Removal of Methylene Blue from Aqueous Solution by Bone Char
Abstract
1. Introduction
2. Experimental
2.1. Preparation and Characterizations of Bone Char
2.2. Removal of Methylene Blue by Bone Char
2.3. Kinetic and Isotherm Models
2.3.1. Pseudo-Second-Order Kinetic Model
2.3.2. Intraparticle Diffusion Model
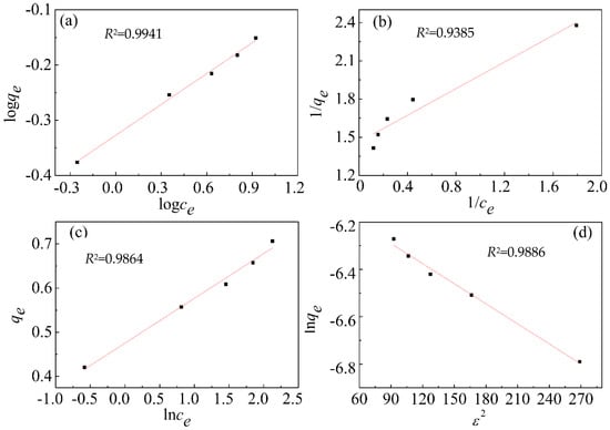
2.3.3. Adsorption Isotherm Models
2.4. Adsorption Thermodynamics
3. Results and Discussion
4. Conclusions
Author Contributions
Funding
Acknowledgments
Conflicts of Interest
References
- Wainwright, M.; Crossley, K. Methylene Blue-a therapeutic dye for all seasons? J. Chemother. 2002, 14, 431–443. [Google Scholar] [CrossRef] [PubMed]
- Lin, X.; Ni, Y.; Kokot, S. An electrochemical DNA-sensor developed with the use of methylene blue as a redox indicator for the detection of DNA damage induced by endocrine-disrupting compounds. Anal. Chim. Acta 2015, 867, 29–37. [Google Scholar] [CrossRef] [PubMed]
- Horváth, E.; Szilágyi, I.; Forró, L.; Magrez, A. Probing titanate nanowire surface acidity through methylene blue adsorption in colloidal suspension and on thin films. J. Colloid Interface Sci. 2014, 416, 190–197. [Google Scholar] [CrossRef] [PubMed]
- Wei, W.; Yang, L.; Zhong, W.H.; Li, S.Y.; Cui, J.; Wei, Z.G. Fast removal of methylene blue from aqueous solution by adsorption onto poorly crystalline hydroxyapatite nanoparticles. Dig. J. Nanomater. Biostruct. 2015, 19, 1343–1363. [Google Scholar]
- Rauf, M.A.; Meetani, M.A.; Khaleel, A.; Ahmed, A. Photocatalytic degradation of Methylene Blue using a mixed catalyst and product analysis by LC/MS. Chem. Eng. J. 2010, 157, 373–378. [Google Scholar] [CrossRef]
- Houas, A.; Lachheb, H.; Ksibi, M.; Elaloui, E.; Guillard, C.; Herrmann, J.M. Photocatalytic degradation pathway of methylene blue in water. Appl. Catal. B 2001, 31, 145–157. [Google Scholar] [CrossRef]
- Kadirova, Z.C.; Hojamberdiev, M.; Katsumata, K.; Isobe, T.; Matsushita, N.; Nakajima, A.; Sharipov, K.; Okada, K. Preparation of iron oxide-impregnated spherical granular activated carbon-carbon composite and its photocatalytic removal of methylene blue in the presence of oxalic acid. J. Environ. Sci. Health Pt. A Toxic/Hazard. Subst. Environ. Eng. 2014, 49, 763–769. [Google Scholar] [CrossRef] [PubMed]
- Yu, X.; Xiong, L.; Ma, G.; Liang, Y.; Liu, K. Preparation and performance research of Ce-TiO2/KL ball photocatalysts. J. Rare Earths 2014, 32, 849–854. [Google Scholar] [CrossRef]
- Machado, L.C.R.; Torchia, C.B.; Lago, R.M. Floating photocatalysts based on TiO2 supported on high surface area exfoliated vermiculite for water decontamination. Catal. Commun. 2006, 7, 538–541. [Google Scholar] [CrossRef]
- Srinivas, B.; Shubhamangala, B.; Lalitha, K.; Reddy, P.A.; Kumari, V.D.; Subrahmanyam, M.; De, B.R. Photocatalytic reduction of CO2 over Cu-TiO2/molecular sieve 5A composite. Photochem. Photobiol. 2011, 87, 995–1001. [Google Scholar] [CrossRef] [PubMed]
