Mechanisms of Sweep on the Performance of Transonic Centrifugal Compressor Impellers
Abstract
Featured Application
Abstract
1. Introduction
- The impacts of blade sweep on the aerodynamic performance of the centrifugal impeller have not been systematically studied yet. It is hard to tell the general trend of aerodynamic performance parameters (i.e., choke mass flow rate, efficiency and pressure ratio) with changing sweep feature. Such understandings are important to guide future optimization designs.
- The aerodynamic effects of sweep on the flowfield have not been fully understood. Some of the effects in the axial part of the impeller were reported in previous research, but few studies have addressed the axial-to-radial part of the impeller, which differs between axial and radial turbomachines.
- The underlying mechanism for the optimal sweep angle with best efficiency has not yet been determined.
2. Case Description
2.1. Datum Impeller
2.2. Sweep Definition
3. Numerical Method and Validation
3.1. Numerical Method
3.2. Grid Independence Study
3.3. Validation
4. Performance Comparison
4.1. Choke Mass Flow Rate
4.2. Efficiency
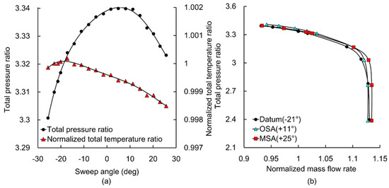
4.3. Pressure Ratio
5. Aerodynamic Effects of Sweep Feature
5.1. Effect on the Front Loading
5.2. Effect on the Shock Structure
5.3. Effect on the Tip Leakage Vortex
5.4. Effect on the Flow Separation
5.5. Causal Link between Aerodynamics Effects and Compressor Efficiency
6. Conclusions
- Sweep feature has a great impact on the choke mass flow rate, efficiency and pressure ratio of the impeller. Its effect on compressor efficiency will be stronger if the centrifugal compressor has a higher pressure ratio or a higher front loading.
- Sweep influences the flowfields through the effects on the front loading, the shock structure, the tip leakage vortex, and the flow separation. On the shroud section, forward sweep tends to restrict the front loading, the shock strength and the tip leakage vortex, which reduces the loss near the casing. On the hub section, aft sweep suppresses the front loading and the flow separation, which reduces the loss near the hub.
- The mechanism for the optimal sweep angle is deduced to be a trade-off between the effects of reduced tip leakage loss and the enhanced hub endwall loss. Because the spanwise front loading distribution varies in different cases, the optimal sweep angle, which in the investigated case occurs near +11°, will be different in other cases. Forward sweep is expected to be more efficient in heavy tip loading cases, while in heavy hub loading ones aft sweep has the potential to increase efficiency.
Acknowledgments
Author Contributions
Conflicts of Interest
Nomenclature
| b | blade height |
| cp | specific heat capacity at constant pressure |
| F | blade force |
| h | enthalpy |
| m | mass flow rate |
| M | normalized distance along the meridional curve |
| MSA | case with the maximum sweep angle |
| n | distance in the spanwise direction |
| N | normalized distance in the spanwise direction |
| OSA | case with the optimal sweep angle |
| p | pressure |
| r | distance in the radial direction |
| s | entropy |
| T | temperature |
| U | blade speed |
| V | absolute velocity |
| y+ | normalized wall distance |
| Z | number of blades |
| γ | ratio of specific heat capacities |
| δ | streamline slope angle |
