Abstract
A new class of wide energy gap benzotriimidazole materials have been synthesized by a two-step condensation reaction. All of the benzotriimidazole compounds have π-π* absorption bands in the range of 250–400 nm. The photoluminescence (PL) quantum efficiency of each benzotriimidazole depends strongly on the presence of electron withdrawing groups. PL quantum efficiencies of benzotriimidazoles without electron withdrawing groups were less than desirable (40–43%), while molecules with electron withdrawing groups displayed much stronger PL with efficiencies in the range of 73–75%. The electron withdrawing groups shift the emission to a longer wavelength, towards a more “true blue” color. This new class of benzotriimidazole optical materials could be used as electron-injecting and electron-transporting blue luminescence materials for potential organic light-emitting diode (OLED) applications.
1. Introduction
Great effort has been spent for decades to develop new luminescent organic semiconductors for organic light-emitting diodes (OLEDs) [1,2,3,4,5,6,7,8,9,10]. The OLED field requires organic fluorophores with highly efficient emission that can act as hole-transporting electron donors or as electron-transporting electron acceptors [11,12,13,14,15,16,17,18,19,20]. Useful organic semiconductors for OLEDs also possess a number of other qualities including solution processability, charge carrier mobility, thermal stability, and well-defined molecular energy levels. A disproportionate amount of research has focused on the development of red and green emitting devices while highly efficient blue emitting devices receive less attention. The large molecular energy gap necessary for blue emission often results in materials with low electron affinities that act as poor charge transporters and limit an OLED’s efficiency. In addition, research has also concentrated on the development of electron donor materials, which has restricted many of the most widely-used electron acceptor materials to expensive options that are difficult to synthesize or process.
These problems can be addressed with highly-polar heterocycle benzimidazoles. Many materials containing benzimidazole are suitable for both emissive and charge transport layers in OLEDs. Among benzimidazole materials, one of the most useful and extensively utilized is 1,3,5-tris(N-phenylbenzimidazole-2-yl)benzene (TPBI) (Figure 1a) [21,22,23,24]. TPBI has a unique aromatic polycyclic core and ring structure features, which result in high thermal stability, chemical stability, and resistance to oxidation. TPBI and similar materials are commonly used as electron transporting, hole blocking layers within OLED devices [23,24]. In many cases, TPBI is also employed as part of an OLED’s emissive layer as an electron transporting host material for fluorescent or phosphorescent dye molecules. The high electron mobility and hole blocking properties of TPBI allow the formation of excitons in the OLED emissive layer directly adjacent to a device’s hole transporting layer. This avoids exciton formation at the interface of the emissive layer and the electron transporting layer which can reduce or quench emission.
Figure 1.
1,3,5-Tris(N-phenylbenzimidazol-2-yl)benzene (TPBI) (a) and benzotriimidazole material (b).
TPBI’s strong performance in OLED devices derives from three distinct 1-phenyl-benzimidazole components. We sought to bolster the optical and electronic properties of TPBI by developing materials that combine three benzimidazole moieties into the highly electron-deficient, rigid aromatic structure of benzo [1,2-d:3,4-d′:5,6-d′′] triimidazole. We report here the synthesis and characterization of a family of molecules with a benzotriimidazole core and phenyl rings as pendants at the 1 and 2 position of each imidazole ring. A variety of substituents on the phenyl pendants at the 2 position on each imidazole ring were compared to observe the overall effect on optical and electronic properties caused by slight changes to the electron density of the benzotriimidazole core. Additionally, the phenyl pendants add to the 3D structure of each molecule, increasing bulkiness and limiting molecular packing density to suppress exciton quenching of photoluminescence. These benzotriimidazole-based materials possess strong blue fluorescence and they are the first of their kind to be reported for potential OLED applications.
The closest existing, previously-reported material to the benzotriimidazoles described in this work are a group of tris(aroyleneimidazole)s synthesized by Hanifi et al. [25] for use as electron-transporting materials for organic photovoltaic applications. The tris(aroyleneimidazole)s are large planar molecules that promote self-assembly and they are structurally distinct from the family of benzotriimidazoles reported here, and do not possess their strong fluorescence.
With a rigid aromatic polycyclic core, and its highly electron-deficient aromatic ring system, the benzimidizoles could be expected to lead to the formation of more conductive, and even more luminescent organic semiconductors as a result of the increase in the core-core attractive interactions which could encourage molecular stacking by design. However, up to now, no reports can be found that describe how to obtain such aromatic benzoimidizole materials.
In this paper, we report the synthesis of these wide energy gap benzotriimidazole optical materials (Figure 1b) and their optical property studies, including UV-visible absorption spectra and their luminescent emission spectra.
