Next Article in Journal
Explainable Smart-Building Energy Consumption Forecasting and Anomaly Diagnosis Framework Based on Multi-Head Transformer and Dual-Stream Detection
Previous Article in Journal
Adaptive Traffic Signal Control Using Deep Reinforcement Learning with Noise Injection
Previous Article in Special Issue
Analysis of the Wave Characteristics of the Baltic Sea in Terms of the Use of Wave Energy Converters
 
 
Font Type:
Arial Georgia Verdana
Font Size:
Aa Aa Aa
Line Spacing:
Column Width:
Background:
Article

Three Degree of Freedom Wave Energy Converter Design for Resonant Motion

1
Department of Mechanical and Aerospace Engineering, Michigan Technological University, Houghton, MI 49931, USA
2
Sandia National Labs, Albuquerque, NM 87123, USA
*
Author to whom correspondence should be addressed.
Appl. Sci. 2026, 16(8), 3834; https://doi.org/10.3390/app16083834
Submission received: 25 February 2026 / Revised: 28 March 2026 / Accepted: 7 April 2026 / Published: 15 April 2026
(This article belongs to the Special Issue Dynamics and Control with Applications to Ocean Renewables)

Abstract

As multiple-degree-of-freedom (3-DOF) wave energy converters (WECs) have demonstrated the ability to produce more power than single-degree-of-freedom devices, the challenge of designing buoys for efficient energy harvesting has increased in complexity. In this paper, a cylindrical WEC is designed to naturally resonate in surge, pitch, and heave modes at a specific target frequency of 0.2 Hz. By utilizing a penalty-based optimization method to balance buoyancy requirements with natural resonance, the design achieves minimal control force input, thereby reducing fluctuations in energy output and local energy storage requirements. The performance is evaluated under irregular sea states using a Bretschneider spectrum. Results indicate that a buoy optimized to naturally resonate at the modal frequency of a sea state provides consistent power with significantly reduced reactive power demand compared to non-optimized designs.

1. Introduction

Wave energy is a promising resource for future power production, as it can provide a consistent, reliable supply of renewable energy that is concentrated near the water’s surface [1]. The estimated 90% production time of wave energy is of particular interest, since wind and solar energy can experience significantly greater periods of inactivity depending on the weather. Current wave energy converter (WEC) technology is hampered by both the high financial cost of developing and deploying maritime systems capable of withstanding harsh ocean conditions and the poor efficiency of existing systems [1]. Research into WECs seeks to mitigate these issues and provide a reliable green energy source that can meet society’s need for a consistent energy supply without the negative climate impacts and geopolitical volatility associated with carbon fuels [1]. There are many types of WECs that generate energy from ocean wave motion. The point absorber WEC is one such device, which consists of a buoy attached to a power takeoff (PTO) system that produces energy from the relative motion between the buoy and a stationary object [2]. An example of this device is shown in Figure 1. This device may oscillate in one degree of freedom (1-DOF) or in multiple degrees. Three-degree-of-freedom (3-DOF) WECs can produce significantly more power than 1-DOF systems, though this requires more complex systems to harvest energy effectively [3]. Further research showed that six-degree-of-freedom devices could not produce substantially more energy than 3-DOF devices, so such systems are not as widely pursued for future development [4].
Recent studies have explored various control strategies to improve WEC performance. Veurink et al. [5] investigated the integration of WEC arrays with power grids, while Cai et al. [6] provided numerical and experimental research on resonance-based converters. Additionally, theoretical investigations on multi-DOF WECs in front of seawalls have been conducted [7]. However, many existing models rely on active control forces that require significant local energy storage. This manuscript addresses this gap by proposing a design that achieves natural resonance through geometric optimization, thereby minimizing the reliance on external control forces. The highlights of this research include the analytical development of a 3-DOF resonant model and its validation against varying sea states.
As a point absorber, the WEC buoy’s motions in multiple degrees of freedom (DOF) are inherently coupled. Under certain conditions, the fluid-structure interaction leads to parametric excitation [8], where periodic variations in the system’s parameters—such as the waterplane area or metacentric height—transfer energy between motion modes. This can trigger instabilities and disproportionately large oscillations, even in modes not directly excited by primary wave forces. In a 1-DOF system, this parametric excitation results in reduced energy production, while a 3-DOF system that accounts for this effect sees improved energy production [9]. Due to the potency of this type of excitation, systems that are affected by it can experience great instability if certain resonance points are reached [10]. The location of linear resonance, where all 3-DOF naturally resonate at the same frequency as the wave excitation force, is already known to produce greater amounts of energy than other investigated locations [11]. This suggests that other resonance locations may yield similarly improved energy output.
To get a buoy to naturally resonate at these resonance locations, a control force may be applied to the system. A commonly studied method for controlling the buoy is the proportional-derivative complex conjugate control (PDC3) scheme [11]. In this scheme, the proportional control makes the buoy resonate at the same frequency as incoming waves while the derivative control maximizes the average energy output from the system by matching the buoy damping [11].