| η | isentropic efficiency |
| θ | tangential angle |
| λ | blade loading |
| π | total pressure ratio |
| ρ | density |
| Subscripts: | |
| 1 | impeller inlet |
| 2 | impeller exit |
| c | choke condition |
| d | design condition |
| m | meridional component |
| p | pressure side |
| r | radial component |
| s | suction side |
| t | tangential component |
| Definitions of non-dimensional parameters: | |
| φ | flow coefficient |
| ψ | pressure coefficient |
| Ns | specific speed |
Appendix A. Correlation between the Sweep Angle and the Induced Inlet Lean Angle
References
- Wang, Y.; Shi, D.; Zhang, D.; Xie, Y. Investigation on Unsteady Flow Characteristics of a SCO2 Centrifugal Compressor. Appl. Sci. 2017, 74, 310. [Google Scholar] [CrossRef]
- Albusaidi, W.; Pilidis, P. An Iterative Method to Derive the Equivalent Centrifugal Compressor Performance at Various Operating Conditions: Part II: Modeling of Gas Properties Impact. Energies 2015, 8, 8516–8536. [Google Scholar] [CrossRef]
- Hosseini, M.; Sun, Z.; He, X.; Zheng, X. Effects of Radial Gap Ratio between Impeller and Vaned Diffuser on Performance of Centrifugal Compressors. Appl. Sci. 2017, 7, 728. [Google Scholar] [CrossRef]
- Ebrahimi, M.; Huang, Q.; He, X.; Zheng, X. Effects of Variable Diffuser Vanes on Performance of a Centrifugal Compressor with Pressure Ratio of 8.0. Energies 2017, 10, 682. [Google Scholar] [CrossRef]
- Krain, H. Review of Centrifugal Compressor’s Application and Development. J. Turbomach. 2005, 127, 25–34. [Google Scholar] [CrossRef]
- Lin, Y.; Zheng, X.; Jin, L.; Tamaki, H.; Kawakubo, T. A Novel Experimental Method to Evaluate the Impact of the Volute’s Asymmetry on the Performance of a High Pressure Ratio Turbocharger Compressor. Sci. China Technol. Sci. 2012, 55, 1695–1700. [Google Scholar] [CrossRef]
- Zheng, X.; Lin, Y.; Gan, B.; Zhuge, W.; Zhang, Y. Effects of Reynolds Number on the Performance of a High Pressure-Ratio Turbocharger Compressor. Sci. China Technol. Sci. 2013, 56, 1361–1369. [Google Scholar] [CrossRef]
- Cumpsty, N.A. Compressor Aerodynamics; Longman Scientific and Technical: Harlow, UK, 1989; pp. 249–254. [Google Scholar]
- Ibaraki, S.; Matsuo, T.; Kuma, H.; Sumida, K.; Suita, T. Aerodynamics of a Transonic Centrifugal Compressor Impeller. J. Turbomach. 2003, 125, 346–351. [Google Scholar] [CrossRef]
- Denton, J.D.; Xu, L. The Exploitation of Three-Dimensional Flow in Turbomachinery Design. Proc. Inst. Mech. Eng. C 1998, 213, 125–137. [Google Scholar] [CrossRef]
- Zheng, X.; Li, Z. Blade-End Treatment to Improve the Performance of Axial Compressors: An Overview. Prog. Aerosp. Sci. 2017, 88, 1–14. [Google Scholar] [CrossRef]
- Vad, J. Aerodynamic Effects of Blade Sweep and Skew in Low-Speed Axial Flow Rotors at the Design Flow Rate: An Overview. Proc. Inst. Mech. Eng. A 2008, 222, 69–85. [Google Scholar] [CrossRef]
- Okui, H.; Verstraete, T.; Van den Braembussche, R.A.; Alsalihi, Z. Three-Dimensional Design and Optimization of a Transonic Rotor in Axial Flow Compressors. J. Turbomach. 2013, 135, 031009. [Google Scholar] [CrossRef]
- Vad, J. Forward Blade Sweep Applied to Low-Speed Axial Fan Rotors of Controlled Vortex Design: An overview. J. Eng. Gas Turbines Power 2013, 135, 012601. [Google Scholar] [CrossRef]
- Ilikan, A.N.; Ayder, E. Influence of the Sweep Stacking on the Performance of an Axial Fan. J. Turbomach. 2015, 137, 061004. [Google Scholar] [CrossRef]
