Next Article in Journal
The Influence of Crohn’s Disease on Folic Acid Absorption by Small Intestinal Villi: Modeling and Simulation
Previous Article in Journal
Evaluation of FT Waxes Synthesized from Natural Gas for Cosmetic Applications: Safety, Sensory Properties, and Lipid Packing Characteristics
 
 
Font Type:
Arial Georgia Verdana
Font Size:
Aa Aa Aa
Line Spacing:
Column Width:
Background:
Article

Fractal Multiscale Modeling of the Structural, Thermal, Mechanical and Dielectric Properties of Polylactic Acid (PLA)

by
Tudor-Cristian Petrescu
1,
Elena Puiu Costescu
2,
Diana Carmen Mirilă
3,*,
Florin Nedeff
3,
Valentin Nedeff
4,
Maricel Agop
3,5,
Gheorghe Bădărău
6,
Claudia Tomozei
3 and
Decebal Vasincu
7
1
Department of Concrete, Materials, Technology and Management, Faculty of Civil Engineering and Building Services, “Gheorghe Asachi” Technical University of Iași, Blvd. Prof. D. Mangeron, No. 1, 700050 Iași, Romania
2
Faculty of Physics, “Alexandru Ioan Cuza” University of Iasi, Blvd. Carol I, No. 11, 700506 Iași, Romania
3
Department of Environmental Engineering, Mechanical Engineering and Agritourism, Faculty of Engineering, “Vasile Alecsandri” University of Bacau, 157, Calea Marasesti, 600115 Bacau, Romania
4
Department of Industrial Systems Engineering and Management, Faculty of Engineering, “Vasile Alecsandri” University of Bacau, 157, Calea Marasesti, 600115 Bacau, Romania
5
The Academy of Romanian Scientists, 54 Splaiul Independentei, 050094 Bucharest, Romania
6
Department of Materials Science, Faculty of Material Science and Engineering, “Gheorghe Asachi” Technical University of Iași, Blvd. Prof. D. Mangeron, No. 41, 700259 Iași, Romania
7
Department of Biophysics and Medical Physics, Faculty of Dental Medicine, “Grigore T. Popa” University of Medicine and Pharmacy, University Street, No. 16, 700115 Iași, Romania
*
Author to whom correspondence should be addressed.
Appl. Sci. 2026, 16(8), 3719; https://doi.org/10.3390/app16083719
Submission received: 22 February 2026 / Revised: 31 March 2026 / Accepted: 6 April 2026 / Published: 10 April 2026
(This article belongs to the Section Applied Industrial Technologies)

Abstract

The present study proposes a fractal-inspired multiscale framework to interpret the structural, thermal, mechanical and dielectric properties of polylactic acid (PLA). Experimental investigations were performed using tensile testing, TG-DTA thermal analysis, X-ray diffraction (XRD) and dielectric spectroscopy. The structural organization was analyzed using XRD data, where a scaling tendency compatible with power-law behavior was identified over a limited q -range. The thermal degradation exhibited a sharp transition, while the mechanical and dielectric responses reflected the heterogenous behavior typical of semicrystalline polymers. Rather than claiming a fully validated fractal model, the present work introduces a conceptual multiscale interpretation, supported by experimental observations, and proposes a fractal integrity index (FII) as an exploratory descriptor integrating structural, thermal and mechanical information. The results suggest that fractal-based descriptors may provide a useful complementary framework for interpreting complex polymer behavior, although further validation across multiple materials and experimental conditions is required.

1. Introduction

Polylactic acid (PLA) is one of the most extensively used biodegradable polymers in biomedical devices, packaging, additive manufacturing and environmentally friendly structural components, due to its favorable balance between mechanical stiffness, processability, and biocompatibility [1,2,3]. From a structural point of view, PLA is neither a purely amorphous nor a fully crystalline polymer, but rather a heterogeneous semicrystalline system, in which crystalline lamellae, amorphous regions, and interfacial transition zones coexist across a wide range of length scales [4,5,6].
This intrinsic heterogeneity plays a fundamental role in determining the macroscopic behavior of the material. Mechanical properties such as stiffness, yield stress, and brittleness are strongly influenced by the spatial distribution of crystalline domains and by the connectivity of the amorphous phase [7,8,9]. Similarly, the thermal stability and degradation kinetics of PLA depend not only on chemical composition, but also on the multiscale morphology, molecular packing, and defect structure [10,11,12]. Dielectric and relaxation phenomena, in turn, reflect the presence of multiple polarization mechanisms and broad distributions of relaxation times associated with molecular mobility in a disordered medium [13,14,15].
Conventional descriptions of polymer structure and behavior are usually based on Euclidean concepts, assuming characteristic length scales, homogeneous phases, and well-defined interfaces. However, numerous experimental observations indicate that many polymeric systems, including PLA, exhibit scale-invariant features, hierarchical aggregation, and non-uniform spatial distributions of density, crystallinity, and mobility [16,17,18]. In such cases, a fractal or multifractal description provides a more adequate theoretical framework, allowing the structural complexity of the material to be quantified through non-integer dimensions and power-law scaling laws [19,20,21].
Fractal approaches have been successfully applied to a wide variety of disordered systems, including porous solids, polymer gels, composite materials, and biological tissues, where they have proven capable of linking microstructural organization to macroscopic physical properties [22,23,24,25]. In polymer physics, fractal concepts have been used to describe chain conformations, aggregation processes, percolation phenomena, and scattering behavior in both amorphous and semicrystalline systems [26,27,28]. In particular, X-ray and neutron scattering experiments often reveal power-law regimes of the form:
I ( q ) q D f
where I(q) is the scattered intensity, q is the scattering vector, and D f is the fractal dimension associated with the mass or surface distribution of the scattering objects [19,27].
Beyond structure, fractal concepts naturally extend to kinetic processes. In heterogeneous media, thermal degradation, diffusion and relaxation phenomena frequently deviate from classical first-order or Debye-type laws, exhibiting instead stretched exponentials, fractional kinetics, or threshold-type behavior [29,30,31]. Such features are commonly interpreted as signatures of distributed activation energies and multiscale transport paths, which are intrinsic to fractal or disordered networks [32,33,34].
From a mechanical perspective, the fracture and yielding of heterogeneous polymers are also known to involve percolation-like processes, where microcracks, voids, or weak interfaces progressively connect to form a macroscopic failure path [35,36,37]. If the underlying defect network is fractal, the corresponding strength and stiffness scaling laws naturally deviate from classical continuum predictions and acquire anomalous size and variability effects [38,39].
Despite these conceptual advances, most experimental studies on PLA still report mechanical, thermal, and structural properties separately, without attempting a unified multiscale interpretation. As a consequence, the deep connections between morphology, thermal stability, dielectric response, and mechanical performance often remain phenomenological.
Within this framework, PLA is treated as a multiscale fractal medium, in which structure, thermal response, and mechanical behavior are governed by scale-invariant organization and threshold phenomena. A new fractal integrity index is introduced to couple these domains into a single physically meaningful descriptor.
This approach provides not only a deeper physical interpretation of the experimental data, but also a general methodology applicable to a wide class of heterogeneous polymeric and composite materials.
Polymeric materials frequently exhibit hierarchical structures characterized by multiscale heterogeneity, including crystalline domains, amorphous regions and defect networks. Such structural complexity cannot always be fully described using classical Euclidean descriptors. Fractal analysis provides an alternative framework capable of capturing scale-dependent structural organization. In this context, fractal descriptors have been increasingly used in materials science to describe complex morphologies, transport processes and degradation mechanisms in heterogenous systems.
The present work proposes a unified fractal integrity index, intended to integrate the structural complexity with the functional properties of polymeric materials. By combining information from structural, thermal and mechanical characterization techniques, this descriptor provides a synthetic framework for evaluating the global stability of polymer systems.
Although the proposed framework provides a useful interpretative perspective, the fractal integrity index should currently be regarded as a conceptual descriptor rather than a fully validated, universal parameter. Future investigations involving additional polymer families and composite materials will be necessary to establish reference ranges and assess the predictive capability of the proposed index.