2. Modeling

As put forth by [3], a cylindrical WEC buoy moving in surge, heave, and pitch modes under linear conditions in waves of known frequency may be modeled using
F e 1 + F r a d 1 + u 1 = ( m + m 11 ) d ¨ 1 + m 15 θ ¨ 5 + b 1 d ˙ 1 + k m o o r d 1
F e 3 + F r a d 3 + u 3 = ( m + m 33 ) d ¨ 3 + b 3 d ˙ 3 + π ρ g R 2 d 3
F e 5 + F r a d 5 + u 5 = ( I 5 + I 55 ) θ ¨ 5 + I 51 d ¨ 1 + b 5 θ ˙ 5 + π ρ g R 2 4 ( R 2 + 2 h 2 + 4 h d 3 + 2 d 3 2 ) θ 5 ,
where the symbols are outlined Table 1. In these equations, the values R and h refer to the cylindrical buoy radius and height of the center of mass of the buoy, as shown in Figure 2. F e j is the wave excitation force in direction j, outlined through
F e 1 = ρ g γ i λ i R ( J 1 ( k i R ) J 1 ( k i R ) ) ( e k i h 1 ) cos ( Ω i t ϕ i )
in surge [12], where J 1 and J 1 are the Bessel function and the derivative, respectively. In heave and pitch, these excitation forces are
F e 3 = ρ g γ i π R 2 4 1 π 2 R 2 2 λ i 2 ( e k i h + 1 ) cos ( Ω i t ϕ i )
F e 5 = ρ g γ i π 2 R 2 ( e k i h + 1 ) sin ( Ω i t ϕ i ) ,
where k i is the wave number, λ i is the wave length, Ω i is the wave frequency, and γ i is the wave height [13].
The control forces u 1 , u 3 , and u 5 in (4)–(6) are the PDC3 values calculated using
u 1 = k p 11 d 1 k p 15 θ 5 k d 1 d 1 ˙
u 3 = k p 33 d 3 k d 3 d 3 ˙
u 5 = k p 51 d 1 k p 55 θ 5 k d 5 θ 5 ˙
where
k p 11 k p 15 k p 51 k p 55 = m + m 11 m 15 I 51 I 5 + I 55 ω n , d e s 0 0 ω n , d e s 2 k m o o r 0 0 k 22
k p 33 = m Ω 2 ρ g π R 2
k d 1 = b 1
k d 3 = b 3
k d 5 = b 5 .
This makes the buoy naturally resonate in heave at the driving wave frequency Ω , and at the desired frequency ω n , d e s for the coupled surge and pitch directions for a regular wave. In the case of an irregular wave, the total proportional control coefficients k p 11 , k p 15 , k p 33 , k p 51 , and k p 55 may be calculated by performing the calculations in (10) and (11) and applying these values individually to (7)–(9) for the system displacements associated with each frequency in the wave state. The total control force in each direction is then determined by summing the results across all present frequencies.
To get the WEC displacements associated with each individual frequency, a Fourier series is used to break the total system motion into individual frequencies using
d ^ j = a 0 + n = 1 N [ a n cos ( n ω t ) + b n sin ( n ω t ) ] ,
where the displacement d ^ j is the total approximate motion in a given mode j. Once the magnitude values a n and b n are determined, frequency-specific motion may be calculated to apply the control force for an irregular wave state. Because this method requires an established input signal to be applied to a transient feedback system, it requires a buffer period before it can activate and provide an appropriate control force.
The radiation damping forces F r a d 1 , F r a d 3 , and F r a d 5 in (4)–(6) are expressed as
F r a d 1 = h 11 d ˙ 1 h 15 θ ˙ 5
F r a d 3 = h 33 d ˙ 3
F r a d 5 = h 51 d ˙ 1 h 55 θ ˙ 5 ,
where the radiation damping values h i j are determined by a boundary element software package such as WAMIT. The ∗ indicates the convolution integral [3].
The buoy mass m may be related to the external buoy dimensions R and H, along with the water density ρ using
m = C ρ V b u o y
V b u o y = π R 2 H ,
where C is the ratio between the average buoy density and the density of the surrounding water, and V b u o y is the total volume of the cylindrical buoy.
The added masses from (1)–(3) must be approximated for the submerged geometry of the cylindrical buoy. The non-coupled added mass terms are calculated using the equations
m 11 = π ρ R 2 h
m 33 = ρ ( 2 R ) 3 6
I 55 = π ρ ( 2 R ) 2 h 3 12
from [13] for a submerged cylindrical body. (21) assumes a slender cylinder, and may be inaccurate for non-slender cylinders.
The coupled added-mass terms do not have simple analytical expressions and must be approximated numerically. Using a series of WAMIT simulations for vertical cylindrical buoys of a variety of radii and submerged heights, Figure 3a,b are generated. As long as the designed buoy radius and submerged height remain within the bounds of these numerically determined values, the coupled added mass terms for that buoy may be interpolated from the results shown to obtain approximate values for m 15 and I 51 for that buoy geometry.
WEC buoy simulations may be subjected to regular or irregular waves. Regular waves are simple sinusoids that apply the associated wave forces with constant frequency and consistent magnitude, as seen in Figure 4a [13]. Irregular waves are more representative of actual ocean conditions as they account for the stochastic nature of the sea surface [13]. According to random wave theory [14], the significant wave height H s represents the average of the highest third of waves; thus, individual component sinusoids in the Bretschneider spectrum may have heights significantly lower than H s , yet their summation results in a realistic sea state where peaks can exceed the significant height. The wave height for each frequency can be determined using
S ( ω ) = 5 16 ω m 4 ω 5 H s 2 e 5 4 ω m 4 ω 4 ,
where ω m is the modal (or dominant) frequency and H s is the significant wave height [15]. An example Bretschneider wave is depicted in Figure 4b.

