Abstract
Wind farms can contribute to ancillary services to the power system, by advancing and adopting new control techniques in existing, and also in new, wind turbine generator systems. One of the most important aspects of ancillary service related to wind farms is frequency regulation, which is partitioned into inertial response, primary control, and supplementary control or automatic generation control (AGC). The contribution of wind farms for the first two is well addressed in literature; however, the AGC and its associated controls require more attention. In this paper, in the first step, the contribution of wind farms in supplementary/load frequency control of AGC is overviewed. As second step, a fractional order proportional-integral-differential (FOPID) controller is proposed to control the governor speed of wind turbine to contribute to the AGC. The performance of FOPID controller is compared with classic proportional-integral-differential (PID) controller, to demonstrate the efficacy of the proposed control method in the frequency regulation of a two-area power system. Furthermore, the effect of penetration level of wind farms on the load frequency control is analyzed.
1. Introduction
In the 21st century, electrical energy is needed more than ever, and the harmful effect of using fossil fuels to generate electrical energy, such as carbon dioxide emission, has become more serious. Accordingly, the demand on renewable energy sources to produce electricity from clean energies, such as wind, solar, hydro, biomass and geothermal, have globally increased. Renewable energies are salient choice to solve the air pollution problem, however the intermittent output power can create new challenges in the operation of power systems. Impacts of renewable energies on power systems operation cannot be ignored, and should be analyzed, along with developing effective mitigation strategies and technologies—especially for higher level of renewable penetrations.
In the territory of renewable energy sources, development of wind turbine as a source to produce electrical energy from wind is going on swiftly around the world. In 2017, the installed wind energy worldwide was more than 539 GW [1]. Such a high generation needs more and more attention, in order to address the intermittency issues produced by wind turbine itself. Wind turbines are divided into two groups: Fixed speed and variable speed. The first group, fixed speed, generally use an induction generator (IG) that is connected directly to the grid, and are known as fixed speed wind turbine (FSWT). The second group, variable speed, typically use permanent magnet synchronous generator (PMSG), or doubly-fed induction generator (DFIG) in their structure, and are known as variable speed wind turbines (VSWTs). Taking advantage of the power electronic converters, the PMSG is fully decoupled from the grid. It means that, the stator of PMSG is connected to the back-to-back fully rated power electronic converters in order to inject the power into the grid. In the other case, DFIGs have both direct connection and converter-based connection to the grid. The stator of DFIG is connected directly to the grid while the rotor is connected through partially rated back-to-back converters. The power electronic converter used in a variable speed wind turbine enables the wind turbine to regulate the output power over a wide range of wind speeds [2,3]. The variable type is the dominant and promising type of wind turbines for application in large-scale wind farms. In the domain of wind turbines, VSWT technology has attracted a lot of attention for integration in power networks, because of its salient features. The primary advantage of VSWT driven wind generators is that, they allow the amplitude and frequency of their output voltages to be maintained at a constant value, no matter the speed of the wind blowing on the wind turbine rotor. Therefore, it can be inferred that they can be directly connected to the ac power network and remain synchronized at all times with the ac power network. Other advantages include the ability to control the voltage at point of common coupling and power factor control (e.g., to maintain the power factor at unity). Furthermore, the VSWT-based wind generators can produce the maximum power at variable speeds of wind [4].
Penetration level of large scale wind farm is increased in power systems [5]. Since that the large-scale wind farms have high capacity, they should be investigated like conventional power plants as they are connected to the electrical power network. In Reference [6], static planning of wind farms in power networks is reported by optimal load flow. Contribution of wind farms in ancillary services of power system are investigated in Reference [7]. In this regard, wind farms can contribute to voltage and reactive power control [8,9], frequency stability and control [10,11,12], power system stability enhancement [13,14], harmonic mitigation [15], oscillation damping [16] etc. Since frequency control is directly related to active power control, and active output power of wind farms has intermittent characteristic, due to wind uncertainty; this aspect of grid ancillary capability (frequency control) for wind farms has more significance from the viewpoint of the power system. Frequency control in wind farms is analyzed in three levels: Inertial control, primary control, and secondary control or automatic generation control. The inertial and primary control systems are well addressed in the literature [17,18].
Imbalance between load and generated power by generators in the system are exhibited through frequency deviations. An indelible off-normal frequency deviation directly affects power system operation, security, reliability, and efficiency by damaging equipment, degrading load performance, overloading of the transmission lines, and triggering the protection devices. Frequency performance of the power system is regulated in three levels; the first two levels by generation units, and in the third level, by loads through load shedding in severe situations. These three levels are known as primary control or inertial response [19], secondary or supplementary control [20] and tertiary or emergency control or load shedding [21].
Automatic generation control (AGC) is the manner of action of participating generation units in frequency control. Supplementary frequency control, which is known as load-frequency control (LFC), is a major function of AGC systems as they operate online to control system frequency and power generation [22]. Frequency control can be directly dependent on the speed control of the turbines in the generation units, due to the fact that the frequency generated in the electric network is proportional to the rotational speed and mechanical power of the generator. In conventional generators (non-wind turbine), the issue is initially sensed by the governor of the generators, which can adjust the valve position to change the fuel amount and subsequently change the mechanical power for the electrical part to track the load change and to restore the frequency to be near the nominal value.
AGC responsibilities can be classified as a significant control process that operates constantly to balance the generation and load in the power system at a minimum cost, adjust the generation to minimize frequency deviation and regulate tie-line power flows. Briefly, the AGC system is responsible for frequency control and power interchange, as well as optimal economic dispatch. The AGC system realizes generation changes by sending signals to the under-control generation units. Due to newly advanced technologies in wind turbines and their controllability, the wind farms can be mentioned as an acceptable choice to contribute to the AGC. The AGC performance is highly dependent on how those generating units respond to the commands. The generation unit response characteristics is mainly affected by the control strategy that the unit utilizes, like robust control methods [23,24], intelligent algorithms [25,26] and optimization approaches [27,28]. This part can be solved by integrating appropriate and efficient controller in the wind turbine structure, which is demonstrated in this study. The control strategy that is utilized for wind farm contribution in the AGC is the main topic for this paper.