- Hah, C.; Puterbaugh, S.L.; Wadia, A.R. Control of Shock Structure and Secondary Flowfield inside Transonic Compressor Rotors through Aerodynamic Sweep. In Proceedings of the International Gas Turbine and Aeroengine Congress and Exhibition, Stockholm, Sweden, 2–5 June 1998. [Google Scholar]
- Benini, E.; Biollo, R. Aerodynamics of Swept and Leaned Transonic Compressor-Rotors. Appl. Energy 2007, 84, 1012–1027. [Google Scholar] [CrossRef]
- Cui, W.; Xiang, X.; Zhao, Q.; Xu, J. The Effect of Sweep on Flowfields of a Highly Loaded Transonic Rotor. Aerosp. Sci. Technol. 2016, 58, 71–81. [Google Scholar] [CrossRef]
- Denton, J.D.; Xu, L. The Effects of Lean and Sweep on Transonic Fan Performance. In Proceedings of the ASME Turbo Expo 2002: Power for Land, Sea, and Air, Amsterdam, The Netherlands, 3–6 June 2002. [Google Scholar]
- Hah, C.; Shin, H.W. Study of Near-Stall Flow Behavior in a Modern Transonic Fan with Compound Sweep. J. Fluids Eng. 2012, 134, 071101. [Google Scholar] [CrossRef]
- Ji, L.; Chen, J.; Lin, F. Review and Understanding on Sweep in Axial Compressor Design. In Proceedings of the ASME Turbo Expo 2005: Power for Land, Sea, and Air, Reno, NV, USA, 6–9 June 2005. [Google Scholar]
- Palmer, D.L.; Waterman, W.F. Design and Development of an Advanced Two-Stage Centrifugal Compressor. J. Turbomach. 1995, 117, 205–212. [Google Scholar] [CrossRef]
- Krain, H.; Hoffmann, B. Flow Study of a Redesigned High-Pressure-Ratio Centrifugal Compressor. J. Propul. Power 2008, 24, 1117–1123. [Google Scholar] [CrossRef]
- Hazby, H.; Casey, M.; Numakura, R.; Tamaki, H. A Transonic Mixed Flow Compressor for an Extreme Duty. J. Turbomach. 2015, 137, 051010. [Google Scholar] [CrossRef]
- Hazby, H.R.; Xu, L. Effects of Leading Edge Sweep on the Performance of a Centrifugal Impeller. In Proceedings of the 18th ISABE (International Symposium on Air Breathing Engines) Conference, Beijing, China, 2–7 September 2007. [Google Scholar]
- Erdmenger, R.R.; Michelassi, V. Impact of Main and Splitter Blade Leading Edge Contour on the Performance of High Pressure Ratio Centrifugal Compressors. In Proceedings of the ASME Turbo Expo 2014: Turbine Technical Conference and Exposition, Düsseldorf, Germany, 16–20 June 2014. [Google Scholar]
- Hazby, H.R.; Xu, L. Numerical Investigation of the Effects of Leading Edge Sweep in a Small Transonic Impeller. In Proceedings of the Eighth European Conference on Turbomachinery Fluid Dynamics and Thermodynamics, Graz, Austria, 23–27 March 2009; pp. 459–467. [Google Scholar]
- Hazby, H.; Woods, I.; Casey, M.; Numakura, R.; Tamaki, H. Effects of Blade Deformation on the Performance of a High Flow Coefficient Mixed Flow Impeller. J. Turbomach. 2015, 137, 121005. [Google Scholar] [CrossRef]
- He, X.; Zheng, X. Mechanisms of Lean on the Performance of Transonic Centrifugal Compressor Impellers. J. Propul. Power 2016, 32, 1220–1229. [Google Scholar] [CrossRef]
- Casey, M. Thematic Area 6: Best Practice Advice for Turbomachinery Internal Flows. QNET- CFD Netw. Newsl. 2004, 24, 40–46. [Google Scholar]
- Denton, J.D. Some Limitations of Turbomachinery CFD. In Proceedings of the ASME Turbo Expo 2010: Power for Land, Sea, and Air, Glasgow, UK, 14–18 June 2010. [Google Scholar]
