Cutting-Edge High-Power Ultrafast Thin Disk Oscillators
Abstract
:1. Introduction

2. Average Power Scaling of Modelocked Thin-Disk Lasers: Challenges and Milestones
2.1. Harnessing Intracavity Nonlinearity

| Parameter | Yb:YAG [32] | Yb:YAG [17] | Yb:YAG [18] | Yb:LuO [26] |
|---|---|---|---|---|
| Average output power | 44 W | 275 W | 145 W | 141 W |
| Repetition rate | 4 MHz | 16.3 MHz | 3.5 MHz | 60 MHz |
| Pulse duration | 791 fs | 583 fs | 1100 fs | 740 fs |
| Output pulse energy | 11.3 µJ | 16.9 µJ | 41 µJ | 2.35 µJ |
| Output peak power | 12.6 MW | 25.6 MW | 33 MW | 2.8 MW |
| Intracavity average power | 450 W | 2.5 kW | 0.2 kW | 1.5 kW |
| Intracavity pulse energy | 113 µJ | 154 µJ | 57 µJ | 25 µJ |
| Intracavity peak power | 127 MW | 236 MW | 46 MW | 30 MW |
| Nonlinear phase shift environment Фenv | helium 108 mrad | vacuum 8 mrad | air 1725 mrad | air 44 mrad |
| Nonlinear phase shift Brewster plate ФBP | 95 mrad | 17 mrad | - | - |
| Nonlinear phase shift disk Фdisk | 19 mrad | 3 mrad | - | 4 mrad |
| Other nonlinear phase shifts Фother | - | 45 mrad | - | - |
| Total nonlinear phase shift Фcav | 222 mrad | 75 mrad | 1725 mrad | 48 mrad |
| GDD per roundtrip | −20,000 fs2 | −8,100 fs2 | −346,500 fs2 | −9,900 fs2 |
- Gain material:The SPM from the disk can typically be neglected as the laser mode size on the disk is large and the pulse passes only through very little material.
- Brewster plate:The influence of the Brewster plate can be controlled by the choice of the thickness, the material and the mode size at the location in the cavity where it is placed. Usually, the presence of a Brewster plate is beneficial as it offers control over the total amount of SPM when placed at a position in the cavity close to a focus, and ensures linear polarization of the laser output. In cavities where a fine control of the SPM can be achieved otherwise (for example with the air pressure, when the oscillator is operated in a vacuum chamber) a thin-film polarizer can be chosen instead of a Brewster plate to select the polarization.
- Cavity optics:The nonlinearity introduced by the coatings of different cavity optics has been, until now, always considered negligible. However, in simple cavities where a low number of passes through the gain medium is chosen, they can become an important contribution to the total soliton phase shift at extreme intracavity peak powers.
- Air atmosphere:The contribution of the air atmosphere was initially ignored, since the nonlinear refractive index n2,atm is orders of magnitude smaller than the refractive index of, for example, a fused-silica Brewster plate. However, typical MHz TDLs have cavity lengths in the order of several meters to several tens of meters. Furthermore, in most modelocked TDLs, the intracavity peak power is substantially higher than the output peak power and can exceed 100 MW [17,32]. Therefore, intracavity SPM introduced by the ambient air in the cavity can become the main contribution to the total soliton phase shift [33]. In order to compensate for this phase shift and obtain stable soliton modelocking, large amounts of negative GDD are required. If this phase shift becomes excessive (typically larger than some hundred mrad), modelocked operation is destabilized [28,34]. Different approaches have been suggested in the past years to overcome this limitation:
- -
- Helium floodingHelium has a nonlinear refractive index n2 that is approximately 8 times smaller than air (n2,air ≈ 3∙10−23 m2/W, [35] and n2,He ≈ 0.4∙10−23 m2/W [36]). Therefore, replacing the air in the cavity by helium enabled the demonstration of the 10 µJ pulse energy milestone in 2008. In this result, 11 µJ were obtained at an average power of 44 W from a SESAM modelocked TDL based on Yb:YAG [32]. In this oscillator, the disk was used in a single-pass configuration, resulting in a high intracavity pulse energy of >110 µJ. The required dispersion to generate the 791-fs pulses was, in this case, −20,000 fs².
- -
- Multiple gain passes through the same diskAnother approach to lower the SPM in the cavity is to reduce the intracavity peak power by using a higher output coupler transmission. An important advantage of this approach is that the fluence on the SESAM and the thermal load on all components inside the laser cavity are reduced. Efficient laser operation with a higher output coupling transmission is only possible if the gain per cavity round trip is increased accordingly. This can be achieved by multiplying the number of passes through the same gain disk, which results in an increased overall gain per cavity roundtrip. This geometry, most commonly referred to as “active multi-pass cell” in a modelocked TDL, was introduced by Neuhaus et al. [37,38]. Using this approach, 145 W of average power were demonstrated with a pulse energy of 41 µJ using a 72% output coupling transmission and 11 passes through the Yb:YAG thin disk [18]. In this case, the intracavity pulse energy was below 60 µJ and operation in air was possible with a total GDD of −236,000 fs2. In addition to the large amounts of negative GDD required in this approach, a large amount of passes through the thin disk significantly increases the demands on the disk quality, since the cavity stability zones shrink significantly with the number of passes [27]. Another potential disadvantage is the reduced Q-factor of the cavity, resulting in a higher intrinsic noise level. Furthermore, a larger gain per roundtrip results in longer minimum achievable pulse duration [28,29]. This is not an issue in industrial applications such as high-speed micromachining, where obtaining short pulse duration is not of critical importance. In the case of scientific applications, shorter pulse durations are more critical, in particular since it simplifies further pulse compression schemes.
- -
- Multiple gain passes through different disksThe combination of several laser heads in one cavity has already been demonstrated [12], but not in the context of modelocked TDLs. In this case the main difficulty is to achieve fundamental mode operation, as each disk can show a different thermal lensing behavior.
- -
- Vacuum environmentOperating the oscillator in vacuum by placing it in a vacuum chamber allows for a reduction of the nonlinearity of the ambient environment by several orders of magnitude, since the nonlinear refractive index n2 parameter varies linearly with air pressure for medium vacuum levels [39]. In addition to a minimal nonlinear phase shift at very high intracavity peak power levels, the advantages of operating the oscillator in vacuum are many-fold:
- -
- Fine adjustment of the air pressure inside the cavity enables one to tune the nonlinear phase shift and minimize the pulse duration at a given output power. This eliminates the need for a moving Brewster plate in the cavity that can introduce aberrations and small losses.
- -
- The low amount of nonlinearities allows one to operate in simple oscillator geometries with low gain per cavity round-trip (one or two passes on the disk used as a folding mirror in the cavity).
- -
- Only small amounts on negative GDD are required to compensate for the small nonlinear phase shifts even at high intracavity peak powers. This results in lower parasitic losses and thermal effects that can occur in the dispersive mirrors.
- -
- Turbulences of air and related pointing instabilities are minimized.
- -
- Operating in a moderate vacuum environment allows for keeping the oscillator optics clean, which is critical at high intracavity powers.
- -
- In addition to the above-mentioned points, developing robust vacuum oscillator technology will facilitate future intracavity HHG experiments, for which operation in vacuum is essential to avoid UV-light absorption by air. Furthermore, for other nonlinear experiments, one could consider flooding the chamber with other gases.