This paper firstly reviews the contribution of wind farms in load frequency control as a major function of AGC. Different aspects of such contribution, like different control strategies (optimization, model predictive control and intelligent methods) and coordination with other devices, such as conventional generation units, flexible AC (alternative current) transmission systems (FACTS) and energy storage systems are reviewed. As the second stage, a new control methodology by implementing fractional order proportional-integral-differential (FOPID) controller for supplementary loop of a variable speed wind generator-based wind farms is proposed. The parameters of the proposed controller are optimized by sine-cosine algorithm (SCA) to attain efficient control performance in multi-area power systems. The main contributions of this paper are:
- (1)
- Wind farms contribution to frequency regulation of power systems is studied.
- (2)
- Review on application of wind farms in AGC is presented.
- (3)
- The FOPID controller is applied to variable speed wind turbine.
- (4)
- Performance of FOPID controller for variable speed wind turbine-based wind farm is compared to classical controller.
- (5)
- Frequency variation effect of different penetration levels of wind farms in power systems is investigated.
2. Wind Farm Contribution in Frequency Regulation
Granted by new technologies and control methods of wind turbines, wind farms are worthy choice to contribute to the frequency regulation of the power system. In this regard, operation under maximum power point tracking, connecting to power system with AC/DC (direct current)/AC converters and coordination with other conventional power plants are the main issues that to be investigated for wind farms in order to able to contribute to frequency regulation. Figure 1 shows the frequency regulation process and related strategies for wind farms to contribute in AGC. This section generally explains the wind farms contribution in primary frequency control, and their inertial response to support frequency regulation. Wind farms contribution in AGC and its details are provided in the next section.
Figure 1.
(a) Frequency regulation process; (b) control strategies for wind farms to contribute to the AGC. AGC, automatic generation control; FACTS, flexible AC transmission systems; MPC, model predictive control.
Normally, wind turbines operate in maximum power point of tracking (MPPT) mode to extract maximum possible power from the wind and convert it into electrical power. It is obvious that such models with MPPT operation mode is not appropriate in AGC studies. In Reference [29], the performance of wind farms by VSWTs were investigated when they are modeled under the set-point tracking control strategies for intermittent wind. The superiority of set-point tracking mode over MPPT mode was proven by the contribution of the wind farms in AGC. To reach high quality frequency performance, a new method is introduced in Reference [30] to preserve a certain amount of wind power reserve to contribute in frequency regulation of power system.
Inertial response of wind turbines is the other important issue for frequency regulation. The FSWTs can provide an inertial response to the frequency deviation, because of its direct coupling; however, this inertia is small compared to the synchronous generator. On the other hand, the VSWTs are connected to the grid by back-to-back voltage or current source converters, which decouples the complete wind turbine in the case of PMSG and the DFIG partially from the grid to support frequency regulation. In this situation, the wind turbine cannot contribute to the frequency regulation through inertial response with its original controller, since it is not connected directly to the grid. Therefore, it is needed to add supplementary controllers to converter part of VSWTs to prepare them for frequency change tracking and then do efficient control. In this regard, the VSWTs are equipped with efficient supplementary frequency control loops to support inertial response, primary frequency control and secondary frequency control [31,32,33]. A combination of inertial response and a droop active power support in VSWTs was shown in Reference [34], in which the wind turbine reached efficient frequency control for different levels of penetration. A new control strategy to coordinate the inertial control, rotor speed and pitch angle control in a DFIG are presented in Reference [35]. In Reference [36], a deloading strategy was proposed alongside with inertial control loop for the PMSGs to contribute to the frequency control, by increasing their active power production. Efficient damping of frequency oscillations and improving the frequency regulation capability were the main advantages for the strategy. In sharp contrast to MPPT, deloaded strategy is a method to limit the generation of wind turbine through power curve of turbine to make it feasible to contribute to frequency control [37]. In Reference [38] a novel strategy was proposed to strengthen the primary control capability of VSWTs for frequency control with fast response, which can improve the VSWTs contribution in the AGC.
Coordination between wind farms and conventional power plants in terms of frequency control is also investigated in order to reach more efficient frequency response through wind farms. In References [39,40], it is shown that the provided inertial response from DFIG wind farms is only efficient for low level of penetration. Authors have proposed an inertial coordination strategy between the wind farms and conventional power plants in a high level of penetration, which has shown improvement in frequency performance compared to uncoordinated strategy. In Reference [41], it is shown that the inertial response coordination between conventional power plants and wind farms can help the system to reach efficient frequency response in terms of smoothing tie-line fluctuations, reduced peak frequency excursion and settling time.
The literature shows also that the wind farms can contribute in the frequency regulation of the power systems by different strategies and at different stages of the frequency regulation. Most of the abovementioned studies covered by the inertial response and primary control of DFIGs to contribute in primary frequency control of power system. However, the secondary frequency control or LFC as a part of AGC is not well addressed for the wind farms.
3. Wind Farms Contribution in AGC
The AGC is responsible for minimization of power system cost, due to operation of different power plants, removing the steady-state and transient frequency deviations and smoothing the tie-line power between areas. As stated earlier, this study investigates the last items—which are known as secondary frequency control or LFC.
There is a vast body of literature on control strategies for wind farms to contribute in the LFC. Because of simplicity in structure and industry application of proportional integral (PI) controller, most of the studies have used the PI controller in VSWT structure to contribute to the secondary frequency control. However, a range of other control approaches can be examined for such contribution. Generally, over and undershoots, settling time, steady-state error and some other control indices are investigated to evaluate the performance of controllers in the LFC. A simple PI controller tuned by try and error for wind turbine was proposed for secondary frequency control in Reference [42], which was able to restore the frequency to its nominal value.
Applied control strategies for wind farms can be classified into optimization methods, intelligent methods, and model predictive control methods for PI controllers in wind turbine structure. Furthermore, contribution to the AGC issues through the wind farm by the integration of energy storage systems and FACTS devices are investigated.
3.1. Applied Control Methods
Optimization of the parameters in a PI controller structure is one of the basic methods to reach efficient control performance. Simple parameter optimization based-on integral of square error index was applied to the PI controller in the wind turbine structure to coordinate the wind turbine with AGC system of an isolated power system, as reported in Reference [43]. The efficiency of DFIG’s contribution in AGC of isolated power system was demonstrated by a high level of wind farm penetration. Similar methods were used in Reference [44], to prove the DFIGs contribution to the AGC of multi-area power systems. Dynamic participation of DFIG-based wind farms in an optimal AGC is demonstrated in Reference [45], which is effective to reach higher a stability margin and smooth the frequency response with a suitable damping. These studies showed the contribution of the DFIGs in the AGC of power systems; however, the simple method for the optimization process is the deficiency.