2. Materials and Methods
All chemicals and solvents were purchased from commercial sources and used as received except where noted. Structure and purity of the final products was characterized and confirmed by nuclear magnetic resonance spectroscopy (1H NMR and 13C NMR), UV-VIS (ultraviolet visible) absorption and photoluminescence measurements. 1H-NMR and 13C-NMR spectra were recorded on AMX 250, AC 300, AMX 500, and AMX 700 NMR spectrometers (Bruker Bio-Spin GmbH, Silberstreifen, Rheinstetten, Germany). UV-VIS absorption spectra were measured by a GBC Cintra 404 spectrophotometer (GBC Scientific Equipment (USA), Hampshire, IL, USA) using quartz cells with path lengths of 1 cm. Photoluminescence (PL) spectra were taken with a C4742 streak camera system (Hamamatsu Photonics, Hamamatsu, Japan) in fast/slow sweep mode.
3. Results and Discussion
3.1. Synthesis and Structural Characterization of Benztriimidazole Materials
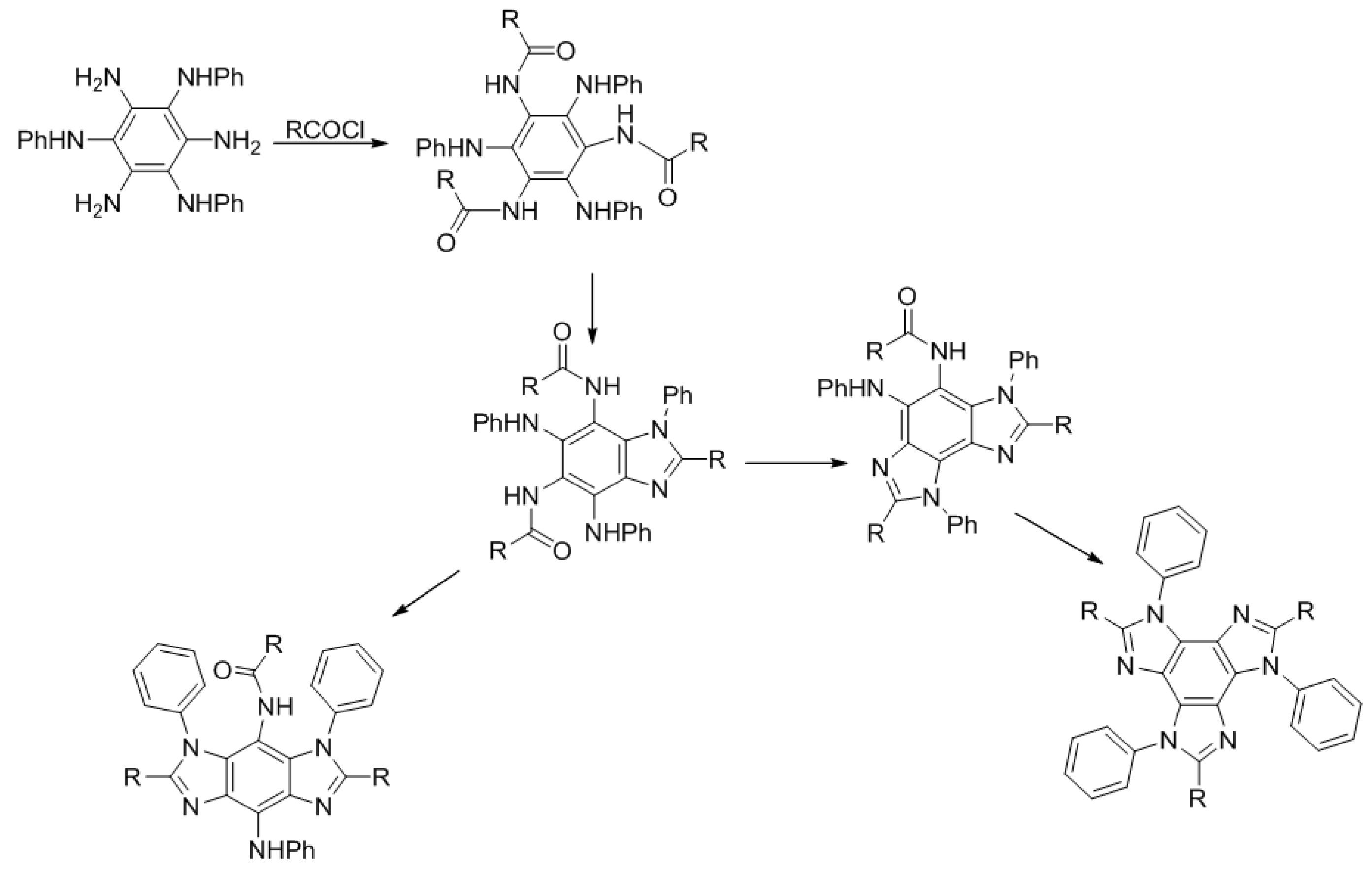
A family of benzotriimidazole-based materials was synthesized using a condensation reaction between N1,N3,N5-triphenylbenzene-1,2,3,4,5,6-hexaamine and selected acyl chlorides. The synthetic procedure is shown below.

