Next Article in Journal
Mutual Authentication Protocol for Role-Based Access Control Using Mobile RFID
Next Article in Special Issue
Metal-Insulator-Metal Single Electron Transistors with Tunnel Barriers Prepared by Atomic Layer Deposition
Previous Article in Journal
Extraction Property of p-tert-Butylsulfonylcalix[4]arene Possessing Irradiation Stability towards Cesium(I) and Strontium(II)
Previous Article in Special Issue
Stability of Single Electron Devices: Charge Offset Drift
 
 
Font Type:
Arial Georgia Verdana
Font Size:
Aa Aa Aa
Line Spacing:
Column Width:
Background:
Article

Sharp Switching Characteristics of Single Electron Transistor with Discretized Charge Input

Department of Engineering Science, The University of Electro-Communications, Chofu, Tokyo 182-8585, Japan
*
Author to whom correspondence should be addressed.
Appl. Sci. 2016, 6(8), 214; https://doi.org/10.3390/app6080214
Submission received: 7 May 2016 / Revised: 20 July 2016 / Accepted: 22 July 2016 / Published: 29 July 2016
(This article belongs to the Special Issue Applied Single-Electron Transistors)

Abstract

:
For the low-power consumption analog and digital circuit applications based on a single-electron transistor, enhancement of its switching performance is required. Our previous works analytically and numerically demonstrated that a discretized charge input device, which comprised a tunnel junction and two capacitors, improved the gain characteristics of single-electron devices. We report the design and fabrication of an aluminum-based single-electron transistor having the discretized charge input function. Flat-plate and interdigital geometries were employed for adjusting capacitances of grounded and the coupling capacitors. The sample exhibited clear switching on input-output characteristics at the finite temperature.

Graphical Abstract

1. Introduction

Single-electron transistors (SETs) have unique characteristics based on a Coulomb blockade (CB) effect. In the past few decades, various applications were proposed such as an elemental charge sensor [1], low-power consumption analog and digital circuits [2,3,4,5,6], dc current standards by combination of superconductive island or electrodes [7,8] and a composite device utilizing ferromagnetic materials [9,10,11]. Since the shape of CB region of SETs is a rhombus with respect to axes of bias and gate voltages, threshold voltage is unwillingly changed by the bias voltage. This property is unfavourable from the viewpoint of the current switch application or applications for digital circuits. We proposed a single electron device, which we called input discretizer (ID), generates a discretized charge output from a continuous input voltage signal, and demonstrated that the ID improves the performance of capacitively-connected single electron devices [12]. In terms of providing discontinuous thresholds to the CB, the ID enhances their gain characteristics [13,14]. Nevertheless, those studies were based on analytically or numerically calculated results. Here we report an experimental result of the SET with the ID comprising aluminium by shadow evaporation technique. The device exhibited steep responses to the input signal compared to an SET without the ID.

2. Sample Design and Fabrication

Figure 1a,c show scanning electron microscope (SEM) images of the samples that we designed. The corresponding circuit diagrams are shown in Figure 1b,d. In Figure 1d, areas surrounded by a dotted and a dashed lines denote the ID and the SET, respectively. Input node of the SET is capacitively coupled to the ID with a coupling capacitance C C . For the purpose of dividing electrical charge at the island n 1 , two capacitors of C C and a grounded capacitance C B are connected to the island n 1 . Red circles indicate tunnel junctions and the inset in Figure 1c shows a close-up picture of the tunnel junction J 1 . The junction area of J 1 is approximately 180 nm × 40 nm.
When the island n 2 is connected to the ground, the electrical charge Q C at C C and the threshold voltages of the ID are expressed as follows [12]:
Q C = C C ( C J 1 V g + n 1 e ) C J 1 + C B + C C ,
n 1 1 2 e C B + C C V g n 1 + 1 2 e C B + C C
where C J 1 is the junction capacitance of J 1 and e is the elementary charge. When C C is equal to C B , the ID generates the discretized charge with a constant period of half of e / C C to the input voltage V g . In addition, from Equation (1), to obtain the clear discontinuity of Q C , C C is required as large as or larger than C J 1 . We used an interdigitized capacitor type [15,16] as C C and the self-capacitor type [17] as C B . A rectangular-like Al plate that roles the part of C B is shown in Figure 1c. We deliberately enlarged n 2 in order to implement C B as much as C C . The size of the flat-plate structure was about 6.3 μ m wide and 5.0 μ m long. In order to adjust the ratio of capacitance values C B / C C , we designed geometories of the device utilizing the three dimensional capacitance extraction program (FFTCap) [18]. A back-gate voltage of V bg and a capacitance C BG were used for adjusting the offset charge on the island n 2 . Another sample excluding J 1 , which would work as a simple SET, was created simultaneously on the same substrate to be compared with the discontinuity of the electrical responses (see Figure 1a).
Samples were fabricated by using the electron beam lithography and the Al shadow evaporation technique [19] on a thermally oxidized silicon substrate. In this method, the oxidized Al layer that formed between the first and the second Al layer acts as tunnel barrier. The surface of the 1st-deposited Al layer was oxidized by adding 13 Pa of pure O 2 gas for 60 s into an evaporation chamber. At room temperature, the values of respective series resistance of the SETs with the ID and without the ID were 104 kΩ and 106 kΩ.

