Next Article in Journal
Leakage-Free Evaluation and Multi-Prototype Contrastive Learning for Hyperspectral Classification of Vegetation
Previous Article in Journal
Enhancing Community Resilience Through the Uptake of Innovative Solutions: The C2IMPRESS Approach
Previous Article in Special Issue
Frequency and Polarizing Magnetic Field Dependence of the Clausius–Mossotti Factor of a Kerosene-Based Ferrofluid with Mn-Fe Nanoparticles in a Microwave Field
 
 
Font Type:
Arial Georgia Verdana
Font Size:
Aa Aa Aa
Line Spacing:
Column Width:
Background:
Article

Synthesis and Characterization of Size- and Shape-Controlled CoFe2O4 Nanoparticles via Polyvinylpyrrolidone (PVP)-Assisted Hydrothermal Synthesis

1
Faculty of Physics, “Babes Bolyai” University, Kogalniceanu 1, 400084 Cluj-Napoca, Romania
2
Liceul Teoretic “Tamási Áron”, Str. Baróti Szabó Dávid, nr. 32, 535600 Odorheiu Secuiesc, Romania
3
Department of Bionanoscopy, MedFuture Research Center for Advance Medicine, “Iuliu Hatieganu” University of Medicine and Pharmacy, Pasteur 4-6, 400337 Cluj-Napoca, Romania
4
Department of Pharmaceutical Physics-Biophysics, Faculty of Pharmacy, “Iuliu Hatieganu” University of Medicine and Pharmacy, Pasteur 6, 400349 Cluj-Napoca, Romania
*
Author to whom correspondence should be addressed.
Appl. Sci. 2026, 16(7), 3547; https://doi.org/10.3390/app16073547
Submission received: 15 January 2026 / Revised: 30 March 2026 / Accepted: 2 April 2026 / Published: 4 April 2026
(This article belongs to the Special Issue Application of Magnetic Nanoparticles)

Featured Application

Considering the possibility to control the size and shape of nanoparticles, and the magnetic properties of these compounds, we intend to develop applications in cancer therapy, specifically for hyperthermia treatment and the fabrication of magnetoelectric and magnetoplasmonic core–shell structures.

Abstract

CoFe2O4 nanoparticles were prepared using a hydrothermal method. All the studied samples were single-phase and were crystallized in a cubic Fd-3m structure. XRD and TEM analyses revealed that the particles had average sizes between 5 and 22 nm. It has been shown that, by using the PVP of different molecular masses, trends of growth and crystallization can be established, obtaining elongated 40 k, cubical 58 k, and rhomboidal 360 kg/mol nanoparticles. While using Ethylene glycol as solvent, the formation of separated “raspberry”-like nanostructures was revealed. The saturation magnetizations are somewhat smaller compared with crystalline CoFe2O4 saturation magnetization, but are high enough to have possible biomedical applications. FC and ZFC measurements show that the blocking temperature was around 100 K for the CF5 sample and around 20 K for the FC6 sample. The calculated anisotropy constants were between 7 and 10 kJ/m3, being close to previously reported values. The calculated blocking temperatures are in good agreement with experimental ones. The Mr/Ms ratio at room temperature was lower than 0.5, confirming the predominance of magnetostatic interactions. This paper serves as a good starting point for researchers seeking to synthesize a CoFe2O4 system with a desired size and growth tendency at the nanometer scale.

1. Introduction

Spinel ferrite nanoparticles have recently garnered considerable research interest due to their broad range of applications in various fields, including catalysis, refractory materials, microwave absorption, biomedicine, high-frequency magnetic materials, electrical devices, antibacterial agents, gas sensors, water decontamination, and energy-related technologies [1,2,3,4,5,6,7,8,9,10,11,12]. Spinel ferrites generally possess the chemical formula MFe2O4 or an (M1−xFex)Th(MxFe2−x)OhO4 structure, where M represents divalent 3d transition metal cations such as Co, Ni, Mn, Zn, etc., while x is the inversion parameter. Their physical and chemical properties are strongly influenced by the distribution of cations between the tetrahedral, Th, and octahedral, Oh, sites. Consequently, the structural characteristics of spinel ferrites are primarily determined by this cation arrangement, allowing them to be classified into three categories: normal, inverse, and mixed spinel structures. The distribution of metal cations between the available sites is influenced by several factors, including their site preference (affinity for specific positions), stabilization energy, ionic radii, and the size of the interstitial sites, as well as the synthesis method and reaction conditions.
Magnetic nanoparticles are distinguished by their unique properties at the nanoscale, offering compelling opportunities to explore the relationship between their structures and physical behaviors. Their performance is largely governed by the organization of magnetic domains under external magnetic fields, which gives rise to notable quantum effects at reduced dimensions. Furthermore, the interplay between their surface and core regions plays a key role in determining their magnetic properties.
Earlier studies on magnetic nanoparticles were primarily devoted on ferrofluids, which are liquid suspensions of magnetic nanoparticles and represented some of the first practical applications of these materials. With advances in nanoparticle synthesis techniques and a growing understanding of their properties, magnetic nanoparticles have since become central to more sophisticated applications, including magnetically guided drug delivery in biomedicine ([13] and references therein).
Owing to its outstanding mechanical hardness together with its high chemical stability and unique electrical, magnetic, and optical properties, CoFe2O4 (CFO) has attracted considerable attention among ferrite materials. The cobalt ferrite structure evolves from a normal spinel (x = 0) to a fully inverse spinel (x = 1). In the bulk state, CoFe2O4 ferrite predominantly exhibits an inverse spinel structure and crystallizes in a face-centered cubic lattice with space group Fd-3m. CoFe2O4 is ferrimagnetic, with magnetic moments at the tetrahedral and octahedral sublattices aligned antiparallel to each other. Depending on the synthesis method and annealing temperature, Co2+ ions may redistribute among octahedral sites, significantly affecting the structural, magnetic, and electrical properties of the material [14,15,16]. As a result, cobalt ferrite has been widely utilized in numerous applications such as ferrofluid recording media, magnetic resonance imaging, drug delivery, gas sensing, water treatment, catalysis, microwave devices, electronic devices, high-density magnetic recording data storage, batteries, drug delivery, hyperthermic cancer therapy antibacterial applications, etc. [17,18,19,20,21,22,23,24,25,26,27,28,29,30,31].
In our previous work, we investigated the structural and magnetic properties of CoFe2O4 nanoparticles and CoFe2O4@SiO2@Au nanocomposites developed for magnetoplasmonic applications [32,33], as well as CoFe2O4 nanoparticles doped with Zn, Mn, or rare-earth (RE) ions at Co sites [34,35,36,37].
Magnetoplasmonic CoFe2O4@SiO2@Au nanoparticles were successfully synthesized, showing spin-glass-like magnetic behavior at the surface of CoFe2O4 nanograins, with two distinct spin-glass states influenced by external magnetic fields and iron ion exchange interactions. The gold shell exhibited strong, size-dependent diamagnetic susceptibility. Additionally, Co1−xZnxFe2O4 nanoparticles prepared via a green sol–gel method [38,39] demonstrated enhanced magnetization due to Zn ions occupying tetrahedral sites, while hydrothermally synthesized Co1−xMnxFe2O4 nanoparticles showed improved magnetic properties, linked to Mn ion distribution across the lattice sites. Rare-earth-doped Co0.95R0.05Fe2O4 nanoparticles obtained through an eco-friendly sol–gel approach revealed mixed valence states of Co and Fe, with magnetic behavior dependent on rare-earth ion alignment and site occupancy, resulting in a combination of superparamagnetic and ferrimagnetic phases at room temperature.
In order to be useful for a specific application, nanoparticles need to be tailored for that specific purpose, i.e., their size and shape must be fine-tuned. For example, in the case of magneto-electric particles used for drug delivery, particles could not be smaller than 15 nm, or else would risk entering healthy cells, and could not exceed 50 nm, as they would risk not being able to enter porated ones [1].
In recent years, research on magnetic nanoparticles has grown considerably, with significant progress being made in synthesis methods, surface functionalization, magnetic property optimization, and translational applications. In the bottom-up approach, small building blocks are assembled to form larger structures, as seen in methods such as sol–gel and hydrothermal synthesis. In contrast, the top-down approach involves reducing bulk materials into nanoscale structures using techniques such as lithography and mechanical processes, including grinding, to produce nanoparticles. Traditional methods for nanoparticle synthesis, whether chemical or physical, present several inherent limitations, including the formation of surface defects, low production rates, high manufacturing costs, and significant energy requirements. Chemical synthesis methods often involve the use of toxic chemicals, which can lead to the formation of hazardous byproducts and the introduction of impurities originating from the starting reagents [40]. Various approaches have been reported for the synthesis of CFO nanoparticles.
Some of these methods include the sol–gel method [41,42,43], precipitation method [44,45], micelle microemulsion method [46], hydrothermal method [47,48,49], auto-combustion sol–gel [50,51,52,53], co-precipitation [54], solid-state reaction [55], ultrasonication-assisted auto-combustion sol–gel [56], microwave synthesis [57], microwave-assisted hydrothermal synthesis [58], hydrothermal synthesis employing plant extracts [59], complexometric synthesis [60], etc.
For cobalt ferrite nanoparticles, the choice of synthesis method is especially important because their magnetic properties, size, and crystallinity strongly depend on how they are prepared. The most relevant methods for the preparation of cobalt ferrites have different advantages and disadvantages that must be considered for specific applications. The most common technique for CFO preparation is Co-precipitation. This method is simple, inexpensive, and suitable for large-scale production, operating at relatively low temperatures with rapid synthesis. However, it offers limited control over particle size distribution, often leading to agglomeration. The resulting nanoparticles usually have lower crystallinity and may require post-annealing, which can affect their magnetic properties due to structural defects. It is most appropriate for bulk production, where uniformity is not essential. The sol–gel method allows for better control over composition and homogeneity, producing fine, uniform, and high-purity nanoparticles at lower calcination temperatures compared to solid-state techniques. As a downside, the process is time-consuming, involving gel formation and drying stages that may cause shrinkage or cracking. Careful control of the pH and precursor conditions is also required. This method is ideal for obtaining high-quality magnetic nanoparticles with controlled compositions. Thermal decomposition produces highly uniform (monodisperse) nanoparticles with excellent crystallinity and magnetic properties, offering precise control over particle size. Nevertheless, it involves expensive organic precursors, high temperatures, inert atmospheres, and often uses toxic solvents, raising environmental concerns. Additionally, scaling up this method is challenging. It is mainly used for research-grade nanoparticles and specialized applications. The microemulsion method provides excellent control over nanoparticle size and produces very small, uniform particles with good reproducibility at the laboratory scale. However, it relies on surfactants, which can be costly, potentially toxic, and require complex purification steps. The yield is relatively low, and scalability is limited. It is most suitable for controlled laboratory synthesis. Green synthesis is environmentally friendly, low in toxicity, and cost-effective, producing biocompatible nanoparticles suitable for biomedical applications. However, it provides limited control over particle size and shape, may suffer from reproducibility issues, and is still under development for cobalt ferrites. It is best suited for eco-friendly and biomedical applications. The Hydrothermal/Solvothermal method yields nanoparticles with excellent crystallinity, often eliminating the need for high-temperature annealing. It provides good control over particle size and morphology and enables the formation of well-defined shapes such as spheres, rods, or cubes, resulting in strong magnetic properties. However, it requires high-pressure autoclaves, longer reaction times, and more complex experimental setups. It is best suited for high-performance cobalt ferrites used in advanced applications.
In this paper, we study the morphology and structure of CoFe2O4 nanoparticles obtained using Polyvinylpyrrolidone (PVP)-assisted hydrothermal synthesis in different solvents, Ethylene and Triethylene glycol, adding PVP with different molecular masses.
We selected this synthesis method based on previous results that demonstrated excellent crystallinity, precise control over particle size and morphology, and the ability to produce well-defined structures, which ultimately lead to enhanced magnetic properties.
The originality of shape-controlled CoFe2O4 nanoparticles synthesized via polyvinylpyrrolidone (PVP)-assisted hydrothermal methods lies in the dual role of PVP as both a stabilizing and a structure-directing agent, enabling precise control over nanoparticle morphology. Unlike conventional hydrothermal synthesis, which typically produces spherical or irregular particles due to isotropic growth and agglomeration, the introduction of PVP allows for selective adsorption onto specific crystal facets, thereby modifying their surface energies and directing anisotropic growth. This results in well-defined nanostructures such as elongated, cubical, rhomboidal, etc., depending on the synthesis conditions. The approach uniquely integrates surface chemistry with controlled nucleation and growth kinetics, allowing for fine-tuning particle shapes using parameters such as PVP concentration, molecular weight, temperature, and pH. We have shown that, by using Triethylene glycol with certain molar masses, it is possible to obtain nanoparticles with a desired shape, turning a conventional hydrothermal process into a shape-engineering platform. This level of morphological control is significant because it directly influences the magnetic, catalytic, and surface properties of CoFe2O4 nanoparticles, making the method a powerful tool for tailoring materials for advanced technological applications.
Opting for the PVP-assisted hydrothermal route has allowed us to obtain nanoparticles with particle sizes ranging from 5 to 200 nanometers (with a crystallite size below 20 nm) exhibiting different pattern growth due to PVP addition. It is well known that PVP serves as surface stabilizer, nanoparticle dispersant, and growth modifier [61]. This study reveals how the addition of PVP during hydrothermal treatment influences the growth tendencies and sizes of cobalt ferrite nanoparticles obtained via this route.
The paper serves as a good starting point for researchers aiming to synthesize a CoFe2O4 system with a desired size and growth tendency at the nanometer scale.
X-ray diffraction (XRD) and transmission electron microscopy (TEM) imaging were used to characterize the structural and morphological properties of the obtained samples. The magnetic properties of both raspberry and single-crystal particles were also studied in comparison to a larger crystallite nanoparticles sample [41] in order to show that not only can we obtain various size particles, but we can also tune the coercivity of these particles (according to a specific application) in a large size range by creating the correct microstructure.