Initially, condensation of N1,N3,N5-triphenylbenzene-1,2,3,4,5,6-hexaamine with a selected acyl chloride was carried out in a solvent of N-methyl-2-pyrrolidone in a single step. In an effort to improve the ratio of products, the reaction was also studied using a variety of other solvents, including acetic acid, acetic anhydride, and phosphoryl chloride, based on precedents from the literature. Despite varying the solvent, the reaction reliably produced a mixture of products with the desired benzotriimidazole material consisting of roughly one third of the mixture. The condensation reaction has competing synthetic pathways which result in roughly two thirds of the product mixture consisting of undesired pseudo-para benzodiimidazole. The competing condensation pathways for benzotriimidazole versus benzodiimidazole are depicted below. A similar problem was also encountered by Hanifi et al. [25] with yields of their tris(aroyleneimidazole). They reported similar competing reaction pathways that resulted in far more bis(aroyleneimidazole) in their product mixture.

One commonly-reported strategy to improve the yield for the synthesis of benzimidazoles is a two-step condensation reaction [26]. This strategy was adapted to the benzotriimidazole synthesis to improve the overall yield, as well as to improve the ratio of the product mixture in favor of the desired triple-condensed product. As the initial step, three equivalents of acyl chloride were added to N1,N3,N5-triphenylbenzene-1,2,3,4,5,6-hexaamine and stirred at room temperature in DMF (Dimethyl Formamide) for 90 min before precipitation into water to isolate the condensation intermediate. Cyclization of the condensation intermediate was tested in a variety of reaction conditions in an effort to change the product ratio away from favoring pseudo-para benzodiimidazole. Solvents and reaction temperature were varied, the intermediate was also added to the refluxing solvent to avoid slowly heating the intermediate from room temperature in case that process was the root of pseudo-para benzodiimidazole formation. Despite great effort to improve the yield of the benzotriimidazole, only marginal improvements were made by utilizing the two-step condensation procedure. As a result, larger scale reactions were carried out in a single-step condensation.
After condensation, the benzotriimidazole reaction mixture was precipitated into water and the crude product was isolated by filtration. Small-scale reactions were purified by silica gel column chromatography to separate the desired benzotriimidazole from the benzodiimidazole. To save time and solvent, larger scale reactions were purified by Soxhlet extraction. The isolated yields for the six different benzotriimidazole molecules range from 27–33%.
The six synthetic examples of benzotriimidazole materials (Figure 2) are as follows:
Figure 2.
From left to right, Tris Ph (1,2,4,5,7,8-hexaphenyl-4,7-dihydro-1H-benzo-[1,2-d:3,4-d′:5,6-d′′]triimidazole), Tris OMe (2,5,8-tris(4-methoxyphenyl)-1,4,7-triphenyl-4,7-dihydro-1H-benzo[1,2-d:3,4-d′:5,6-d′′]triimidazole), Tris tbutyl (2,5,8-tris(4-tert-butyl-phenyl)-1,4,7-triphenyl-4,7-dihydro-1H-benzo[1,2-d:3,4-d′:5,6-d′′]triimidazole), Tris CN (2,5,8-tris(4-cyanophenyl)-1,4,7-triphenyl-4,7-dihydro-1H-benzo[1,2-d:3,4-d′:5,6-d′′]triimidazole), TrisCN2F (2,5,8-tris(2-fluoro-4-cyanophenyl)-1,4,7-triphenyl-4,7-dihydro-1H-benzo[1,2-d:3,4-d′:5,6-d′′]triimidazole), TrisCN3F (2,5,8-tris(3-fluoro-4-cyanophenyl)-1,4,7-triphenyl-4,7-dihydro-1H-benzo[1,2-d:3,4-d′:5,6-d′′]triimidazole).