3. Natural Resonance

The natural resonance equation,
ω n = k m ,
relates the natural frequency ω n of the system to the restoring coefficient k and inertia m. From (2), the k and m terms can be identified as the coefficients associated with d 3 and d ¨ 3 , respectively. (25) can therefore be arranged as
ω n = π ρ g R 2 m + m 33
in heave, where m 33 is given by the expression in (22). When values for R and m are selected to result in a low ω n value typical of ocean waves, the buoy must have a small radius and large mass, which makes buoyancy difficult. The average buoy density ρ b u o y must be below that of water to maintain buoyancy, and this buoyancy is related to total system mass using (19) and (20). The necessary buoy height to maintain buoyancy can then be calculated from (22), (19), (20), and (26) as
H = 1 C g ω n , d e s 2 4 R 3 π ,
where C is the ratio of the buoy and water densities
C = ρ b u o y ρ .
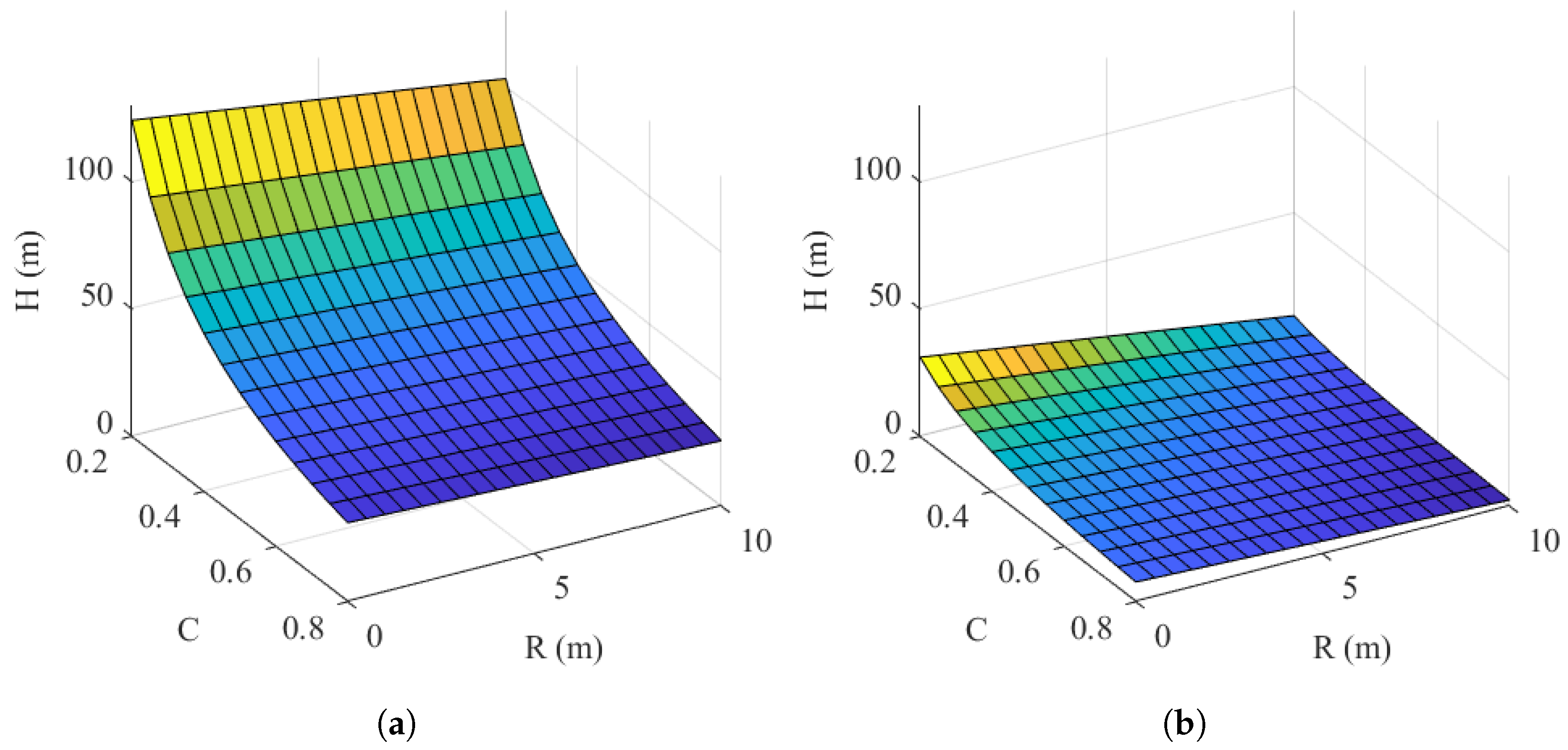
The results of (27) are plotted for 0.1 Hz waves in Figure 5a, which shows that for most buoyant designs, the cylindrical WEC buoy must be very tall and narrow to naturally resonate. The heights for 0.2 Hz waves in Figure 5b show that buoys do not need to be as tall for this higher-frequency wave state.
Because of the requirements of the natural frequency expression (26) and the limitations of buoy density on buoyancy, a buoy design that naturally resonates within a certain wave state may not be feasible. In this situation, an optimization expression can balance the needs for buoyancy with a buoy that approaches ω n , d e s . In
F ( R , H , m ) = min R , H , m a ( C ) ( C > 0.9 ) + | ω n , d e s ω n | 2 ,
a ( C ) works as a penalty term to keep the buoy density ratio C below 0.9 and maintain buoyancy. The ω n term is calculated using (26) so that (29) can create a buoy with the optimal R, H, and m parameters to approach natural resonance while not sinking.
In the surge and pitch directions described by (1) and (3), the coupled motion requires a matrix form natural frequency calculation given by
ω n 0 0 ω n = m + m 11 m 15 I 51 I 5 + I 55 1 k m o o r k p 15 k p 51 k 22 ,
where the proportional control coefficients k p 15 and k p 51 are necessary to account for the coupled motion between these modes. The pitch restoring coefficient k 22 is taken from (3) and linearized about d 3 = d 30 using