2.2. State-of-the Art Modelocked Thin-Disk Laser with 275 W of Average Power
2.2.1. Experimental Setup and Results



2.2.2. Discussion
2.3. SESAMs for High-Power Femtosecond Modelocking
2.3.1. SESAMs in High-Power Ultrafast Oscillators
- -
- large saturation fluences to operate at moderate saturation parameters and with small spot sizes, which relaxes cavity sensitivity to alignment and possible thermal lensing,
- -
- high damage thresholds,
- -
- low nonsaturable losses to avoid thermal effects,
- -
| Parameter | Yb:YAG [17] | Yb:YAG [18] | Yb:LuO [26] |
|---|---|---|---|
| Average output power | 275 W | 145 W | 141 W |
| Repetition rate | 16.3 MHz | 3.5 MHz | 60 MHz |
| Pulse duration | 583 fs | 1100 fs | 740 fs |
| Output pulse energy | 16.9 µJ | 41 µJ | 2.35 µJ |
| Output peak power | 25.6 MW | 33 MW | 2.8 MW |
| Intracavity average power | 2.5 kW | 0.2 kW | 1.5 kW |
| Intracavity pulse energy | 154 µJ | 57 µJ | 25 µJ |
| Intracavity peak power | 236 MW | 46 MW | 30 MW |
| Spot radius on SESAM (1/e2) | 1.2 mm | 0.55 mm | 0.63 mm |
| Fluence on SESAM | 3.4 mJ/cm2 | 6 mJ/cm2 | 2 mJ/cm2 |
| Average intensity on SESAM | 55 kW/cm2 | 21 kW/cm2 | 12 kW/cm2 |
| Peak intensity on SESAM | 5.2 GW/cm2 | 4.8 GW/cm2 | 5 GW/cm2 |
| Saturation fluence of SESAM | 140 µJ/cm2 | 61 µJ/cm2 | 60 µJ/cm2 |
| Saturation parameter (S=F/Fsat) | 24 | 100 | 33 |
2.3.2. Experimental Setup and Measurement Procedure

- -
- The modulation depth ΔR, which represents the maximum achievable change in reflectivity.
- -
- The nonsaturable losses ΔRns represent the unsaturable fraction of the reflectivity which originate from defect absorption, scattering, free-carrier absorption, carrier heating, etc.
- -
- The saturation fluence Fsat represents, in the case of moderate modulation depths (up to approximately 10%), the fluence at which 1/e of the modulation depth has been saturated.
- -
- The IA coefficient F2, which characterizes the strength of the reflectivity rollover that occurs at high fluences. In the case of femtosecond pulses, two-photon absorption (TPA) is the main cause of IA [19,45]. However, for longer pulse durations, studies show that the measured rollover is stronger than predicted by TPA only, indicating that other effects need to be considered, such as free-carrier absorption, or hot-carrier generation [43,45,48].
2.3.3. Studied Structures and Obtained Results


| Sample | Fsat (μJ/cm2) | ΔR (%) | ΔRns (%) | F2 (mJ/cm2) | Fd (mJ/cm2) | Sd = Fd/Fsat |
|---|---|---|---|---|---|---|
| NTC | 72 | 2.05 | <0.1 | 3200 | 32.6 | 450 |
| SCTC | 279 | 0.52 | <0.1 | 5500 | 44.1 | 158 |
| DTC2 | 168 | 0.71 | <0.1 | 31700 | 122 | 726 |
| DTC3 | 247 | 0.43 | <0.1 | 346000 | >210 | >850 |
2.3.4. Damage Mechanism

| Sample | Fsat (μJ/cm2) | F2 (mJ/cm2) | Fd (mJ/cm2) | Sd = Fd/Fsat |
|---|---|---|---|---|
| DBR | - | 7400 | 48 | - |
| 1 QW | 57 | 2600 | 32.1 | 560 |
| 3 QW | 72 | 3200 | 32.6 | 453 |

2.3.5. Influence of Growth Temperature
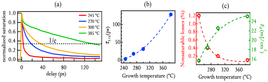
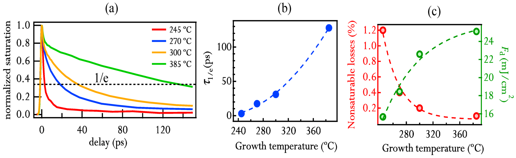
- Experimental SetupIn order to carry out this study, we measured the nonlinear reflectivity, damage threshold and recovery parameters of a set of representative samples. For the nonlinear reflectivity and the damage threshold measurements, we used the same setup and experimental procedure described in 2.3.2. To measure the recovery time of the samples, we used a standard pump-probe setup (Figure 11) seeded by a bulk Yb:YAG laser delivering 1-ps long pulses at a repetition rate of 38 MHz and 150 mW of average power. The laser operates at a central wavelength of 1030 nm. For the study of the influence of the absorber growth temperature, we used samples with a larger number of QWs than in the damage and lifetime investigation presented in the previous paragraph in order to reach an initially larger modulation depth. The structure consists of a standard DBR and four InGaAs QW absorbers embedded in GaAs. The absorbers were placed two-by-two in two consecutive antinodes of the electric field pattern to optimize their absorption. This resulted in samples with more than 3% modulation depth, which can be further coated to decrease their modulation depth. The QW absorbers of the four samples used for this study were grown at different temperatures (245 °C, 270 °C, 300 °C, 385 °C). The samples were designed for an operation wavelength of 1030 nm.
- ResultsIn Figure 12a, pump-probe measurements of these samples are shown, confirming as expected that samples grown at lower temperatures have faster recovery times [52]. In Figure 12b, we plot the characteristic decay time to 1/e (τ1/e) as a function of QW growth temperature. The observed behavior confirms previous studies carried out with LT-grown GaAs [52]. Although the parameter τ1/e is not sufficient to fully characterize the dynamics of the absorber, it is an appropriate simplified parameter to compare the recovery of the absorber in a passively modelocked solid-state laser. In Figure 12c, we plot nonsaturable losses and damage threshold of these samples as a function of the growth temperature. The total nonsaturable losses of the samples decrease exponentially with the growth temperature, which also confirms the observations made in reference [52]. It is interesting to point out that even for our fastest sample with a recovery time of ≈2 ps the nonsaturable losses stay low in comparison to the modulation depth of the sample (1.2% nonsaturable losses for 3.9% modulation depth). For use in most common TDLs, lower modulation depth is required. Therefore a dielectric topcoating that will reduce the field in the absorber will be applied, further reducing the nonsaturable losses. The measured increase in damage threshold with growth temperature is relatively small compared to the decrease in the recovery time of the absorber (we observe a decrease of 40% in damage threshold, for a 12-fold decrease of the nonsaturable losses). Heating of the absorbers due to the additional defects most likely causes this small decrease in the damage threshold of the samples.


2.3.6. Guidelines and Outlook
- Guidelines for high-damage threshold SESAMsIn this study, important elements concerning the catastrophic damage of SESAMs that occurs at high fluences were identified. On the one hand, damage originates in the amount of energy deposited by IA on the sample. Therefore, damage threshold scales proportionally to √F2. In our study, we used 1-ps long pulses. The dominant mechanism involved in the IA (and therefore damage) at this pulse duration is TPA [45]. On the other hand, the damage threshold was shown to be nearly independent of the absorber section, since a DBR showed a comparable damage threshold and lifetime behavior to those of the different tested SESAMs. As a result, we can give guidelines to develop SESAMs for operation in high-power oscillators:
- -
- Multiple QWs allow for tuning of the modulation depth of the samples without changing their saturation fluence. This is required to have an initially large ΔR without topcoating, since the top mirror will reduce this modulation depth. When a relatively low number of QWs is used, the absorbers can be placed simultaneously in one antinode of the electric field. In this case, the absorbers have only a small influence on the damage threshold, mostly because of the additional GaAs spacer layers commonly used as barrier material. When a larger number of QW is used, the amount of material to add becomes significant. In this case, one could also consider using another material with lower βTPA (for instance AlAs) for such QW barrier layers. Without GaAs barrier layers, we expect uncoated SESAM samples to have an almost identical damage behavior to that of a DBR mirror.