2. Materials and Methods

2.1. Sample Preparation

Samples were prepared through hydrothermal synthesis using Cobalt(II) and Iron(III) acetylacetonates as precursors. All used chemicals were produced by Alfa Aesar, Thermo Fisher Scientific Inc., Ward Hill, MA, USA. The hydrothermal method used is a wet chemical synthesis method in which the precursors are sealed off in a closed reactor, commonly known as an autoclave or pressure bomb, and subjected to thermal treatment to facilitate the decomposition of said precursors and the crystallization of the final product. In comparison to classical low-temperature coprecipitation synthesis methods, the hydrothermal method is known to produce highly crystalline samples due to high-pressure and -temperature reaction conditions. Important parameters that should be controlled when using this method are the concentration of the precursors, the thermal treatment temperature and heating rate, the thermal treatment duration, and the fill factor of the autoclave.
In our case, as a comparison, both Ethylene glycol (boiling point 197.6 °C) and Triethylene glycol (boiling point 285 °C) were used as solvents. Regarding quantity, 0.1412 g (0.4 mmol) Iron(III) acetylacetonate and 0.0514 g (0.2 mmol) Cobalt(II) acetylacetonate were dissolved in 55 mL solvents under vigorous magnetic stirring and kept at a temperature of 80 °C. In all cases, 0.8 g of PVP, with different molecular masses between 10.000 and 360.000 g/mol, were slowly added to the solutions in order to study the effect of this polymer on the morphology of the obtained nanoparticles.
The solutions were sealed off in a 100 mL PPL Lined Hydrothermal Autoclave and subjected to hydrothermal treatment for 12 h at a temperature of 240 °C. The heating rate was set to 0.3 K/s. The fill factor of the autoclave was 60%.
The resulting nanoparticles were stable in both solvents. In order to separate them, a 4:1 volumetric ratio mixture of diethyl ether and ethanol was used. Using this mixture, the particles were washed 5 times. After this process, the particles were washed 3 more times in ethanol. The particles were magnetically separated after each wash.
One sample (CF7) was prepared differently: the sample was obtained in Triethylene glycol at 285 °C, at atmospheric pressure, without the use of an autoclave to show the pressure influence on the final nanoparticles.

2.2. Characterization

X-ray diffraction (XRD) measurements were carried out on powder samples at room temperature on a Bruker D8 Advance diffractometer (Bruker-AXS GmbH, Karlsruhe, Germany) using Cu Kα radiation. The FullProf_Suite Windows 7-11 Intel software was used to determine the lattice parameters through Rietveld refinement of the XRD patterns [62]. The average crystallite size of the nanoparticles was estimated using the Scherrer equation [63,64]:
D = k λ β cos θ
where β represents the peak full width at half maximum (in radians) at the observed peak angle θ, k is the crystallite shape factor (was considered 0.94), and λ = 1.5405 Å is the X-ray wavelength.
The morphology of the prepared nanoparticles was investigated using transmission electron microscopy (TEM). The analyses were performed with a Hitachi HD2700 CFEG STEM, manufactured by Hitachi High-Tech Corporation Japan, operated at 200 kV, equipped for secondary electron imaging. The crystallite and particle sizes were also estimated from the TEM images using the IMAGEJ software [65].
Magnetic properties were studied using a vibrating sample magnetometer, 12 T VSM from Cryogenic Limited London (version Fiji, SOFTONIC INTERNATIONAL S.A, Spain), in the 4.2–300 K temperature range and with external magnetic fields up to 12 T. The saturation magnetizations, Ms, were determined from magnetization isotherms according to the following approach to saturation law:
M = Ms(1 − b/H) + χoH
where b denotes the coefficient of magnetic hardness and χo denotes a Pauli-type contribution. For a deeper insight into the magnetic behavior of ferrite magnetic nanoparticles (MNPs), we performed measurements on the temperature-dependent magnetization using the standard zero-field-cooled (ZFC) and field-cooled (FC) measurement protocols.