A range of metaheuristic optimization methods are utilized in wind turbines to contribute to the AGC [46,47,48,49,50,51,52]. Ant colony optimization (ACO) approach [46], craziness-based particle swarm optimization (CRPSO) [47], improved particle swarm optimization (IPSO) [48], opposition learning based gravitational search algorithm (OGSA) [49], genetic algorithm (GA) [50], non-dominated sorting genetic algorithm-II (NSGAII) [51], and non-dominated Cuckoo search algorithm (NSCS) [52] are successfully applied to classic PI controller of VSWT wind turbines to contribute in the AGC. In Reference [53], ant lion optimization (ALO) is proposed to optimize the parameters of a new controller known as trajectory following controller in the structure of wind turbines. Efficiency of the proposed controller was shown over optimized PI and PID controllers in minimizing the settling time and peak overshoot of frequency performance.
Intelligent methods like fuzzy logic and artificial neural network (ANN) are applied to automatic generation control of wind integrated power systems [54,55,56,57]. Simplicity in the design process for fuzzy logic approach has made it impressive to apply in VSWT wind turbines. In Reference [54], a fuzzy-based PI controller is designed for DFIG-based wind farms to contribute in AGC of a two-area power system. It is shown that utilizing fuzzy approach can be more effective compared to a simple PI controller in the frequency regulation under different load changes and wind penetration levels. However, the fuzzy logic method is a suitable choice for frequency control of wind integrated power systems, the expert knowledge base design process of the fuzzy logic may deteriorate its performance. For this reason, in Reference [55], a combined Jaya algorithm (JA)-fuzzy logic based proportional integral differential (PID) controller is proposed for the LFC of three area power system integrated with wind farms. Trained for a wide range of operation conditions and load changes, a non-linear recurrent ANN is demonstrated in Reference [56] using off-line data for the wind farm contribution in the AGC of multi-area power system. Better frequency performance in terms of lesser undershoot and settling time, and faster oscillation damping compared to the conventional PI controller are the superiority of the proposed controller. As another class of supervised learning-based controller, a least square support vector machine method is proposed in Reference [57] for the AGC in a wind integrated multi-area power system. Compared to multi-layer perceptron neural network based AGC, the proposed controller is efficient for the frequency control purpose.
The model predictive control (MPC) approach has been utilized for an AGC system, incorporated with wind farms successfully [58,59,60,61]. The operation process through MPC is an optimization process that can be defined at each time instants. The important point of the optimization process of the MPC is to compute a new control input vector to be fed to the system and taking into account the system constraints at the same time. Considering the governor and turbine parameters variation, as well as load changes, an MPC approach is developed for the AGC in a single-area power system [58], and multi-area power system [59], in the presence of a DFIG-based wind farm. Robust performance of the proposed MPC, due to parameter variation is the main advantage compared to the classic controllers. To make the MPC more efficient for AGC studies in the presence of wind farms, a distributed MPC known as DMPC is employed by [60,61]. The main advantage of the DMPC application is dividing the whole system into some subsystems and controlling of each subsystem by a local MPC controller. The DMPC approach shows more robust and efficient performance in the AGC compared to the central or simple MPC.
3.2. BESS and FACTS Integration with Wind Farm
The intermittent and unpredictable output power of wind farms may cause the use of supplementary source of energies in the power system to reach a more efficient frequency control and AGC contribution in the power system. Energy storage system is one of the important sources of energy that can be installed in wind integrated power systems to absorb and release the energy. Integration of a real 34 MW battery storage system in a 51 MW wind farm in Japan is shown in Reference [62]. Frequency control is one of the important aims in utilizing this battery storage.
As there are many types of energy storage technologies, the redox flow batteries (RFB), flywheels, capacitive energy storages and superconducting magnetic energy storages (SMES) have the most contribution for wind farms in the AGC based on the literature. Furthermore, there is high potential to improve the frequency control of multi-area power systems with FACTS devices, since they can control the tie-lines power. Regarding the mentioned features, energy storage systems and FACTS have the most contribution for wind farms to contribute in AGC of power systems.
Integration of flywheel storage systems with wind farms was investigated in Reference [63]; in which the wind-flywheel system reduced the settling time and smoothed the frequency deviations more effectively. In Reference [64], it was shown that the application of SMES system in addition to dynamic active power support from wind farm is an impressive solution to improve the transient performance of the frequency after some disturbances. Coordinated design of AGC and redox flow batteries to minimize the frequency deviation in the wind integrated multi-area power system was demonstrated in Reference [65].
The aforementioned studies have investigated the sole integration of energy storage systems for wind farms in the AGC issue. However, application of energy storages in one area may not affect the frequency performance of other areas; as well application of energy storage for all areas is not an economical solution. Therefore, it is rational to use FACTS devices alongside wind-storage system to better control of tie-line power. The efficiency of such system was proven in Reference [66] by coordinated design of thyristor-controlled phase shifter (TCPS) and SMES system (in one area) incorporated with dynamic participation of wind farms in a deregulated two-area power system. Similar system was investigated in Reference [67] by applying the SMES system to each areas of the two-area power system. Such applications increase the cost of system, since the electromagnetic energy storage systems are still expensive. Furthermore, coordinate application of RFB with static synchronous series compensators (SSSC), and capacitive energy storage (CES) with TCPS, in wind integrated power systems for better contribution in the AGC were addressed by the studies [68,69].
Furthermore, a detailed review of existing papers in Section 3.1 and Section 3.2 is summarized in Table 1. Type of generation units contributed in the power systems, system configuration (energy storage and FACTS), control approach, and optimization techniques are addressed in Table 1. As shown, most of the studies are done in multi-area power system that demonstrates the capability of wind power to contribute to frequency control of large-scale power system.
Table 1.
Review of papers in wind farm contribution in AGC.
4. Proposed Wind Farm Control Technique in AGC
4.1. Wind Turbine Modeling in AGC
DFIG is the most commercially used variable speed wind turbine and therefore it is used in this research to demonstrate the effect of wind turbine in AGC. The DFIG wind turbine participates in frequency control through releasing the stored kinetic energy in the turbine blades under sudden load changes. Extracting the stored kinetic energy and converting it into electric energy depends on the turbine inertia, and its control system. Figure 2 shows the block diagram of DFIG-based wind turbine used in this paper for the AGC issue.
Figure 2.
Block diagram of doubly-fed induction generator (DFIG) based wind turbine model.