- Didaskalou, C.; Kupai, J.; Cseri, L.; Barabas, J.; Vass, E.; Holtzl, T.; Szekely, G. Membrane-grafted asymmetric organocatalyst for an integrated synthesis-separation platform. ACS Catal. 2018, 8, 7430–7438. [Google Scholar] [CrossRef]
- Fodi, T.; Didaskalou, C.; Kupai, J.; Balogh, G.T.; Huszthy, P.; Szekely, G. Nanofiltration-enabled in situ solvent and reagent recycle for sustainable continuous-flow synthesis. ChemSusChem 2017, 10, 3435–3444. [Google Scholar] [CrossRef] [PubMed]
- Didaskalou, C.; Buyuktiryaki, S.; Keçili, R.; Fonte, C.P.; Szekely, G. Valorisation of agricultural waste with adsorption/nanofiltration hybrid process: From materials to sustainable process design. Green Chem. 2017, 19, 3116–3125. [Google Scholar] [CrossRef]
- Likon, M.; Cernec, F.; Svegl, F.; Saarela, J.; Zimmie, T.F. Papermill industrial waste as a sustainable source for high efficiency absorbent production. Waste Manag. 2011, 31, 1350–1356. [Google Scholar] [CrossRef] [PubMed]
- Patel, S.; Han, J.; Qiu, W.; Gao, W. Synthesis and characterisation of mesoporous bone char obtained by pyrolysis of animal bones, for environmental application. J. Environ. Chem. Eng. 2015, 3, 2368–2377. [Google Scholar] [CrossRef]
- Ghanizadeh, G.; Asgari, G. Adsorption kinetics and isotherm of methylene blue and its removal from aqueous solution using bone charcoal. React. Kinet. Mech. Cat. 2011, 102, 127–142. [Google Scholar] [CrossRef]
- Rezaee, A.; Ghanizadeh, G.; Behzadiyannejad, G.; Yazdanbakhsh, A.; Siyadat, S. Adsorption of endotoxin from aqueous solution using bone char. Bull. Environ. Contam. Toxicol. 2009, 82, 732–737. [Google Scholar] [CrossRef] [PubMed]
- Iriarte-Velasco, U.; Sierra, I.; Cepeda, E.A.; Bravo, R.; Ayastuy, J.L. Methylene blue adsorption by chemically activated waste pork bones. Color. Technol. 2015, 131, 322–332. [Google Scholar] [CrossRef]
- Rojas-Mayorga, C.K.; Mendoza-Castillo, D.I.; Bonilla-Petriciolet, A.; Silvestre-Albero, J. Tailoring the adsorption behavior of bone char for heavy metal removal from aqueous solution. Adsorpt. Sci. Technol. 2016, 34, 368–387. [Google Scholar] [CrossRef]
- Razali, M.; Didaskalou, C.; Kim, J.F.; Babaei, M.; Drioli, E.; Lee, Y.M.; Szekely, G. Exploring and exploiting the effect of solvent treatment in membrane separations. ACS Appl. Mater. Interfaces 2017, 9, 11279–11289. [Google Scholar] [CrossRef] [PubMed]
- Jia, P.Q.; Tan, H.W.; Liu, K.R.; Gao, W. Adsorption behavior of methylene blue by bone char. Int. J. Mod. Phys. B 2017, 31, 1744099. [Google Scholar] [CrossRef]
- Han, J.; Qiu, W.; Gao, W. Potential dissolution and photo-dissolution of ZnO thin films. J. Hazard. Mater. 2010, 178, 115–122. [Google Scholar] [CrossRef] [PubMed]
- Allen, S.; Mckay, G.; Khader, K. Intraparticle diffusion of a basic dye during adsorption onto sphagnum peat. Environ. Pollut. 1989, 56, 39–50. [Google Scholar] [CrossRef]
- Crittenden, J.C.; Trussell, R.R.; Hand, D.W.; Howe, K.J.; Tchobanoglous, G. Water quality management strategies. In MWH’s Water Treatment: Principles and Design, 3rd ed.; John Wiley & Sons: Hoboken, NJ, USA, 2012; Volume 10, p. 184. ISBN 9780470405390. [Google Scholar]