k 22 = π ρ g R 2 ( R 2 + 2 h 2 + 4 h d 30 + 2 d 30 2 ) .
Taking the non-coupled surge portion of (30), the natural frequency calculation of
ω n = k m o o r m + m 11
is obtained. This can be rearranged along with substitutions from (19), (20), and (21) to solve for the necessary mooring coefficient using
k m o o r = 2 π C ρ R 2 H ω n , d e s 2 .
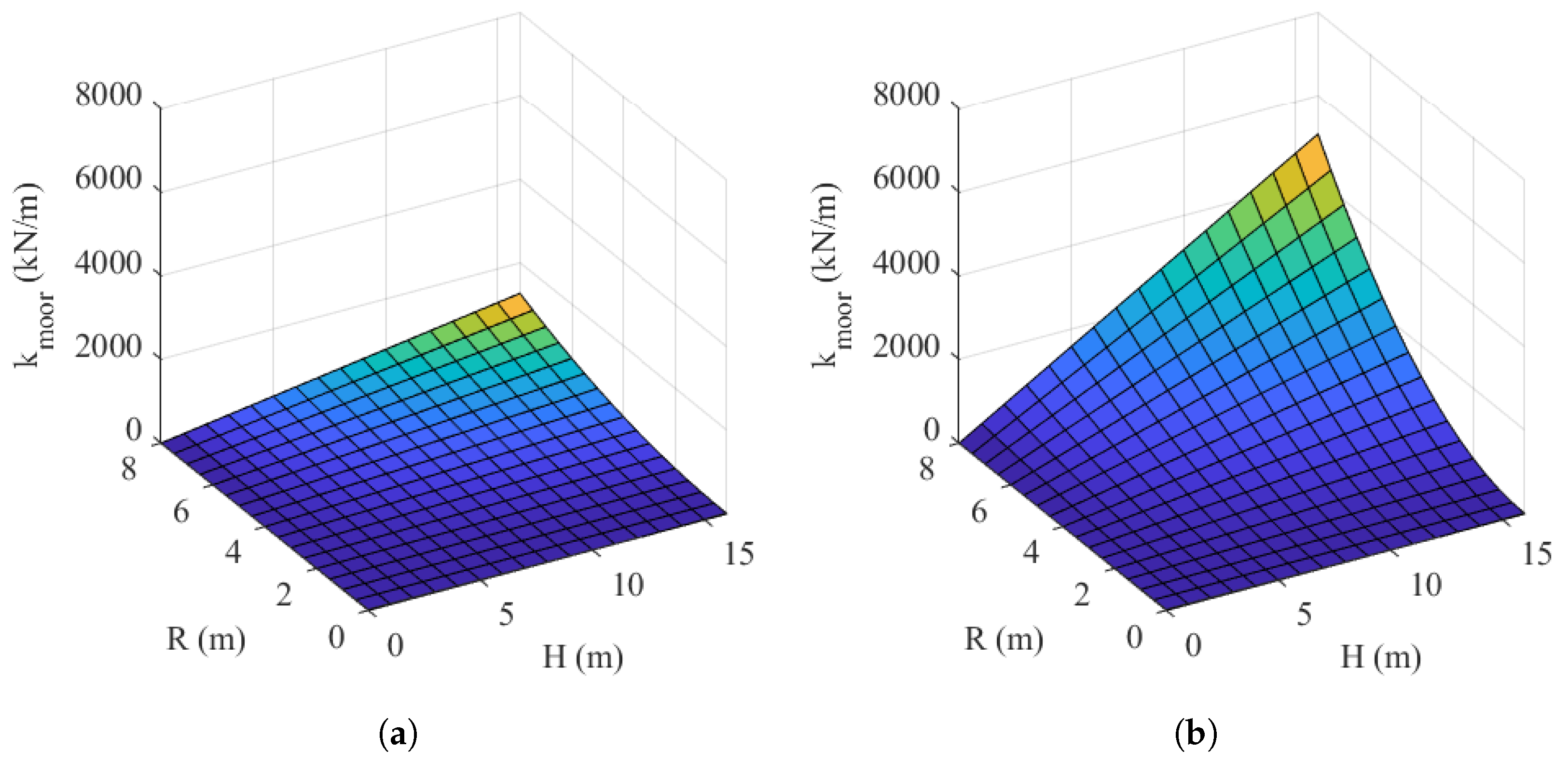
This equation is plotted for a 0.1 Hz wave condition over a range of buoy heights and radii in Figure 6a. The same graph is plotted again for a 0.2 Hz wave state in Figure 6b, showing that higher-frequency wave states require greater mooring coefficients for resonance. Additionally, larger buoys will require stronger moorings than smaller ones.
In the uncoupled pitch portion of (30), the natural frequency is found to be
w n = π ρ g R 2 ( R 2 + 2 h 2 + 4 h d 30 + 2 d 30 2 ) 4 ( I 5 + I 55 ) ,
which may be rearranged to solve for the necessary moment of inertia I 5 . Substitutions from (19), (20), and (23) are used to obtain
I 5 = π ρ R 2 g ( R 2 + 2 C 2 H 2 ) ω n , d e s 2 C 3 H 3 3 .
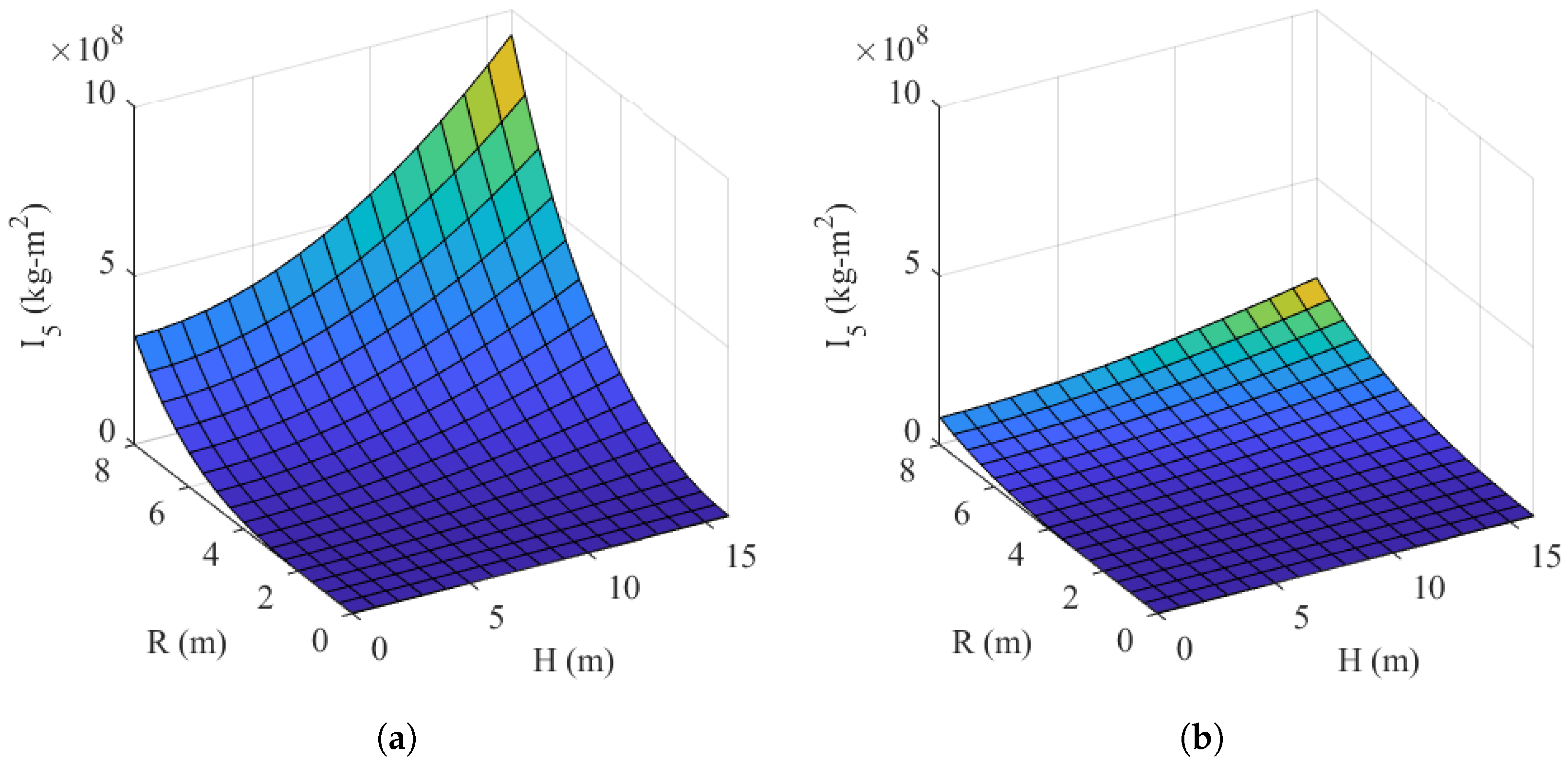
This equation is plotted in Figure 7a for the 0.1 Hz wave condition. This shows that larger cylindrical buoys require higher moments of inertia than smaller ones. In Figure 7b, the required moment of inertia is plotted for a 0.2 Hz wave state. Here, it is observed that buoys require lower moments of inertia for higher frequency wave states. Both Figure 7a,b show that the necessary WEC has a higher moment of inertia than a hollow cylinder of the necessary R and H can achieve for an average density for C = 0.5 , while staying within the confines of the cylindrical buoy structure. Therefore, the buoy must be designed to move some of the mass outside of the cylindrical confines without affecting the hydrodynamic qualities.
Using the above process to design a WEC buoy to naturally resonate at 0.2 Hz and remain buoyant, the results shown in Table 2 are produced. This is not the only combination of results that will make a right-cylindrical buoy naturally resonate at this frequency, as other, more scaled-down WECs or buoys with different aspect ratios will also be viable.