In this model, the extra signal tries to adapt the set point power as a function of frequency deviation rate . Another signal, , attempts to maintain the speed of wind turbine at a desired value for producing the maximum output. In the considered model, e is error signal in speed of the wind turbine, and are the reference and actual deviations of wind turbine speed, respectively. In order to obtain , a mechanical equation can be stated as follows [37]:
where Tm is the mechanical torque and Te is the electrical torque. Equation (1) represents the swing equation, which shows that the change in generator speed result from a difference in the electrical torque and the mechanical torque. The equation can be rewritten based on the active power as follows:
where H and are the inertia constant of the generator and the desired wind source output obtained using power versus wind speed characteristics with the wind speed as its input. A description of the related calculations of is indicated in Figure 1. The wind turbine is specified by a time constant (Ta) as follows:
The effect of the conventional generators frequency changes on DFIG is determined by a filter with time constant . A governor droop (R) is added, which is the rate of change of frequency with respect to generator power change. It shows a load sharing pattern of a particular generator. The activation of inertial and droop control loop determines the support to frequency regulation problem. The frequency change is an input to droop control loop and it provides additional active power support to the system. A washout filter with time constant is added in the model to provide non-zero output during the transient periods only and is able to reject the steady-state frequency deviations. The power change of generator can be shown as follows:
where, and are the parameter of speed regulation and sensed frequency changes, respectively. Equation (4) shows the droop control of the governor of the wind turbine as the primary frequency control [37]. Finally, the total injected power into the power system can be written as:
It should be noted that an FOPID controller for supplementary loop of DFIGs is applied, which is known as speed controller. To tune the parameters of FOPID controller, the SCA method is employed in this study. Figure 3 illustrates the considered power system integrated with DFIG-based wind farms in each area. Detailed data about the system parameters and their description are accessible in Reference [26].
Figure 3.
Two-area power system in the presence of wind farms.
4.2. Design Procedure of SCA-Based FOPID Controller
4.2.1. Fractional Order PID Controller
Benefit from a high degree of freedom (by selecting suitable values for λ and µ), fractional order controllers are regularly more adequate than usually used integer order models like PI and PID controllers. The general form of FOPID controller is depicted in Figure 3 and it is mathematically represented as:
Herein, λ and µ represent the fractional order operators often adjustable in the range of (0, 1) and KP, KI and KD are the proportional, integral and differential gains of FOPID controller respectively. It can be seen from Figure 4 that, the FOPID controller can operate like simple classic controllers (P, I, PI, PID) by selecting 0 and 1 for λ and µ [70].
Figure 4.
The general structure of the proposed fractional order proportional-integral-differential (FOPID) controller.
There are 5 parameters for the FOPID controller, which should be optimized by optimization algorithms. In this study, the SCA approach is utilized for optimization of FOPID controller. For this purpose and at the first step, the objective function and adjustable parameters of the controllers should be determined.
4.2.2. Objective Function Formulation and Employed Optimization Algorithm
In order to damp the frequency deviations and tie-line power oscillations effectively, considering a suitable objective function is essential. The considered objective function should be defined such that the output properties in the time domain, such as peak overshoot, peak time and settling time of the considered variables are minimized. In this paper, the integral of time multiplied squared error (ITSE) performance index is considered as the objective function.
where denotes the simulation time. and are the frequency deviations of area 1 and area 2, respectively. is the tie-line power deviation. The ITSE index uses advantages of both ISE and ITAE indices. The ITSE utilizes squared error and time multiplication to diminish large oscillations and decrease long settling time. The SCA optimization algorithm is employed here to minimize the ITSE index and optimize all the adjustable parameters subject to constraints. The constraints for a FOPID controller are as follows:
4.2.3. Sine-Cosine Algorithm
Sine-cosine Algorithm (SCA) is a new population-based optimization approach for solving optimization problems [71]. The optimization process in SCA is based-on a set of random solutions that applies a sine and cosine functions based-on a mathematical model to fluctuate outwards or towards the best solution. The SCA has two phases known as exploration and exploitation in the optimization process. To establish exploration and exploitation of the search space to rapid achieve the optimal solution, this algorithm uses many random and adaptive variables. The position updating equation related to any search agent can be written as follows:
where and are the position of the current solution and the position of the best solution in j-th dimension at the t-th iteration, respectively. Furthermore, is the maximum number of iterations, and is a constant value. and are random numbers. is a control parameter that states the next position, which could be either in the space between the solution and destination or outside; expresses how far the movement should be towards or outwards the destination. is a random weighting parameter for emphasizing () or deemphasizing () the effect of destination to define the distance; and, is a switching parameter, which switches between the sine and cosine components, equally.
5. Simulation Results
To validate the performance of the DFIGs equipped with the SCA optimized FOPID controllers, fourth scenarios are considered and evaluated in the considered two-area power system. Simulations are accomplished in the MATLAB/Simulink environment. The scenarios show the performance of proposed controller for a step load change, sinusoidal load change, effects of different level of wind penetration on AGC, and sensitivity analysis for 25% deviation in the loading condition and the synchronizing coefficient (T12). The optimal gains of the FOPID and PID controllers, which are optimized by the SCA method are given in Table 2.
Table 2.
Optimal parameters of controllers obtained by the sine-cosine algorithm (SCA).
5.1. First Scenario: Step Load Change
As the first scenario, performance of the DFIGs equipped with the SCA optimized FOPID controllers is investigated under a 0.01 p.u. step load change in area 1. The area frequency and tie-line power deviations are illustrated in Figure 5. As shown in this figure, the performance of the SCA-based FOPID controller with 10% wind penetration is compared with the SCA-based PID controller, with 10% wind penetration and the condition that there is no DFIGs in any areas. Area frequency and tie-line power oscillations are remarkably damped by the proposed SCA-based FOPID controller compared with two other controllers. The ITSE performance index, peak overshoot, peak time and settling time are shown in Table 3. The SCA-based FOPID controller has the lowest value of the ITSE index compared to the other controllers for the first scenario. Therefore, it can be concluded that the proposed controller improves the dynamic responses for the studied power system more efficiently. Furthermore, the settling time and peak overshoot are reduced by the proposed controller. Note that the peak overshoot unit for the frequency deviation is Hz; and for the tie-line power deviations is pu. In this study, settling time is the time required for an output to reach and remain within a ±5% error band following some input stimulus. Furthermore, minimum damping ratio provides a mathematical means of expressing the level of damping in a system relative to critical damping.