2. Materials and Methods

2.1. Material

The investigated material is a commercially available polylactic acid (PLA) grade PLI 211 (NaturePlast, Mondeville, France), 100% biobased, supplied in granular (pellet) form, intended for thermoplastic processing, plastic films and 3D printing. The material was used as received, without additives, fillers or plasticizers. The choice of this PLA grade is motivated by its well-documented processing behavior and its ability to develop heterogenous semicrystalline morphologies, depending on thermal history [2,5,6].

2.2. Mechanical Testing: Tensile Experiments

Uniaxial tensile tests were performed using an Instron 3382 universal testing machine (Instron®, 825 University Ave., Norwood, MA, 02062-2643, USA), at room temperature, on standard polymer specimens. The applied load and displacement were recorded continuously in order to obtain the engineering stress–strain curves.
The Young’s modulus ( E ) was determined using the secant (segment) method, in the small-strain linear regime, according to:
E = σ 2 σ 1 ε 2 ε 1
where the strain limits were fixed at ε 1 = 0.0005 ,   ε 2 = 0.0025 , in agreement with recommended procedures for polymeric materials, where the initial nonlinearity and compliance effects must be avoided [7,8].
The yield stress was determined using the 0.5% offset method, which is particularly appropriate for polymers that do not exhibit a perfectly defined yield point or Lüders plateau [7,9]. In this method, a line parallel to the initial elastic slope is drawn from ε = 0.005 , and the intersection with the experimental stress–strain curve defines the conventional yield stress σ y .

2.3. Thermal Analysis: TG-DTA

Thermal stability and degradation behavior were investigated using simultaneous thermogravimetric and differential thermal analysis (TG-DTA) performed on a NETZSCH STA 449 F1 thermal analyzer (NETZSCH Analyzing & Testing, Selb, Germany).
The measurements were carried out under the following conditions:
  • Temperature range: 25–600 °C;
  • Heating rate: 10 °C/min;
  • Atmosphere: nitrogen ( N 2 );
  • Sample mass: a few milligrams (standard for TG-DTA analysis).
The TG curve provides the mass loss as a function of temperature, allowing the identification of: moisture or volatile release stages, thermal stability domain, main degradation interval and residual mass.
The DTA signal allows the detection of endothermic and exothermic events, such as glass transition-related relaxations, melting, crystallization, or decomposition processes [10,11,12].
Such combined TG-DTA analysis is particularly suitable for PLA, whose degradation involves complex mechanisms including chain scission, depolymerization, and lactide formation, strongly influenced by the supramolecular structure [11,12,13].

2.4. X-Ray Diffraction (XRD)

The structural characterization was performed by X-ray diffraction (XRD) using Cu Kα radiation, under the following experimental conditions:
  • Tube voltage: 40 kV;
  • Tube current: 30 mA;
  • Scanning range: 2 θ = 10 80 ° ;
  • Step size: 0.02°;
  • Scanning speed: 2°/min.
The diffractogram provides information about the presence and position of crystalline reflections, the degree of structural order, and the characteristic nanometric organization of the material [14,15,16].
Beyond the classical qualitative phase analysis, the XRD data were also used for scaling analysis in the scattering vector space:
q = 4 π λ s i n θ
where λ = 1.5406   is the wavelength of C u K α radiation.
In heterogeneous and fractal-like systems, the scattered intensity follows a power-law behavior (1) in a certain q-range, where D f is the fractal dimension associated with the mass or structural organization of the scattering entities [17,18,19,20].
This approach, widely used in small-angle and wide-angle scattering from disordered systems, allows a quantitative description of multiscale structural complexity beyond classical crystallinity indices [18,19,20,21].
Details of the fractal scaling analysis:
The identification of the power-law regime was performed in an intermediate q-range (approximately 0.8–2.5 nm−1), where the contribution of sharp crystalline reflections was excluded through manual masking. Background subtraction was performed using a polynomial baseline fit. The linear regression in log–log representation yielded a slope corresponding to an effective exponent D f 1.9 , with a coefficient of determination R 2 0.94 . It should be emphasized that this value represents an effective fractal dimension over a limited scale interval and does not imply strict fractality across all length scales. The result should therefore be interpreted as indicative of scale-dependent structural heterogeneity, rather than as definitive proof of a fully developed fractal structure.

2.5. Dielectric Spectroscopy

The dielectric properties were investigated by measuring the real part of the dielectric permittivity (ε’) as a function of:
  • Frequency (from 10 0 to 10 6 Hz);
  • Temperature (from approximately −60 °C to +80 °C), at selected fixed frequencies.
Dielectric spectroscopy is a powerful tool for probing dipolar polarization, interfacial (Maxwell–Wagner–Sillars) polarization, molecular mobility and segmental dynamics and distributions of relaxation times in polymers [22,23,24].
In heterogeneous systems, such as semicrystalline PLA, the dielectric response often deviates from ideal Debye behavior and exhibits broad, non-exponential relaxation spectra, which are commonly interpreted in terms of structural disorder and multiscale dynamics [23,24,25,26].