3. Results and Discussion

It was found that the addition of PVP with different molecular masses during the synthesis of the CoFe2O4 nanoparticles caused noticeable changes in morphology. These changes were best observed in seven of the obtained CoFe2O4 samples. The sample identification (ID) and synthesis variables have been listed in Table 1.
The XRD patterns of the investigated samples are shown in Figure 1a. All diffraction peaks were indexed according to the JCPDS card No. 22–1086. The recorded patterns were analyzed using the FullProf Suite software through Rietveld refinement, assuming a cubic crystal structure with space group Fd-3m for the studied compounds. As an example, the calculated profiles for the CF 3 sample, along with the experimental data, are presented in Figure 1b. Similar results were obtained in all studied compounds. The good agreement between the calculated and experimental patterns indicates the high quality of the samples. The XRD results confirm that the synthesized samples are single-phase and free of impurities, demonstrating the phase purity of the studied compounds. The most intense diffraction peak corresponds to the (311) plane, which is characteristic of the spinel ferrite structure.
The lattice parameters determined by Rietveld analysis and the average crystallite sizes determined using Scherrer formula—considering a shape factor of 0.94, which is typical for spherical crystallites with cubic symmetry—are presented in Table 2.
The average crystallite size is around 19 nm for the CF1, CF3, and CF4 samples, 22 nm for CF2, and lower, around 14–15 nm, for the CF5 and CF6 compounds. A much smaller value, around 5 nm, was obtained for the CF7 sample, which was prepared at atmospheric pressure.
TEM images of the samples prepared with Ethylene glycol as the solvent are presented in Figure 2. The crystallite and particle sizes were estimated from the TEM images using IMAGEJ software [66]. A slight tendency toward agglomeration was observed in the samples, which can be attributed to stronger magnetic interactions competing with much weaker electrostatic repulsion. It is revealed that the addition of PVP with higher molecular mass in the Ethylene glycol solvent gradually stops the agglomeration of the CoFe2O4 nanoparticles (CF1–CF3), the result being pseudo-spherical separated “raspberry”-like nanostructures. The TEM images for the samples prepared with Triethylene glycol are shown in Figure 3. In the case of Triethylene glycol, the images show that the CoFe2O4 nanoparticles tend to have different growth patterns during crystallization depending on the molecular mass of the PVP: elongated, 40k g/mol (CF4); cubical, 58k g/mol (CF5); and rhomboidal, 360k g/mol (CF6). Images of the samples obtained at atmospheric pressure reveal nanoparticles with a diameter of 3–9 nm (CF7).
Similar CoFe2O4 nanoparticles with controlled shapes and sizes were synthesized via the co-thermolysis of iron and cobalt acetylacetonate precursors in oleic acid. By simply adjusting the decomposition amount of the cobalt and iron precursors, both morphology (polyhedral, near corner-grown cubic, near-cubic, and star-like) and size (15, 25, 35, and 45 nm) could be tuned [67]. Kumar and co-workers reported the synthesis of CFO nanoparticles with different morphologies by using a facile and economical solution route. The authors showed that, by using oleic acid as a surfactant and benzyl ether as a solvent, the shape can be tuned by changing only the reaction time and solvent amount [68]. We note that PVP was used earlier for the synthesis of PVP-encapsulated CoFe2O4/rGO composites by a hydrothermal method. It was shown that the microstructure and morphology of the ternary composites can be effectively tuned by altering the amount of PVP [69].
Unlike other methods, which often suffer from limited control over particle size distribution and high levels of agglomeration, our PVP-assisted hydrothermal route allows for precise “shape-engineering”. By varying the PVP molecular mass in Triethylene glycol, we achieved distinct elongated, cubical, and rhomboidal geometries. This level of control surpasses recent green synthesis reports, which, while biocompatible, frequently face challenges regarding reproducibility and precise shape definition. Many chemical routes require post-synthesis annealing to improve crystallinity, often leading to unwanted grain growth or structural defects. Our hydrothermal method produced single-phase cubic structures with high crystallinity directly from the reactor.
Discussing each case punctually, we have the following:
CF1: When using ethylene glycol as a solvent (boiling point 197.6 °C), due to the high vapor pressure of the solvent during the hydrothermal treatment, after forming the “raspberry” type particles, these continue to agglomerate. It is revealed that, by using no PVP or one with low molecular mass, this agglomeration cannot be stopped.
CF2: The image shows that, by using PVP with a high molecular mass (58 k g/mol), the agglomeration of the synthesized particles can be mitigated. However, it has been observed that this agglomeration is not entirely halted.
CF3: The TEM image indicates that, by going even further and using a higher molecular mass PVP (250 k g/mol), the aggregation of the particles can be prevented. The same result was obtained when using PVP with 360 k g/mol, molecular mass. The method produces “raspberry”-like structures with average sizes of 87 nm, made up of crystallites with average sizes of 14 nm (Table 3).
In all of the cases mentioned above, PVP works as a surface stabilizer and nanoparticle dispersant.
CF4–CF6: The pressure inside the autoclave while utilizing Triethylene glycol as a solvent is approximately one order of magnitude lower than when using ethylene glycol. Consequently, after the decomposition of the precursors and the crystallization of the CoFe2O4 nanoparticles, the system does not have enough energy to facilitate their agglomeration. In these latter cases, PVP works as a growth modifier influencing the nanoparticles’ growth patterns depending on the PVP’s molecular mass (elongated, 40 k; cubical, 58 k; and rhomboidal, 360 k g/mol).
CF7: Synthesis was carried in triethylene at atmospheric pressure. The addition of PVP to the synthesis did not influence the growth or size of these nanoparticles. On average, the particles are 6 nm (see Table 3), being single crystals.
The average particle and crystallite sizes calculated using IMAGEJ software are presented in Table 3. Both this method and the Scherrer formula show the same trends in crystallite size growth, although the IMAGEJ method is more accurate.
Since we intend to use these nanoparticles for biomedical applications, we focused our magnetic characterization on the CF5 and CF6 samples, which are not agglomerated and have average sizes around 15 nm. For comparison, the CF3 sample was also measured.
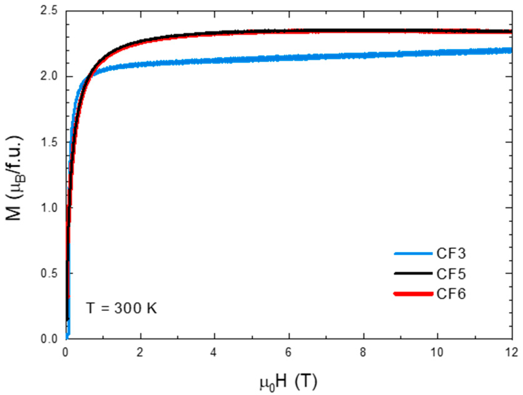
The magnetization isotherms were recorded at 300 K in external magnetic fields up to 12 T, as shown in Figure 4. For the CF5 and CF6 samples, the saturation was attained around 4 T, while for the CF3 sample, the saturation was not attended in 12 T magnetic field.
The obtained values for the saturation magnetizations were 2.33 μB/f.u. for the CF5 sample and 2.34 μB/f.u. for the CF6 sample. The obtained values are somewhat smaller compared with those of the crystalline CoFe2O4 saturation magnetization, but remain relatively high. This suggests that the nanoparticles may exhibit properties of interest for certain biomedical-related applications, including potential exploration in Magnetic Resonance Imaging (MRI) as contrast agents, similar to previously studied Fe3O4 nanoparticles [70,71]. However, additional studies are necessary to evaluate their performance, safety, and effectiveness before considering any practical application. For the CF3 sample, the maximum value of magnetization is 2.2 μB/f.u without attending saturation. This behavior can be explained by the fact that agglomerated nanoparticles with large diameters, as in this case, often do not reach typical “saturation” levels in characterization or applications, as they tend to behave more like porous microparticles rather than discrete, individual nanoparticles. The transition temperatures are higher than room temperature for the studied compounds. To verify the reproducibility of the synthesized samples, CF5 and CF6 (the most promising for biomedical applications) were prepared two additional times under identical conditions, but in different quantities. The characterization results show no significant changes in crystal structure, lattice parameter, average crystal size, or saturation magnetization, within the limits of experimental error.
A deeper insight into the magnetic behavior of ferrite magnetic nanoparticles can be achieved by analyzing the M(T) dependence using two measurement protocols: zero-field cooling (ZFC) and field cooling (FC). In the ZFC measurement, the samples were first cooled down to 5 K in a zero external magnetic field. After reaching this temperature, a magnetic field of 50 Oe was applied, and the magnetization was recorded while heating the sample. For the FC measurement, the magnetic field was applied during the cooling process, and the magnetization was subsequently measured upon heating. Usually, the ZFC magnetization curves show the presence of a peak at a certain temperature, which corresponds to the average transition from ferromagnetic to superparamagnetic behavior. The temperature of the peak appearance is referred to as the blocking temperature, TB. Furthermore, the temperature at which the ZFC and FC curves start to diverge, known as the irreversibility temperature, is generally higher than (TB). In the case of uniformly sized, non-interacting single-domain nanoparticles showing superparamagnetic behavior, the blocking temperature is the same as the irreversibility temperature. In the present samples, however, the ZFC magnetization peak starts to emerge near room temperature and extends toward higher temperatures. The temperature dependences of the ZFC and FC curves for the CF5 and CF6 samples are presented in Figure 5. One can see that the FC curve and the ZFC curve converge at a few degrees above room temperature.
Magnetization follows a tendency to increase in the case of the FC curve, while a decrease in the ZFC curve is shown with a temperature decrease. The blocking temperature is around 100 K for the CF5 sample and around 20 K for the FC6 sample. Below TB, the magnetic moments of nanoparticles become thermally stable or “blocked,” leading to hysteretic behavior. Above this temperature, thermal fluctuations are dominant, and the time-averaged magnetization becomes zero in the absence of an external magnetic field. In our case, the TB values indicate a weaker energy barrier (magnetic anisotropy) constraining magnetization, which allows for thermal energy to more readily reorient the spins and, consequently, leads to a lower temperature required for magnetic stability.
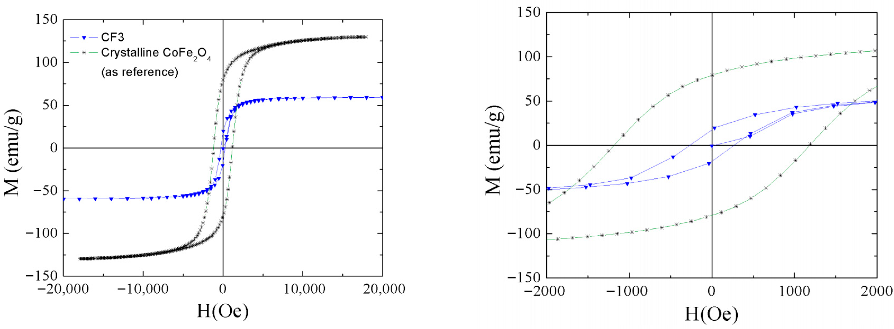
The hysteresis loops were measured at 300 K in external magnetic fields between −2 and 2 T, as shown in Figure 6 for the CF3 sample and in Figure 7 for the CF5, CF6, and CF7 samples. The hysteresis loops for a 60 nm crystallite CoFe2O4 sample as a reference are also shown in Figure 6 [41]. One can see that the saturation is reached in an external field of 1 T for the CF3 sample, while for the CF5, CF6, and CF7 samples, the saturation is not attained in 2 T. Small values of the coercive field were found at 300 K for all samples. The maximum value of the magnetization for the CF7 sample at room temperature is rather higher than the expected value, being around 3.9 μB/f.u. The obtained value is comparable with the value of 3.71 μB/f.u reported by Abbas et al. for cobalt ferrites obtained by a ceramic co-precipitation method [72].
The coercive fields are between 0.03 T for the “raspberry”-like particles, 0.025 T for the CF5 and CF6 samples, and almost zero for the sample obtained at atmospheric pressure. Although larger in comparison to the 60 nm crystallite CoFe2O4 sample used as a standard, it is observed that the coercive field of the “raspberry”-like particles is four times lower. This is attributed to the small crystallite size (14 nm) of the CF3 nanostructure. Moreover, the coercivity disappears as the crystallite size decreases to 5 nm (CF7). This is consistent with other previously published results [73], where the superparamagnetic limit was found to be 7 nm. In our case, there are a small number of nanoparticles with diameters larger than 7 nm, and the magnetization is a sum of two contributions: the superparamagnetic nanoparticles, which are the majority, and a small contribution from the ferrimagnetic ones.
We calculated the anisotropy constant (K) for the three samples, CF3, CF5, and CF6, using the following relation:
K μ 0 H C M S
where we denote by μ0 the vacuum magnetic permeability, Hc is the coercive field, and Ms is the saturation magnetization. The results are presented in Table 3. Furthermore, we determined the blocking temperature, TB, considering the calculated K and considering that the nanoparticles are spherical using the following relation:
T B = K V k B l n τ m τ 0
where kB is the Boltzmann constant, TB the blocking temperature of the samples, τm is the characteristic measuring time (having values in the order of hundreds of seconds for a vibrating sample magnetometer), and τ0 is the attempt time (10−9 s is usually considered), while V is the volume of a single nanoparticle. Usually, in the laboratory measurements, the value of l n τ m τ 0 can be assumed to be 25 [74,75]. The calculated blocking temperature values are shown in Table 4.
The calculated anisotropy constants are consistent with the value of 13.8 kJ/m3 reported earlier for high-quality nanocrystalline cobalt ferrites by Kumar and Kar [76]. The TB values are very close to the data obtained from ZFC-FC measurements, which are around 100 K for the CF5 sample and around 25 K for the CF6 sample. The differences could be because we used approximate nanoparticles with spherical shapes for the volume calculations.
It can be observed that the blocking temperatures of the CF5 and CF6 samples, determined from the average nanoparticle sizes obtained via XRD and TEM measurements, are identical. This confirms that the prepared samples are monodomain and possess high crystallinity. The blocking temperature is directly proportional to both the particle volume and its anisotropy energy, meaning that larger and more stable particles exhibit higher TB values. In this case, the relatively small particle volumes result in correspondingly low blocking temperatures. Above TB, thermal fluctuations induce rapid magnetization reversals, leading to a zero time-averaged magnetization. Low blocking temperatures are generally advantageous for magnetic nanoparticles in biomedical applications, as they ensure that no residual magnetization (remanence) remains once the external magnetic field is removed, thereby preventing particle aggregation. Furthermore, nanoparticles with low TB are more likely to remain well-dispersed (in blood vessels for example), reducing the risk of clogging or undesired accumulation in organs, consequently lowering cytotoxicity. This behavior is observed for the CF5 and CF6 samples, although further measurements are required for confirmation.
It was shown earlier that the existence or absence of different types of exchange interactions between grains is determined by the ratio R = M r / M s , where M r and M s denote the remanent and saturation magnetizations, respectively, with R ranging from 0 to 1 [58]. When R   <   0.5 , magnetostatic interactions dominate between particles. At R   =   0.5 , consistent with the Stoner–Wohlfarth model, the system is composed of non-interacting randomly oriented particles. For R   >   0.5 , exchange coupling between particles becomes notable. In our studied samples, the M r / M s ratio determined at room temperature is lower than 0.5, clearly showing that the magnetostatic interactions are predominant.
Considering that we succeeded in preparing non-agglomerated mono-domenial nanoparticles with magnetic properties of interest for biomedical applications, we intend to examine their performance and safety, as well as whether they are suited for applications in cancer therapy or not. Our goal is to prepare magnetoelectric, ME, and magnetoplasmonic, MP, core–shell structures. In the case of ME nanoparticles, our aim is to locally electric polarize the nanoparticle in the body, controlling the polarization with low external magnetic fields that do not only affect the healthy cells. The MP nanoparticles will be examined to confirm whether or not they could be used in biomedical applications that require optical sensing, imaging, or heating, magnetic stimulation or manipulation, or both.