Figure 5.
Frequency deviation and tie-line active power change in the first scenario, (a) frequency deviation in area 1; (b) frequency deviation in area 2; and (c) tie-line power deviation.
Table 3.
Frequency deviation and tie-line power characteristics of FOPID, PID and just AGC.
5.2. Second Scenario: Comparison of Results in Different Level of Wind Penetration
In this scenario, the performance of the DFIGs equipped with the SCA optimized FOPID controller is investigated under different levels of wind power penetration. Herein, 10%, 15% and 20% penetration levels are considered for the wind power. The penetration level of wind power is increased through reducing the existing generator units by x%, i.e., an x% reduction in system inertia constant. In the other words, an x% increase in wind power is fulfilled through decreasing the inertia by x% [72]. In Figure 6, the system dynamic responses of 10%, 15% and 20% penetration levels of wind power are demonstrated. As can be seen, by increasing the wind power penetration level, although the inertia of wind system decreases, the proposed FOPID controller provides better frequency performance in high penetration level.
Figure 6.
Frequency deviation and tie-line active power change in second scenario, (a) frequency deviation in area 1; (b) frequency deviation in area 2; and (c) tie-line power deviation.
5.3. Third Scenario: Sinusoidal Load Change
The third scenario verifies the performance of the DFIGs equipped with the SCA optimized FOPID controllers in a sinusoidal load perturbation, which is applied in area 1. This sinusoidal load perturbation is formulated as follows:
Under the supposed sinusoidal load perturbation, the area frequency and tie-line power oscillations are exhibited in Figure 7. The results illustrate that the oscillations are effectively damped by employing the FOPID controllers.
Figure 7.
Frequency deviation and tie-line active power change in second scenario, (a) frequency deviation in area 1; (b) frequency deviation in area 2; and (c) tie-line power deviation.
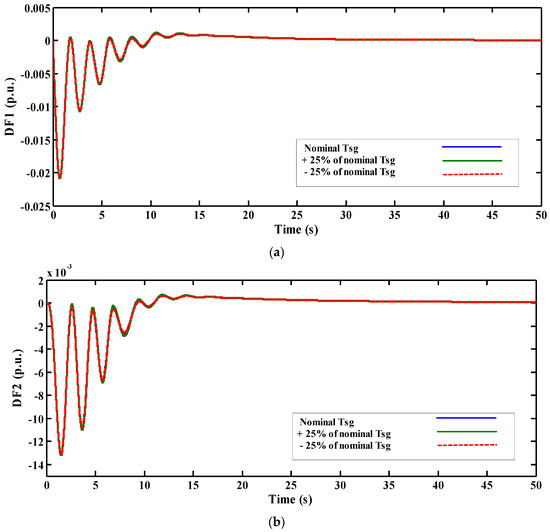
5.4. Fourth Scenario: Sensitivity Analysis
In the Fourth scenario, a sensitivity analysis is done to examine the robustness of the proposed controller under a wide variation in governor time constant of steam turbine (Tsg) and the synchronizing coefficient (T12) separately. To do so, the T12 (as an indicator of active tie-line power between the areas) and Tsg are changed by ±25% of nominal value regarding the first scenario condition. The dynamic responses for the case of DFIGs equipped with the SCA optimized FOPID controllers after applying uncertainties in T12 and Tsg are depicted in Figure 8 and Figure 9, respectively. Furthermore, the system damping characteristics for both changes are listed in Table 3.

Figure 8.
Simulation results for ±25% of synchronizing coefficient, (a) frequency deviation in area 1; (b) frequency deviation in area 2; and (c) tie-line power deviation.

Figure 9.
Simulation results for ±25% of time constant of steam turbine, (a) frequency deviation in area 1; (b) frequency deviation in area 2; and (c) tie-line power deviation.
It can be seen from the Figure 8 and Figure 9, and in Table 4 that in comparison with the nominal responses demonstrated in Table 2 and Figure 5, the considered severe variations have negligible impacts on the system dynamic performance, since the damping ratios, performance indices and damping control measures deviate slightly from the nominal values so that the power system is still stable as before. Therefore, the adjustable parameters of the controllers are tuned for the nominal condition and it is not necessary to tune the parameters for the ±25% change in the T12 and Tsg again.
Table 4.
Frequency deviation and tie-line power characteristics of FOPID controllers for ±25% variations in the time constant of steam turbine and synchronizing coefficient.
6. Conclusions and Future Directions
This paper presented a review on wind farms contribution to the automatic generation control of power systems. The applied control strategies and other alternatives for wind farms were investigated. Fractional order PID controller was deployed for DFIG wind turbines for more efficient contribution in the load frequency control of multi-area power systems. Four scenarios, including step and sinusoidal load changes, sensitivity analysis, and the effect of different levels of DFIG penetration, demonstrated that the proposed controller is efficient for the wind farms in the load frequency control. Minimizing the overshoot and settling time, and better oscillation damping were highlighted as the salient features for the SCA-based FOPID controller in the structure of DFIGs.
The role of wind farms to contribute in automatic generation control is still an active field of study for future research. The literature of control strategies in wind farm is limited to model predictive control, optimization and intelligent methods. On the other hand, application of lithium-ion battery energy storages, which nowadays are utilized in wind farms and other types of energy storage systems can be investigated in this area of research. Coordination between wind farms and photovoltaic farms as the frontier renewable energies to contribute in the automatic generation control can also be extended in the future.
Author Contributions
A.O. developed the main idea for this research study. R.K. collected the literature review. A.O. simulated the case studies. R.K., A.O., S.M. and F.B. analyzed the data and simulation results. R.K. and A.O. wrote the manuscript. S.M. and F.B. checked the manuscript and provided their comments on the paper.
Funding
This research received no external funding.
Conflicts of Interest
The authors declare no conflict of interest.
References
- GWEC Report 2017. Available online: http://www.gwec.net/publications/global-wind-report-2/global-wind-report-2017-annual-market-update/ (accessed on 25 April 2017).