- Mangani, L.; Casartelli, E.; Mauri, S. Assessment of Various Turbulence Models in a High Pressure Ratio Centrifugal Compressor with an Object Oriented CFD Code. J. Turbomach. 2012, 134, 061033. [Google Scholar] [CrossRef]
- Gibson, L.; Galloway, L.; Kim, S.; Spence, S. Assessment of Turbulence Model Predictions for a Centrifugal Compressor Simulation. J. Glob. Power Propul. Soc. 2017, 1, 142–156. [Google Scholar] [CrossRef]
- Spalart, P.; Allmaras, S. A One-Equation Turbulence Model for Aerodynamic Flows. In Proceedings of the 30th Aerospace Sciences Meenting and Exhibt, Reno, NV, USA, 6–9 January 1992. [Google Scholar]
- Casey, M.; Rusch, D. The Matching of a Vaned Diffuser with a Radial Compressor Impeller and Its Effect on the Stage Performance. J. Turbomach. 2014, 136, 121004. [Google Scholar] [CrossRef]
- Eisenlohr, G.; Krain, H.; Richter, F.A.; Tiede, V. Investigations of the Flow through a High Pressure Ratio Centrifugal Impeller. In Proceedings of the ASME Turbo Expo 2002: Power for Land, Sea, and Air, Amsterdam, The Netherlands, 3–6 June 2002. [Google Scholar]
- Krain, H.; Hoffmann, B.; Pak, H. Aerodynamics of a Centrifugal Compressor Impeller with Transonic Inlet Conditions. In Proceedings of the ASME 1995 International Gas Turbine and Aeroengine Congress and Exposition, Houston, TX, USA, 5–8 June 1995. [Google Scholar]
- Denton, J.D. The 1993 IGTI Scholar Lecture: Loss Mechanisms in Turbomachines. J. Turbomach. 1993, 115, 621–656. [Google Scholar] [CrossRef]
- Came, P.M.; Robinson, C.J. Centrifugal Compressor Design. Proc. Inst. Mech. Eng. C 1998, 213, 139–155. [Google Scholar] [CrossRef]
- He, X.; Zheng, X. Performance Improvement of Transonic Centrifugal Compressors by Optimization of Complex Three-Dimensional Features. Proc. Inst. Mech. Eng. G 2016. [Google Scholar] [CrossRef]
- Liu, Y.; Cui, Q.; Zheng, X.; Guo, L. Numerical Investigation of Flow Field for Transonic Centrifugal Compressor with Blade Leading Edge Forward Sweep. J. Auto Saf. Energy 2015, 6, 392–398. (In Chinese) [Google Scholar]























| Parameters | Symbols | Values |
|---|---|---|
| Number of blades | Z | 13 + 13 + 13 |
| Normalized leading edge hub radius | r1h/r2 | 0.41 |
| Normalized leading edge tip radius | r1t/r2 | 0.56 |
| Normalized exit blade height | b2/r2 | 0.05 |
| Pressure ratio | π | 3.0 |
| Flow coefficient | φ | 0.05 |
| Pressure coefficient | ψ | 0.68 |
| Specific speed | Ns | 0.60 |
© 2017 by the authors. Licensee MDPI, Basel, Switzerland. This article is an open access article distributed under the terms and conditions of the Creative Commons Attribution (CC BY) license (http://creativecommons.org/licenses/by/4.0/).
Share and Cite
He, X.; Zheng, X. Mechanisms of Sweep on the Performance of Transonic Centrifugal Compressor Impellers. Appl. Sci. 2017, 7, 1081. https://doi.org/10.3390/app7101081
He X, Zheng X. Mechanisms of Sweep on the Performance of Transonic Centrifugal Compressor Impellers. Applied Sciences. 2017; 7(10):1081. https://doi.org/10.3390/app7101081
Chicago/Turabian StyleHe, Xiao, and Xinqian Zheng. 2017. "Mechanisms of Sweep on the Performance of Transonic Centrifugal Compressor Impellers" Applied Sciences 7, no. 10: 1081. https://doi.org/10.3390/app7101081
APA StyleHe, X., & Zheng, X. (2017). Mechanisms of Sweep on the Performance of Transonic Centrifugal Compressor Impellers. Applied Sciences, 7(10), 1081. https://doi.org/10.3390/app7101081