4. Conclusions

CoFe2O4 nanoparticles were prepared using a hydrothermal synthesis method. We chose this synthesis method since it could produce highly crystalline samples due to the high-pressure and -temperature reaction conditions. One sample was obtained in Triethylene glycol at 285 °C, at atmospheric pressure, without the use of an autoclave to show the pressure influence on the final nanoparticles. All of the studied samples were single-phase without any impurities, and were crystallized in a cubic Fd-3m structure. XRD and TEM analyses revealed that the particles have average sizes between 5 and 22 nm. A study of hydrothermal synthesis parameters (solvent, PVP molecular mass) and morphology was done. It has been shown that, by using PVP of different molecular masses, trends of growth and crystallization are established (elongated, 40 k; cubical, 58 k; and rhomboidal, 360 k g/mol). The use of PVP with Ethylene glycol as a solvent was shown to ensure the formation of separated “raspberry”-like nanostructures.
The obtained values for the saturation magnetizations are somewhat smaller compared with crystalline CoFe2O4 saturation magnetization, but are high enough, considering the possible biomedical applications, being promising for future applications in Magnetic Resonance Imaging as contrast agents for the early diagnosis of several diseases. The transition temperatures are higher than room temperature for the studied compounds.
In the FC5 and FC6 samples, the ZFC magnetization peak starts to emerge near room temperature and extends toward higher temperatures. The FC curve and the ZFC curve converge at a few degrees above room temperature. Magnetization follows a tendency to increase in the case of the FC curve, while a decreasing in the ZFC curve is shown with a temperature decrease. The blocking temperature is around 100 K for the CF5 sample and around 20 K for the FC6 sample. Below TB, the magnetic moments of nanoparticles become thermally stable or “blocked,” leading to hysteretic behavior. Above this temperature, thermal fluctuations are dominant, and the time-averaged magnetization becomes zero in the absence of an external magnetic field.
The calculated anisotropy constants are between 7 and 10 kJ/m3, being close to previously reported values. The blocking temperatures calculated with the determined anisotropy constants in the approximation of spherical nanoparticles are in good agreement with the experimental ones.
The MS/Ms ratio determined at room temperature is below 0.5 for all of the studied samples, indicating that the magnetostatic interactions are predominant.
In conclusion, using Triethylene glycol with varying molecular weights enables control over the size and morphology of the samples synthesized via the hydrothermal method. This paper provides a solid starting point for researchers seeking to tailor the size and growth behavior of CoFe2O4 at the nanoscale.
Considering the possibility to control the size and shape of nanoparticles and the magnetic properties of these compounds, we intend to examine the possibility to develop applications in cancer therapy, specifically for the fabrication of magnetoelectric and magnetoplasmonic core–shell structures.
These structures are designed to locally induce electric polarization within the body, which can be controlled using relatively weak external magnetic fields, with the objective of selectively targeting cancer cells. The electric polarization required to induce electroporation—i.e., the formation of pores in cell membranes—is approximately five times lower for cancer cells than for healthy cells. By controlling electric polarization through an applied magnetic field, nanoparticles can preferentially enter cancer cells while sparing healthy tissue. Once internalized, these nanoparticles can either release therapeutic agents in a controlled manner under a low-intensity alternating magnetic field or induce localized heating to destroy cancer cells. The magnetoplasmonic nanoparticles will be examined to confirm whether or not they could be used in applications that require optical sensing, imaging, or heating, magnetic stimulation or manipulation, or both.

Author Contributions

Methodology, R.B., T.S., Á.S., R.H., R.I.Ș., A.-I.M., R.D. and R.T.; conceptualization, R.B., T.S., Á.S., R.H., R.I.Ș., A.-I.M., R.D. and R.T.; investigation, R.B., T.S., Á.S., R.H., R.I.Ș., A.-I.M., R.D. and R.T.; resources, R.B. and R.T.; formal analysis, R.B., T.S., Á.S., R.H., R.I.Ș., A.-I.M. and R.D.; writing—original draft preparation, R.B., T.S., Á.S., R.H., R.I.Ș., A.-I.M., R.D. and R.T.; writing—review and editing R.D. and R.T.; visualization, R.I.Ș., R.D. and R.T.; supervision, R.D. and R.T.; project administration, R.T.; funding acquisition, R.T. All authors have read and agreed to the published version of the manuscript.

Funding

This work was supported by the Romanian Ministry of Education and Research (UEFISCDI), grant no. PN-III-P4-ID-PCCF-2016-0112.

Institutional Review Board Statement

Not applicable.

Informed Consent Statement

Not applicable.

Data Availability Statement

Dataset available on request from the authors. The raw data supporting the conclusions of this article will be made available by the authors on request.

Conflicts of Interest

The authors declare no conflicts of interest.