4. Power Generation

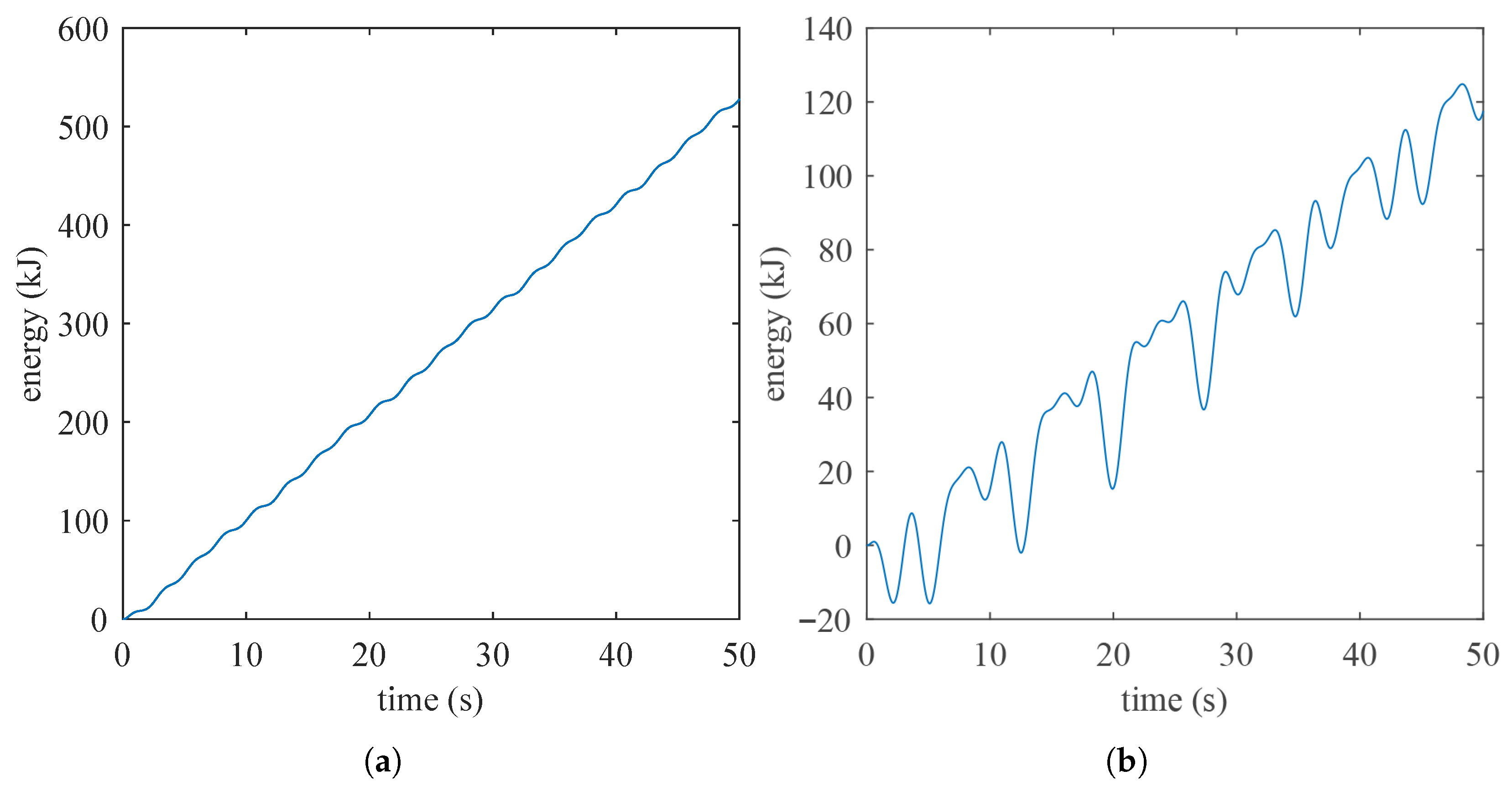
As the optimized WEC is excited by a regular wave where Ω = ω n , d e s for (27), (33), and (35), the only proportional control coefficients used are k p 15 and k p 51 . As a result, the energy fluctuations required to manage the control forces are minimal. This is depicted in Figure 8a, where the WEC consistently produces positive power. The derivative controllers are responsible for most of the control forces applied to the buoy and are designed to generate power whenever the buoy is in motion.
This is contrasted with Figure 8b, where a taller, narrower buoy of identical mass and moment of inertia to the optimal buoy has a smaller mooring restoration coefficient. Because this buoy no longer naturally resonates at the driving frequency Ω , the proportional control coefficients k p 11 , k p 33 , and k p 55 must compensate to make the buoy resonate via a control force. The proportional controller acts as a spring and returns all reactive power under ideal conditions. However, large energy fluctuations will either necessitate on-site energy storage in battery systems or require the electrical grid to handle them. By optimizing a buoy design for the driving frequency rather than using a proportional controller to compensate, these fluctuations can be reduced, as in Figure 8a.
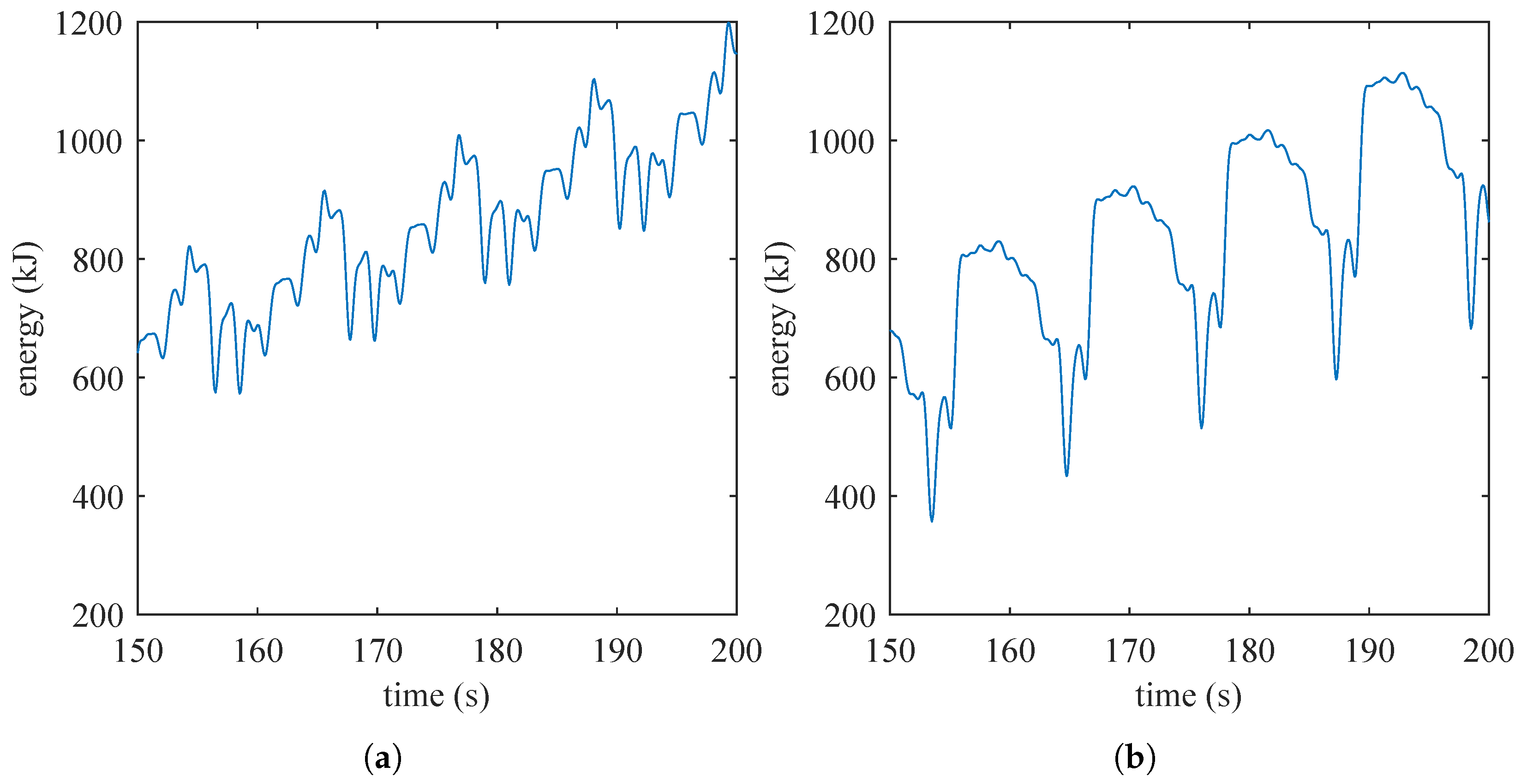
When an irregular Bretschneider wave is applied to the WEC, fluctuations are guaranteed, as shown in Figure 9a. This is necessary because proportional control allows the buoy to resonate across the entire wave spectrum; thus, reactive power is essential for the system to function. By focusing on the modal frequency of the Bretschneider spectrum, the proportional controller does not need to provide as much reactive power in reaching the dominant wave frequencies as comparable buoys may.
Of additional interest is the range of frequencies at which the WEC is set to harvest energy using the control force. Figure 9a depicts the energy generated when the WEC is actively harvesting from those frequencies with wave heights at least half that of the modal frequency.
When the same WEC device is set to harvest over a wider range of driving frequencies, it requires significantly greater energy storage for only limited improvements. Figure 9b demonstrates this, where the proportional controller makes the buoy resonate with all frequencies that have heights greater than one-tenth that of the modal frequency. Because these smaller waves are farther from the natural frequency, the control force must provide more reactive power and force for very little benefit. Figure 9a,b show very similar total energy outputs over their periods of operation, though Figure 9b sees energy fluctuations of twice the magnitude for this comparable total energy output, proving that WEC designers need to carefully consider how much this extra energy will benefit them when compared to the costs associated with a high-fluctuation energy output.