- -
- Dielectric topcoatings are preferred over semiconductor topcoatings to increase the saturation fluence. The topsection of a SESAM is critical because it experiences a very strong electric field and therefore contributes strongly to the IA and to the damage. With a dielectric material, we achieve larger values for F2 and, consequently, higher damage fluences.
- -
- The absorber section of the samples used for the damage and lifetime study was grown at T ≈ 400 °C leading to recovery times in the order of ≈200 ps and negligible nonsaturable losses. Lower growth temperatures result in shorter recovery times but also in a larger growth defect densities and higher nonsaturable losses. Additional measurements show that the growth temperature only has a small influence on the damage threshold, which confirms the mechanism identified in this study.
- Future SESAM designs
- -
- More QWs, more topcoating layersThe simple guidelines developed in this study indicate that multiplying the number of QWs and the number of dielectric layers results in high-damage threshold samples with reduced IA and high saturation fluences, which are all crucial parameters for high-power oscillators. However, the limits of this approach for example in terms of maximum amount of QWs and/or dielectric top layers were not investigated.Concerning the dielectric topcoating, we chose the pair SiO2/Si3N4 simply because the coatings could be applied in-house in just a few hours using PECVD. Most of the depositions were performed at 300 °C in order to achieve high optical quality layers. However, this deposition method has limits in terms of the number of layers that can be applied.
- ○
- Stress: Given the high growth temperature of the PECVD topcoating, a large number of layers can result in significant stress of the coating at room temperature, which can lead to fracture. The limit in terms of number of layers can be increased up to some extent by reducing the deposition temperature, for example to 120 °C, at the expense of a slight degradation of the optical quality of the deposited coating. However, for a large number of layers, the use of other stress-less deposition techniques such as sputtering or evaporation should be considered.
- ○
- Materials: Different dielectric material pairs with a higher refractive index contrast are beneficial to reduce the necessary number of layers to achieve a given field enhancement in the absorbers. Some examples are SiO2/Ta2O5 (which is already commonly used as a topsection for SESAMs [32]), SiO2/HfO2 or SiO2/TiO2.Using the maximum possible number of QWs in one antinode of the electric field is preferred to limit the amount of material used in the structure. However, the QWs need to be separated by a large enough distance such that they do not interact between each other. This sets a limit to the number of QWs in one antinode for achieving efficient absorption. Furthermore, the fabrication of SESAMs with large amount of QWs is challenging due to stress resulting from the difference in lattice constants of the absorbers and the spacer layers. Although the exact consequences of this stress on SESAM properties have not been studied in detail, strain-compensation methods might be necessary to maintain the losses in the sample low.
- -
- Upside-down growth of large-scale SESAMs for improved thermal managementUntil now, thermal effects in SESAMs have not been the main limitation for power scaling of modelocked TDLs. Deposited heat in such structures is very low and is mainly due to the residual low nonsaturable losses of the samples. However, in future kW level oscillators, this small fraction of absorbed power can become significant, and lead to thermal aberrations and beam degradation [53]. The modelocked TDL power-scaling concept relies on increasing the spot sizes both on the disk and on the SESAM. Although for SESAMs we have the additional design freedom of increasing the saturation fluence to keep the saturation level constant, spot sizes will most likely also become larger as we move towards several kW of intracavity powers. One important consequence is that possible thermal lensing of the SESAM will then become a critical issue. Therefore, the design of large (several centimeters squared) SESAMs with improved thermal capabilities is a key point in this direction.

2.4. Conclusion and Outlook

3. New Pulse Duration Limits of Modelocked Thin-Disk Lasers
3.1. Challenges

| Material | Remarks | Pav | Ep | τ | frep | P | Ref. |
|---|---|---|---|---|---|---|---|
| Yb:YAG | vacuum | 275 W | 17 μJ | 583 fs | 16.3 MHz | 26 MW | [17] |
| 145 W | 41.3 μJ | 1.1 ps | 3.5 MHz | 35 MW | [18] | ||
| 80 W | 1.5 μJ | 705 fs | 57 MHz | 1.7 MW | [60] | ||
| 76 W | 26 μJ | 960 fs | 2.9 MHz | 25 MW | [38] | ||
| Yb:YAG | helium | 44 W | 11 μJ | 791 fs | 4 MHz | 12.5 MW | [38] |
| 63 W | 5.1 μJ | 796 fs | 12 MHz | 5.7 MW | [33] | ||
| 60 W | 1.7 μJ | 810 fs | 34 MHz | 1.9 MW | [44] | ||
| 16 W | 0.5 μJ | 730 fs | 34 MHz | 0.6 MW | [16] | ||
| Yb:YAG | Kerr Lens Modelocking (KLM) | 17 W | 0.4 μJ | 200 fs | 40 MHz | 1.9 MW | [61] |
| KLM | 45 W | 1.1 μJ | 270 fs | 40 MHz | 3.7 MW | [61] | |
| KLM + Positive dispersion regime | 17 W | 0.4 μJ | 1.7 ps | 40 MHz | 0.2 MW | [62] | |
| Yb:LuO | 141 W | 2.3 μJ | 738 fs | 60 MHz | 2.8 MW | [26] | |
| 63 W | 0.8 μJ | 535 fs | 81 MHz | 1.3 MW | [63] | ||
| 40 W | 0.5 μJ | 329 fs | 81 MHz | 1.3 MW | [63] | ||
| 7 W | 0.1 μJ | 142 fs | 64 MHz | 0.7 MW | [22] | ||
| 25 W | 0.4 μJ | 185 fs | 66 MHz | 1.8 MW | [64] | ||
| Yb:KLuW | 21 W | 0.6 μJ | 440 fs | 35 MHz | 1.2 MW | [65] | |
| Yb:KYW | 22 W | 0.9 μJ | 240 fs | 25 MHz | 3.3 MW | [66] | |
| Yb:ScYLO | 3.9 W | 0.1 μJ | 236 fs | 36 MHz | 0.4 MW | [67] | |
| 4.6 W | 0.1 μJ | 101 fs | 70 MHz | 0.6 MW | - | ||
| Yb:SSO | 28 W | 1 μJ | 298 fs | 27 MHz | 3.5 MW | [68] | |
| Yb:CALGO | 28 W | 1.3 μJ | 300 fs | 21 MHz | 3.8 MW | [69] | |
| 20 W | 0.9 μJ | 197 fs | 21 MHz | 4 MW | [69] | ||
| 1.3 W | 0.03 μJ | 135 fs | 45 MHZ | 0.2 MW | [69] | ||
| Yb:YCOB | 2 W | 0.1 μJ | 270 fs | 20 MHz | 0.3 MW | [70] | |
| 4.7 W | 0.2 μJ | 455 fs | 24 MHz | 0.4 MW | [70] | ||
| Yb:LuScO | 7 W | 0.1 μJ | 227 fs | 66 MHz | 0.4 MW | [71] | |
| 23 W | 0.3 μJ | 235 fs | 70 MHz | 1.2 MW | [72] | ||
| 9.5 W | 0.1 μJ | 195 fs | 70 MHz | 0.6 MW | [72] | ||
| 5 W | 0.1 μJ | 96 fs | 77 MHz | 0.6 MW | [21] |
- -
- A somewhat higher modulation depth compared to what is typically used in high-power TDLs is beneficial to push the pulse duration to the bandwidth limit [28,29]. This contributes to a higher QML threshold [51]. In addition, typical gain cross-sections of broadband materials are moderate, which further contributes to a higher QML threshold. During this regime, peak powers can become significantly larger than in cw modelocked regime.