Synthesis of 1,2,4,5,7,8-hexaphenyl-4,7-dihydro-1H-benzo-[1,2-d:3,4-d′:5,6-d′′]triimidazole (Tris Ph). N1,N3,N5-triphenylbenzene-1,2,3,4,5,6-hexaamine (2.0 g, 5 mmol) and benzoyl chloride (2.6 g, 16 mmol) were dissolved in anhydrous N-methyl-2-pyrrolidone (30 mL). The resulting mixture was stirred at room temperature for one hour. The reaction mixture was refluxed for 16 h and then, after cooling to room temperature, was precipitated in 500 mL of water and filtered to isolate the brown precipitate as a crude product. The crude product was dissolved in a minimum amount of dichloromethane and then loaded onto a silica gel column for chromatography using dichloromethane as an eluent. The product was collected as a yellow/brown fraction and the volume of the solution was reduced by evaporation. Hexane was added to the product solution with stirring and a light yellow solid precipitated from the solution. The precipitate was collected as a light yellow solid by vacuum filtration and remaining impurities were washed away with minimal cold dichloromethane to leave pure 1,2,4,5,7,8-hexaphenyl-4,7-dihydro-1H-benzo[1,2-d:3,4-d′:5,6-d′′]triimidazole as a white solid (0.97 g, 1.48 mmol, 30% yield). 1H NMR (400 MHz, CDCl3, δ): 7.63–7.59 (m, 2H), 7.55–7.50 (m, 3H), 7.43 (m, 2H), 7.23–7.16 (m, 3H). 13C (CDCl3, δ): 148.65, 138.17, 130.69, 128.99, 128.92, 128.79, 128.55, 128.32, 127.94, 127.09, 126.15.
Synthesis of 2,5,8-tris(4-tert-butyl-phenyl)-1,4,7-triphenyl-4,7-dihydro-1H-benzo[1,2-d:3,4-d′:5,6-d′′]triimidazole (Tris butyl). N1,N3,N5-triphenylbenzene-1,2,3,4,5,6-hexaamine (2.0 g 5 mmol) and 4-tert-butyl-benzoylchloride (3.14 g, 16 mmol) were dissolved in anhydrous N-methyl-2-pyrrolidone (30 mL). The resulting mixture was stirred at room temperature for one hour. The reaction mixture was refluxed for 16 h and then, after cooling to room temperature, was precipitated in 500 mL of water and filtered to isolate the brown precipitate as a crude product. The brown solid was purified by silica gel column chromatography with an eluent of 20% ethyl acetate and 80% hexane. The purified product was collected as a clear solution with blue/purple photoluminescence and the solvent was removed by evaporation to yield the pure compound 2,5,8-tris(4-tert-butyl-phenyl)-1,4,7-triphenyl-4,7-dihydro-1H-benzo[1,2-d:3,4-d′:5,6-d′′]triimidazole as a white solid product (1.45 g, 1.65 mmol, 33% yield). 1H NMR (400 MHz, CDCl3, δ): 7.66–7.60 (m, 2H), 7.58–7.51 (m, 3H), 7.35 (d, J = 8.8 Hz, 2H), 7.19 (d, J = 8.8 Hz, 2H), 1.25 (s, 9H). 13C (CDCl3, δ): 151.29, 148.55, 138.42, 128.89, 128.46, 127.87, 127.02, 126.00, 124.92, 34.60, 31.22.
Synthesis of 2,5,8-tris(4-cyanophenyl)-1,4,7-triphenyl-4,7-dihydro-1H-benzo[1,2-d:3,4-d′:5,6-d′′]triimidazole (Tris CN). N1,N3,N5-triphenylbenzene-1,2,3,4,5,6-hexaamine (2.0 g, 5 mmol) and 4-cyanobenzoyl chloride (2.6 g, 16 mmol) were dissolved in anhydrous N-methyl-2-pyrrolidone (30 mL). The resulting mixture was stirred at room temperature for one hour. The reaction mixture was refluxed for 16 h and then, after cooling to room temperature, was precipitated in 500 mL of water and filtered to isolate the yellow-brown precipitate as a crude product. The crude product was dissolved in a minimum amount of dichloromethane and then loaded onto a silica gel column for chromatography using dichloromethane as an eluent. The purified product was separated from a brown impurity and collected as a clear solution with bright blue photoluminescence. The solvent was removed by evaporation and the pure compound of 2,5,8-tris(4-cyanophenyl)-1,4,7-triphenyl-4,7-dihydro-1H-benzo[1,2-d:3,4-d′:5,6-d′′]triimidazole was obtained as a white solid (1.13 g, 1.55 mmol, 31% yield). 1H NMR (400 MHz, CDCl3, δ): 7.62–7.54 (m, 3H), 7.52–7.44 (m, 2H). 13C (CDCl3, δ): 146.85, 137.43, 134.51, 131.86, 129.47, 128.96, 128.42, 127.47, 127.13, 118.57, 111.85.