5. Discussion

The techniques outlined for making a right-cylindrical WEC buoy naturally resonate in 3-DOF with minimal proportional control inputs are effective for wave frequencies around 0.2 Hz, though less so at 0.1 Hz. At this frequency, the required buoys are extremely tall and narrow, with moments of inertia that are far too high to be feasible within the external bounds of the cylindrical buoy. At 0.2 Hz these moments of inertia are still very high, but the design changes to make this possible are feasible (Figure 10).
The WEC buoy is optimized using a penalty-based algorithm. The objective function J is designed to minimize the required reactive power (control force) u j , subject to the constraints of maintaining positive buoyancy ( m < ρ V b u o y ) and adhering to feasible engineering dimensions.
At a wave frequency of 0.1 Hz, the required moments of inertia to achieve natural resonance become impractical for standard cylindrical designs, necessitating extreme buoy dimensions. At 0.2 Hz, the design parameters reach a feasible equilibrium where natural resonance is achieved with realistic mass distributions. Analysis at 0.3 Hz shows that, while the required inertia is lower and the design is highly feasible, the ocean’s energy density at this higher frequency is typically lower than at the modal frequency of 0.2 Hz, resulting in reduced total power capture despite the ease of resonance. Furthermore, the buoy radius R significantly influences performance: as R increases, the capture width increases, but the added mass also rises, shifting the natural frequency downward. By minimizing the required control force u j through geometric resonance, the design inherently reduces the reactive power flow between the PTO system and the electrical grid. This reduction is critical for decreasing the size and cost of local energy storage components.
The energy outputs detailed in Figure 8a,b show that a WEC optimized to naturally resonate at the driving frequency of a simple wave requires significantly less energy storage than a WEC that is not. This is due to the proportional control force, which must act to linearly resonate the WEC by providing an additional spring force. This energy fluctuation is only increased as the driving frequency Ω i gets further from the buoy’s natural frequency ω n , and the proportional control forces must compensate with greater force.
Figure 9a,b demonstrate that harvesting energy from the lower-frequency components of the Bretschneider spectrum yields diminishing returns, as these waves carry inherently less energy. While the Bretschneider spectrum represents a broadband process, the performance degradation observed here is particularly sensitive to the spectral distribution; in narrow-band processes, the mismatch between the excitation frequency Ω i and the buoy’s natural frequency ω n would be less frequent, potentially mitigating these losses.
The primary “cost” of pursuing these marginal gains is the surge in reactive power demand and the resulting energy fluctuations. These fluctuations place significant stress on the energy storage system—typically a combination of supercapacitors and high-speed flywheels—which must buffer the bidirectional, high-peak-power flows required for proportional control. If the ESS capacity or efficiency is insufficient, the parasitic losses incurred during these cycles may outweigh the mechanical energy captured. Consequently, WEC control strategies must be co-designed with the ESS specifications to ensure net energy positivity across diverse wave states.
Additionally, when accounting for multiple wave frequencies using a Fourier series, the computational cost increases significantly as the number of frequencies grows. This may impose additional hardware requirements on the onboard control system and further increase the cost of accounting for these low-energy wave frequencies.

6. Conclusions

A WEC can be made to linearly resonate in 3-DOF by altering the external buoy dimensions, mass, moment of inertia, and mooring restoration coefficient. For a vertical, right-cylindrical WEC, these dimensions cannot compensate for the coupled surge and pitch modes, but the proportional controllers associated with these effects require very small energy storage systems. This process is effective for regular waves with driving frequencies near 0.2 Hz, but at lower frequencies, the required buoy parameters are not realistic for most cylindrical WEC designs if the buoy is to remain buoyant. If the natural resonance location is attainable through the physical design of a buoy, this design will result in significantly smaller energy fluctuations than a WEC that must reach this resonance location through a proportional controller. This either reduces on-site energy storage requirements or alleviates the fluctuations that the local power grid must accommodate.
For irregular waves, a WEC can mitigate energy fluctuations by leveraging its uncontrolled natural frequency to resonate with the most energy-dense portion of the spectrum. When a buoy is tuned to the peak (modal) frequency of a Bretschneider spectrum, it is optimized to harvest energy from the high-amplitude waves that constitute the bulk of the sea state’s power. While this ’narrow-band’ resonance strategy effectively filters out lower-energy frequencies—thereby reducing the computational complexity of the Fourier series approximation—it is most effective in sea states with highly concentrated energy. In broader spectra, supplemental control strategies or multi-resonant designs may be required to maintain capture efficiency across a wider frequency range.
This study presents a theoretical framework for achieving natural resonance in 3-DOF WECs. However, it is important to note the limitations of the proposed model, which assumes linear wave theory and ignores non-linear viscous effects that may become significant in high-amplitude waves. Furthermore, the current findings are based on numerical simulations and lack direct experimental validation. Future work should involve tank testing of the optimized buoy geometry or comparison with higher-fidelity CFD models to prove the practical accuracy of the resonance results.

Author Contributions

Conceptualization, R.D.R.III, S.Z. and D.G.W.; methodology, S.Z. and W.W.W.; software, G.B.; validation, G.B.; formal analysis, G.B.; investigation, G.B.; resources, R.D.R.III, S.Z., W.W.W. and D.G.W.; data curation, G.B.; writing—original draft preparation, G.B.; writing—review and editing, G.B. and W.W.W.; visualization, G.B.; supervision, W.W.W. and R.D.R.III; project administration, W.W.W. and G.B.; funding acquisition, W.W.W. All authors have read and agreed to the published version of the manuscript.