- Blaabjerg, F.; Ma, K. Wind energy systems. Proc. IEEE 2017, 105, 2116–2131. [Google Scholar]
- Li, H.; Chen, Zh. Overview of different wind generator systems and their comparisons. IET Renew. Power Gener. 2009, 2, 123–138. [Google Scholar] [CrossRef]
- Torkaman, H.; Keyhani, A. A review of design consideration for Doubly Fed Induction Generator based wind energy system. Electr. Power Syst. Res. 2018, 160, 128–141. [Google Scholar] [CrossRef]
- Khezri, R.; Bevrani, H. Voltage performance enhancement of DFIG-based wind farms integrated in large-scale power systems: Coordinated AVR and PSS. Int. J. Electr. Power Energy Syst. 2015, 73, 400–410. [Google Scholar] [CrossRef]
- Oshnoei, A.; Khezri, R.; Hagh, M.T.; Techato, K.; Muyeen, S.M.; Sadeghian, O. Direct probabilistic load flow in radial distribution systems including wind farms: An approach based on data clustering. Energies 2018, 11, 310. [Google Scholar] [CrossRef]
- Bousseau, P.; Belhomme, R.; Monnot, E.; Laverdure, N.; Boeda, D.; Roye, D.; Bacha, S. Contribution of wind farms to ancillary services. CIGRE 2006, 21, 1–11. [Google Scholar]
- Kayikci, M.; Milanovic, J.V. Reactive power control strategies for DFIG-based plants. IEEE Trans. Energy Convers. 2007, 22, 389–396. [Google Scholar]
- Gabash, A.; Li, P. On variable reverse power flow-part I: Active-reactive optimal power flow with reactive power of wind stations. Energies 2016, 9, 121. [Google Scholar] [CrossRef]
- Muyeen, S.M.; Tamura, J.; Murata, T. Stability Augmentation of a Grid-Connected wind Farm; Springer: Berlin, Germany, 2008. [Google Scholar]
- Golkhandan, K.R.; Aghaebrahimi, M.R.; Farshad, M. Control strategies for enhancing frequency stability by DFIGs in a power system with high percentage of wind power penetration. Appl. Sci. 2017, 7, 1140. [Google Scholar] [CrossRef]
- Jalali, M. DFIG Based Wind Turbine Contribution to System Frequency Control. Master’s Thesis, University of Waterloo, Waterloo, ON, Canada, 2010; pp. 1–92. [Google Scholar]
- Tang, Y.; He, H.; Wen, J.; Liu, J. Power system stability control for a wind farm based on adaptive dynamic programming. IEEE Trans. Smart Grid 2015, 6, 166–177. [Google Scholar] [CrossRef]
- Hazari, M.R.; Mannan, M.A.; Muyeen, S.M.; Umemura, A.; Takahashi, R.; Tamura, J. Stability augmentation of a grid-connected wind farm by fuzzy-logic-controlled DFIG-based wind turbines. Appl. Sci. 2018, 8, 20. [Google Scholar] [CrossRef]
- Mishra, A.; Tripathi, P.M.; Chatterjee, K. A review of harmonic elimination techniques in grid connected doubly fed induction generator based wind energy system. Renew. Sustain. Energy Rev. 2018, 89, 1–15. [Google Scholar] [CrossRef]
- Liu, Y.; Garcia, J.R.; King, T.J.; Liu, Y. Frequency regulation and oscillation damping contributions of variable-speed wind generators in the U.S. eastern interconnection (EI). IEEE Trans. Sustain. Energy 2015, 6, 951–958. [Google Scholar] [CrossRef]
- Ma, H.; Chowdhury, B. Working towards frequency regulation with wind plants: Combined control approaches. IET Renew. Power Gener. 2010, 4, 308–316. [Google Scholar] [CrossRef]
- Yingcheng, X.; Nengling, T. Review of contribution to frequency control through variable speed wind turbine. Renew. Energy 2011, 36, 1671–1677. [Google Scholar] [CrossRef]
- Kim, M.-K. Optimal Control and Operation Strategy for Wind Turbines Contributing to Grid Primary Frequency Regulation. Appl. Sci. 2017, 7, 927. [Google Scholar] [CrossRef]
- Sun, Y.; Zhang, Z.; Li, G.; Lin, J. Review on frequency control of power systems with wind power penetration. In Proceedings of the 2010 International Conference on Power System Technology (POWERCON), Hangzhou, China, 24–28 October 2010; pp. 1–8. [Google Scholar]
- Khezri, R.; Golshannavaz, S.; Vakili, R.; Memar-Esfahani, B. Multi-layer under frequency load shedding in back-pressure smart industrial microgrids. Energy 2017, 132, 96–105. [Google Scholar] [CrossRef]
- Bevrani, H. Robust Power System Frequency Control, 2nd ed.; Springer: Berlin, Germany, 2014. [Google Scholar]
- Golshannavaz, S.; Khezri, R.; Esmaeeli, M.; Siano, P.L. A two-stage robust-intelligent controller design for efficient LFC based on Kharitonov theorem and fuzzy logic. J. Ambient Intell. Hum. Comput. 2017, 9, 1445–1454. [Google Scholar] [CrossRef]
- Mohamed, TH.; Bevrani, H.; Hassan, A.; Hiyama, T. Decentralized model predictive based load frequency control in an interconnected power system. Energy Convers. Manag. 2011, 16, 1208–1214. [Google Scholar] [CrossRef]
- Khezri, R.; Golshannavaz, S.; Shokoohi, S.; Bevrani, H. Fuzzy Logic Based Fine-tuning Approach for Robust Load Frequency Control in a Multi-area Power System. Electr. Power Compon. Syst. 2016, 44, 2073–2083. [Google Scholar] [CrossRef]
- Oshnoei, A.; Hagh, M.T.; Khezri, R.; Mohammadi-Ivatloo, B. Application of IPSO and fuzzy logic methods in electrical vehicles for efficient frequency control of multi-area power systems. In Proceedings of the 2017 Iranian Conference on Electrical Engineering (ICEE), Tehran, Iran, 2–4 May 2017; pp. 1349–1354. [Google Scholar]
- Cam, E.; Gorel, G.; Mamur, H. Use of the Genetic Algorithm-Based Fuzzy Logic Controller for Load-Frequency Control in a Two Area Interconnected Power System. Appl. Sci. 2017, 7, 308. [Google Scholar] [CrossRef]
- Khezri, R.; Oshnoei, A.; Tarafdar Hagh, M.; Muyeen, S.M. Coordination of Heat Pumps, Electric Vehicles and AGC for Efficient LFC in a Smart Hybrid Power System via SCA-Based Optimized FOPID Controllers. Energies 2018, 11, 420. [Google Scholar] [CrossRef]