- -
- At short pulse durations (<200 fs), the SESAM rollover in reflectivity can already occur at moderate pulse fluences due to TPA. As we discussed in 2.3.1, this can lead to multi-pulsing instabilities at moderate pulse energy and can be one of the main limiting factors.
- -
- SESAMs with short recovery times are beneficial to push the pulse duration limits of such sources [28,29]. A common way of tailoring the recovery time of the absorber is to grow the QW absorbers at low-temperature (LT). LT-growth introduces additional defects in the lattice that result in fast nonradiative decay times [73,74,75]. However, this results in extra nonsaturable losses, which can lead to increased thermal effects [52,74].

3.2. State-of-the Art and Recent Experimental Results
3.2.1. Short Pulses from Yb:Lu2O3 and First Experiment of CEO Detection of a Modelocked TDL


3.2.2. Mixed Sesquioxide Materials: Sub-100 fs Pulse Duration

3.3. Conclusions
4. Conclusions and Outlook
Acknowledgments
Conflict of Interest
References
- Sibbett, W.; Lagatsky, A.A.; Brown, C.T.A. The development and application of femtosecond laser systems. Opt. Express 2012, 20, 6989–7001. [Google Scholar] [CrossRef]
- Südmeyer, T.; Marchese, S.V.; Hashimoto, S.; Baer, C.R.E.; Gingras, G.; Witzel, B.; Keller, U. Femtosecond laser oscillators for high-field science. Nat. Photonics 2008, 2, 599–604. [Google Scholar] [CrossRef]
- McPherson, A.; Gibson, G.; Jara, H.; Johann, U.; Luk, T.S.; McIntyre, I.A.; Boyer, K.; Rhodes, C.K. Studies of multiphoton production of vacuum-ultraviolet radiation in the rare gases. J. Opt. Soc. Am. B 1987, 4, 595–601. [Google Scholar] [CrossRef]
- Ferray, M.; L’Huillier, A.; Li, X.F.; Lompré, L.A.; Mainfray, G.; Manus, C. Multiple-harmonic conversion of 1064 nm radiation in rare gases. J. Phys. B 1988, 21, L31–L35. [Google Scholar] [CrossRef]
- Keller, U. Femtosecond to attosecond optics. IEEE Photon. J. 2010, 2, 225–228. [Google Scholar] [CrossRef]
- Heckl, O.H.; Baer, C.R.E.; Kränkel, C.; Marchese, S.V.; Schapper, F.; Holler, M.; Südmeyer, T.; Robinson, J.S.; Tisch, J.W.G.; Couny, F.; et al. High harmonic generation in a gas-filled hollow-core photonic crystal fiber. Appl. Phys. B 2009, 97, 369–373. [Google Scholar] [CrossRef]
- Kim, S.; Jin, J.H.; Kim, Y.J.; Park, I.Y.; Kim, Y.; Kim, S.W. High-harmonic generation by resonant plasmon field enhancement. Nature 2008, 453, 757–760. [Google Scholar] [CrossRef]
- Russbueldt, P.; Mans, T.; Weitenberg, J.; Hoffmann, H.D.; Poprawe, R. Compact diode-pumped 1.1 kW Yb:YAG Innoslab femtosecond amplifier. Opt. Lett. 2010, 34, 4169–4171. [Google Scholar]
- Eidam, T.; Hanf, S.; Seise, E.; Andersen, T.V.; Gabler, T.; Wirth, C.; Schreiber, T.; Limpert, J.; Tünnermann, A. Femtosecond fiber CPA system emitting 830 W average output power. Opt. Lett. 2010, 35, 94–96. [Google Scholar] [CrossRef]
- Metzger, T.; Schwarz, A.; Teisset, C.Y.; Sutter, D.; Killi, A.; Kienberger, R.; Krausz, F. High-repetition-rate picosecond pump laser based on a Yb:YAG disk amplifier for optical parametric amplification. Opt. Lett. 2009, 2009, 2123–2125. [Google Scholar]
- Giesen, A.; Hügel, H.; Voss, A.; Wittig, K.; Brauch, U.; Opower, H. Scalable concept for diode-pumped high-power solid-state lasers. Appl. Phys. B 1994, 58, 365–372. [Google Scholar] [CrossRef]
- Giesen, A.; Speiser, J. Fifteen years of work on thin-disk lasers: results and scaling laws. IEEE J. Sel. Top. Quantum Electron. 2007, 13, 598–609. [Google Scholar] [CrossRef]
- Keller, U. Ultrafast solid-state laser oscillators: A success story for the last 20 years with no end in sight. Appl. Phys. B 2010, 100, 15–28. [Google Scholar] [CrossRef]
- Keller, U.; Weingarten, K.J.; Kärtner, F.X.; Kopf, D.; Braun, B.; Jung, I.D.; Fluck, R.; Hönninger, C.; Matuschek, N.; Aus der Au, J. Semiconductor saturable absorber mirrors (SESAMs) for femtosecond to nanosecond pulse generation in solid-state lasers. IEEE J. Sel. Top. Quantum Electron. 1996, 2, 435–453. [Google Scholar] [CrossRef]
- Keller, U.; Miller, D.A.B.; Boyd, G.D.; Chiu, T.H.; Ferguson, J.F.; Asom, M.T. Solid-state low-loss intracavity saturable absorber for Nd:YLF lasers: An antiresonant semiconductor Fabry-Perot saturable absorber. Opt. Lett. 1992, 17, 505–507. [Google Scholar] [CrossRef]
- Aus der Au, J.; Spühler, G.J.; Südmeyer, T.; Paschotta, R.; Hövel, R.; Moser, M.; Erhard, S.; Karszewski, M.; Giesen, A.; Keller, U. 16.2W average power from a diode-pumped femtosecond Yb:YAG thin disk laser. Opt. Lett. 2000, 25, 859–861. [Google Scholar] [CrossRef]
- Saraceno, C.J.; Emaury, F.; Heckl, O.H.; Baer, C.R.E.; Hoffmann, M.; Schriber, C.; Golling, M.; Sudmeyer, T.; Keller, U. 275 W average output power from a femtosecond thin disk oscillator operated in a vacuum environment. Opt. Express 2012, 20, 23535–23541. [Google Scholar] [CrossRef]
- Bauer, D.; Zawischa, I.; Sutter, D.H.; Killi, A.; Dekorsy, T. Mode-locked Yb:YAG thin-disk oscillator with 41 µJ pulse energy at 145 W average infrared power and high power frequency conversion. Opt. Express 2012, 20, 9698–9704. [Google Scholar]
- Saraceno, C.J.; Schriber, C.; Mangold, M.; Hoffmann, M.; Heckl, O.H.; Baer, C.R.E.; Golling, M.; Südmeyer, T.; Keller, U. SESAMs for high-power oscillators: Design guidelines and damage thresholds. IEEE J. Sel. Top. Quantum Electron. 2012, 18, 29–41. [Google Scholar]
- Südmeyer, T.; Kränkel, C.; Baer, C.R.E.; Heckl, O.H.; Saraceno, C.J.; Golling, M.; Peters, R.; Petermann, K.; Huber, G.; Keller, U. High-power ultrafast thin disk laser oscillators and their potential for sub-100-femtosecond pulse generation. Appl. Phys. B 2009, 97, 281–295. [Google Scholar] [CrossRef]
- Saraceno, C.J.; Heckl, O.H.; Baer, C.R.E.; Schriber, C.; Golling, M.; Beil, K.; Kränkel, C.; Südmeyer, T.; Huber, G.; Keller, U. Sub-100 femtosecond pulses from a SESAM modelocked thin disk laser. Appl. Phys. B 2012, 106, 559–562. [Google Scholar] [CrossRef]
- Saraceno, C.J.; Pekarek, S.; Heckl, O.H.; Baer, C.R.E.; Schriber, C.; Golling, M.; Beil, K.; Kränkel, C.; Huber, G.; Keller, U.; et al. Self-referenceable frequency comb from an ultrafast thin disk laser. Opt. Express 2012, 20, 9650–9656. [Google Scholar] [CrossRef]