2.6. Fractal Modeling Framework

In order to achieve a unified multiscale interpretation, the material was treated as a fractal heterogeneous medium, characterized by:
  • A structural fractal dimension D f (from XRD scaling);
  • A kinetic fractal behavior for thermal degradation (from TG);
  • A fractal distribution of defects and interfaces affecting mechanical properties, and a fractal distribution of relaxation times governing the dielectric response.
The fractal dimension was estimated from the scaling behavior observed in the structural data. The analysis was performed by evaluating the relationship between the measured structural descriptors and the characteristic length scales obtained from the experimental measurements. A logarithmic representation was used to identify the scaling regime and estimate the corresponding fractal exponent.

2.6.1. Structural Fractal Model

In the scattering representation, the material was assumed to obey:
I ( q ) q D f
in a suitable intermediate q-range, where neither atomic-scale nor purely macroscopic effects dominate [17,20].
A value of 1 < D f < 3 indicates a non-Euclidean mass distribution, typical of aggregated, porous, or hierarchically organized polymer systems.

2.6.2. Fractal Kinetics of Thermal Degradation

Instead of classical first-order kinetics:
d α d t = k ( T ) ( 1 α ) ,
a generalized fractal kinetic law is considered:
d α d t = k ( T ) ( 1 α ) n f ,
or, in an even more general form, using a fractional derivative:
D μ α ( t ) = k ( T ) ( 1 α )
where n f and μ are effective fractal kinetic parameters reflecting the heterogeneity of reaction pathways and energy barriers [27,28,29,30].

2.6.3. Fractal Scaling of Mechanical Strength

If the network of defects, voids, and weak interfaces is fractal, the yield stress and fracture stress scale with the characteristic observation length L as:
σ ( L ) L 3 D m / 2
where D m is the fractal dimension of the mechanically active defect network [31,32,33,34].
In practice, the experimental scatter of mechanical properties provides an indirect signature of this underlying heterogeneity.

2.6.4. Fractal Dielectric Response

In disordered systems, the dielectric permittivity and susceptibility often follow power-law or stretched exponential behaviors:
ε ( ω ) ω 3 D r e l ,
reflecting a fractal distribution of relaxation times and transport pathways [22,23,24,25,26,35].

2.6.5. Unified Fractal Integrity Index

To couple the different physical domains, a unified fractal integrity index is introduced:
I F = E E 0 T onset   T 0 D f 3 1 Ω m
where:
  • E is Young’s modulus;
  • T onset   is the onset temperature of major degradation;
  • D f is the fractal dimension;
  • Ω m = S D σ y / σ y ,   mean   is a measure of mechanical heterogeneity;
  • E 0 and T 0 are normalization constants.
This index provides a synthetic multiscale descriptor of material integrity. Therefore, the fractal integrity index (FII) should be interpreted as a heuristic composite parameter, intended to explore possible correlations between structural, thermal and mechanical descriptors. The normalization constants were selected to ensure dimensional consistency. However, they are not uniquely defined at this stage. As such, the FII is not yet a standardized material parameter and should be regarded as an exploratory metric requiring further validation and calibration across multiple materials and experimental conditions.

3. Results

3.1. Mechanical Behavior

In Figure 1, the tensile stress–strain curves are presented.
The initial quasi-linear elastic regime is followed by progressive nonlinearity and yielding. The Young’s modulus is determined by the secant method in the small-strain interval, while the yield stress is evaluated using the 0.5% offset method, illustrating the moderate scatter associated with the heterogeneous microstructure.
The corresponding mechanical parameters, namely Young’s modulus and yield stress determined by the 0.5% offset method, are summarized in Table 1.
Such variability is characteristic of semicrystalline polymers and reflects the sensitivity of the macroscopic mechanical response to the spatial distribution of crystalline domains, amorphous regions, and interfacial defects [7,8,9].
From a multiscale perspective, the dispersion of yield stress values provides indirect evidence of an underlying heterogeneous network of mechanically active defects and interfaces, whose spatial organization is not uniform but distributed across multiple scales. This observation is consistent with structural heterogeneity. Given the limited number of specimens (n = 3), this observation should be considered preliminary and does not allow a definitive structural interpretation [31,32,33,34,38,39].

3.2. Thermal Stability and Degradation (TG-DTA)

The TG-DTA curves of PLA are presented in Figure 2.
The TG-DTA analysis reveals a complex thermal behavior characterized by two clearly distinct regimes.
In the low- and intermediate-temperature range, from room temperature up to approximately 320 °C, the mass loss is minimal (about 0.9 % ), indicating a high thermal stability of the material in this interval. This small mass variation can be attributed to the removal of residual moisture, low-molecular-weight species, and possibly to minor structural rearrangements such as cold crystallization or the relaxation of the amorphous phase [10,11,12,13].
A pronounced thermal event is observed around 197 °C, manifested as an endothermic peak in the DTA signal. This temperature range is consistent with melting or major morphological rearrangements in PLA, depending on its thermal history and crystallinity degree [4,10,11].
The most striking feature appears in the interval between approximately 320 °C and 400 °C, where the material undergoes a catastrophic mass loss of about 99 % , indicating the onset and completion of the main degradation process. Such an abrupt transition is compatible with the threshold-type degradation behavior commonly observed in heterogenous polymer systems. While such behavior may be interpreted using fractal or percolation-based models, the present study does not perform a full kinetic validation of these models.

3.3. X-Ray Diffraction and Fractal Structural Analysis

The X-ray diffraction pattern of PLA is presented in Figure 3.
The diffractogram shows the coexistence of sharp crystalline reflections and a broad amorphous halo, confirming the semicrystalline nature of the material. The inset (or corresponding log–log representation) illustrates the power-law behavior of the scattered intensity I ( q ) q D f , from which a specific fractal dimension is extracted, indicating a multiscale heterogeneous internal structure [4,14,15,16].
Beyond qualitative phase identification, the diffractogram was analyzed in the scattering vector representation:
q = 4 π λ s i n θ
and the intensity was examined in log–log coordinates. In a significant intermediate q-range, excluding the sharp Bragg peaks, the scattered intensity follows a power-law behavior (1).
The linear fit in the l o g I ( q ) vs. l o g q representation yields an effective fractal dimension:
D f 1.9 ± 0.1 .
This value suggests a deviation from homogenous Euclidean packing and indicates scale-dependent heterogeneity in the internal structure. However, this result should be interpreted cautiously, as it reflects an effective scaling behavior over a restricted q-range [17,18,19,20,21].
A fractal dimension significantly lower than 3 implies that the material does not fill space uniformly at the relevant scales, but rather forms a ramified, clustered internal structure, in which dense regions and less dense amorphous zones coexist and interpenetrate.
A synthesis of the main thermal and structural parameters is presented in Table 2:

3.4. Dielectric Response as a Function of Frequency and Temperature

The frequency dependence of the real part of the dielectric permittivity ε′ of PLA is shown in Figure 4.
The real part of the dielectric permittivity, ε’, measured as a function of frequency, exhibits a remarkably weak dispersion over the investigated range from approximately 10 0 to 10 6   H z , remaining close to a value of about 2.4. This behavior indicates a relatively low contribution of interfacial and dipolar polarization mechanisms at room temperature and suggests a stable dielectric response in the frozen or weakly mobile molecular regime [22,23,24].
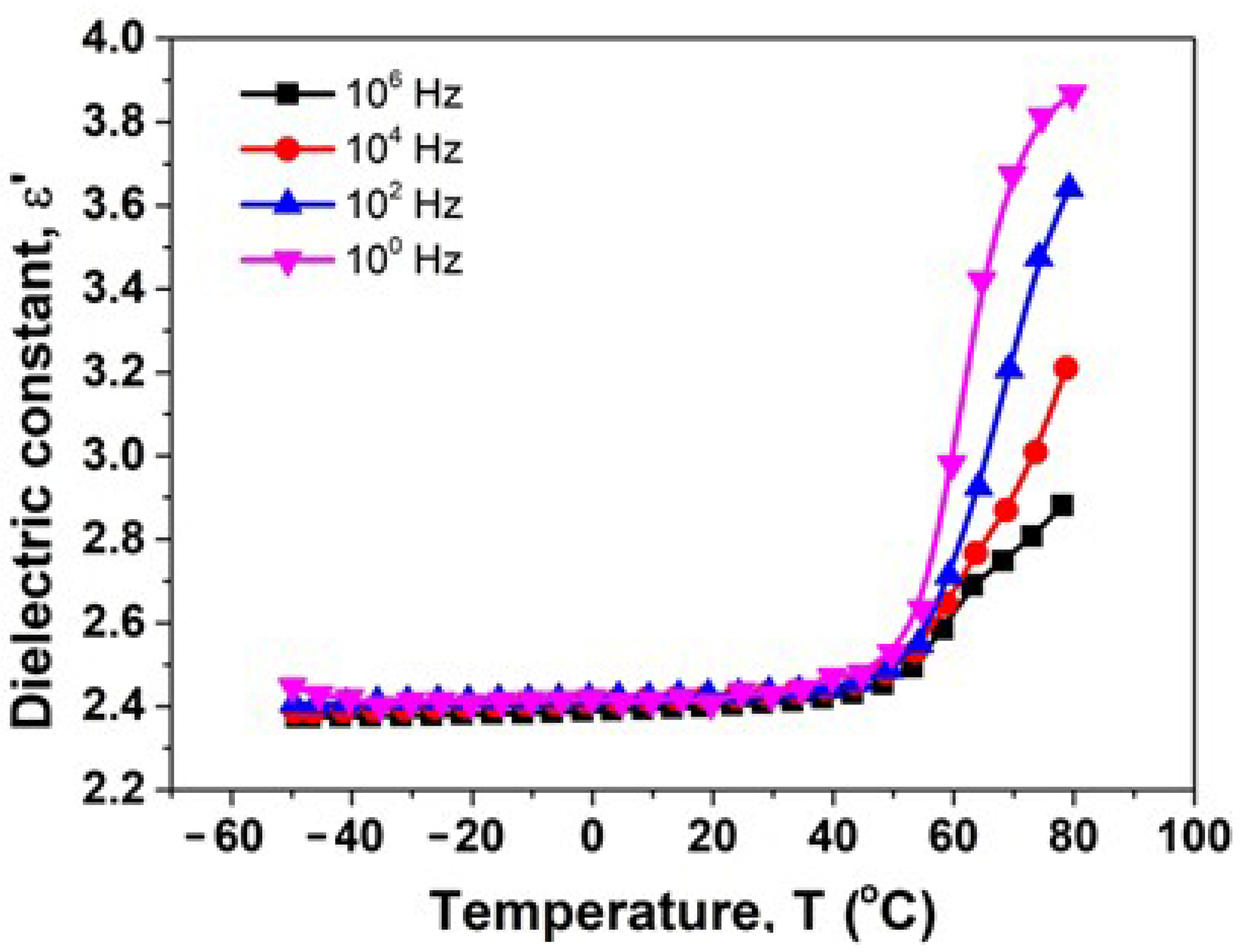
The temperature evolution of ε′ measured at selected frequencies is presented in Figure 5.
Moreover, the temperature dependence of ε′, measured at selected fixed frequencies, reveals a strong and highly frequency-dependent increase above approximately 50–60 °C. The effect is much more pronounced at low frequencies 10 0 10 2   H z , where ε′ rises steeply with temperature, while at higher frequencies 10 4 10 6   H z ) the increase is more moderate.
Such behavior is consistent with the distributed relaxation processes typical of heterogenous systems. No explicit fractal or fractional relaxation model was fitted in the present study [22,23,24,25,26].

3.5. Correlated Multiscale Interpretation

The combined analysis of mechanical, thermal, structural, and dielectric results reveals a consistent physical picture:
  • Structural heterogeneity, quantified by the above-mentioned fractal dimension, indicates a clustered, non-uniform internal organization.
  • Thermal degradation occurs via a threshold-type process, compatible with a fractal or percolative kinetic mechanism, where the connectivity of degradation pathways suddenly spans the entire system.
  • Mechanical properties exhibit moderate scatter, reflecting a heterogeneous network of load-bearing and weak regions, consistent with a fractal distribution of defects and interfaces.
  • Dielectric relaxation shows strong temperature- and frequency-dependent effects typical of multiscale disordered systems with distributed relaxation times.
Together, these observations strongly support the interpretation of PLA as a multiscale fractal medium, whose functional properties are governed not by a single characteristic length scale, but by a hierarchy of structural and dynamical scales [16,17,18,19,20,21,22,23,24,25,26,31,32,33,34,35,36,37].

3.6. Evaluation of the Unified Fractal Integrity Index

Using the experimentally determined values, the proposed fractal integrity index, (10), takes a value within a normalized range below unity ( 0.7 0.85 in the present study), depending on the chosen scaling constants. The index is therefore best interpreted in a relative comparative sense, rather than as an absolute quantity.