References

  1. Guduru, R.; Liang, P.; Runowicz, C.; Nair, M.; Atluri, V.; Khizroev, S. Magneto-electric Nanoparticles to Enable Field-controlled High-Specificity Drug Delivery to Eradicate Ovarian Cancer Cells. Sci. Rep. 2013, 3, 2953. [Google Scholar] [CrossRef] [PubMed]
  2. Goyal, A.; Bansal, S.; Singhal, S. Facile reduction of nitrophenols: Comparative catalytic efficiency of MFe2O4 (M = Ni, Cu, Zn) nano ferrites. Int. J. Hydrogen Energy 2014, 39, 4895–4908. [Google Scholar] [CrossRef]
  3. Kakade, S.G.; Kambale, R.C.; Kolekar, Y.D.; Ramana, C.V. Dielectric, electrical transport and magnetic properties of Er3+ substituted nanocrystalline cobalt ferrite. J. Phys. Chem. Solids 2016, 98, 20–27. [Google Scholar] [CrossRef]
  4. Stimphil, E.; Nagesetti, A.; Guduru, R.; Stewart, T.; Rodzinski, A.; Liang, P.; Khizroev, S. Physics considerations in targeted anticancer drug delivery by magnetoelectric nanoparticles. Appl. Phys. Rev. 2017, 4, 021101. [Google Scholar] [CrossRef]
  5. Zhao, Q.; Yan, Z.; Chen, C.; Chen, J. Spinels: Controlled Preparation, Oxygen Reduction/Evolution Reaction Application, and Beyond. Chem. Rev. 2017, 117, 10121–10211. [Google Scholar] [CrossRef]
  6. Chaibakhsh, N.; Moradi-Shoeili, Z. Enzyme mimetic activities of spinel substituted nanoferrites (MFe2O4): A review of synthesis, mechanism and potential applications. Mater. Sci. Eng. C 2019, 99, 1424–1447. [Google Scholar] [CrossRef]
  7. Malaie, K.; Ganjali, M.R. Spinel nano-ferrites for aqueous supercapacitors; linking abundant resources and low-cost processes for sustainable energy storage. J. Energy Storage 2021, 33, 102097. [Google Scholar] [CrossRef]
  8. Shahzad, K.; Mushtaq, S.; Rizwan, M.; Khalid, W.; Atif, M.; Din, F.U.; Ahmad, N.; Abbasi, R.; Ali, Z. Field-controlled magnetoelectric core-shell CoFe2O4@BaTiO3 nanoparticles as effective drug carriers and drug release in vitro. Mater. Sci. Eng. C 2021, 119, 111444. [Google Scholar] [CrossRef]
  9. Tandon, R.; Tandon, N.; Patil, S.M. Overview on magnetically recyclable ferrite nanoparticles: Synthesis and their applications in coupling and multicomponent reactions. RSC Adv. 2021, 11, 29333–29353. [Google Scholar] [CrossRef]
  10. Amrillah, T.; Hermawan, A.; Bitla, Y.; Baqiya, M.A.; Quynh, L.T.; Taufik, A.; Yin, S.; Juang, J.-Y. Preferentially Oriented Nanometer-Sized CoFe2O4 Mesocrystals Embedded in the BiFeO3 Matrix for Opto-Magnetic Device Applications. ACS Appl. Nano Mater. 2021, 4, 11249–11259. [Google Scholar] [CrossRef]
  11. Xie, X.; Wang, B.; Wang, Y.; Ni, C.; Sun, X.; Du, W. Spinel structured MFe2O4 (M ¼ Fe, Co, Ni, Mn, Zn) and their composites for microwave absorption: A review. Chem. Eng. J. 2022, 428, 131160. [Google Scholar] [CrossRef]
  12. Refat, N.M.; Nassarand, M.Y.; Sadeek, S.A. A controllable one-pot hydrothermal synthesis of spherical cobalt ferrite nanoparticles: Synthesis, characterization, and optical properties. RSC Adv. 2022, 12, 25081. [Google Scholar] [CrossRef]
  13. Materon, E.M.; Miyazaki, C.M.; Carr, O.; Joshi, N.; Picciani, P.H.S.; Dalmaschio, C.J.; Davis, F.; Shimizu, F.M. Magnetic nanoparticles in biomedical applications: A review. Appl. Surf. Sci. Adv. 2021, 6, 100163. [Google Scholar] [CrossRef]
  14. Nlebedim, I.C.; Snyder, J.E.; Moses, A.J.; Jiles, D.C. Dependence of the magnetic and magnetoelastic properties of cobalt ferrite on processing parameters. J. Magn. Magn. Mater. 2010, 322, 3938–3942. [Google Scholar] [CrossRef]
  15. Muhammad, A.; Sato-Turtelli, R.; Kriegisch, M.; Grössinger, R.; Kubel, F.; Konegger, T. Large enhancement of magnetostriction due to compaction hydrostatic pressure and magnetic annealing in CoFe2O4. J. App. Phys. 2012, 111, 013918. [Google Scholar] [CrossRef]
  16. Köseoğlu, Y.; Alan, F.; Tan, M.; Yilgin, R.; Öztürk, M. Low temperature hydrothermal synthesis and characterization of Mn doped cobalt ferrite nanoparticles. Ceram. Int. 2012, 38, 3625–3634. [Google Scholar] [CrossRef]
  17. Thakur, P.; Gahlawat, N.; Punia, P.; Kharbanda, S.; Ravelo, B.; Thakur, A. Cobalt Nanoferrites: A Review on Synthesis, Characterization, and Applications. J. Supercond. Nov. Magn. 2022, 35, 2639–2669. [Google Scholar] [CrossRef]
  18. Muniz, E.P.; de Assunção, L.S.; de Souza, L.M.; Ribeiro, J.J.; Marques, W.P.; Pereira, R.D.; Porto, P.S.; Proveti, J.R.C.; Passamani, E.C. On cobalt ferrite production by sol-gel from orange fruit residue by three related procedures and its application in oil removal. J. Clean. Prod. 2020, 265, 121712. [Google Scholar] [CrossRef]
  19. Sagayaraj, R.; Aravazhi, S.; Chandrasekaran, G. Review on structural and magnetic properties of (Co–Zn) ferritenanoparticles. Int. Nano Lett. 2021, 11, 307–319. [Google Scholar] [CrossRef]
  20. Krishna, V.D.; Wu, K.; Perez, A.M.; Wang, J.P. Giant magnetoresistance-based biosensor for detection of influenza A virus. Front. Microbiol. 2016, 7, 400. [Google Scholar] [CrossRef]
  21. Xi, G.; Xi, Y. Effects on magnetic properties of different metal ions substitution cobalt ferrite synthesis by sol-gel auto-combustion route using used batteries. Mater. Lett. 2016, 164, 444–448. [Google Scholar] [CrossRef]
  22. Nayeem, F.; Parveez, A.; Chaudhuri, A.; Sinha, R.; Khader, S.A. Effect of Zn+2 doping on structural, dielectric and electrical properties of cobalt ferrite prepared by auto combustion method. Mater. Today Proc. 2017, 4, 12138–12143. [Google Scholar] [CrossRef]
  23. Srinivasan, Y.S.; Kishore, M.; Paknikar, K.M.; Bodas, D.; Gajbhiye, V. Applications of cobalt ferrite nanoparticles in biomedical nanotechnology. Nanomedicine 2018, 13, 1221–1238. [Google Scholar] [CrossRef]
  24. Kazemi, M.; Ghobadi, M.; Mirzaie, A. Cobalt ferrite nanoparticles (CoFe2O4 MNPs) as catalyst and support: Magnetically recoverable nanocatalysts in organic synthesis. Nanotechnol. Rev. 2018, 7, 43–68. [Google Scholar] [CrossRef]
  25. Tatarchuk, T.R.; Paliychuk, N.D.; Bououdina, M.; Al-Najar, B.; Pacia, M.; Macyk, W.; Shyichuk, A. Effect of cobalt substitution on structural, elastic, magnetic and optical properties of zinc ferrite nanoparticles. J. Alloys Comp. 2018, 731, 1256–1266. [Google Scholar] [CrossRef]
  26. Madhukara Naik, M.; Bhojya Naik, H.S.; Nagaraju, G.; Vinuth, M.; Vinu, K.; Viswanath, R. Green synthesis of zinc doped cobalt ferrite nanoparticles: Structural, optical, photocatalytic and antibacterial studies. Nano-Struct. Nano-Objects 2019, 19, 100322. [Google Scholar] [CrossRef]
  27. Chakradhary, V.K.; Ansari, A.; Jaleel Akhtar, M. Design, synthesis and testing of high coercivity cobalt doped nickel ferrite nanoparticles for magnetic applications. J. Magn. Magn. Mater. 2019, 469, 674–680. [Google Scholar] [CrossRef]
  28. Tamboli, Q.Y.; Patange, S.M.; Mohanta, Y.K.; Sharma, R.; Zakde, K.R. Green synthesis of cobalt ferrite nanoparticles: An emerging material for environmental and biomedical applications. J. Nanomater. 2023, 9770212, 15. [Google Scholar] [CrossRef]
  29. Mmelesi, O.K.; Masunga, N.; Kuvarega, A.; Nkambule, T.T.; Mamba, B.B.; Kefeni, K.K. Cobalt ferrite nanoparticles and nanocomposites: Photocatalytic antimicrobial activity and toxicity in water treatment. Mater. Sci. Semicond. Process 2021, 123, 105523. [Google Scholar] [CrossRef]
  30. Besenhard, M.O.; Panariello, L.; Kiefer, C.; LaGrow, A.P.; Storozhuk, L.; Perton, F.; Begin, S.; Mertz, D.; Thanh, N.T.K.; Gavriilidis, A. Small iron oxide nanoparticles as MRI T1 contrast agent: Scalable inexpensive water-based synthesis using a flow reactor. Nanoscale 2021, 13, 8795–8805. [Google Scholar] [CrossRef]
