M.S.; Yang, Z. Entropy Generation in a Circular Tube Heat Exchanger Using Nanofluids: Effects of Different Modeling Approaches. Heat Transf. Eng. 2017, 38, 853–866. [Google Scholar] [CrossRef]
- Dogonchi, A.S. Hashim, Heat transfer by natural convection of Fe3O4-water nanofluid in an annulus between a wavy circular cylinder and a rhombus. Int. J. Heat Mass Transf. 2019, 130, 320–332. [Google Scholar] [CrossRef]
- Dogonchi, A.S.; Ganji, D.D. Impact of Cattaneo–Christov heat flux on MHD nanofluid flow and heat transfer between parallel plates considering thermal radiation effect. J. Taiwan Inst. Chem. Eng. 2017. [Google Scholar] [CrossRef]
- Sheremet, M.A.; Cimpean, D.S.; Pop, I. Free convection in a partially heated wavy porous cavity filled with a nanofluid under the effects of Brownian diffusion and thermophoresis. Appl. Therm. Eng. 2017, 113, 413–418. [Google Scholar] [CrossRef]
- Sheremet, M.A.; Revnic, C.; Pop, I. Free convection in a porous wavy cavity filled with a nanofluid using Buongiorno’s mathematical model with thermal dispersion effect. Appl. Math. Comput. 2017, 299, 1–15. [Google Scholar] [CrossRef]
- Sheremet, M.A.; Grosan, T.; Pop, I. Natural convection and entropy generation in a square cavity with variable temperature side walls filled with a nanofluid: Buongiorno’s mathematical model. Entropy 2017, 19, 337. [Google Scholar] [CrossRef]
- Mahmoudinezhad, S.; Rezania, A.; Yousefi, T.; Shadloo, M.S.; Rosendahl, L.A. Adiabatic partition effect on natural convection heat transfer inside a square cavity: Experimental and numerical studies. Heat Mass Transf. 2018, 54, 291. [Google Scholar] [CrossRef]
- Dogonchi, A.S.; Ismael, M.; Chamkha, A.J.; Ganji, D.D. Numerical analysis of natural convection of Cu-water nanofluid filling triangular cavity with semi-circular bottom wall. J. Therm. Anal. Calorim. 2018. [Google Scholar] [CrossRef]
- Sheremet, M.A.; Grosan, T.; Pop, I. Free convection in a square cavity filled with a porous medium saturated by nanofluid using Tiwari and Das’ nanofluid model. Transp. Porous Med. 2015, 106, 595–610. [Google Scholar] [CrossRef]
- Seyyedi, S.M.; Sahebi, N.; Dogonchi, A.S.; Hashemi-Tilehnoee, M. Numerical and experimental analysis of a rectangular single-phase natural circulation loop with asymmetric heater position. Int. J. Heat Mass Transf. 2019, 130, 1343–1357. [Google Scholar] [CrossRef]
- Xu, X.; Chen, S. Cattaneo-Christov heat flux model for heat transfer of Marangoni boundary layer flow in a copper-water nanofluid. Heat Transf.-Asian Res. 2017. [Google Scholar] [CrossRef]
- Dogonchi, A.S.; Chamkha, A.J.; Ganji, D.D. A numerical investigation of magneto-hydrodynamic natural convection of Cu-water nanofluid in a wavy cavity using CVFEM. J. Therm. Anal. Calorim. 2018. [Google Scholar] [CrossRef]
- Dogonchi, A.S.; Sheremet, M.A.; Ganji, D.D.; Pop, I. Free convection of copper-water nanofluid in a porous gap between hot rectangular cylinder and cold circular cylinder. J. Therm. Anal. Calorim. 2018. [Google Scholar] [CrossRef]
- Dogonchi, A.S.; Sheremet, M.A.; Pop, I.; Ganji, D.D. MHD natural convection of Cu/H2O nanofluid in a horizontal semi-cylinder with a local triangular heater. Int. J. Numer. Methods Heat Fluid Flow 2018. [Google Scholar] [CrossRef]
- Dogonchi, A.S.; Selimefendigil, F.; Ganji, D.D. Magneto-hydrodynamic natural convection of CuO-water nanofluid in complex shaped enclosure considering various nanoparticle shapes. Int. J. Numer. Methods Heat Fluid Flow 2018. [Google Scholar] [CrossRef]
- Khanafer, K.; Vafai, K.; Lightstone, M. Buoyancy-driven heat transfer enhancement in a two dimensional enclosure utilizing nanofluids. Int. J. Heat Mass Transf. 2003, 46, 3639–3653. [Google Scholar] [CrossRef]
- De Vahl Davis, G. Natural convection of air in a square cavity, a benchmark numerical solution. Int. J. Numer. Methods Fluids 1962, 3, 249–264. [Google Scholar] [CrossRef]










| Particle Shapes | Sphere | Column | Lamina |
|---|---|---|---|
| m | 3 | 6.3698 | 16.1576 |
| Copper (Cu) | 8933 | 385 | 401 |
| Pure water | 997.1 | 4179 | 0.613 |
| Grid Dimension (X × Y) | Nuavg |
|---|---|
| 61 × 61 | 8.892393 |
| 81 × 81 | 8.848909 |
| 101 × 101 | 8.821577 |
| 121 × 121 | 8.802795 |
| 141 × 141 | 8.789614 |
| 161 × 161 | 8.784837 |
© 2018 by the authors. Licensee MDPI, Basel, Switzerland. This article is an open access article distributed under the terms and conditions of the Creative Commons Attribution (CC BY) license (http://creativecommons.org/licenses/by/4.0/).
Share and Cite
Chamkha, A.J.; Dogonchi, A.S.; Ganji, D.D. Magnetohydrodynamic Nanofluid Natural Convection in a Cavity under Thermal Radiation and Shape Factor of Nanoparticles Impacts: A Numerical Study Using CVFEM. Appl. Sci. 2018, 8, 2396. https://doi.org/10.3390/app8122396
Chamkha AJ, Dogonchi AS, Ganji DD. Magnetohydrodynamic Nanofluid Natural Convection in a Cavity under Thermal Radiation and Shape Factor of Nanoparticles Impacts: A Numerical Study Using CVFEM. Applied Sciences. 2018; 8(12):2396. https://doi.org/10.3390/app8122396
Chicago/Turabian StyleChamkha, Ali J., A.S. Dogonchi, and D.D. Ganji. 2018. "Magnetohydrodynamic Nanofluid Natural Convection in a Cavity under Thermal Radiation and Shape Factor of Nanoparticles Impacts: A Numerical Study Using CVFEM" Applied Sciences 8, no. 12: 2396. https://doi.org/10.3390/app8122396
APA StyleChamkha, A. J., Dogonchi, A. S., & Ganji, D. D. (2018). Magnetohydrodynamic Nanofluid Natural Convection in a Cavity under Thermal Radiation and Shape Factor of Nanoparticles Impacts: A Numerical Study Using CVFEM. Applied Sciences, 8(12), 2396. https://doi.org/10.3390/app8122396