Funding

This paper was supported by Sandia National Laboratories, a multi-mission laboratory managed and operated by National Technology and Engineering Solutions of Sandia LLC, a wholly-owned subsidiary of Honeywell International Inc. for the U.S. Department of Energy’s National Nuclear Security Administration under contract DE-NA0003525. The views expressed in the article do not necessarily represent the views of the U.S. Department of Energy or the United States Government.

Institutional Review Board Statement

Not applicable.

Informed Consent Statement

Not applicable.

Data Availability Statement

The original contributions presented in this study are included in the article. Further inquiries can be directed to the corresponding author.

Conflicts of Interest

The authors declare that they have no known competing financial interests or personal relationships that could have appeared to influence the work reported in this paper. David G. Wilson is employee of Sandia National Labs. Sandia National Labs is a multi-mission laboratory managed and operated by National Technology and Engineering Solutions of Sandia LLC, a wholly-owned subsidiary of Honeywell International Inc. for the U.S. Department of Energy’s National Nuclear Security Administration. The funder had no role in the design of the study; in the collection, analysis, or interpretation of data, in the writing of the manuscript, or in the decision to publish the results.

Abbreviations

The following abbreviations are used in this manuscript:
3-DOFThree Degrees of Freedom.
1-DOFOne Degree of Freedom.
WECWave Energy Converter.
PTOPower Takeoff system.
PDC3Proportional-derivative complex conjugate control.
MWLMean Water Level.
CMCenter of Mass.