3. Experimental Setup

Measurements were performed using a compact He 3 - He 4 dilution refrigerator [20] with a base temperature of <80 mK in an electromagnetically shielded room. In order to avoid transmission of electrical noise to the sample, all measurement cables were equipped with an L-type filter at room temperature and with distributed low-pass filters placed between the 1 K stage and the mixing chamber. Superconductivity in the Al electrodes was suppressed by applying 10 kOe magnetic field from a superconductive magnet perpendicular to the substrate of the sample. While temperature was monitored with a 1010 Cernox™ thermometer by Lake Shore Cryotronics (Westerville, OH, USA) which was placed in the mixing chamber during the measurement, it was difficult to tell the exact temperature under magnetic fields because it affected the accuracy of such resistance variable type sensors. A symmetrically voltage-biasing method was used for measuring electrical characteristics. The current I flowing from the junctions of J 2 to the J 3 and bias voltage V were measured by current and voltage pre-amplifiers (model SR570 from Stanford Research Systems, Sunnyvale, CA, USA; modified to apply external bias voltage to the sample, model INA116P from Texas Instruments, Dallas, TI, USA).
In order to extract the device parameters of the sample, we performed numerical calculation [21] and reproduce the measured electrical characteristics. For simplicity, we ignored parasitic capacitances and the cotunneling processes [22] in the simulation.