  31. Dippong, T.; Levei, E.A.; Cadar, O. Recent Advances in Synthesis and Applications of MFe2O4 (M = Co, Cu, Mn, Ni, Zn) Nanoparticles. Nanomaterials 2021, 11, 1560. [Google Scholar] [CrossRef]
  32. Bortnic, R.; Szatmari, A.; Souca, G.; Hirian, R.; Dudric, R.; Barbu-Tudoran, L.; Toma, V.; Tetean, R.; Burzo, E. New Insights into the Magnetic Properties of CoFe2O4@SiO2@Au Magnetoplasmonic Nanoparticles. Nanomaterials 2022, 12, 942. [Google Scholar] [CrossRef]
  33. Burzo, E.; Tetean, R. New insights on the Spin Glass Behavior in Ferrites Nanoparticles. Nanomaterials 2022, 12, 1782. [Google Scholar] [CrossRef]
  34. Szatmari, A.; Bortnic, R.; Souca, G.; Hirian, R.; Barbu-Tudoran, L.; Nekvapil, F.; Iacovita, C.; Burzo, E.; Dudric, R.; Tetean, R. The Influence of Zn Substitution on Physical Properties of CoFe2O4 Nanoparticles. Nanomaterials 2022, 13, 189. [Google Scholar] [CrossRef]
  35. Szatmari, A.; Bortnic, R.; Atanasov, R.; Barbu-Tudoran, L.; Nekvapil, F.; Dudric, R.; Tetean, R. Enhanced Magnetic Properties of Co1−xMnxFe2O4 Nanoparticles. Appl. Sci. 2024, 15, 290. [Google Scholar] [CrossRef]
  36. Bortnic, R.; Szatmari, A.; Dragoiu, T.; Hategan, R.G.; Atanasov, R.; Barbu-Tudoran, L.; Tiusan, C.; Lucacel-Ciceo, R.; Dudric, R.; Tetean, R. The Influence of Light Rare-Earth Substitution on Electronic and Magnetic Properties of CoFe2O4 Nanoparticles. Nanomaterials 2025, 15, 1152. [Google Scholar] [CrossRef] [PubMed]
  37. Szatmari, A.; Bortnic, R.; Dragoiu, T.; Hategan, R.G.; Barbu-Tudoran, L.; Tiusan, C.; Lucacel-Ciceo, R.; Dudric, R.; Tetean, R. XPS on Co0.95R0.05Fe2O4 Nanoparticles with R = Gd or Ho. Appl. Sci. 2025, 15, 8313. [Google Scholar] [CrossRef]
  38. Liu, S.; Tao, D.; Zhang, L. Cellulose scaffold: A green template for the controlling synthesis of magnetic inorganic nanoparticles. Powder Technol. 2012, 217, 502–509. [Google Scholar] [CrossRef]
  39. Jabbar, R. Green synthesis of cobalt ferrite nanoparticles: From fundamentals to advanced applications. Next Mater. 2025, 9, 101327. [Google Scholar] [CrossRef]
  40. Hermosa, G.C.; Liao, C.S.; Wu, H.S.; Wang, S.F.; Liu, T.Y.; Jeng, K.S.; Lin, S.S.; Chang, C.F.; Sun, A.A. Green Synthesis of Magnetic Ferrites (Fe3O4, CoFe2O4, and NiFe2O4) Stabilized by Aloe Vera Extract for Cancer Hyperthermia Activities. IEEE Trans. Magn. 2022, 58, 5400307. [Google Scholar] [CrossRef]
  41. Bortnic, R.; Goga, F.; Mesaros, A.; Nasui, M.; Vasile, B.S.; Roxana, D.; Avram, A. Synthesis of Cobalt Ferrite Nanoparticles Via a Sol-Gel Combustion Method. Stud. Ubb Chem. 2016, 4, 213–222. [Google Scholar]
  42. Cannas, C.; Musinu, A.; Peddis, D.; Piccaluga, G. Synthesis and characterization of CoFe2O4 nanoparticles dispersed in a silica matrix by a sol-gel autocombustion method. Chem. Mater. 2006, 18, 3835–3842. [Google Scholar] [CrossRef]
  43. Shi, M.; Zuo, R.; Xu, Y.; Jiang, Y.; Yu, G.; Su, H.; Zhong, J. Preparation and characterization of CoFe2O4 powders and films via the sol-gel method. J. Alloys Compd. 2012, 512, 165–170. [Google Scholar] [CrossRef]
  44. Nabiyouni, G.; Sharifi, S.; Ghanbari, D.; Salavati-Niasari, M. A simple precipitation method for synthesis CoFe2O4 nanoparticles. J. Nano Struct. 2014, 4, 317–323. [Google Scholar] [CrossRef]
  45. Sharifi, I.; Shokrollahi, H.; Mahdi, M.; Safi, R. Magnetic and structural studies on CoFe2O4 nanoparticles synthesized by co-precipitation, normal micelles and reverse micelles methods. J. Magn. Magn. Mater. 2012, 324, 1854–1861. [Google Scholar] [CrossRef]
  46. Laokul, P.; Arthan, S.; Maensiri, S.; Swatsitang, E. Magnetic and Optical Properties of CoFe2O4 Nanoparticles Synthesized by Reverse Micelle Microemulsion Method. J. Supercond. Nov. Magn. 2015, 28, 2483–2489. [Google Scholar] [CrossRef]
  47. Moosavi, S.; Zakaria, S.; Chia, C.H.; Gan, S.; Azahari, N.A.; Kaco, H. Hydrothermal synthesis, magnetic properties and characterization of CoFe2O4 nanocrystals. Ceram. Int. 2017, 43, 7889–7894. [Google Scholar] [CrossRef]
  48. Rahimi, Z.; Sarafraz, H.; Alahyarizadeh, G.; Shirani, A.S. Hydrothermal synthesis of magnetic CoFe2O4 nanoparticles and CoFe2O4/MWCNTs nanocomposites for U and Pb removal from aqueous solutions. J. Radioanal. Nucl. Chem. 2018, 317, 431–442. [Google Scholar] [CrossRef]
  49. Zhang, F.; Su, R.L.; Shi, L.Z.; Liu, Y.; Chen, Y.N.; Wang, Z.J. Hydrothermal synthesis of CoFe2O4 nanoparticles and their magnetic properties. Adv. Mater. Res. 2013, 821–822, 1358–1361. [Google Scholar] [CrossRef]
  50. Rahardjo, D.T.; Suharno, S.B.; Iriani, Y.; Supriyanto, A.; Purnama, B. Temperature sintering dependence of crystalline structure in cobalt ferrite prepared by the sol–gel auto–combustion procedure. J. Phys. Conf. Ser. 2021, 1951, 012026. [Google Scholar] [CrossRef]
  51. Mahu, E.; Samoila, P.; Ignat, M.; Cojocaru, C.; Harabagiu, V. Influence of fuel nature on sol–gel microwave–ignited combustion synthesis of nanosized cobalt and nickel spinel ferrites. Comptes Rendus. Chim. 2022, 25, 189–202. [Google Scholar] [CrossRef]
  52. Hashemi, S.M.; Ataollahi, Z.; Hasani, S.; Seifoddini, A. Synthesis of the cobalt ferrite magnetic nanoparticles by sol–gel auto–combustion method in the presence of egg White (albumin). J. Sol. Gel Sci. Technol. 2023, 106, 23–36. [Google Scholar] [CrossRef]
  53. Jhala, I.; Baraliya, J.D.; Ajudiya, S.R.; Bardapurkar, P.; Barde, N.; Shah, N.; Solanki, P.; Tanna, A.R.; Joshi, H. Structural and magnetic properties of cobalt ferrite nanoparticles synthesized by auto–combustion sol–gel method. Next Mater. 2025, 9, 101120. [Google Scholar] [CrossRef]
  54. Kushwaha, P.; Chauhan, P. Facile Green synthesis of CoFe2O4 nanoparticles using hibiscus extract and their application in humidity sensing properties. Inorg. NanoMet. Chem. 2023, 53, 664–671. [Google Scholar] [CrossRef]
  55. Denisova, K.; Ilyin, A.A.; Rumyantsev, R.; Sakharova, J.; Ilyin, A.P.; Gordina, N. Low-Temperature Synthesis and Catalytic Activity of Cobalt Ferrite in Nitrous Oxide (N2O) Decomposition Reaction. Catalysts 2021, 11, 889. [Google Scholar] [CrossRef]
  56. Samoila, P.; Cojocaru, C.; Simionescu, M.; Sacarescu, G.; Roman, G.; Enache, A.-C.; Sacarescu, L. Cobalt Ferrite Particles Produced by Sol-Gel Autocombustion and Embedded in Polysilane: An Innovative Route to Magnetically-Induced Fluorescence Composites. Molecules 2022, 27, 6393. [Google Scholar] [CrossRef]
  57. Nha, T.T.N.; Prakash, S.H.; Mohana Roopan, S.; Samuel, J.J.; Toan, D.N.; Khan, D.T.; Bich, D.D.; Thanh, T.D.; Ngan, L.T.T.; Manh, D.H.; et al. Microwave-assisted co-precipitation synthesis of MFe2O4 nanoferrites (M = Co and Mn) using biogenic coir extract and their physical characterization. RSC Adv. 2025, 15, 29571–29592. [Google Scholar] [CrossRef]
  58. Wang, J.; He, X.; Xue, X.; Liu, Z.; Feng, Y.; Cui, Z.; Wang, Y. Microwave Hydrothermal Synthesis of Nanoscale CoFe2O4 and Regulation of Its Morphology and Properties. Nanomaterials 2026, 16, 348. [Google Scholar] [CrossRef] [PubMed]
  59. Tran, G.T.; Nguyen, L.M.; Nguyen, T.T.T.; Nguyen, D.H.; Tran, T.V. Recent developments in the bio-mediated synthesis of CoFe2O4 nanoparticles using plant extracts for environmental and biomedical applications. Nanoscale Adv. 2024, 6, 5285–5300. [Google Scholar] [CrossRef] [PubMed]
  60. Thang, P.D.; Rijnders, G.; Blank, D.H.A. Spinel cobalt ferrite by complexometric synthesis. J. Magn. Magn. Mater. 2005, 295, 251–256. [Google Scholar] [CrossRef]