Synthesis of 2,5,8-tris(4-methoxyphenyl)-1,4,7-triphenyl-4,7-dihydro-1H-benzo[1,2-d:3,4-d′:5,6-d′′]triimidazole (Tris OMe). N1,N3,N5-triphenylbenzene-1,2,3,4,5,6-hexaamine (2.0 g, 5 mmol) and 4-methoxy benzoyl chloride (2.72 g, 16 mmol) were dissolved in anhydrous N-methyl-2-pyrrolidone (30 mL). The resulting mixture was stirred at room temperature for one hour. The reaction mixture was refluxed for 16 h and then, after cooling to room temperature, was precipitated in 500 mL of water and filtered to isolate the brown precipitate as a crude product. The brown solid was dissolved in dichloromethane and filtered through a plug of silica gel to remove the brown impurity. The resulting light yellow solution was dried by evaporation and the resulting yellow solid was purified using silica gel column chromatography with an eluent of 20% ethyl acetate, 80% hexane. The product was collected as a clear solution with purple photoluminescence. The solvent was removed by evaporation to leave the pure compound 2,5,8-tris(4-methoxyphenyl)-1,4,7-triphenyl-4,7-dihydro-1H-benzo[1,2-d:3,4-d′:5,6-d′′]triimidazole as a white solid (1.15 g, 1.55 mmol, 31% yield). 1H NMR (400 MHz, CDCl3, δ): 7.61–7.58 (m, 2H), 7.57–7.50 (m, 3H), 7.38–7.33 (m, 2H), 6.73–6.69 (m, 2H), 3.75 (s, 3H). 13C (CDCl3, δ): 159.69, 148.57, 138.43, 130.35, 128.89, 128.41, 126.88, 125.73, 123.44, 113.43, 55.19.
Synthesis of 2,5,8-tris(2-fluoro-4-cyanophenyl)-1,4,7-triphenyl-4,7-dihydro-1H-benzo[1,2-d:3,4-d′:5,6-d′′]triimidazole (Tris CN2F). N1,N3,N5-triphenylbenzene-1,2,3,4,5,6-hexaamine (2.0 g, 5 mmol) and 2-fluoro-4-cyanobenzoyl chloride (2.94 g, 16 mmol) were dissolved in anhydrous N-methyl-2-pyrrolidone (30 mL). The resulting mixture was stirred at room temperature for one hour. The reaction mixture was refluxed for 16 h and then, after cooling to room temperature, was precipitated in 500 mL of water and filtered to isolate the yellow-brown precipitate as a crude product. The crude product was dissolved in a minimum amount of ethyl acetate and then loaded onto a silica gel column for chromatography using an eluent of 90% hexane and 10% ethyl acetate. The purified product was separated from a brown impurity and collected as a clear solution with bright blue photoluminescence. The solvent was removed by evaporation and the pure compound of 2,5,8-tris(2-fluoro-4-cyanophenyl)-1,4,7-triphenyl-4,7-dihydro-1H-benzo[1,2-d:3,4-d′:5,6-d′′]triimidazole was obtained as a white solid (1.07 g, 1.37 mmol, 27% yield). 1H NMR (400 MHz, CDCl3, δ): 7.62 (t, J = 11.4 Hz, 1H), 7.51–7.47 (m, 2H), 7.46–7.39 (m, 4H), 7.21 (dd, J = 13.8 Hz, J′ = 2.4, 1H).
Synthesis of 2,5,8-tris(3-fluoro-4-cyanophenyl)-1,4,7-triphenyl-4,7-dihydro-1H-benzo[1,2-d:3,4-d′:5,6-d′′]triimidazole (Tris CN3F). N1,N3,N5-triphenylbenzene-1,2,3,4,5,6-hexaamine (2.0 g, 5 mmol) and 3-fluoro-4-cyanobenzoyl chloride (2.94 g, 16 mmol) were dissolved in anhydrous N-methyl-2-pyrrolidone (30 mL). The resulting mixture was stirred at room temperature for one hour. The reaction mixture was refluxed for 16 h and then, after cooling to room temperature, was precipitated in 500 mL of water and filtered to isolate the yellow-brown precipitate as a crude product. The crude product was dissolved in a minimum amount of dichloromethane and then loaded onto a silica gel column for chromatography using dichloromethane as an eluent. The purified product was separated from a brown impurity and collected as a clear solution with bright blue photoluminescence. The solvent was removed by evaporation and the pure compound of 2,5,8-tris(3-fluoro-4-cyanophenyl)-1,4,7-triphenyl-4,7-dihydro-1H-benzo[1,2-d:3,4-d′:5,6d′′] triimidazole was obtained as a white solid (1.14 g, 1.45 mmol, 29% yield). 1H NMR (400 MHz, CDCl3, δ): 7.68–7.62 (m, 3H), 7.57–7.54 (m, 2H), 7.41 (dd, J = 8.4 Hz, J′ = 6.6 Hz, 1H), 7.29 (dd, J = 10.2 Hz, J′ = 1.2 Hz, 1H), 7.21 (dd, J = 7.8 Hz, J′ = 1.2 Hz, 1H).