4. Results and Discussion

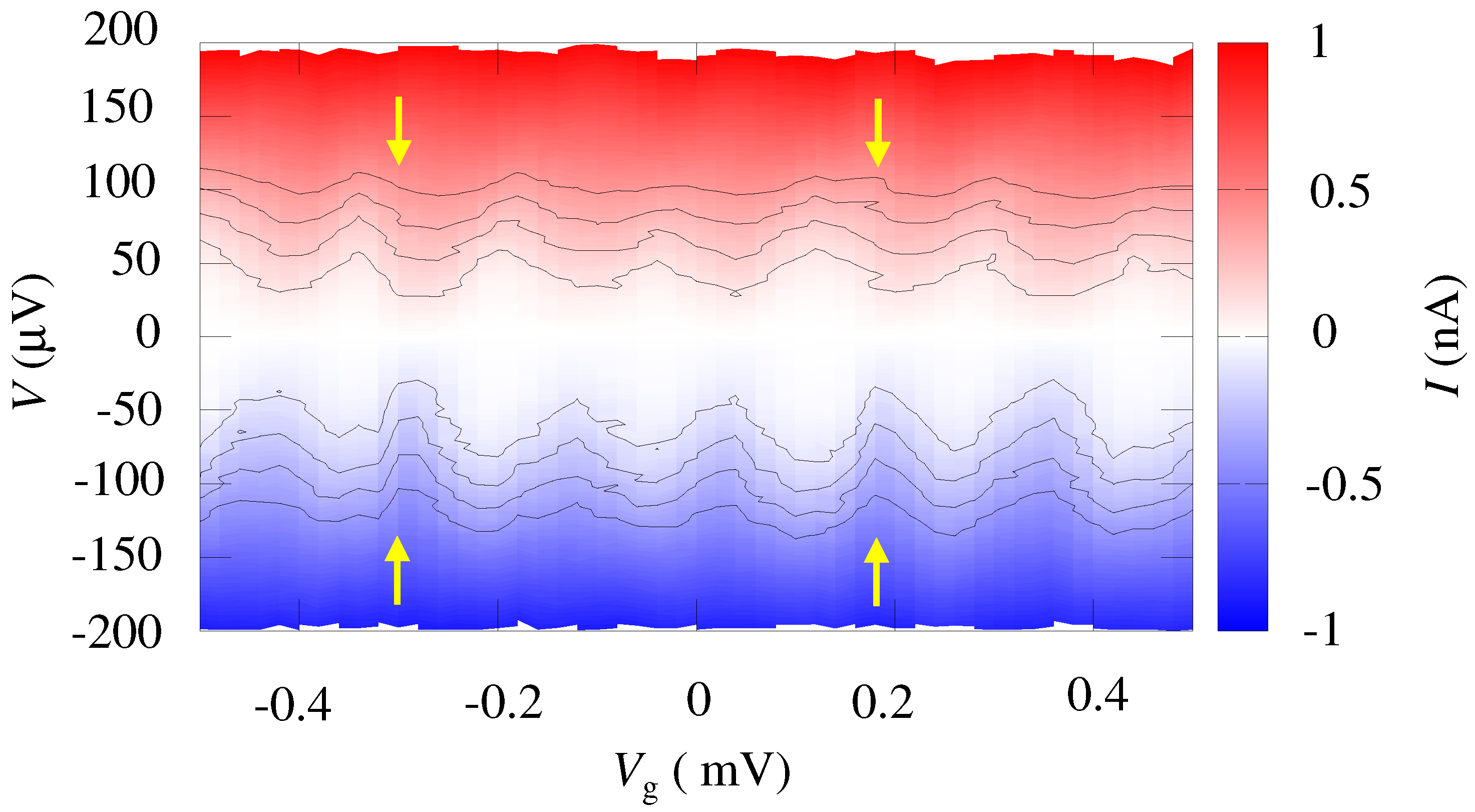
Initially we set V bg to ground, and measured I versus V characteristics as a function of V g for the SET with the ID. Colour plot of I versus V and V g in steps of 0.2 mV were depicted in Figure 2. Contour lines of I except 0 A were drawn from −0.4 to 0.4 by 0.1 nA step. In this measurement, although thresholds are unclear to determine the the shape of the CB owing to insufficient numbers of step of V g to the period of the Coulomb oscillation, several steep modulations of I to V g shown by yellow arrows can be seen.
Subsequently, on applying fixed V, we tuned V bg of the SET with the ID in order to obtain the maximal modulation of I at V g near to 0 V. Figure 3 shows I versus V g as the input-output characteristics for the SETs without and with the ID at T < 80 mK. Crossed marks and open squares indicate the SET without the ID at V = 78 μ V , the SET with the ID at V = 74 μ V ; and two solid lines indicate the best fits of both SETs without and with the ID using the numerical simulation at T = 65 mK, respectively. In the simulation, the offset charge of the island was zero and V bg was 780 mV for the SET without the ID, n 2 was 0.015 e and V bg was 140 μ V for the SET with the ID. The SET without the ID responded to a typical Coulomb oscillation. In contrast, sharp switching I clearly came against the V g almost periodically in the SET with the ID. This result exhibited that the ID provides the quantized charge input, which was partially corresponded with the switching periodicity of the SET. Carrying out the simulation and examining the input-output characteristics, we listed the extracted capacitive and resistive parameters in Table 1. Both the values of C C of SETs without and with the ID were identical of 872 aF. The value of C B of the SET with the ID was estimated 1100 aF, that is 26 percent larger than the value of C C yielding a shifted charge period from e / 2 .
In this measurement, current spikes like random telegraph noise in the SET with the ID can be seen (for instance, at V g = −0.68 mV, −0.62 mV, −0.16 mV). These current noise were prominent even compared to its the SET without the ID. We presume that the island n 1 enlarged with the metallic plate corresponding C B is more sensitive to the dielectric charge traps in the substrate, or the natural oxdized layer of Al on the surface of the sample [23].
Several experimental studies reported that semiconductor-based SETs with tunable tunnel barriers to close to the quantum resistance enhanced the switching performance [24,25]. Applying our approach is also preferable to boost the switching characteristics of the semiconductor-based SETs.