  61. Koczkur, K.M.; Mourdikoudis, S.; Polavarapu, L.; Skrabalak, S.E. Polyvinylpyrrolidone (PVP) in nanoparticle synthesis. Dalt. Trans. 2015, 44, 17883–17905. [Google Scholar] [CrossRef]
  62. Rietveld, H.M. A Profile Refinement Method for Nuclear and Magnetic Structures. J. Appl. Crystallogr. 1969, 2, 65–71. [Google Scholar] [CrossRef]
  63. Scherrer, P. Nachrichten von der Gesellschaft der Wissenschaften zu Göttingen, Mathematisch-Physikalische Klasse; Weidmanndsche Buchhandlung: Hildesheim, Germany, 1918; p. 98. [Google Scholar]
  64. Holzwarth, U.; Gibson, N. The Scherrer equation versus the ‘Debye-Scherrer equation’. Nat. Nanotech 2011, 6, 534. [Google Scholar] [CrossRef] [PubMed]
  65. ImageJ. Available online: https://imagej.nih.gov/ij/ (accessed on 1 April 2026).
  66. Song, Y.; Wang, R.; Rong, R.; Ding, J.; Liu, J.; Li, R.; Liu, Z.; Li, H.; Wang, X.; Zhang, J.; et al. Synthesis of Well-Dispersed Aqueous-Phase Magnetite Nanoparticles and Their Metabolism as an MRI Contrast Agent for the Reticuloendothelial System. Eur. J. Inorg. Chem. 2011, 2011, 3303–3313. [Google Scholar] [CrossRef]
  67. Zhang, K.; Zuo, W.; Wang, Z.; Liu, J.; Li, T.; Wang, B.; Yang, Z. A simple route to CoFe2O4 nanoparticles with shape and size control and their tunable peroxidase-like activity. RSC Adv. 2015, 5, 10632. [Google Scholar] [CrossRef]
  68. Kumar, Y.; Sharma, A.; Shirage, P.M. Shape-controlled CoFe2O4 nanoparticles as an excellent material for humidity sensing. RSC Adv. 2017, 7, 55778. [Google Scholar] [CrossRef]
  69. Zhu, T.; Chang, S.; Song, Y.-F.; Lahoubi, M.; Wang, W. PVP-encapsulated CoFe2O4/rGO composites with controllable electromagnetic wave absorption performance. Chem. Eng. J. 2019, 373, 755–766. [Google Scholar] [CrossRef]
  70. Wang, K.; Zuo, R.; Zhu, S.; Zhang, W.; Fang, J. Rapid Synthesis of Aqueous-Phase Magnetite Nanoparticles by Atmospheric Pressure Non-Thermal Microplasma and their Application in Magnetic Resonance Imaging. Plasma Process. Polym. 2014, 11, 448–454. [Google Scholar] [CrossRef]
  71. Abbas, Y.; Mansour, S.; Ibrahim, M.; Ali, S.E. Microstructure characterization and cation distribution of nanocrystalline cobalt ferrite. J. Magn. Magn. Mater. 2011, 323, 2748–2756. [Google Scholar] [CrossRef]
  72. Karaagak, O.; Yildiz, B.B.; Köçkar, H. The influence of synthesis parameters on one-step synthesized superparamagnetic cobalt ferrite nanoparticles with high saturation magnetization. J. Magn. Magn. Mater. 2019, 473, 262–267. [Google Scholar] [CrossRef]
  73. van Lierop, J.; Ryan, D.H. Mössbauer Spectra of Ferrofluids Characterized Using a Many State Relaxation Model for Superparamagnets. J. Appl. Phys. 2000, 87, 6277–6279. [Google Scholar] [CrossRef]
  74. Iacovita, C.; Stiufiuc, G.F.; Dudric, R.; Vedeanu, N.; Tetean, R.; Stiufiuc, R.I.; Lucaciu, C.M. Saturation of Specific Absorption Rate for Soft and Hard Spinel Ferrite Nanoparticles Synthesized by Polyol Process. Magnetochemistry 2020, 6, 23. [Google Scholar] [CrossRef]
  75. Kumar, L.; Kar, M. Effect of Annealing Temperature and Preparation Condition on Magnetic Anisotropy in Nanocrystalline Cobalt Ferrite. IEEE Trans. Magn. 2011, 47, 3645–3648. [Google Scholar] [CrossRef]
  76. Kurtan, U.; Topkaya, R.; Baykal, A.; Toprak, M.S. Temperature Dependent Magnetic Properties of CoFe2O4/CTAB Nanocomposite Synthesized by Sol–Gel Auto-Combustion Technique. Ceram. Int. 2013, 39, 6551–6558. [Google Scholar] [CrossRef]
Figure 1. X-ray diffraction patterns of the CoFe2O4 samples (a). Typical Rietveld refined XRD pattern of the sample CF 3 (b).
Figure 1. X-ray diffraction patterns of the CoFe2O4 samples (a). Typical Rietveld refined XRD pattern of the sample CF 3 (b).
Applsci 16 03547 g001
Figure 2. TEM images of the CoFe2O4 samples obtained using hydrothermal and Ethylene glycol as solvents.
Figure 2. TEM images of the CoFe2O4 samples obtained using hydrothermal and Ethylene glycol as solvents.
Applsci 16 03547 g002aApplsci 16 03547 g002b
Figure 3. TEM images of the CoFe2O4 samples obtained by using hydrothermal and Triethylene glycol as solvents. Red arrows are used to strengthen the nanoparticle shapes.
Figure 3. TEM images of the CoFe2O4 samples obtained by using hydrothermal and Triethylene glycol as solvents. Red arrows are used to strengthen the nanoparticle shapes.
Applsci 16 03547 g003aApplsci 16 03547 g003b
Figure 4. Magnetization isotherms for the CF5 and CF6 samples measured at 300 K.
Figure 4. Magnetization isotherms for the CF5 and CF6 samples measured at 300 K.
Applsci 16 03547 g004
Figure 5. Temperature dependences of ZFC and FC curves.
Figure 5. Temperature dependences of ZFC and FC curves.
Applsci 16 03547 g005
Figure 6. Hysteresis loops for the CF3 sample measured at 300 K (left) zoom in order to see the coercive field (right). Hysteresis loops for crystalline CoFe2O4 as a reference are also shown.
Figure 6. Hysteresis loops for the CF3 sample measured at 300 K (left) zoom in order to see the coercive field (right). Hysteresis loops for crystalline CoFe2O4 as a reference are also shown.
Applsci 16 03547 g006
Figure 7. Hysteresis loops for CF5 and CF6 samples (left), respectively. CF7 sample (right) measured at 300 K.
Figure 7. Hysteresis loops for CF5 and CF6 samples (left), respectively. CF7 sample (right) measured at 300 K.
Applsci 16 03547 g007
Table 1. Sample IDs, used solvents, and PVP molecular masses.
Table 1. Sample IDs, used solvents, and PVP molecular masses.
Sample IDSolventPVP (g/mol)
CF1Ethylene glycol10,000
CF2Ethylene glycol58,000
CF3Ethylene glycol250,000
CF4Triethylene glycol40,000
CF5Triethylene glycol58,000
CF6Triethylene glycol360,000
CF7Triethylene glycol
(atmospheric pressure)
-
Table 2. Lattice parameters and average crystallite sizes estimated using the Scherrer formula.
Table 2. Lattice parameters and average crystallite sizes estimated using the Scherrer formula.
Sample IDa (Å)d (nm)
CF18.390(6)19 ± 1
CF28.397(5)22 ± 1
CF38.395(1)19 ± 1
CF48.388(7)19 ± 1
CF53.400(5)14 ± 1
CF68.391(6)15 ± 1
CF78.405(6)5 ± 1
Table 3. Average particle and crystallite size calculated using IMAGEJ software.
Table 3. Average particle and crystallite size calculated using IMAGEJ software.
Sample
ID
Average Raspberry Like
Nanoparticle Size
[nm]
Standard
Deviation
(nm)
Average
Nanoparticle Size
[nm]
Standard Deviation (nm)
CF114134153
CF213427193
CF310723142
CF4--203
CF5--143
CF6--153
CF7--61
Table 4. Saturation magnetization, coercive field, anisotropy constant, XRD and TEM average nanoparticle diameters, and calculated blocking temperatures for CoFe2O4 samples.
Table 4. Saturation magnetization, coercive field, anisotropy constant, XRD and TEM average nanoparticle diameters, and calculated blocking temperatures for CoFe2O4 samples.
Sample
ID
Ms (emu/g)µ0Hc
(T)
K (kJ/m3)TEMXRD
d (nm)TB (K)d (nm)TB (K)
CF361.89 ± 0.010.030 ± 0.0019.8 ± 0.414 ± 241 ± 819 ± 1100 ± 9
CF555.46 ± 0.010.025 ± 0.0017.3 ± 0.414 ± 330 ± 814 ± 130 ± 4
CF655.70 ± 0.010.025 ± 0.0017.4 ± 0.415 ± 337 ± 915 ± 137 ± 5
Disclaimer/Publisher’s Note: The statements, opinions and data contained in all publications are solely those of the individual author(s) and contributor(s) and not of MDPI and/or the editor(s). MDPI and/or the editor(s) disclaim responsibility for any injury to people or property resulting from any ideas, methods, instructions or products referred to in the content.