- Huonker, M.; Voss, A.; Schmitz, C. Laserverstärkersystem: Offenlegungsschrift des deutschen Patent-und Markenamts. (DE 100 61 424 A 1), 2000. [Google Scholar]
- Mende, J.; Schmid, E.; Speiser, J.; Spindler, G.; Giesen, A. Thin disk laser: Power scaling to the kW regime in fundamental mode operation. Proc. SPIE 2009, 7193. [Google Scholar] [CrossRef]
- Killi, A.; Stolzenburg, C.; Zawischa, I.; Sutter, D.; Kleinbauer, J.; Schad, S.; Brockmann, R.; Weiler, S.; Neuhaus, J.; Kalfhues, S.; et al. The broad applicability of the disk laser principle—from CW to ps. Proc. SPIE 2009, 7193. [Google Scholar] [CrossRef]
- Baer, C.R.E.; Kränkel, C.; Saraceno, C.J.; Heckl, O.H.; Golling, M.; Peters, R.; Petermann, K.; Südmeyer, T.; Huber, G.; Keller, U. Femtosecond thin disk laser with 141 W of average power. Opt. Lett. 2010, 35, 2302–2304. [Google Scholar] [CrossRef]
- Baer, C.R.E.; Heckl, O.H.; Saraceno, C.J.; Schriber, C.; Kränkel, C.; Südmeyer, T.; Keller, U. Frontiers in passively mode-locked high-power thin disk laser oscillators. Opt. Express 2012, 20, 7054–7065. [Google Scholar]
- Kärtner, F.X.; Keller, U. Stabilization of soliton-like pulses with a slow saturable absorber. Opt. Lett. 1995, 20, 16–18. [Google Scholar] [CrossRef]
- Paschotta, R.; Keller, U. Passive mode locking with slow saturable absorbers. Appl. Phys. B 2001, 73, 653–662. [Google Scholar] [CrossRef]
- Kuhl, J.; Heppner, J. Compression of femtosecond optical pulses with dielctric multilayer interferometers. IEEE Trans. Quantum Electron. 1986, QE-22, 182–185. [Google Scholar]
- Heppner, J.; Kuhl, J. Intracavity chirp compensation in a colliding pulse mode-locked laser using thin-film interferometers. Appl. Phys. Lett. 1985, 47, 453–456. [Google Scholar] [CrossRef]
- Marchese, S.V.; Baer, C.R.E.; Engqvist, A.G.; Hashimoto, S.; Maas, D.J.H.C.; Golling, M.; Südmeyer, T.; Keller, U. Femtosecond thin disk laser oscillator with pulse energy beyond the 10-microjoule level. Opt. Express 2008, 16, 6397–6407. [Google Scholar] [CrossRef]
- Marchese, S.V.; Südmeyer, T.; Golling, M.; Grange, R.; Keller, U. Pulse energy scaling to 5 μJ from a femtosecond thin disk laser. Opt. Lett. 2006, 31, 2728–2730. [Google Scholar] [CrossRef]
- Paschotta, R.; Häring, R.; Keller, U.; Garnache, A.; Hoogland, S.; Tropper, A.C. Soliton-like pulse-shaping mechanism in passively mode-locked surface-emitting semiconductor lasers. Appl. Phys. B 2002, 75, 445–451. [Google Scholar] [CrossRef]
- Nibbering, E.T.J.; Grillon, G.; Franco, M.A.; Prade, B.S.; Mysyrowicz, A. Determination of the inertial contribution to the nonlinear refractive index of air, N2, and O2 by use of unfocused high-intensity femtosecond laser pulses. J. Opt. Soc. Am. B 1997, 14, 650–660. [Google Scholar] [CrossRef]
- Lehmeier, H.J.; Leupacher, W.; Penzkofer, A. Nonresonant 3rd order hyperpolarizability of rare-gases and n2 determined by 3rd harmonic-generation. Opt. Commun. 1985, 56, 67–72. [Google Scholar] [CrossRef]
- Neuhaus, J.; Kleinbauer, J.; Killi, A.; Weiler, S.; Sutter, D.; Dekorsy, T. Passively mode-locked Yb:YAG thin-disk laser with pulse energies exceeding 13 µJ by use of an active multipass geometry. Opt. Lett. 2008, 33, 726–728. [Google Scholar] [CrossRef]
- Neuhaus, J.; Bauer, D.; Zhang, J.; Killi, A.; Kleinbauer, J.; Kumkar, M.; Weiler, S.; Guina, M.; Sutter, D.H.; Dekorsy, T. Subpicosecond thin-disk laser oscillator with pulse energies of up to 25.9 microjoules by use of an active multipass geometry. Opt. Express 2008, 16, 20530–20539. [Google Scholar] [CrossRef]
- Shimoji, Y.; Fay, A.T.; Chang, R.S.F.; Djeu, N. Direct measurement of the nonlinear refractive-index of air. J. Opt. Soc. Am. B 1989, 6, 1994–1998. [Google Scholar] [CrossRef]
- Spühler, G.J.; Weingarten, K.J.; Grange, R.; Krainer, L.; Haiml, M.; Liverini, V.; Golling, M.; Schon, S.; Keller, U. Semiconductor saturable absorber mirror structures with low saturation fluence. Appl. Phys. B 2005, 81, 27–32. [Google Scholar] [CrossRef]
- Maas, D.J.H.C.; Bellancourt, A.R.; Hoffmann, M.; Rudin, B.; Barbarin, Y.; Golling, M.; Südmeyer, T.; Keller, U. Growth parameter optimization for fast quantum dot SESAMs. Opt. Express 2008, 16, 18646–18656. [Google Scholar] [CrossRef]
- Schättiger, F.; Bauer, D.; Demsar, J.; Dekorsy, T.; Kleinbauer, J.; Sutter, D.H.; Puustinen, J.; Guina, M. Characterization of InGaAs and InGaAsN semiconductor saturable absorber mirrors for high-power mode-locked thin-disk lasers. Appl. Phys. B 2011, 106, 605–612. [Google Scholar]
- Schibli, T.R.; Thoen, E.R.; Kärtner, F.X.; Ippen, E.P. Suppression of Q-switched mode locking and break-up into multiple pulses by inverse saturable absorption. Appl. Phys. B 2000, 70, S41–S49. [Google Scholar] [CrossRef]
- Innerhofer, E.; Südmeyer, T.; Brunner, F.; Häring, R.; Aschwanden, A.; Paschotta, R.; Keller, U.; Hönninger, C.; Kumkar, M. 60 W average power in 810-fs pulses from a thin-disk Yb:YAG laser. Opt. Lett. 2003, 28, 367–369. [Google Scholar] [CrossRef]
- Grange, R.; Haiml, M.; Paschotta, R.; Spuhler, G.J.; Krainer, L.; Golling, M.; Ostinelli, O.; Keller, U. New regime of inverse saturable absorption for self-stabilizing passively mode-locked lasers. Appl. Phys. B 2005, 80, 151–158. [Google Scholar] [CrossRef]
- Maas, D.J.H.C.; Rudin, B.; Bellancourt, A.-R.; Iwaniuk, D.; Marchese, S.V.; Südmeyer, T.; Keller, U. High precision optical characterization of semiconductor saturable absorber mirrors. Opt. Express 2008, 16, 7571–7579. [Google Scholar] [CrossRef]
- Haiml, M.; Grange, R.; Keller, U. Optical characterization of semiconductor saturable absorbers. Appl. Phys. B 2004, 79, 331–339. [Google Scholar] [CrossRef]
- Thoen, E.R.; Koontz, E.M.; Joschko, M.; Langlois, P.; Schibli, T.R.; Kärtner, F.X.; Ippen, E.P.; Kolodziejski, L.A. Two-photon absorption in semiconductor saturable absorber mirrors. Appl. Phys. Lett. 1999, 74, 3927–3929. [Google Scholar] [CrossRef]
- Maas, D.J.H.C. MIXSELs—A New Class of Ultrafast Semiconductor Lasers. In Proceeding of Lasers and Electro-Optics, 2007 and the International Quantum Electronics Conference, Munich, Germany, 17–22 June 2007.