3.2. Optical Properties of Benztriimidazole Materials
The optical properties of all six benzotriimidazole compounds were measured by UV-VIS and fluorescence spectroscopy in dichloroethane. Tris Ph will be considered the model compound which will be compared to molecules with different electron donor substituents (Tris OMe and Tris tbutyl) and electron withdrawing substituents (Tris CN, Tris CN2F, Tris CN3F) on the phenyl pendants. Absorption and emission spectra for each compound are shown in Figure 3.
Figure 3.
Optical spectra of benzotriimidazole-based materials. Solid line: absorption. Dotted line: photoluminescence.
All of the benzotriimidazole compounds have π-π* absorption bands in the range of 250–400 nm. These values strongly depend on the electron withdrawing character of the substituents on the phenyl pendants. When no substituent is used, as with Tris Ph, maximum absorption occurs at 300 nm. Very little change is observed in the absorption spectrum when electron donating methoxy substituents are introduced with Tris OMe. Slightly electron-donating tert-butyl substituents were used to improve solubility of Tris tbutyl, and the absorption spectrum is similarly indistinguishable from Tris Ph.
When electron withdrawing substituents are introduced into the system, there is a clear effect on the optical properties. The absorption spectra are shifted 50–60 nm to longer wavelengths despite the electron withdrawing phenyl pendants not being directly conjugated to the π-system of the benzotriimidazole core. The simplest of these, Tris CN, utilizes cyano-phenyl pendants and has peak absorption at 354 nm. A second electron withdrawing substituent was introduced with Tris CN3F, a fluorine atom ortho to the cyano group of each phenyl pendant. This resulted in further red-shifted the peak absorption at 362 nm. When the fluorine atom is meta to the cyano group on the phenyl pendant, as with Tris CN2F, the observed redshift is not quite as drastic, with peak absorption at 360 nm.
Upon excitation at absorption λmax, the benzotriimidazoles that do not possess electron-withdrawing groups exhibit violet-blue photoluminescence (PL). Tris Ph, Tris OMe, and Tris tbutyl have very similar PL spectra with maxima at 408, 406, and 405 nm, respectively, and all three emit over the range of 350–550 nm. The full-width at half-maximum (FWHM) for the PL spectra of all three molecules is approximately 72 nm. Conversely, the benzotriimidazoles with electron-withdrawing groups display very strong blue PL slightly red-shifted to the range of 400–600 nm. The PL spectrum of Tris CN has λmax of 445 nm and FWHM of 80 nm. Tris CN2F and Tris CN3F have almost identical PL spectra and are slightly red-shifted even further from Tris CN with λmax at 453 nm and similar, slightly broadened FWHM of 82 nm. The electron withdrawing groups shift the emission to a longer wavelength, towards a more “true blue” color.
The PL quantum efficiency of each benzotriimidazole depends strongly on the presence of electron-withdrawing groups. PL quantum efficiencies of benzotriimidazoles without electron-withdrawing groups were less than desirable (40–43%) while molecules with electron-withdrawing groups displayed much stronger PL with efficiencies in the range of 73–75%. The electron withdrawing groups on the phenyl pendants enhance emission efficiency by pulling electron density away from the already electron-deficient benzotriimidazole core, making a reasonable fluorophore into a very strong one. There is negligible disparity in PL quantum efficiency between molecules with only CN on the phenyl pendants and molecules with CN and F. The enhancement in PL quantum efficiency is likely maximized by a single electron withdrawing group (EWG) in the para position on each pendant. The para position on the pendants appears to be most effective at drawing electron density from the core of the benzotriimidazole. The benzotriimidazole quantum efficiency data is summarized in Table 1.
Table 1.
Quantum efficiency of benzotriimidazole-based materials.
4. Conclusions
A new class of benzotriimidazole-based materials have been synthesized by a two-step condensation reaction to improve overall yield and the ratio of the product mixture in favor of the desired triple-condensed product. Structure and purity of the six benzotriimidazole materials were characterized and confirmed by proton and carbon NMR, UV-VIS, and photoluminescence spectroscopy. This new class of blue luminescent materials could not only be used as blue emitting materials, but also could potentially be used as electron-injecting and electron-transporting materials for OLED devices, in general.