4. Discussion

The experimental observations reported in this study support the interpretation of PLA as a heterogeneous multiscale system. XRD measurements reveal structural organization across multiple length scales, while thermal and dielectric measurements indicate distributed relaxation processes. Such behavior is consistent with systems exhibiting fractal-like structural organization, where macroscopic properties emerge from interactions between structural elements at different scales.
Structural complexity plays an important role in determining the macroscopic properties of polymeric materials. In heterogeneous semicrystalline systems such as PLA, the interaction between crystalline domains, amorphous regions and defect networks generates multiscale structural organization. Fractal descriptors therefore provide a useful tool for linking structural heterogeneity with mechanical stiffness, thermal resistance and dielectric relaxation behavior.

4.1. Multiscale Structural Organization of PLA

The structural analysis based on XRD scattering reveals an effective fractal dimension D f 1.9 , which provides strong evidence that the investigated PLA does not exhibit a homogeneous space-filling morphology at the relevant length scales, but rather a clustered, ramified, multiscale organization. Such values of the fractal dimension are typical for aggregated polymer systems, porous networks, and semicrystalline materials in which dense domains coexist with less dense amorphous regions [17,18,19,20,21,37,38,39]. From a physical point of view, a fractal dimension significantly smaller than 3 indicates that the mass distribution follows a hierarchical packing rule, in which structural units (lamellae, spherulitic fragments, and amorphous clusters) form aggregates of aggregates across multiple scales. This type of organization is well documented in polymer physics, particularly for semicrystalline polymers processed under non-equilibrium conditions [4,14,15,16,26,27,28].
In PLA, the coexistence of crystalline lamellae and amorphous interphases naturally leads to such a multiscale structure. The present results suggest that these structural elements are not uniformly dispersed, but rather organized in a self-similar manner, giving rise to the observed power-law scattering behavior.

4.2. Fractal Interpretation of Thermal Degradation

The TG–DTA results show a strikingly abrupt mass loss between 320 °C and 400 °C, following a long interval of thermal stability. This behavior cannot be satisfactorily described by a simple single-step Arrhenius-type kinetic model. Instead, it strongly suggests a threshold or percolation-like degradation mechanism, in which the progressive activation of scission events eventually leads to a connected network of degradation pathways, triggering a rapid, system-wide breakdown [27,28,29,30,35,36,37].
In heterogeneous and fractal systems, degradation does not proceed uniformly throughout the volume. Rather, it initiates in the most vulnerable regions (defects, interfaces, chain ends, and amorphous pockets) and progressively spreads through a network of preferential pathways. Once the density of active degradation sites exceeds a critical connectivity threshold, a system-spanning degradation cluster forms, leading to a sudden, catastrophic mass loss [35,36,37].
This picture is fully consistent with the observed two-regime behavior: a long quasi-inert regime followed by a narrow temperature interval in which almost the entire mass is lost. Such kinetics are a hallmark of fractal reaction networks and distributed activation energies [27,28,29,30,32,33,34].
Moreover, the presence of an endothermic event around 197 °C, associated with melting or major morphological rearrangements, may further modify the connectivity of the internal structure, effectively preparing the system for the subsequent percolative degradation stage [10,11,12,13].
Classic degradation models often assume a single-step Arrhenius process. However, polymer degradation in heterogeneous semicrystalline systems typically involves multiple overlapping mechanisms, including random chain scission, depolymerization and diffusion-limited reactions. As a consequence, the activation energy cannot be described by a single constant value. The observed kinetic behavior therefore supports the use of fractal or distributed-order kinetic models rather than a simple Arrhenius description.

4.3. Mechanical Behavior and Fractal Defect Networks

The mechanical tests reveal a relatively stable Young’s modulus but a noticeably scattered yield stress. This behavior is typical for heterogeneous polymers and indicates that, while the global elastic stiffness is mainly controlled by the average molecular packing and crystallinity, the onset of yielding is governed by the weakest links in the microstructure [7,8,9,31,32,33,34].
If these weak regions—such as amorphous pockets, poorly bonded interfaces, micro-voids, or chain-entanglement defects—form a fractal network, then the local stress concentration and the macroscopic yield point naturally become sensitive to the specific spatial realization of this network. This explains the observed specimen-to-specimen variability, even under nominally identical testing conditions [31,34,38,39].
From this perspective, yielding in PLA can be interpreted as a stress-induced percolation process, in which plastic flow initiates when a connected path of local rearrangements and micro-failures spans the sample. This conceptual picture closely parallels the percolation-like thermal degradation discussed above, highlighting a deep structural unity between mechanical and thermal failure mechanisms in heterogeneous polymers [35,36,37,38].

4.4. Dielectric Response and Fractal Relaxation Dynamics

The dielectric measurements provide complementary insight into the dynamical aspect of the multiscale structure. The weak frequency dependence of ε′ at low temperatures indicates that most dipolar units are effectively frozen in a rigid matrix. However, the strong, frequency-dependent increase in ε′ with temperature, especially at low frequencies, clearly points to the activation of slow, cooperative relaxation processes [22,23,24,25,26].
In fractal and disordered systems, such relaxation processes are not characterized by a single time constant but by a broad, scale-free distribution of relaxation times. This leads to non-Debye dielectric behavior, often described by power laws, stretched exponentials, or fractional-order response functions [23,24,26,30,35].
In PLA, these distributed relaxation times can be associated with the progressive mobilization of different structural units: amorphous chain segments, interfacial regions near crystalline lamellae, and larger cooperative domains.
In disordered and fractal media, this type of response is naturally interpreted in terms of hierarchical relaxation pathways, where different structural units become mobile at different temperatures and timescales, leading to power-law or stretched-exponential dielectric spectra [23,24,26,35].

4.5. Unified Multiscale Picture

A key result of the present study is that all investigated physical domains—structural, thermal, mechanical, and dielectric—converge toward the same conceptual description: PLA behaves as a multiscale fractal medium. This is reflected:
  • Structurally, by the non-integer fractal dimension Df ≈1.9.
  • Thermally, by the threshold-type, percolative degradation behavior.
  • Mechanically, by the variability of yield stress and the implied fractal defect network.
  • Dynamically (dielectrically), by the broad distribution of relaxation times.
This coherence strongly suggests that these phenomena are not independent but are different manifestations of the same underlying multiscale organization.