- Van Stryland, E.W.; Woodall, M.A.; Vanherzeele, H.; Soileau, M.J. Energy band-gap dependence of two-photon absorption. Opt. Lett. 1985, 10, 490–492. [Google Scholar] [CrossRef]
- Hönninger, C.; Paschotta, R.; Morier-Genoud, F.; Moser, M.; Keller, U. Q-switching stability limits of continuous-wave passive mode locking. J. Opt. Soc. Am. B 1999, 16, 46–56. [Google Scholar] [CrossRef]
- Haiml, M.; Siegner, U.; Morier-Genoud, F.; Keller, U.; Luysberg, M.; Lutz, R.C.; Specht, P.; Weber, E.R. Optical nonlinearity in low-temperature-grown GaAs: Microscopic limitations and optimization strategies. Appl. Phys. Lett. 1999, 74, 3134–3136. [Google Scholar] [CrossRef]
- Schieffer, S.L.; Berger, J.A.; Rickman, B.L.; Nayyar, V.P.; Schroeder, W.A. Thermal effects in semiconductor saturable-absorber mirrors. J. Opt. Soc. Am. B 2012, 29, 543–552. [Google Scholar] [CrossRef]
- Keller, U.; Tropper, A.C. Passively modelocked surface-emitting semiconductor lasers. Phys. Rep. 2006, 429, 67–120. [Google Scholar] [CrossRef]
- Kuznetsov, M.; Hakimi, F.; Sprague, R.; Mooradian, A. Design and characteristics of high-power (>0.5-w cw) diode-pumped vertical-external-cavity surface-emitting semiconductor lasers with circular tem00 beams. IEEE J. Sel. Top. Quantum Electron. 1999, 5, 561–573. [Google Scholar]
- Chilla, J.; Butterworth, S.; Zeitschel, A.; Charles, J.; Caprara, A.; Reed, M.; Spinelli, L. High power optically pumped semiconductor lasers. Proc. SPIE 2004. [Google Scholar] [CrossRef]
- Südmeyer, T.; Maas, D.J.H.C.; Keller, U. Mode-locked Semiconductor Disk Lasers. In Semiconductor Disk Lasers; Okhotnikov, O., Ed.; Wiley-VCH Verlag GmbH & Co. KGaA: Weinheim, Germany, 2010. [Google Scholar]
- Herriott, D.; Kogelnik, H.; Kompfner, R. Off-axis paths in spherical mirror interferometers. Appl. Opt. 1964, 3, 523–526. [Google Scholar] [CrossRef]
- Druon, F.; Balembois, F.; Georges, P. Laser crystals for the production of ultra-short laser pulses. Ann. Chim. Sci. Mat. 2003, 28, 47–72. [Google Scholar] [CrossRef]
- Brunner, F.; Innerhofer, E.; Marchese, S.V.; Südmeyer, T.; Paschotta, R.; Usami, T.; Ito, H.; Kurimura, S.; Kitamura, K.; Arisholm, G.; et al. Powerful red-green-blue laser source pumped with a mode-locked thin disk laser. Opt. Lett. 2004, 29, 1921–1923. [Google Scholar] [CrossRef]
- Pronin, O.; Brons, J.; Grasse, C.; Pervak, V.; Boehm, G.; Amann, M.C.; Kalashnikov, V.L.; Apolonski, A.; Krausz, F. High-power 200 fs Kerr-lens mode-locked Yb:YAG thin-disk oscillator. Opt. Lett. 2011, 36, 4746–4748. [Google Scholar] [CrossRef]
- Pronin, O.; Brons, J.; Grasse, C.; Pervak, V.; Boehm, G.; Amann, M.C.; Apolonski, A.; Kalashnikov, V.L.; Krausz, F. High-power Kerr-lens mode-locked Yb:YAG thin-disk oscillator in the positive dispersion regime. Opt. Lett. 2012, 37, 3543–3545. [Google Scholar] [CrossRef]
- Baer, C.R.E.; Kränkel, C.; Saraceno, C.J.; Heckl, O.H.; Golling, M.; Südmeyer, T.; Peters, R.; Petermann, K.; Huber, G.; Keller, U. Femtosecond Yb:Lu2O3 thin disk laser with 63 W of average power. Opt. Lett. 2009, 34, 2823–2825. [Google Scholar] [CrossRef]
- Saraceno, C.J.; Schriber, C.; Heckl, O.H.; Baer, C.R.E.; Golling, M.; Beil, K.; Kränkel, C.; Südmeyer, T.; Huber, G.; Keller, U. 25 W, 185 fs Pulses from an Yb:Lu2O3 Modelocked Thin Disk Laser. In Proceedings of Europhoton 2012—5th EPS-QEOD EUROPHOTON CONFERENCE, Stockholm, Sweden, 26–31 August 2012.
- Palmer, G.; Schultze, M.; Siegel, M.; Emons, M.; Bünting, U.; Morgner, U. Passively mode-locked Yb:KLu(WO4)2 thin-disk oscillator operated in the positive and negative dispersion regime. Opt. Lett. 2008, 33, 1608–1610. [Google Scholar] [CrossRef]
- Brunner, F.; Südmeyer, T.; Innerhofer, E.; Paschotta, R.; Morier-Genoud, F.; Gao, J.; Contag, K.; Giesen, A.; Kisel, V.E.; Shcherbitsky, V.G.; et al. 240-fs pulses with 22-W average power from a mode-locked thin-disk Yb:KY(WO4)2 laser. Opt. Lett. 2002, 27, 1162–1164. [Google Scholar] [CrossRef]
- Saraceno, C.J.; Heckl, O.H.; Baer, C.R.E.; Golling, M.; Südmeyer, T.; Beil, K.; Kränkel, C.; Petermann, K.; Huber, G.; Keller, U. CW and Modelocked Operation of an Yb:(Sc,Y,Lu)(2)O(3) Thin-disk Laser. In Proceedings of 2011 Conference on Lasers and Electro-Optics (CLEO), Munich, Germany, 4 May 2011.