- Karaoğlu, M.H.; Doğan, M.; Alkan, M. Removal of cationic dyes by kaolinite. Micropor. Mesopor. Mater. 2009, 122, 20–27. [Google Scholar] [CrossRef]
- Weber, W.J.; Morris, J.C. Kinetics of adsorption on carbon from solution. J. Sanit. Eng. Div. 1963, 89, 31–60. [Google Scholar]
- Jain, C.; Sharma, M. Adsorption of cadmium on bed sediments of river Hindon: Adsorption models and kinetics. Water Air Soil Pollut. 2002, 137, 1–19. [Google Scholar] [CrossRef]
- Al-Ghouti, M.A.; Khraisheh, M.A.; Ahmad, M.N.; Allen, S. Adsorption behaviour of methylene blue onto Jordanian diatomite: A kinetic study. J. Hazard. Mater. 2009, 165, 589–598. [Google Scholar] [CrossRef] [PubMed]
- Ip, A.W.M.; Barford, J.P.; McKay, G. A comparative study on the kinetics and mechanisms of removal of Reactive Black 5 by adsorption onto activated carbons and bone char. Chem. Eng. J. 2010, 157, 434–442. [Google Scholar] [CrossRef]
- Wu, F.C.; Tseng, R.L.; Juang, R.S. Initial behavior of intraparticle diffusion model used in the description of adsorption kinetics. Chem. Eng. J. 2009, 153, 1–8. [Google Scholar] [CrossRef]
- Inglezakisa, V.J.; Zorpos, A.A. Heat of adsorption, adsorption energy and activation energy in adsorption. Desalin. Water Treat. 2002, 39, 149–157. [Google Scholar] [CrossRef]
- Shen, S.; Pan, T.; Liu, X.; Yuan, L.; Zhang, Y.; Wang, J.; Guo, Z. Adsorption of Pd(II) complexes from chloride solutions obtained by leaching chlorinated spent automotive catalysts on ion exchange resin Diaion WA21J. J. Colloid Interface Sci. 2010, 345, 12–18. [Google Scholar] [CrossRef] [PubMed]
- Chen, H.; Zhao, J.; Dai, G. Silkworm exuviae—A new non-conventional and low-cost adsorbent for removal of methylene blue from aqueous solutions. J. Hazard. Mater. 2011, 186, 1320–1327. [Google Scholar] [CrossRef] [PubMed]
- Chu, B.; Baharin, B.; Man, Y.C.; Quek, S. Separation of vitamin E from palm fatty acid distillate using silica: I Equilibrium of batch adsorption. J. Food Eng. 2004, 62, 97–103. [Google Scholar] [CrossRef]
- De Souza Macedo, J.; da Costa Júnior, N.B.; Almeida, L.E.; da Silva Vieira, E.F.; Cestari, A.R.; de Fátima Gimenez, I.; Villarreal Carreno, N.L.; Barreto, L.S. Kinetic and calorimetric study of the adsorption of dyes on mesoporous activated carbon prepared from coconut coir dust. J. Colloid Interface Sci. 2006, 298, 515–522. [Google Scholar] [CrossRef] [PubMed]
- Dotto, G.L.; Santos, J.M.N.; Rodrigues, I.L.; Rosa, R.; Pavan, F.A.; Lima, E.C. Adsorption of methylene blue by ultrasonic surface modified chitin. J. Colloid Interface Sci. 2015, 446, 133–140. [Google Scholar] [CrossRef] [PubMed]
- Muinde, V.M.; Onyari, J.M.; Wamalwa, B.; Wabomba, J.; Nthumbi, R.M. Adsorption of malachite green from aqueous solutions onto rice husks: Kinetic and equilibrium studies. J. Environ. Prot. 2017, 8, 215–230. [Google Scholar] [CrossRef]
- Desai, N.J.; Do, D.D. Adsorption of organic solutes into activated carbons-batch studies. Chem. Eng. Commun. 1985, 39, 101–125. [Google Scholar] [CrossRef]