4.6. Context of the Fractal Integrity Index

The unified fractal integrity index proposed in this study should be interpreted primarily as a conceptual descriptor linking structural complexity with macroscopic functional properties. The present work focuses on demonstrating the feasibility of this index using a representative PLA material.
The literature data for other polymers suggest that different materials could exhibit distinct ranges of this index depending on crystallinity, defect distribution and thermal stability. For instance, semicrystalline polymers such as polypropylene (PP) or polyethylene (PE) typically display lower structural disorder, while amorphous polymers such as polystyrene (PS) exhibit different relaxation behavior. Future work will aim to calculate the fractal integrity index for multiple PLA grades (e.g., injection molding grades and fiber spinning grades) and other polymer systems, in order to establish comparative ranges and classification criteria.
To provide a synthetic representation of the multiscale relationships identified in this study, a conceptual model of the unified fractal integrity index is proposed (Figure 6). The fractal integrity index (FII) represents a conceptual parameter linking structural complexity with macroscopic functional properties into a single interpretative framework. The index integrates descriptors obtained from structural analysis, mechanical testing, thermal degradation and dielectric relaxation, allowing a multiscale evaluation of polymer stability. The proposed conceptual framework highlights the multiscale nature of polymer stability and emphasizes the role of structural complexity in determining macroscopic functional properties.
In order to place the proposed index into a broader materials context, Table 3 presents a preliminary comparison between PLA and several representative polymer systems using literature data.
Although the values presented for other polymers are approximate and derived from literature data, the comparison illustrates that different polymer classes occupy distinct regions in the structural–functional space defined by the fractal integrity index. Moreover, even though both PLA and PET are semicrystalline polymers, the higher FII observed for PET highlights that the index is not solely determined by crystallinity. Instead, it reflects the combined effect of mechanical stiffness, thermal resistance and structural organization. PET exhibits more efficient chain packing and stronger intermolecular interactions, which results in a higher fractal integrity index compared to PLA. This suggests that the proposed index may serve as a useful descriptor for the comparative assessment of polymer stability and structural complexity.

4.7. Physical Meaning and Usefulness of the Fractal Integrity Index

The proposed fractal integrity index I F condenses this complex multiphysical information into a single, physically interpretable parameter. Unlike conventional figures of merit, which usually reflect only one aspect (e.g., stiffness or thermal stability), I F simultaneously accounts for mechanical rigidity, resistance to thermal breakdown, degree of structural order/disorder and mechanical heterogeneity.
Such an index is particularly useful for comparing different processing conditions of PLA, assessing aging or recycling effects, optimizing formulations or thermal treatments, and ranking different biodegradable polymers or composites from a multiscale performance perspective.

4.8. Range and Physical Interpretation of the Fractal Integrity Index

A key aspect that requires clarification is the physical range and interpretation of the fractal integrity index (FII). Although the present study focuses on PLA, the comparative analysis of literature data suggests that FII is a bounded descriptor, reflecting the interplay between structural organization, thermal stability and mechanical performance.
Based on the normalization used in (10), the fractal integrity index is expected to lie within a finite interval, typically 0 < F I I < 1 . As such, values approaching the lower bound ( F I I < 0.70 ) are characteristic of materials exhibiting low mechanical stiffness, reduced thermal stability and high structural disorder or weak connectivity of load-bearing domains. Intermediate values ( F I I 0.70 0.80 ), such as those obtained for PLA, correspond to moderate stiffness, good thermal stability and pronounced multiscale heterogeneity, typical of semicrystalline polymers. Higher values ( F I I > 0.80 ), such as those reported for PET, indicate a higher Young’s modulus, improved thermal resistance and a more efficient structural organization, even in the presence of semicrystallinity.
Importantly, the FII does not depend solely on the amorphous or semicrystalline character of the polymer. Instead, it reflects the efficiency of structural organization across scales. Thus, PET exhibits a higher FII than PLA despite both being semicrystalline, due to its higher stiffness, better chain packing and superior thermal stability. In this sense, the fractal integrity index can be interpreted as a measure of structural–functional efficiency rather than simply structural type. Future work will aim to establish more precise classification thresholds by analyzing a broader range of polymer systems.

4.9. Limitations of the Present Study

Several limitations of the present study must be acknowledged. Firstly, the fractal dimension was estimated from XRD data over a limited q-range, without complementary SAXS or imaging-based fractal analysis. Secondly, the thermal analysis was performed at a single heating rate and no isoconversional or model-fitting approach was used to validate fractal kinetics. Thirdly, the mechanical dataset was limited (n = 3), preventing robust statistical interpretation. Finally, the dielectric analysis did not include quantitative relaxation modeling (e.g., Havriliak–Negami or fractional models). Therefore, the present work should be regarded as a conceptual and exploratory multiscale framework, rather than a fully validated fractal model.

5. Conclusions

This study demonstrates that the structural, thermal, mechanical and dielectric properties of PLA can be consistently interpreted within a unified fractal framework. XRD analysis revealed a scale-invariant structural organization, while thermal and dielectric measurements indicated distributed kinetic and relaxation processes characteristic of heterogeneous materials.
The introduction of a unified fractal integrity index provides a synthetic descriptor linking structural order, thermal stability and mechanical stiffness. Although demonstrated here for a representative PLA grade, the proposed framework may be extended to other polymeric systems and composite materials.
The results highlight the importance of multiscale structural organization in determining the functional performance of biodegradable polymers and suggest that fractal modeling can offer a valuable tool for the characterization and design of advanced polymeric materials.
The fractal integrity index (FII) should therefore be interpreted as a synthetic descriptor of multiscale structural efficiency, rather than a parameter directly linked to polymer classification (amorphous vs. semicrystalline).
Future work will aim to determine the fractal integrity index experimentally for multiple PLA grades and polymer families in order to establish reference ranges and material classification criteria.

Author Contributions

Conceptualization, T.-C.P., M.A. and F.N.; methodology, E.P.C., G.B. and C.T.; software, D.C.M. and E.P.C.; validation, M.A., V.N. and D.V.; formal analysis, G.B. and V.N.; investigation, E.P.C. and D.C.M.; resources, F.N. and D.V.; data curation, G.B.; writing—original draft preparation, F.N. and C.T.; writing—review and editing, T.-C.P. and D.V.; visualization, T.-C.P.; supervision, C.T.; project administration, V.N.; funding acquisition, D.C.M. Furthermore, all authors made an equally weighted contribution to the manuscript. All authors have read and agreed to the published version of the manuscript.

Funding

This research received no external funding.

Institutional Review Board Statement

Not applicable.

Informed Consent Statement

Not applicable.

Data Availability Statement

Research data in this article can be made available upon request.

Conflicts of Interest

The authors declare no conflicts of interest.