- Wentsch, K.; Zheng, L.; Xu, J.; Abdou-Ahmed, M.; Graf, T. Passively mode-locked Yb3+:Sc2SiO5 thin-disk laser. Opt. Lett. 2012, 37, 4750–4753. [Google Scholar] [CrossRef]
- Ricaud, S.; Jaffres, A.; Wentsch, K.; Suganuma, A.; Viana, B.; Loiseau, P.; Weichelt, B.; Abdou-Ahmed, M.; Voss, A.; Graf, T.; et al. Femtosecond Yb:CaGdAlO4 thin-disk oscillator. Opt. Lett. 2012, 37, 3984–3987. [Google Scholar] [CrossRef]
- Heckl, O.H.; Kränkel, C.; Baer, C.R.E.; Saraceno, C.J.; Südmeyer, T.; Petermann, K.; Huber, G.; Keller, U. Continuous-wave and modelocked Yb:YCOB thin disk laser: First demonstration and future prospects. Opt. Express 2010, 18, 19201–19208. [Google Scholar] [CrossRef]
- Baer, C.R.E.; Kränkel, C.; Heckl, O.H.; Golling, M.; Südmeyer, T.; Peters, R.; Petermann, K.; Huber, G.; Keller, U. 227-fs pulses from a mode-locked yb:lusco3 thin disk Laser. Opt. Express 2009, 17, 10725–10730. [Google Scholar] [CrossRef]
- Saraceno, C.J.; Heckl, O.H.; Baer, C.R.E.; Golling, M.; Südmeyer, T.; Beil, K.; Kränkel, C.; Petermann, K.; Huber, G.; Keller, U. SESAMs for high-power femtosecond modelocking: Power scaling of an Yb:LuScO3 thin disk laser to 23 W and 235 fs. Opt. Express 2011, 19, 20288–20300. [Google Scholar] [CrossRef]
- Lochtefeld, A.J.; Melloch, M.R.; Chang, J.C.P.; Harmon, E.S. The role of point defects and arsenic precipitates in carrier trapping and recombination in low-temperature grown GaAs. Appl. Phys. Lett. 1996, 69, 1465–1467. [Google Scholar] [CrossRef]
- Siegner, U.; Fluck, R.; Zhang, G.; Keller, U. Ultrafast high-intensity nonlinear absorption dynamics in low-temperature grown gallium arsenide. Appl. Phys. Lett. 1996, 69, 2566–2568. [Google Scholar] [CrossRef]
- Loka, H.S.; Benjamin, S.D.; Smith, P.W.E. Optical Characterization of low-temperature-grown gaas for ultrafast all-optical switching devices. IEEE J. Quantum Electron. 1998, 34, 1426–1437. [Google Scholar] [CrossRef]
- Lacovara, P.; Choi, H.K.; Wang, C.A.; Aggarwal, R.L.; Fan, T.Y. Room-temperature diode-pumped Yb:YAG laser. Opt. Lett. 1991, 16, 1089–1091. [Google Scholar] [CrossRef]
- Hönninger, C.; Paschotta, R.; Graf, M.; Morier-Genoud, F.; Zhang, G.; Moser, M.; Biswal, S.; Nees, J.; Braun, A.; Mourou, G.A.; et al. Ultrafast ytterbium-doped bulk lasers and laser amplifiers. Appl. Phys. B 1999, 69, 3–17. [Google Scholar] [CrossRef]
- Hönninger, C.; Zhang, G.; Keller, U.; Giesen, A. Femtosecond Yb:YAG laser using semiconductor saturable absorbers. Opt. Lett. 1995, 20, 2402–2404. [Google Scholar] [CrossRef]
- Uemura, S.; Torizuka, K. Kerr-lens mode-locked diode-pumped Yb:YAG laser with the transverse mode passively stabilized. Appl. Physics Express 2008, 1. [Google Scholar] [CrossRef]
- Uemura, S.; Torizuka, K. Sub-40-fs pulses from a diode-pumped kerr-lens mode-locked yb-doped yttrium aluminum garnet laser. Jpn. J. Appl. Phys. 2011, 50, 1–3. [Google Scholar]
- Kuleshov, N.V.; Lagatsky, A.A.; Shcherbitsky, V.G.; Mikhailov, V.P.; Heumann, E.; Jensen, T.; Diening, A.; Huber, G. CW laser performance of Yb and Er,Yb doped tungstates. Appl. Phys. B 1997, 64, 409–413. [Google Scholar] [CrossRef]
- Kuleshov, N.V.; Lagatsky, A.A.; Podlipensky, A.V.; Mikhailov, V.P.; Huber, G. Pulsed laser operation of Yb-doped KY(WO4)2 and KGd(WO4)2. Opt. Lett. 1997, 22, 1317–1319. [Google Scholar] [CrossRef]
- Kränkel, C.; Johannsen, J.; Peters, R.; Petermann, K.; Huber, G. Continuous-wave high power laser operation and tunability of Yb:LaSc3(BO3)4 in thin disk configuration. Appl. Phys. B 2007, 87, 217–220. [Google Scholar] [CrossRef]
- Kränkel, C.; Peters, R.; Petermann, K.; Loiseau, P.; Aka, G.; Huber, G. Efficient continuous-wave thin disk laser operation of Yb:Ca4YO(BO3)3 in EIIZ and EIIX orientations with 26 W output power. J. Opt. Soc. Am. B 2009, 26, 1310–1314. [Google Scholar] [CrossRef]
- Valentine, G.J.; Kemp, A.J.; Birkin, D.J.L.; Burns, D.; Balembois, F.; Georges, P.; Bernas, H.; Aron, A.; Aka, G.; Sibbett, W.; et al. Femtosecond Yb:YCOB laser pumped by narrow-stripe laser diode and passively modelocked using ion implanted saturable-absorber mirror. Electron. Lett. 2000, 36, 1621–1623. [Google Scholar] [CrossRef]
- Zaouter, Y.; Didierjean, J.; Balembois, F.; Lucas Leclin, G.; Druon, F.; Georges, P.; Petit, J.; Goldner, P.; Viana, B. 47-fs diode-pumped Yb3+:CaGdAlO4 laser. Opt. Lett. 2006, 31, 119–121. [Google Scholar] [CrossRef]
- Gomes, L.A.; Orsila, L.; Jouhti, T.; Okhotnikov, O.G. Picosecond SESAM-based ytterbium mode-locked fiber lasers. IEEE J. Sel. Top. Quant. 2004, 10, 129–136. [Google Scholar]
- Ricaud, S.; Jaffres, A.; Loiseau, P.; Viana, B.; Weichelt, B.; Abdou-Ahmed, M.; Voss, A.; Graf, T.; Rytz, D.; Delaigue, M.; et al. Yb:CaGdAlO4 thin-disk laser. Opt. Lett. 2011, 36, 4134–4137. [Google Scholar] [CrossRef]
- Agnesi, A.; Greborio, A.; Pirzio, F.; Reali, G.; Au, J.A.D.; Guandalini, A. 40-fs Yb3+: CaGdAlO4 laser pumped by a single-mode 350-mW laser diode. Opt. Express 2012, 20, 10077–10082. [Google Scholar]
- Greborio, A.; Guandalini, A.; Au, J.A.D. Sub-100 fs pulses with 12.5-W from Yb:CALGO based oscillators. Proc. SPIE 2012, 8235. [Google Scholar] [CrossRef]
- Li, J.F.; Liang, X.Y.; He, J.P.; Zheng, L.H.; Zhao, Z.W.; Xu, J. Diode pumped passively mode-locked Yb:SSO laser with 2. 3ps duration. Opt. Express 2010, 18, 18354–18359. [Google Scholar]