Figure 4a,b shows CB diagrams extracted from stability diagrams of numerical calculations of the SETs without and with the ID, using the condition of Table 1 and symmetrically voltage biased condition at T = 0 K. The numbers in Figure 4a,b indicate the excessive charge state in n 2 for the SET without the ID; in n 1 and n 2 for the SET with the ID. We set the charge numbers to zero across V g = 0 V. Horizontal dotted lines, which correspond to Figure 3, indicate bias voltages of V = 78 μ V for the SET without the ID and V = 74 μ V for the SET with the ID. Whereas conventional Coulomb diamonds of an SET appear in the device of SET without the ID in Figure 4a, abrupt V changes of the CB thresholds are clearly seen in the SET with the ID in Figure 4b. Slopes of CB of the SET without the ID in the asymmetrical biased condition, which is maximum voltage gain in metal-based SET referred in Reference [12], was estimated C C / C J 2 5.5 in our design. In Figure 4b, vertical and inclined threshold lines to V g stem from the ID and the SET, respecitively [12]. Since the C C C B condition bears the shapes not only minimal and maximal regions but also intermediate regions of Coulomb diamonds of an SET, large and small steps of Δ V (typical region marked “A” in Figure 4b) appear against the V g alternately, which correspond to the input-output characteristics of the SET with the ID in Figure 3. Partially overlapped regions (typical region marked “B” in Figure 4b) can be seen. When two electrons sequentially tunnel through J 1 and either J 2 or J 3 , bi-stability regions appear inside the threshold of CB (( n 1 , n 2 ) → ( n 1 1 , n 2 + 1 ) or ( n 1 + 1 , n 2 1 )). According to the simulation result, I flows through the SET during an unstable condition of ( n 1 1 , n 2 ) or ( n 1 + 1 , n 2 ).
Moreover, we evaluated the differential conductance of the SETs with and without the ID via the absolute value of d I / d V g . In Figure 5, simulated results of differential conductance of each samples were plotted as a function of temperature. From the measurement, | d I / d V g | of SET without the ID were also plotted as a blue crossed mark. In the SET with the ID, we picked six points on both sides of the slopes extracted from the top to third peaks of maximal I in Figure 3 and plotted a median value as a red open square. Note that both measurement results plotted at T = 65 mK were estimated from the fitting curve of the simulation. For comparison, values of | d I / d V g | are normalized by respective R j 2 + R j 3 . Under the low temperature, series junction resistances R j 2 + R j 3 of the SETs with the ID and without the ID were 122 kΩ and 124 kΩ, respectively. The values of | d I / d V g | decrease accompanying a temperature rise, exhibiting a similar trend to the gain characteristics of a single-electron inverter with the ID [14].
The temperature calculated by the thermal energy of the island n 1 in the SET with the ID is expressed with the charging energy E C 1 [1]:
E C 1 / k B = e 2 / 2 C Σ 1 k B 0.53 K ,
where C Σ 1 is the total capacitance from the perspective of n 1 and k B is the Boltzmann constant. Thus, the estimation from Equation 3 that the device works by providing a higher gain value than its nominal SET under a finite temperature of ≪0.53 K agrees with the simulated results.