References

  1. Auras, R.A.; Lim, L.T.; Selke, S.E.M.; Tsuji, H. Poly(Lactic Acid): Synthesis, Structures, Properties, Processing, and Applications; Wiley: Hoboken, NJ, USA, 2010. [Google Scholar]
  2. Farah, S.; Anderson, D.G.; Langer, R. Physical and mechanical properties of PLA, and their functions in widespread applications—A comprehensive review. Adv. Drug Deliv. Rev. 2016, 107, 367–392. [Google Scholar] [CrossRef]
  3. Garlotta, D. A literature Review of Poly(Lactic Acid). J. Polym. Environ. 2001, 9, 63–84. [Google Scholar] [CrossRef]
  4. Sarasua, J.R.; Arraiza, A.L.; Balerdi, P.; Maiza, I. Crystallinity and mechanical properties of optically pure polylactides and their blends. Polym. Eng. Sci. 2005, 45, 745–753. [Google Scholar] [CrossRef]
  5. Drumright, R.E.; Gruber, P.R.; Henton, D.E. Polylactic Acid Technology. Adv. Mater. 2000, 12, 1841–1846. [Google Scholar] [CrossRef]
  6. Fischer, E.W.; Sterzel, H.J.; Wegner, G. Investigation of structure of solution grown crystals of lactide copolymers. Kolloid-Z. Z. Polym. 1973, 251, 980–990. [Google Scholar] [CrossRef]
  7. Lim, L.-T.; Auras, R.; Rubino, M. Processing technologies for poly(lactic acid). Prog. Polym. Sci. 2008, 33, 820–852. [Google Scholar] [CrossRef]
  8. Anderson, K.S.; Schreck, K.M.; Hillmyer, M.A. Toughening Polylactide. Polym. Rev. 2008, 48, 85–108. [Google Scholar] [CrossRef]
  9. Rasal, R.M.; Janorkar, A.V.; Hirt, D.E. Poly(lactic acid) modifications. Prog. Polym. Sci. 2010, 35, 338–356. [Google Scholar] [CrossRef]
  10. Kopinke, F.D.; Remmler, M.; Mackenzie, K.; Möder, M.; Wachsen, O. Thermal decomposition of biodegradable polyesters—II.Poly(lactic acid). Polym. Degrad. Stab. 1996, 53, 329–342. [Google Scholar] [CrossRef]
  11. Carrasco, F.; Pagès, P.; Gámez-Pérez, J.; Santana, O.O.; Maspoch, M.L. Kinetics of thermal decomposition of processed poly(lactic acid). Polym. Degrad. Stab. 2010, 95, 2508–2514. [Google Scholar] [CrossRef]
  12. Badia, J.D.; Santonja-Blasco, L.; Martínez-Felipe, A.; Ribes-Greus, A. Hygrothermal ageing of reprocessed polylactide. Polym. Degrad. Stab. 2012, 97, 1881–1890. [Google Scholar] [CrossRef]
  13. Kremer, F.; Schönhals, A. Broadband Dielectric Spectroscopy; Springer: Berlin/Heidelberg, Germany, 2002. [Google Scholar]
  14. Ngai, K.L. Relaxation and Diffusion in Complex Systems; Springer: New York, NY, USA, 2011. [Google Scholar]
  15. Roland, C.M. Viscoelastic Behavior of Rubbery Materials; Oxford University Press: Oxford, UK, 2011. [Google Scholar]
  16. Mandelbrot, B.B. The Fractal Geometry of Nature; W. H. Freeman: New York, NY, USA, 1982. [Google Scholar]
  17. Feder, J. Fractals; Springer Science & Business Media: Berlin/Heidelberg, Germany, 2013. [Google Scholar]
  18. Stanley, H.E.; Meakin, P. Multifractal phenomena in physics and chemistry. Nature 1988, 335, 405–409. [Google Scholar] [CrossRef]
  19. Schmidt, P.W. Small-angle scattering studies of disordered, porous and fractal systems. J. Appl. Crystallogr. 1991, 24, 414–435. [Google Scholar] [CrossRef]
  20. Bale, H.D.; Schmidt, P.W. Small-angle scattering investigation of fractal structures. Phys. Rev. Lett. 1984, 53, 596–599. [Google Scholar] [CrossRef]
  21. Teixeira, J. Small-angle scattering by fractal systems. J. Appl. Crystallogr. 1988, 21, 781–785. [Google Scholar] [CrossRef]
  22. Carpinteri, A.; Mainardi, F. Fractals and Fractional Calculus in Continuum Mechanics; Springer: Vienna, Austria, 1997. [Google Scholar]
  23. West, B.J.; Bologna, M.; Grigolini, P. Physics of Fractal Operators; Springer: New York, NY, USA, 2003. [Google Scholar]
  24. Tarasov, V.E. Fractional Dynamics: Applications of Fractional Calculus to Dynamics of Particles, Fields and Media; Springer Science & Business Media: Berlin/Heidelberg, Germany, 2011. [Google Scholar]
  25. Agop, M.; Păun, V.P. On the New Perspectives of Fractal Theory: Fundaments and Applications; Editura Academiei Române: Bucharest, Romania, 2017. [Google Scholar]
  26. de Gennes, P.-G. Scaling Concepts in Polymer Physics; Cornell University Press: Ithaca, NY, USA, 1979. [Google Scholar]
  27. Hammouda, B. A Tutorial on Small-Angle Neutron Scattering from Polymers; NIST: Gaithersburg, MD, USA, 1995. [Google Scholar]
  28. Roe, R.J. Methods of X-Ray and Neutron Scattering in Polymer Science; Oxford University Press: Oxford, UK, 2000. [Google Scholar]
  29. Metzler, R.; Klafter, J. The random walk’s guide to anomalous diffusion: A fractional dynamics approach. Phys. Rep. 2000, 339, 1–77. [Google Scholar] [CrossRef]
  30. Mainardi, F. Fractional Calculus and Waves in Linear Viscoelasticity; Imperial College Press: London, UK, 2010. [Google Scholar]
  31. Scher, H.; Montroll, E. Anomalous transit-time dispersion in amorphous solids. Phys. Rev. B 1975, 12, 2455–2477. [Google Scholar] [CrossRef]
  32. Bouchaud, J.-P.; Georges, A. Anomalous diffusion in disordered media: Statistical mechanisms, model and physical applications. Phys. Rep. 1990, 195, 127–293. [Google Scholar] [CrossRef]
  33. Havlin, S.; Ben-Avraham, D. Diffusion in disordered media. Adv. Phys. 1987, 36, 695–798. [Google Scholar] [CrossRef]
  34. Klafter, J.; Sokolov, I.M. First Steps in Random Walks: From Tools to Applications; Oxford University Press: Oxford, UK, 2011. [Google Scholar]
  35. Stauffer, D.; Aharony, A. Introduction to Percolation Theory, 2nd ed.; Taylor & Francis: London, UK, 1992. [Google Scholar]
  36. Sahimi, M. Applications of Percolation Theory; CRC Press: London, UK, 1994. [Google Scholar]
  37. Carpinteri, A. Fractal nature of material microstructure and size effects on apparent mechanical properties. Mech. Mat. 1994, 18, 89–101. [Google Scholar] [CrossRef]
  38. Bažant, Z.P. Scaling theory for quasibrittle structural failure. Proc. Natl. Acad. Sci. USA 2004, 101, 13400–13407. [Google Scholar] [CrossRef] [PubMed]
  39. Mandelbrot, B.B.; Passoja, D.E.; Paullay, A.J. Fractal Character of Fracture Surfaces of Metals. Nature 1984, 308, 721–722. [Google Scholar] [CrossRef]
Figure 1. Representative engineering stress–strain curves of PLA obtained from uniaxial tensile tests.
Figure 1. Representative engineering stress–strain curves of PLA obtained from uniaxial tensile tests.
Applsci 16 03719 g001
Figure 2. TG–DTA curves of PLA recorded under nitrogen atmosphere at a heating rate of 10 °C/min.
Figure 2. TG–DTA curves of PLA recorded under nitrogen atmosphere at a heating rate of 10 °C/min.
Applsci 16 03719 g002
Figure 3. X-ray diffraction (XRD) pattern of PLA recorded using Cu Kα radiation in the 2θ range 10–80°.
Figure 3. X-ray diffraction (XRD) pattern of PLA recorded using Cu Kα radiation in the 2θ range 10–80°.
Applsci 16 03719 g003
Figure 4. Frequency dependence of the real part of the dielectric permittivity ε′ of PLA at room temperature over the frequency range 100–106 Hz.
Figure 4. Frequency dependence of the real part of the dielectric permittivity ε′ of PLA at room temperature over the frequency range 100–106 Hz.
Applsci 16 03719 g004
Figure 5. Temperature dependence of the real part of the dielectric permittivity ε′ of PLA measured at selected frequencies.
Figure 5. Temperature dependence of the real part of the dielectric permittivity ε′ of PLA measured at selected frequencies.
Applsci 16 03719 g005
Figure 6. Conceptual representation of the unified fractal integrity index linking structural complexity, mechanical stability, thermal resistance and dielectric response in polymeric systems.
Figure 6. Conceptual representation of the unified fractal integrity index linking structural complexity, mechanical stability, thermal resistance and dielectric response in polymeric systems.
Applsci 16 03719 g006
Table 1. Mechanical properties of PLA obtained from tensile tests: Young’s modulus (E) and yield stress (σy) determined by the 0.5% offset method.
Table 1. Mechanical properties of PLA obtained from tensile tests: Young’s modulus (E) and yield stress (σy) determined by the 0.5% offset method.
SpecimenYoung’s Modulus, E (MPa)Yield Stress, σy (MPa)
11508.723.82
21496.129.90
31565.430.58
Mean ± SD1523 ± 3728.10 ± 3.69
Table 2. Summary of the main thermal and structural parameters of PLA extracted from TG–DTA and XRD analyses.
Table 2. Summary of the main thermal and structural parameters of PLA extracted from TG–DTA and XRD analyses.
ParameterValuePhysical Meaning
Endothermic peak temperature~197 °CMelting/major morphological rearrangement
Onset of main degradation~320 °CBeginning of percolation-like breakdown
Main degradation interval320–400 °CCatastrophic mass loss (~99%)
Residual mass at 400 °C~1%Almost complete decomposition
Fractal dimension, Df~1.9Multiscale heterogeneous structural organization
Table 3. Preliminary literature-based comparative ranges for representative polymer systems.
Table 3. Preliminary literature-based comparative ranges for representative polymer systems.
Polymer TypeFractal DimensionYoung Modulus (GPa)Thermal Stability (°C)Estimated Fractal Integrity Index
PLA (present study)1.91.523300.78
Polypropylene (PP) (lit.)2.10–2.201.30–1.60340–3600.72
Polyethylene (PE) (lit.)2.05–2.150.8–1.10320–3400.69
Polyethylene terephthalate (PET) (lit.)2.30–2.402.20–2.80370–3900.83
Polystyrene (PS) (lit.)2.15–2.253.00–3.40360–3800.81
Disclaimer/Publisher’s Note: The statements, opinions and data contained in all publications are solely those of the individual author(s) and contributor(s) and not of MDPI and/or the editor(s). MDPI and/or the editor(s) disclaim responsibility for any injury to people or property resulting from any ideas, methods, instructions or products referred to in the content.