- Chang-Chien, L.; Chih-Che, S.; Yu-Ju, Y. Modeling of wind farm participation in AGC. IEEE Trans. Power Syst. 2014, 29, 1204–1211. [Google Scholar] [CrossRef]
- Chang-Chien, L.R.; Lin, W.T.; Yin, Y.C. Enhancing frequency response control by DFIGs in the high wind penetrated power systems. IEEE Trans. Power Syst. 2011, 26, 710–718. [Google Scholar] [CrossRef]
- Mauricio, J.M.; Marano, A.; Gómez-Expósito, A.; Ramos, J.L.M. Frequency regulation through variable-speed wind energy conversion systems. IEEE Trans. Power Syst. 2009, 24, 173–180. [Google Scholar] [CrossRef]
- Hazari, R.M.; Mannan, M.A.; Muyeen, S.M.; Umemura, A.; Takahashi, R.; Tamura, J. Transient Stability Augmentation of Hybrid Power System Based on Synthetic Inertia Control of DFIG. In Proceedings of the Australasian Universities Power Engineering Conference 2017 (AUPEC2017), Melbourne, Australia, 19–22 November 2017; pp. 1–6. [Google Scholar]
- Wang, Y.; Meng, J.; Zhang, X.; Xu, L. Control of PMSG-Based wind turbines for system inertial response and power oscillation damping. IEEE Trans. Sustain. Energy 2015, 6, 565–574. [Google Scholar] [CrossRef]
- Ataee, S.; Khezri, R.; Feizi, M.R.; Bevrani, H. Investigating the impacts of wind power contribution on the short-term frequency performance. In Proceedings of the Smart Grid Conference (SGC), Tehran, Iran, 9–10 December 2014; pp. 1–6. [Google Scholar]
- Zhang, Z.S.; Sun, Y.Z.; Lin, J.; Li, G.J. Coordinated frequency regulation by doubly fed induction generator based wind power plants. IET Renew. Power Gen. 2010, 6, 38–47. [Google Scholar] [CrossRef]
- Kleftakis, V.; Rigas, A.; Papadimitriou, C.; Katsoulakos, N.; Moutis, P.; Hatziargyriou, N. Contribution to frequency control by a PMSG wind turbine in a Diesel-Wind Turbine microgrid for rural electrification. In Proceedings of the 9th Mediterranean Conference on Power Generation, Transmission Distribution and Energy Conversion (MedPower 2014), Athens, Greece, 2–5 November 2014; pp. 1–5. [Google Scholar]
- Vidyanandan, K.V.; Senroy, N. Primary frequency regulation by deloaded wind turbines using variable droop. IEEE Trans. Power Syst. 2013, 28, 837–846. [Google Scholar] [CrossRef]
- Yingcheng, X.; Nengling, T. System frequency regulation in doubly fed induction generators. Int. J. Electr. Power Energy Syst. 2012, 43, 977–983. [Google Scholar] [CrossRef]
- Ataee, S.; Khezri, R.; Feizi, M.R.; Bevrani, H. Impacts of wind and conventional power coordination on the short-term frequency performance. In Proceedings of the 23rd Iranian Conference on Electrical Engineering (ICEE), Tehran, Iran, 10–14 May 2015; pp. 1–6. [Google Scholar]
- Ataee, S.; Bevrani, H. Improvement of primary frequency control by inertial response: Coordination between wind and conventional power plants. Int. Trans. Electr. Energy Syst. 2017, 27, e2340. [Google Scholar] [CrossRef]
- Verma, Y.P.; Kumar, A. Dynamic contribution of variable-speed wind energy conversion system in system frequency regulation. Front. Energy 2012, 3, 184–192. [Google Scholar] [CrossRef]
- Badmasti, B.; Bevrani, H. On contribution of DFIG wind turbines in the secondary frequency control. In Proceedings of the 1st Conference on New Research Achievements in Electrical and Computer Engineering, Tehran, Iran, 12 May 2016; pp. 1–7. [Google Scholar]
- Jalali, M.; Bhattacharya, K. Frequency regulation and AGC in isolated systems with DFIG-based wind turbines. In Proceedings of the IEEE Power & Energy Society General Meeting, Vancouver, BC, Canada, 21–25 July 2013; pp. 1–5. [Google Scholar]
- Aziz, A.; Shafiullah, G.M.; Stojcevski, A.; Amanullah, M.T.O. Participation of DFIG based wind energy system in load frequency control of interconnected multi-generation power system. In Proceedings of the Australasian Universities Power Engineering Conference (AUPEC), Perth, Australia, 28 September–1 October 2014; pp. 1–6. [Google Scholar]
- Ibraheem; Niazi, K.R.; Sharma, G. Study on dynamic participation of wind turbines in automatic generation control of power systems. Electr. Power Compon. Syst. 2015, 43, 44–55. [Google Scholar]
- Abo-Elyousr, F.K. Load frequency controller design for two-area interconnected power system with DFIG-based wind turbine via ant colony algorithm. In Proceedings of the Eighteenth International Middle East Power Systems Conference (MEPCON), Cairo, Egypt, 27–29 December 2016; pp. 1–8. [Google Scholar]
- Bhatt, P.; Roy, R.; Ghoshal, S.P. Dynamic participation of doubly fed induction generator in automatic generation control. Renew. Energy 2011, 36, 1203–1213. [Google Scholar] [CrossRef]
- Oshnoei, A.; Khezri, R.; Ghaderzadeh, M.; Parang, H.; Oshnoei, S.; Kheradmandi, M. Application of IPSO algorithm in DFIG-based wind turbines for efficient frequency control of multi-area power systems. In Proceedings of the Smart Grids Conference (SGC), Tehran, Iran, 20–21 December 2017; pp. 1–6. [Google Scholar]
- Preeti; Sharma, V.; Naresh, R.; Pulluri, H. Automatic generation control of multi-source interconnected power system including DFIG wind turbine. In Proceedings of the 1st IEEE International Conference on Power Electronics, Intelligent Control and Energy Systems (ICPEICES), Delhi, India, 4–6 July 2016; pp. 1–6. [Google Scholar]
- Pappachen, A.; Fathima, A.P. Genetic algorithm based PID controller for a two-area deregulated power system along with DFIG units. In Proceedings of the IEEE Sponsored 2nd International Conference on Innovations in Information, Embedded and Communication systems (ICIIECS), Coimbatore, India, 19–20 March 2015; pp. 1–6. [Google Scholar]
- Chaine, S.; Tripathy, M.; Satpathy, S. NSGA-II based optimal control scheme of wind thermal power system for improvement of frequency regulation characteristics. Ain Shams Eng. J. 2015, 6, 851–863. [Google Scholar] [CrossRef]