5. Conclusions

In conclusion, we implemented the SET having the discretized charge input function. The input-output characteristics of the fabricated sample had steep response to the input signal compared with the SET without the ID at the finite temperature of T < 80 mK. The experimental result demonstrated that the ID provided the quantized charge input resulting in the enhancement of the performance for the current switch application of the SET. However, the mismatch between the two values C B and C C , with a factor of 1.26 in the measured device, resulted in an alternating behaviour of discontinuous and continuous I - V g characteristics at a modulated period. Numerical calculation indicated that the mismatch ratio of C B / C C was 1.26. Hence, the simulation result suggested that the further design of the ID having the optimized capacitance condition of C B = C C would improve the steep switching characteristics throughout all the CB diamonds of the SET.

Acknowledgments

The authors thank Koji Miura and Katsuaki Shiratori for technical supports. The authors also thank Kento Kikuchi, Akio Kawai and Masataka Moriya for fruitful discussion. This work was partially supported by JSPS KAKENHI Grants No. 24340067 and No. 15K13999. Part of this work was conducted at the Coordinated Center for UEC Research Facilities, The University of Electro-Communications, Tokyo, Japan. The stable supply of liquid He from it is also acknowledged.

Author Contributions

M.T. performed experiments, analyzed the results and prepared the manuscript. H.S. set up the complete experiment and revised the manuscript. Y.M. provided conceptual support and revised the manuscript.

Conflicts of Interest

The authors declare no conflict of interest.