Share and Cite

MDPI and ACS Style

Petrescu, T.-C.; Costescu, E.P.; Mirilă, D.C.; Nedeff, F.; Nedeff, V.; Agop, M.; Bădărău, G.; Tomozei, C.; Vasincu, D. Fractal Multiscale Modeling of the Structural, Thermal, Mechanical and Dielectric Properties of Polylactic Acid (PLA). Appl. Sci. 2026, 16, 3719. https://doi.org/10.3390/app16083719

AMA Style

Petrescu T-C, Costescu EP, Mirilă DC, Nedeff F, Nedeff V, Agop M, Bădărău G, Tomozei C, Vasincu D. Fractal Multiscale Modeling of the Structural, Thermal, Mechanical and Dielectric Properties of Polylactic Acid (PLA). Applied Sciences. 2026; 16(8):3719. https://doi.org/10.3390/app16083719

Chicago/Turabian Style

Petrescu, Tudor-Cristian, Elena Puiu Costescu, Diana Carmen Mirilă, Florin Nedeff, Valentin Nedeff, Maricel Agop, Gheorghe Bădărău, Claudia Tomozei, and Decebal Vasincu. 2026. "Fractal Multiscale Modeling of the Structural, Thermal, Mechanical and Dielectric Properties of Polylactic Acid (PLA)" Applied Sciences 16, no. 8: 3719. https://doi.org/10.3390/app16083719

APA Style

Petrescu, T.-C., Costescu, E. P., Mirilă, D. C., Nedeff, F., Nedeff, V., Agop, M., Bădărău, G., Tomozei, C., & Vasincu, D. (2026). Fractal Multiscale Modeling of the Structural, Thermal, Mechanical and Dielectric Properties of Polylactic Acid (PLA). Applied Sciences, 16(8), 3719. https://doi.org/10.3390/app16083719

Note that from the first issue of 2016, this journal uses article numbers instead of page numbers. See further details here.

Article Metrics

Back to TopTop