- Chaine, S.; Tripathy, M.; Jain, D. Non dominated Cuckoo search algorithm optimized controllers to improve the frequency regulation characteristics of wind thermal power system. Eng. Sci. Technol. Int. J. 2017, 20, 1092–1105. [Google Scholar] [CrossRef]
- Sahu, P.C.; Prusty, R.C.; Panda, S. ALO optimized NCTF controller in multi-area AGC system integrated with WECS based DFIG system. In Proceedings of the International Conference on Circuits Power and Computing Technologies (ICCPCT), Paris, France, 21–22 September 2017; pp. 1–6. [Google Scholar]
- Kumar, A.; Sathans. Impact study of DFIG based wind power penetration on LFC of a multi-area power system. In Proceedings of the Annual IEEE India Conference (INDICON), New Delhi, India, 17–20 December 2015; pp. 1–6. [Google Scholar]
- Azizipanah-Abarghooee, R.; Malekpour, M.; Zare, M.; Terzija, V. A new inertia emulator and fuzzy-based LFC to support inertial and governor responses using Jaya algorithm. In Proceedings of the IEEE Power & Energy Society General Meeting (PESGM), Boston, MA, USA, 17–21 July 2016; pp. 1–5. [Google Scholar]
- Sharma, G.; Niazi, K.R.; Ibraheem. Recurrent ANN based AGC of a two-area power system with DFIG based wind turbines considering asynchronous tie-lines. In Proceedings of the IEEE International Conference on Advances in Engineering & Technology Research (ICAETR), Unnao, India, 1–2 August 2014; pp. 1–5. [Google Scholar]
- Sharma, G.; Niazi, K.R.; Ibraheem; Bansal, R.C. LS-SVM based AGC of power system with dynamic participation from DFIG based wind turbines. In Proceedings of the 3rd Renewable Power Generation Conference (RPG), Naples, Italy, 24–25 September 2014; pp. 1–6. [Google Scholar]
- Qudaih, Y.S.; Bernard, M.; Mitani, Y.; Mohamed, T.H. Model predictive based load frequency control design in the presence of DFIG wind turbine. In Proceedings of the 2nd International Conference on Electric Power and Energy Conversion Systems (EPECS), Sharjah, The United Arab Emirates, 15–17 November 2012; pp. 1–6. [Google Scholar]
- Mohamed, T.H.; Morel, J.; Bevrani, H.; Hiyama, T. Model predictive based load frequency control design concerning wind turbines. Int. J. Electr. Power Energy Syst. 2012, 43, 859–867. [Google Scholar] [CrossRef]
- Ma, M.; Liu, X.; Zhang, C. LFC for multi-area interconnected power system concerning wind turbines based on DMPC. IET Gen. Transm. Distrib. 2017, 11, 2689–2696. [Google Scholar] [CrossRef]
- Zhang, Y.; Liu, X.; Qu, B. Distributed model predictive load frequency control of multi-area power system with DFIGs. IEEE/CAA J. Autom. Sin. 2017, 4, 125–135. [Google Scholar] [CrossRef]
- Kawakami, N.; Iijima, Y.; Fukuhara, M.; Bando, M.; Sakanaka, Y.; Ogawa, K.; Matsuda, T. Development and field experiences of stabilization system using 34MW NAS batteries for a 51 MW wind farm. In Proceedings of the IEEE International Symposium on Industrial Electronics, Istanbul, Turkey, 1–4 June 2014; pp. 2371–2376. [Google Scholar]
- Hui, W.; Wen, T. Load frequency control of power systems with wind turbines through flywheels. In Proceedings of the 27th Chinese Control and Decision Conference (CCDC), Qingdao, China, 23–25 May 2015; pp. 1–5. [Google Scholar]
- Bhatt, P.; Roy, R.; Ghoshal, S.P. Dynamic contribution of DFIG along with SMES for load frequency control of interconnected restructured power systems. In Proceedings of the 10th International Conference on Environment and Electrical Engineering, Rome, Italy, 8–11 May 2011; pp. 1–6. [Google Scholar]
- Kouba, N.Y.; Menaa, M.; Hasni, M.; Boudour, M. LFC enhancement concerning large wind power integration using new optimised PID controller and RFBs. IET Gen. Transm. Distrib. 2016, 10, 4065–4077. [Google Scholar] [CrossRef]
- Bhatt, P.; Ghoshal, S.P.; Roy, R. Coordinated control of TCPS and SMES for frequency regulation of interconnected restructured power systems with dynamic participation from DFIG based wind farm. Renew. Energy 2012, 40, 40–50. [Google Scholar] [CrossRef]
- Kumar, A.; Suhag, S. Effect of TCPS, SMES, and DFIG on load frequency control of a multi-area multi-source power system using multi-verse optimized fuzzy-PID controller with derivative filter. J. Vib. Control 2017. [Google Scholar] [CrossRef]
- Dhundhara, S.; Verma, Y.P. Evaluation of CES and DFIG unit in AGC of realistic multisource deregulated power system. Int. Trans. Electr. Energy Syst. 2017, 27, e2304. [Google Scholar] [CrossRef]
- Shankar, R.; Pradhan, R.; Sahoo, S.B.; Chatterjee, K. GA based improved frequency regulation characteristics for thermal-hydro-gas & DFIG model in coordination with FACTS and energy storage system. In Proceedings of the 3rd Int’l Conf. on Recent Advances in Information Technology, Dhanbad, India, 3–5 March 2016; pp. 1–6. [Google Scholar]
- Pan, I.; Das, S. Fractional order AGC for distributed energy resources using robust optimization. IEEE Trans. Smart Grid 2015, 7, 2175–2186. [Google Scholar] [CrossRef]
- Mirjalili, S. SCA: A sine cosine algorithm for solving optimization problems. Knowl.-Based Syst. 2016, 96, 120–133. [Google Scholar] [CrossRef]
- Dahiya, P.; Sharma, V.; Sharma, R.N. Optimal generation control of interconnected power system including DFIG-based wind turbine. IETE J. Res. 2015, 61, 285–300. [Google Scholar] [CrossRef]
© 2018 by the authors. Licensee MDPI, Basel, Switzerland. This article is an open access article distributed under the terms and conditions of the Creative Commons Attribution (CC BY) license (http://creativecommons.org/licenses/by/4.0/).