References

  1. Likharev, K.K. Single-electron devices and their applications. Proc. IEEE 1999, 87, 606–632. [Google Scholar] [CrossRef]
  2. Tucker, J.R. Complementary digital logic based on the “Coulomb blockade”. J. Appl. Phys. 1992, 72, 4399–4413. [Google Scholar] [CrossRef]
  3. Heij, C.P.; Hadley, P.; Mooij, J.E. Single-electron inverter. Appl. Phys. Lett. 2001, 78, 1140–1142. [Google Scholar] [CrossRef]
  4. Chen, R.H.; Korotkov, A.N.; Likharev, K.K. Single-electron transistor logic. Appl. Phys. Lett. 1996, 68, 1954–1956. [Google Scholar] [CrossRef]
  5. Cotofana, S.; Lageweg, C.; Vassiliadis, S. Addition related arithmetic operations via controlled transport of charge. IEEE Trans. Comput. 2005, 54, 243–256. [Google Scholar] [CrossRef]
  6. Kim, S.J.; Lee, J.J.; Kang, H.J.; Choi, J.B.; Yu, Y.S.; Takahashi, Y.; Hasko, D.G. One electron-based smallest flexible logic cell. Appl. Phys. Lett. 2012, 101, 183101. [Google Scholar] [CrossRef]
  7. Pekola, J.P.; Vartiainen, J.J.; Möttönen, M.; Saira, O.P.; Meschke, M.; Averin, D.V. Hybrid single-electron transistor as a source of quantized electric current. Nat. Phys. 2008, 4, 120–124. [Google Scholar] [CrossRef]
  8. Kemppinen, A.; Meschke, M.; Möttönen, M.; Averin, D.V.; Pekola, J.P. Quantized current of a hybrid single-electron transistor with superconducting leads and a normal-metal island. Eur. Phys. J. Spec. Top. 2009, 172, 311–321. [Google Scholar] [CrossRef]
  9. Ono, K.; Shimada, H.; Ootuka, Y. Enhanced magnetic valve effect and magneto-Coulomb oscillations in ferromagnetic single electron transistor. J. Phys. Soc. Jpn. 1997, 66, 1261–1264. [Google Scholar] [CrossRef]
  10. Takiguchi, M.; Shimada, H.; Mizugaki, Y. Correlation between polarity of magnetoresistance ratio and tunnel resistance in ferromagnetic single-electron transistor with superconductive island. Jpn. J. Appl. Phys. 2014, 53, 043101. [Google Scholar] [CrossRef]
  11. Gonzalez-Zalba, M.F.; Ciccarelli, C.; Zarbo, L.P.; Irvine, A.C.; Campion, R.C.; Gallagher, B.L.; Jungwirth, T.; Ferguson, A.J.; Wunderlich, J. Reconfigurable boolean logic using magnetic single-electron transistors. PLoS ONE 2015, 10, 1–8. [Google Scholar] [CrossRef] [PubMed]
  12. Mizugaki, Y.; Takiguchi, M.; Hayami, S.; Kawai, A.; Moriya, M.; Usami, K.; Kobayashi, T.; Shimada, H. Single-electron devices with input discretizer. IEEE Trans. Nanotechnol. 2008, 7, 601–606. [Google Scholar] [CrossRef]
  13. Huong, T.T.T.; Mizugaki, Y. A single-electron hysteretic inverter designed for enhancement of stochastic resonance. IEICE Electron. Express 2015, 12, 20150527. [Google Scholar] [CrossRef]
  14. Huong, T.T.T.; Shimada, H.; Mizugaki, Y. Improvement of single-electron digital logic gates by utilizing input discretizers. IEICE Trans. Electron. 2016, E99.C, 285–292. [Google Scholar] [CrossRef]
  15. Zimmerli, G.; Kautz, R.L.; Martinis, J.M. Voltage gain in the single-electron transistor. Appl. Phys. Lett. 1992, 61, 2616–2618. [Google Scholar] [CrossRef]
  16. Mizugaki, Y.; Itoh, M.; Shimada, H. Current correlation in single-electron current mirror electromagnetically dual to Josephson voltage mirror. Jpn. J. Appl. Phys. 2007, 46, 6237. [Google Scholar] [CrossRef]
  17. Mizugaki, Y.; Delsing, P. Single-electron signal modulator designed for a flash analog-to-digital converter. Jpn. J. Appl. Phys. 2001, 40, 6157. [Google Scholar] [CrossRef]
  18. Phillips, J.R.; White, J.K. Efficient capacitance extraction of 3D structures using generalized pre-corrected FFT methods. Proc. 3rd IEEE Top. Meet. Electr. Perform. Electr. Packag. 1994. [Google Scholar] [CrossRef]
  19. Dolan, G.J. Offset masks for lift-off photoprocessing. Appl. Phys. Lett. 1977, 31, 337–339. [Google Scholar] [CrossRef]
  20. Ootuka, Y.; Uchiyama, T.; Shimada, H. One-day dilution refrigerator. Cryogenics 1993, 33, 923–925. [Google Scholar] [CrossRef]
  21. Wasshuber, C.; Kosina, H.; Selberherr, S. SIMON-A simulator for single-electron tunnel devices and circuits. IEEE Trans. Comput. Aided Des. Integr. Circuits Syst. 1997, 16, 937–944. [Google Scholar] [CrossRef]
  22. Geerligs, L.J.; Averin, D.V.; Mooij, J.E. Observation of macroscopic quantum tunneling through the Coulomb energy barrier. Phys. Rev. Lett. 1990, 65, 3037–3040. [Google Scholar] [CrossRef] [PubMed]
  23. Zorin, A.B.; Ahlers, F.J.; Niemeyer, J.; Weimann, T.; Wolf, H.; Krupenin, V.A.; Lotkhov, S.V. Background charge noise in metallic single-electron tunneling devices. Phys. Rev. B 1996, 53, 13682–13687. [Google Scholar] [CrossRef]
  24. Angus, S.J.; Ferguson, A.J.; Dzurak, A.S.; Clark, R.G. Gate-defined quantum dots in intrinsic silicon. Nano Lett. 2007, 7, 2051–2055. [Google Scholar] [CrossRef] [PubMed]
  25. Gonzalez-Zalba, M.F.; Heiss, D.; Podd, G.; Ferguson, A.J. Tunable aluminium-gated single electron transistor on a doped silicon-on-insulator etched nanowire. Appl. Phys. Lett. 2012, 101. [Google Scholar] [CrossRef]