The optical properties of all six benzotriimidazole compounds were measured by UV-VIS and fluorescence spectroscopy. All of the benzotriimidazole compounds have π-π* absorption bands in the range of 250–400 nm. The maximum absorption of Tris Ph occurs at 300 nm, while the absorption spectrum of Tris OMe and Tris tbutyl are similarly indistinguishable from Tris Ph. Tris CN, utilizes cyano-phenyl pendants and has peak absorption at 354 nm. A second electron-withdrawing substituent was introduced with Tris CN3F, which resulted in a further red-shifted peak absorption at 362 nm. Tris CN2F observed red shift is not quite as drastic, with peak absorption at 360 nm. The PL quantum efficiency of each benzotriimidazole depends strongly on the presence of electron-withdrawing groups. PL quantum efficiencies of benzotriimidazoles without electron-withdrawing groups were less than desirable (40–43%), while molecules with electron-withdrawing groups displayed much stronger PL with efficiencies in the range of 73–75%. The electron-withdrawing groups shift the emission to a longer wavelength, towards a more “true blue” color. Those optical properties play important roles and this new class of blue benzotriimidazole materials could be used as electron-injection and -transportation materials similar to TPBI for potential OLED applications.
Author Contributions
J.S. and J.M.C. conceived and designed the experiments; J.M.C. performed the experiments; J.S. and R.F. analyzed the data; J.M.C., R.F. and J.S. wrote the paper.
Conflicts of Interest
The authors declare no conflict of interest.
References
- Burroughes, J.H.; Bradley, D.D.C.; Burroughes, J.H.; Friend, R.H.; Greenham, N.C.; Burn, P.L.; Holmes, A.B.; Kraft, A.M. Light-emitting diodes based on conjugated polymers. Nature 1990, 347, 539–541. [Google Scholar] [CrossRef]
- Baldo, M.A.; O’Brien, D.F.; You, Y.; Shoustikov, A.; Sibley, S.; Thompson, M.E.; Forrest, S.R. Highly efficient phosphorescent emission from organic electroluminescent devices. Nature 1998, 395, 151. [Google Scholar]
- Yu, G.; Heeger, A.J. High efficiency photonic devices made with semiconducting polymers. Synth. Met. 1997, 85, 1183–1186. [Google Scholar] [CrossRef]
- O’Brien, B.; Lee, Y.K.; Marrs, M.; Smith, J.; Strnad, M.; Forsythe, E.; Morton, D. 70.2 L: Late-News Paper: 14.7” Active Matrix PHOLED Displays on Temporary Bonded PEN Substrates with Low Temperature IGZO TFTs. SID Symp. Digest Tech. Pap. 2013, 44, 447–450. [Google Scholar] [CrossRef]
- O’Rourke, S.M.; Loy, D.E.; Moyer, C.; Bawolek, E.J.; Ageno, S.K.; O’Brien, B.P.; Marrs, M.; Bottesch, D.; Dailey, J.; Naujokaitis, R.; et al. Direct Fabrication of A-Si:H Thin Film Transistor Arrays on Plastic and Metal Foils for Flexible Displays; Arizona State University Tempe: Tempe, AZ, USA, 2008. [Google Scholar]
- Swensen, J.S.; Wang, L.; Koech, P.K.; Polikarpov, E.; Padmaperuma, A.B.; Gaspar, D.J. Blue phosphorescent organic light-emitting devices utilizing cesium–carbonate-doped 2,4,6-tris(2′,4′-difluoro-[1,1′-biphenyl]-4-yl)-1,3,5-triazine. J. Photonics Energy 2011, 1, 011008. [Google Scholar] [CrossRef]
- Fellowes, D.A.; Wood, M.V. AMOLED (active matrix OLED) functionality and usable lifetime at temperature. In Proceedings of the SPIE 5800, Helmet- and Head-Mounted Displays X: Technologies and Applications, Orlando, FL, USA, 19 May 2005; SPIE: Bellingham, WA, USA, 2005. [Google Scholar]
- Shen, Z.; Burrows, P.E.; Bulovic, V.; Forrest, S.R.; Thompson, M.E. Three-color, tunable, organic light-emitting devices. Science 1997, 276, 2009–2011. [Google Scholar] [CrossRef]
- Hameed, T.A.S.; Predeep, P.; Baiju, M.R. Organic Light Emitting Diodes: Device Physics and Effects of Ambience on Performance Parameters, Optoelectronics-Devices and Applications; Predeep, P., Ed.; InTech: Rijeka, Croatia, 2011; ISBN 978-953-307-576-1. [Google Scholar]