- Wentsch, K.S.; Weichelt, B.; Zheng, L.H.; Xu, J.; Ahmed, M.A.; Graf, T. Continuous-wave Yb-doped Sc2SiO5 thin-disk laser. Opt. Lett. 2012, 37, 37–39. [Google Scholar] [CrossRef]
- Liu, J.; Rico, M.; Griebner, U.; Petrov, V.; Peters, V.; Petermann, K.; Huber, G. Efficient room temperature continuous-wave operation of an Yb3+:Sc2O3 crystal laser at 1041.6 and 1094.6 nm. Phys. Stat. Sol. 2005, 202, R19–R21. [Google Scholar]
- Peters, R.; Kränkel, C.; Petermann, K.; Huber, G. Broadly tunable high-power Yb:Lu2O3 thin disk laser with 80% slope efficiency. Opt. Express 2007, 15, 7075–7082. [Google Scholar] [CrossRef]
- Fornasiero, L.; Mix, E.; Peters, V.; Petermann, K.; Huber, G. New oxide crystals for solid state lasers. Cryst. Res. Technol. 1999, 34, 255–260. [Google Scholar] [CrossRef]
- Peters, R.; Kränkel, C.; Petermann, K.; Huber, G. Crystal growth by the heat exchanger method, spectroscopic characterization and laser operation of high-purity Yb:Lu2O3. J. Cryst. Growth 2008, 310, 1934–1938. [Google Scholar] [CrossRef]
- Barta, C.; Petru, F.; Hajek, B. Über die Darstellung des Einkristalls von Scandiumoxid. Naturwissenschaften 1958, 45, 36–39. [Google Scholar] [CrossRef]
- Petermann, K.; Fornasiero, L.; Mix, E.; Peters, V. High melting sesquioxides: Crystal growth, spectroscopy, and laser experiments. Opt. Mater. 2002, 19, 67–71. [Google Scholar] [CrossRef]
- Petermann, K.; Huber, G.; Fornasiero, L.; Kuch, S.; Mix, E.; Peters, V.; Basun, S.A. Rare-earth-doped sesquioxides. J. Lumin. 2000, 87–89, 973–975. [Google Scholar]
- Petermann, K.; Fagundes-Peters, D.; Johannsen, J.; Mond, M.; Peters, V.; Romero, J.J.; Kutovoi, S.; Speiser, J.; Giesen, A. Highly Yb-doped oxides for thin-disc lasers. J. Crys. Growth 2005, 275, 135–140. [Google Scholar] [CrossRef]
- Klopp, P.; Petrov, V.; Griebner, U.; Petermann, K.; Peters, V.; Erbert, G. Highly efficient mode-locked Yb:Sc2O3 laser. Opt. Lett. 2004, 29, 391–393. [Google Scholar]
- Tokurakawa, M.; Shirakawa, A.; Ueda, K.; Yagi, H.; Yanagitani, T.; Kaminskii, A.A.; Beil, K.; Kränkel, C.; Huber, G. Continous wave and mode-locked Yb3+:Y2O3 ceramic thin-disk laser. Opt. Express 2012, 20, 10847–10852. [Google Scholar] [CrossRef]
- Marchese, S.V.; Baer, C.R.E.; Peters, R.; Kränkel, C.; Engqvist, A.G.; Golling, M.; Maas, D.J.H.C.; Petermann, K.; Südmeyer, T.; Huber, G.; et al. Efficient femtosecond high power Yb:Lu2O3 thin disk laser. Opt. Express 2007, 15, 16966–16971. [Google Scholar]
- Venus, G.B.; Sevian, A.; Smirnov, V.I.; Glebov, L.B. High-Brightness Narrow-Line Laser Diode Source with Volume Bragg-Grating Feedback. Proc. SPIE 2005, 5711. [Google Scholar] [CrossRef]
- Weichelt, B.; Voss, A.; Ahmed, M.A.; Graf, T. Enhanced performance of thin-disk lasers by pumping into the zero-phonon line. Opt.Lett. 2012, 37, 3045–3047. [Google Scholar] [CrossRef]
- Telle, H.R.; Steinmeyer, G.; Dunlop, A.E.; Stenger, J.; Sutter, D.H.; Keller, U. Carrier-envelope offset phase control: A novel concept for absolute optical frequency measurement and ultrashort pulse generation. Appl. Phys. B 1999, 69, 327–332. [Google Scholar] [CrossRef]
- Pekarek, S.; Südmeyer, T.; Lecomte, S.; Stefan, K.; Dudley, J.M.; Keller, U. Self-referencable frequency comb from a gigahertz diode-pumped solid state laser. Opt. Express 2011, 19, 16491–16497. [Google Scholar] [CrossRef]
- Heinecke, D.C.; Bartels, A.; Diddams, S.A. Offset frequency dynamics and phase noise properties of a self-referenced 10 GHz Ti:sapphire frequency comb. Opt. Express 2011, 19, 18440–18451. [Google Scholar] [CrossRef]
- Peters, R.; Petermann, K.; Huber, G. A New Mixed Sesquioxide Yb:LuScO3: Spectroscopic Properties and Highly Efficient Thin-Disk Laser Operation. In Advanced Solid-State Photonics; OSA Technical Digest Series: Denver, CO, USA, 2009; p. paper MC4. [Google Scholar]
© 2013 by the authors; licensee MDPI, Basel, Switzerland. This article is an open access article distributed under the terms and conditions of the Creative Commons Attribution license (http://creativecommons.org/licenses/by/3.0/).
Share and Cite
Saraceno, C.J.; Schriber, C.; Emaury, F.; Heckl, O.H.; Baer, C.R.E.; Hoffmann, M.; Beil, K.; Kränkel, C.; Golling, M.; Südmeyer, T.; et al. Cutting-Edge High-Power Ultrafast Thin Disk Oscillators. Appl. Sci. 2013, 3, 355-395. https://doi.org/10.3390/app3020355
Saraceno CJ, Schriber C, Emaury F, Heckl OH, Baer CRE, Hoffmann M, Beil K, Kränkel C, Golling M, Südmeyer T, et al. Cutting-Edge High-Power Ultrafast Thin Disk Oscillators. Applied Sciences. 2013; 3(2):355-395. https://doi.org/10.3390/app3020355
Chicago/Turabian StyleSaraceno, Clara J., Cinia Schriber, Florian Emaury, Oliver H. Heckl, Cyrill R. E. Baer, Martin Hoffmann, Kolja Beil, Christian Kränkel, Matthias Golling, Thomas Südmeyer, and et al. 2013. "Cutting-Edge High-Power Ultrafast Thin Disk Oscillators" Applied Sciences 3, no. 2: 355-395. https://doi.org/10.3390/app3020355
APA StyleSaraceno, C. J., Schriber, C., Emaury, F., Heckl, O. H., Baer, C. R. E., Hoffmann, M., Beil, K., Kränkel, C., Golling, M., Südmeyer, T., & Keller, U. (2013). Cutting-Edge High-Power Ultrafast Thin Disk Oscillators. Applied Sciences, 3(2), 355-395. https://doi.org/10.3390/app3020355