Figure 1. (a) Scanning electron microscope (SEM) image of a single electron transistor (SET) without an input discretizer (ID). Red circles indicate tunnel junctions; (b) The equivalent circuit of the SET without the ID; (c) The SEM image of the SET with the ID. The inset shows a close-up the tunnel junction of J 1 ; (d) The equivalent circuit of the SET with the ID.
Figure 1. (a) Scanning electron microscope (SEM) image of a single electron transistor (SET) without an input discretizer (ID). Red circles indicate tunnel junctions; (b) The equivalent circuit of the SET without the ID; (c) The SEM image of the SET with the ID. The inset shows a close-up the tunnel junction of J 1 ; (d) The equivalent circuit of the SET with the ID.
Applsci 06 00214 g001
Figure 2. Current I characteristics of the SET with the ID as a function of V and V g for V bg = 0 V at T < 80 mK. Borders of contour lines are plotted of 0.1, 0.2, 0.3, 0.4, −0.1, −0.2, −0.3 and −0.4 nA. Abrupt modulation of I against V g are indicated by yellow arrows.
Figure 2. Current I characteristics of the SET with the ID as a function of V and V g for V bg = 0 V at T < 80 mK. Borders of contour lines are plotted of 0.1, 0.2, 0.3, 0.4, −0.1, −0.2, −0.3 and −0.4 nA. Abrupt modulation of I against V g are indicated by yellow arrows.
Applsci 06 00214 g002
Figure 3. I - V g for input-output characteristics. Crossed marks, open squares and two solid lines correspond the SET without the ID at V = 78 μ V , the SET with the ID at V = 74 μ V and the best fits using a numerical simulation, respectively. Curves are vertically shifted by 250 pA for clarity.
Figure 3. I - V g for input-output characteristics. Crossed marks, open squares and two solid lines correspond the SET without the ID at V = 78 μ V , the SET with the ID at V = 74 μ V and the best fits using a numerical simulation, respectively. Curves are vertically shifted by 250 pA for clarity.
Applsci 06 00214 g003
Figure 4. I-V characteristics as a function of V g from numerical simulations at T = 0 K. Solid red lines denote thresholds of the Coulomb blockade region. (a) the SET without the ID; (b) the SET with the ID. The numbers indicate the charge state in n 2 for the SET without the ID; n 1 and n 2 for the SET with the ID. An area “A” indicates the steep current switching region, and an area “B” indicates bi-stability region. Horizontal dotted lines denote bias points of V = 78 μ V and V = 74 μ V corresponding to Figure 3.
Figure 4. I-V characteristics as a function of V g from numerical simulations at T = 0 K. Solid red lines denote thresholds of the Coulomb blockade region. (a) the SET without the ID; (b) the SET with the ID. The numbers indicate the charge state in n 2 for the SET without the ID; n 1 and n 2 for the SET with the ID. An area “A” indicates the steep current switching region, and an area “B” indicates bi-stability region. Horizontal dotted lines denote bias points of V = 78 μ V and V = 74 μ V corresponding to Figure 3.
Applsci 06 00214 g004
Figure 5. Absolute values of differential conductances plotted as a function of the temperature. In the SET with the ID, six d I / d V g values vicinity at top three high I were extracted from Figure 3. The median value is plotted as a red open square. Values are normalized by series resistance of R j 2 + R j 3 .
Figure 5. Absolute values of differential conductances plotted as a function of the temperature. In the SET with the ID, six d I / d V g values vicinity at top three high I were extracted from Figure 3. The median value is plotted as a red open square. Values are normalized by series resistance of R j 2 + R j 3 .
Applsci 06 00214 g005
Table 1. Typical parameter values for the SETs (single-electron transistors) with and without the ID (input discretizer).
Table 1. Typical parameter values for the SETs (single-electron transistors) with and without the ID (input discretizer).
Device C C C B C J 1 C J 2 = C J 3 C T C BG R J 2 = R J 3
(aF)(aF)(aF)(aF)(aF)(aF)(kΩ)
SET without ID872-1201609009660
SET with ID87211001201609009660

Share and Cite

MDPI and ACS Style

Takiguchi, M.; Shimada, H.; Mizugaki, Y. Sharp Switching Characteristics of Single Electron Transistor with Discretized Charge Input. Appl. Sci. 2016, 6, 214. https://doi.org/10.3390/app6080214

AMA Style

Takiguchi M, Shimada H, Mizugaki Y. Sharp Switching Characteristics of Single Electron Transistor with Discretized Charge Input. Applied Sciences. 2016; 6(8):214. https://doi.org/10.3390/app6080214

Chicago/Turabian Style

Takiguchi, Masashi, Hiroshi Shimada, and Yoshinao Mizugaki. 2016. "Sharp Switching Characteristics of Single Electron Transistor with Discretized Charge Input" Applied Sciences 6, no. 8: 214. https://doi.org/10.3390/app6080214

APA Style

Takiguchi, M., Shimada, H., & Mizugaki, Y. (2016). Sharp Switching Characteristics of Single Electron Transistor with Discretized Charge Input. Applied Sciences, 6(8), 214. https://doi.org/10.3390/app6080214

Note that from the first issue of 2016, this journal uses article numbers instead of page numbers. See further details here.

Article Metrics

Back to TopTop