- Gao, Z.; Lee, C.S.; Bello, I.; Lee, S.T.; Chen, R.-M.; Luh, T.-Y.; Shi, J.; Tang, C.W. Bright-blue electroluminescence from a silyi-substituted ter-(phenylene-vinylene) derivative. Appl. Phys. Lett. 1999, 74, 865. [Google Scholar] [CrossRef]
- Hung, L.S.; Tang, C.W.; Mason, M.G. Enhanced electron injection in organic electroluminescence devices using an Al/LiF electrode. Appl. Phys. Lett. 1997, 70, 152–154. [Google Scholar] [CrossRef]
- Wakimoto, T.; Fukuda, Y.; Nagayama, K.; Yokoi, A.; Nakada, H.; Tsuchida, M. Organic EL cells using alkaline metal compounds as electron injection materials. IEEE Trans. Electron. Dev. 1997, 44, 1245–1248. [Google Scholar] [CrossRef]
- Jabbour, G.E.; Kippelen, B.; Armstrong, N.R.; Peyghambarian, N. Aluminum based cathode structure for enhanced electron injection in electroluminescent organic devices. Appl. Phys. Lett. 1998, 73, 1185–1187. [Google Scholar] [CrossRef]
- Kido, J.; Matsumoto, T. Bright organic electroluminescent devices having a metal-doped electron-injecting layer. Appl. Phys. Lett. 1998, 73, 2866–2868. [Google Scholar] [CrossRef]
- Burrows, P.E.; Shen, Z.; Bulovic, V.; McCarty, D.M.; Forrest, S.R.; Cronin, J.A.; Thompson, M.E. Relationship between electroluminescence and current transport in organic heterojunction light-emitting devices. J. Appl. Phys. 1996, 79, 7991–8006. [Google Scholar] [CrossRef]
- Tsang, S.W.; So, S.K.; Xu, J.B. Application of admittance spectroscopy to evaluate carrier mobility in organic charge transport materials. J. Appl. Phys. 2006, 99, 013706. [Google Scholar] [CrossRef]
- Wu, C.-C.; Huang, W.-Y.; Liu, T.-L. Hole-transport properties of a furan-containing oligoaryl. J. Appl. Phys. 2003, 93, 5465–5471. [Google Scholar] [CrossRef]
- Li, Y.; Zhang, D.-Q.; Duan, L.; Zhang, R.; Wang, L.-D.; Qiu, Y. Elucidation of the electron injection mechanism of evaporated cesium carbonate cathode interlayer for organic light-emitting diodes. Appl. Phys. Lett. 2007, 90, 012119. [Google Scholar] [CrossRef]
- Pfieffer, M.; Leo, K.; Zhou, X.; Huang, J.S.; Hofmann, M.; Werner, A.; Blochwitz-Nimoth, J. Doped organic semiconductors: Physics and application in light emitting diodes. Org. Electron. 2003, 4, 89–103. [Google Scholar] [CrossRef]
- Lee, T.W.; Park, O.O. The effect of different heat treatments on the luminescence efficiency of polymer light-emitting diodes. Adv. Mater. 2000, 12, 801–804. [Google Scholar] [CrossRef]
- Shi, J.; Tang, C.W.; Chen, C.H. Blue Organic Electroluminescent Devices. U.S. Patent 5,645,948, 8 July 1997. [Google Scholar]
- Shi, J.; Tang, C.W.; Chen, C.H. Electron Transporting Materials for Organic Electroluminescent Devices. U.S. Patent 5,766,779, 16 June 1998. [Google Scholar]
- Fu, R.; Shi, J.; Forsythe, E.; Blomquist, S.; Srour, M.; Morton, D.C. Improvement of device efficiency for blue organic light emitting diodes by controlling the Cs2CO3-doped electron transport layer. J. Photonics Energy 2014, 4, 043595. [Google Scholar] [CrossRef]
- Fu, R.; Forsythe, E.; Shi, J.; Srour, M.; Blomquis, S.; Morton, D. Temperature dependence of cesium carbonate-doped electron transporting layers on organic light-emitting diodes. Synth. Met. 2015, 209, 128–134. [Google Scholar] [CrossRef]
- Hanifi, D.; Cao, D.; Klivansky, L.M.; Liu, Y. Novel C3-symmetric n-type tris(aroyleneimidazole) and its analogs: Synthesis, physical properties and self-assembly. Chem. Commun. 2011, 47, 3454–3456. [Google Scholar] [CrossRef] [PubMed]
- Debeaux, M.; Thesen, M.W.; Schneidenbach, D.; Hopf, H.; Janietz, S.; Krueger, H.; Wedel, A.; Kowalsky, W.; Johannes, H.-H. Charge-Transporting Polymers based on Phenylbenzoimidazole Moieties. Adv. Funct. Mater. 2010, 20, 399–408. [Google Scholar] [CrossRef]
© 2017 by the authors. Licensee MDPI, Basel, Switzerland. This article is an open access article distributed under the terms and conditions of the Creative Commons Attribution (CC BY) license (http://creativecommons.org/licenses/by/4.0/).