References

  1. Drew, B.; Plummer, A.R.; Sahinkaya, M.N. A Review of Wave Energy Converter Technology. 2009. Available online: https://energiatalgud.ee/sites/default/files/images_sala/2/23/Drew%2C_B.%2C_Plummer%2C_A.R.%2C_Sahinkaya%2C_M.N._A_review_of_wave_energy_converter_technology._2009.pdf (accessed on 24 February 2026).
  2. Aderinto, T.; Li, H. Review on power performance and efficiency of wave energy converters. Energies 2019, 12, 4329. [Google Scholar] [CrossRef]
  3. Zou, S.; Abdelkhalik, O.; Robinett, R.; Korde, U.; Bacelli, G.; Wilson, D.; Coe, R. Model Predictive Control of parametric excited pitch-surge modes in wave energy converters. Int. J. Mar. Energy 2017, 19, 32–46. [Google Scholar] [CrossRef]
  4. Giorgi, G.; Ringwood, J.V. A compact 6-DoF nonlinear wave energy device model for power assessment and control investigations. IEEE Trans. Sustain. Energy 2018, 10, 119–126. [Google Scholar] [CrossRef]
  5. Veurink, M.; Wilson, D.; Robinett, R.; Weaver, W. Improved Performance of Wave Energy Converters and Arrays for Wave-to-Onshore Power Grid Integration. J. Mar. Sci. Eng. 2026, 14, 184. [Google Scholar] [CrossRef]
  6. Cai, Y.; Huo, Y.; Shi, X.; Liu, Y. Numerical and experimental research on a resonance-based wave energy converter. Energy Convers. Manag. 2022, 269, 116152. [Google Scholar] [CrossRef]
  7. Wang, Y.; Dong, S. Theoretical Investigation on an Oscillating Wave Energy Converter in Different Degrees of Freedom in Front of a Seawall. J. Ocean Univ. China 2025, 24, 289–302. [Google Scholar] [CrossRef]
  8. Fossen, T.; Nijmeijer, H. Parametric Resonance in Dynamical Systems; Springer Science & Business Media: Berlin/Heidelberg, Germany, 2011. [Google Scholar]
  9. Villegas, C.; van der Schaaf, H. Implementation of a pitch stability control for a wave energy converter. In Proceedings of the 10th European Wave and Tidal Energy Conference, Southampton, UK, 2–5 September 2013. [Google Scholar]
  10. Ballen, G.; Wilson, D.G.; Robinett, R.D.; Zou, S.; Weaver, W.W. Nonlinear Resonator Control of Parametric Excited Pitch-Surge Modes for Increased Power in Wave Energy Converters. In Proceedings of the OCEANS 2024-Halifax; IEEE: New York, NY, USA, 2024; pp. 1–5. [Google Scholar]
  11. Falnes, J.; Kurniawan, A. Ocean Waves and Oscillating Systems: Linear Interactions Including Wave-Energy Extraction; Cambridge University Press: Cambridge, UK, 2020; Volume 8. [Google Scholar]
  12. Finnegan, W.; Meere, M.; Goggins, J. The wave excitation forces on a truncated vertical cylinder in water of infinite depth. J. Fluids Struct. 2013, 40, 201–213. [Google Scholar] [CrossRef]
  13. McCormick, M.E. Ocean Wave Energy Conversion; John Wiley & Sons, Inc.: Hoboken, NJ, USA, 1981. [Google Scholar]
  14. Goda, Y. Random Seas and Design of Maritime Structures; World Scientific: Singapore, 2010. [Google Scholar]
  15. Prendergast, J.; Li, M.; Sheng, W. A study on the effects of wave spectra on wave energy conversions. IEEE J. Ocean. Eng. 2018, 45, 271–283. [Google Scholar] [CrossRef]
Figure 1. A 3-DOF point absorber WEC moving in surge ( d 1 ), heave ( d 3 ), and pitch ( θ 5 ) modes.
Figure 1. A 3-DOF point absorber WEC moving in surge ( d 1 ), heave ( d 3 ), and pitch ( θ 5 ) modes.
Applsci 16 03834 g001
Figure 2. The side view for a vertical cylindrical WEC buoy with labels for the geometric parameters.
Figure 2. The side view for a vertical cylindrical WEC buoy with labels for the geometric parameters.
Applsci 16 03834 g002
Figure 3. Comparison of coupled added mass parameters m 15 and I 51 as a function of the submerged height h w e t and buoy radius. These values are derived from numerical WAMIT simulations to account for non-slender cylindrical geometries. (a) Added mass in surge based on pitch. (b) Added mass in pitch based on surge.
Figure 3. Comparison of coupled added mass parameters m 15 and I 51 as a function of the submerged height h w e t and buoy radius. These values are derived from numerical WAMIT simulations to account for non-slender cylindrical geometries. (a) Added mass in surge based on pitch. (b) Added mass in pitch based on surge.
Applsci 16 03834 g003
Figure 4. Comparison of wave profiles used in the model. (a) Regular wave ( H = 2 m, f = 0.2 Hz). (b) Irregular Bretschneider wave ( H s = 2 m, f m = 0.2 Hz).
Figure 4. Comparison of wave profiles used in the model. (a) Regular wave ( H = 2 m, f = 0.2 Hz). (b) Irregular Bretschneider wave ( H s = 2 m, f m = 0.2 Hz).
Applsci 16 03834 g004
Figure 5. The total buoy height H necessary to keep the WEC buoyant while resonating in heave for a range of density ratios C and radii R. (a) Resonance at 0.1 Hz. (b) Resonance at 0.2 Hz.
Figure 5. The total buoy height H necessary to keep the WEC buoyant while resonating in heave for a range of density ratios C and radii R. (a) Resonance at 0.1 Hz. (b) Resonance at 0.2 Hz.
Applsci 16 03834 g005
Figure 6. Comparison of required mooring coefficients k m o o r for surge resonance at different frequencies across buoy heights H and radii R. (a) k m o o r for resonance at 0.1 Hz. Density ratio C = 0.5 . (b) k m o o r for resonance at 0.2 Hz. Density ratio C = 0.5 .
Figure 6. Comparison of required mooring coefficients k m o o r for surge resonance at different frequencies across buoy heights H and radii R. (a) k m o o r for resonance at 0.1 Hz. Density ratio C = 0.5 . (b) k m o o r for resonance at 0.2 Hz. Density ratio C = 0.5 .
Applsci 16 03834 g006
Figure 7. Required moment of inertia I 5 to achieve pitch resonance across a range of buoy heights H and radii R. (a) Resonance at 0.1 Hz. Density ratio C = 0.5 . (b) Resonance at 0.2 Hz. Density ratio C = 0.5 .
Figure 7. Required moment of inertia I 5 to achieve pitch resonance across a range of buoy heights H and radii R. (a) Resonance at 0.1 Hz. Density ratio C = 0.5 . (b) Resonance at 0.2 Hz. Density ratio C = 0.5 .
Applsci 16 03834 g007
Figure 8. Comparison of total energy output in 3-DOF for resonant and non-resonant WEC systems. (a) Naturally resonates (0.2 Hz). The system produces positive power at all times. (b) Does not naturally resonate (0.2 Hz). The system alternates between positive and negative power.
Figure 8. Comparison of total energy output in 3-DOF for resonant and non-resonant WEC systems. (a) Naturally resonates (0.2 Hz). The system produces positive power at all times. (b) Does not naturally resonate (0.2 Hz). The system alternates between positive and negative power.
Applsci 16 03834 g008
Figure 9. Total energy output in 3-DOF for WEC systems. Proportional control must account for non-modal frequencies of the spectrum. (a) Naturally resonates at the modal frequency of a Bretschneider wave. (b) Accounting for a wider range of driving frequencies.
Figure 9. Total energy output in 3-DOF for WEC systems. Proportional control must account for non-modal frequencies of the spectrum. (a) Naturally resonates at the modal frequency of a Bretschneider wave. (b) Accounting for a wider range of driving frequencies.
Applsci 16 03834 g009
Figure 10. A proposed design for a buoy with a cylindrical base and a point mass raised to a height H 2 above the bottom of the buoy. This design provides a higher moment of inertia than a hollow-cylinder setup without altering the buoy’s hydrodynamics.
Figure 10. A proposed design for a buoy with a cylindrical base and a point mass raised to a height H 2 above the bottom of the buoy. This design provides a higher moment of inertia than a hollow-cylinder setup without altering the buoy’s hydrodynamics.
Applsci 16 03834 g010
Table 1. Model parameters used throughout this paper.
Table 1. Model parameters used throughout this paper.
ParameterDescriptionUnits
mMass of the buoy kg
m 11 Added mass in surge kg
m 15 Added mass in surge from pitch kg · m
m 33 Added mass in heave kg
I 5 Moment of inertia in pitch for the buoy kg · m 2
I 51 Added moment in pitch from surge kg · m
I 55 Added moment in pitch kg · m 2
RRadius of the buoy m
HTotal height of the buoy m
hLocation of the buoy center of mass m
d 30 Distance between the buoy CM and the MWL m
ρ Density of surrounding water kg / m 3
gAcceleration due to gravity m / s 2
b 1 , b 3 , b 5 Damping coefficients N · s / m , N · s / m , N · m · s / rad
k m o o r Horizontal mooring stiffness N / m
u 1 , u 3 , u 5 Control forces/moments N , N , N · m
F e 1 , F e 3 , F e 5 Wave excitation forces/moments N , N , N · m
F r a d 1 , F r a d 3 , F r a d 5 Radiation damping forces/moments N , N , N · m
Ω i Wave frequency rad / s
T i Wave period s
η Current water position m
γ i Wave amplitude m
λ i Wave length m
k i Wave number rad / m
ω n Natural frequency of buoy rad / s
ω n , d e s Desired natural frequency for surge and pitch rad / s
k p 11 , k p 33 , k p 55 Proportional control coefficients N / m , N / m , N · m / rad
k d 1 , k d 3 , k d 5 Derivative control coefficients N · s / m , N · s / m , N · m · s / rad
Table 2. Example external dimensions, mass, moment of inertia, and mooring coefficient to make a right cylindrical WEC naturally resonate in all 3-DOF with minimal input from the proportional controller while remaining buoyant.
Table 2. Example external dimensions, mass, moment of inertia, and mooring coefficient to make a right cylindrical WEC naturally resonate in all 3-DOF with minimal input from the proportional controller while remaining buoyant.
ParameterValueUnits
m314,160kg
H8.0000m
R4.9273m
I 5 25,795,000kg  m 2
k m o o r 992.20 kN m
C0.51487-
Disclaimer/Publisher’s Note: The statements, opinions and data contained in all publications are solely those of the individual author(s) and contributor(s) and not of MDPI and/or the editor(s). MDPI and/or the editor(s) disclaim responsibility for any injury to people or property resulting from any ideas, methods, instructions or products referred to in the content.

Share and Cite

MDPI and ACS Style

Ballen, G.; Wilson, D.G.; Robinett, R.D., III; Zou, S.; Weaver, W.W. Three Degree of Freedom Wave Energy Converter Design for Resonant Motion. Appl. Sci. 2026, 16, 3834. https://doi.org/10.3390/app16083834

AMA Style

Ballen G, Wilson DG, Robinett RD III, Zou S, Weaver WW. Three Degree of Freedom Wave Energy Converter Design for Resonant Motion. Applied Sciences. 2026; 16(8):3834. https://doi.org/10.3390/app16083834

Chicago/Turabian Style

Ballen, Greg, David G. Wilson, Rush D. Robinett, III, Shangyan Zou, and Wayne W. Weaver. 2026. "Three Degree of Freedom Wave Energy Converter Design for Resonant Motion" Applied Sciences 16, no. 8: 3834. https://doi.org/10.3390/app16083834

APA Style

Ballen, G., Wilson, D. G., Robinett, R. D., III, Zou, S., & Weaver, W. W. (2026). Three Degree of Freedom Wave Energy Converter Design for Resonant Motion. Applied Sciences, 16(8), 3834. https://doi.org/10.3390/app16083834

Note that from the first issue of 2016, this journal uses article numbers instead of page numbers. See further details here.

Article Metrics

Article metric data becomes available approximately 24 hours after publication online.
Back to TopTop