- Mohan, D.; Singh, K.P. Single-and multi-component adsorption of cadmium and zinc using activated carbon derived from bagasse—An agricultural waste. Water Res. 2002, 36, 2304–2318. [Google Scholar] [CrossRef]
- Gürses, A.; Doğar, Ç.; Yalçın, M.; Açıkyıldız, M.; Bayrak, R.; Karaca, S. The adsorption kinetics of the cationic dye, methylene blue, onto clay. J. Hazard. Mater. 2006, 131, 217–228. [Google Scholar] [CrossRef] [PubMed]
- Kumar, K.V.; Ramamurthi, V.; Sivanesan, S. Modeling the mechanism involved during the sorption of methylene blue onto fly ash. J. Colloid Interface Sci. 2005, 284, 14–21. [Google Scholar] [CrossRef] [PubMed]
- Uddin, M.T.; Islam, M.A.; Mahmud, S.; Rukanuzzaman, M. Adsorptive removal of methylene blue by tea waste. J. Hazard. Mater. 2009, 164, 53–60. [Google Scholar] [CrossRef] [PubMed]
- Janos, P.; Coskun, S.; Pilarova, V.; Rejnek, J. Removal of basic (Methylene Blue) and acid (Egacid Orange) dyes from waters by sorption on chemically treated wood shavings. Bioresour. Technol. 2009, 100, 1450–1453. [Google Scholar] [CrossRef] [PubMed]
- McKay, G.; Allen, S.J.; McConvey, I.F.; Otterburn, M.S. Transport processes in the sorption of colored ions by peat particles. J. Colloid Interface Sci. 1981, 80, 323–339. [Google Scholar] [CrossRef]
- Zhou, W.Y.; Wang, M.; Cheung, W.L.; Guo, B.C.; Jia, D.M. Synthesis of carbonated hydroxyapatite nanospheres through nanoemulsion. J. Mater. Sci. Mater. Med. 2008, 19, 103–110. [Google Scholar] [CrossRef] [PubMed]




| Bone Char Size (mm) | Specific Surface Area (m2 g−1) | Removal Rate (%) | ||
|---|---|---|---|---|
| Total | External | Micropore | ||
| 0.25~0.50 | 119.21 | 119.21 | - | 45.72 ± 0.95 |
| 0.50~0.80 | 116.03 | 115.16 | 0.87 | 45.86 ± 0.57 |
| 0.80~1.00 | 113.13 | 107.73 | 5.40 | 42.35 ± 0.66 |
| T (K) | Kd (L mol−1) | ΔG0 (kJ mol−1) | ΔH0 (kJ mol−1) | ΔS0 (J mol−1 K−1) |
|---|---|---|---|---|
| 273 | 194.58 | −11.96 | ||
| 293 | 134.36 | −11.94 | −13.45 | −5.36 |
| 313 | 91.09 | −11.74 |
© 2018 by the authors. Licensee MDPI, Basel, Switzerland. This article is an open access article distributed under the terms and conditions of the Creative Commons Attribution (CC BY) license (http://creativecommons.org/licenses/by/4.0/).
Share and Cite
Jia, P.; Tan, H.; Liu, K.; Gao, W. Removal of Methylene Blue from Aqueous Solution by Bone Char. Appl. Sci. 2018, 8, 1903. https://doi.org/10.3390/app8101903
Jia P, Tan H, Liu K, Gao W. Removal of Methylene Blue from Aqueous Solution by Bone Char. Applied Sciences. 2018; 8(10):1903. https://doi.org/10.3390/app8101903
Chicago/Turabian StyleJia, Puqi, Hongwei Tan, Kuiren Liu, and Wei Gao. 2018. "Removal of Methylene Blue from Aqueous Solution by Bone Char" Applied Sciences 8, no. 10: 1903. https://doi.org/10.3390/app8101903
APA StyleJia, P., Tan, H., Liu, K., & Gao, W. (2018). Removal of Methylene Blue from Aqueous Solution by Bone Char. Applied Sciences, 8(10), 1903. https://doi.org/10.3390/app8101903