Share and Cite

MDPI and ACS Style

Bortnic, R.; Szilárd, T.; Szatmári, Á.; Hirian, R.; Știufiuc, R.I.; Moldovan, A.-I.; Dudric, R.; Tetean, R. Synthesis and Characterization of Size- and Shape-Controlled CoFe2O4 Nanoparticles via Polyvinylpyrrolidone (PVP)-Assisted Hydrothermal Synthesis. Appl. Sci. 2026, 16, 3547. https://doi.org/10.3390/app16073547

AMA Style

Bortnic R, Szilárd T, Szatmári Á, Hirian R, Știufiuc RI, Moldovan A-I, Dudric R, Tetean R. Synthesis and Characterization of Size- and Shape-Controlled CoFe2O4 Nanoparticles via Polyvinylpyrrolidone (PVP)-Assisted Hydrothermal Synthesis. Applied Sciences. 2026; 16(7):3547. https://doi.org/10.3390/app16073547

Chicago/Turabian Style

Bortnic, Rareș, Tamás Szilárd, Ádám Szatmári, Razvan Hirian, Rareș Ionuț Știufiuc, Alin-Iulian Moldovan, Roxana Dudric, and Romulus Tetean. 2026. "Synthesis and Characterization of Size- and Shape-Controlled CoFe2O4 Nanoparticles via Polyvinylpyrrolidone (PVP)-Assisted Hydrothermal Synthesis" Applied Sciences 16, no. 7: 3547. https://doi.org/10.3390/app16073547

APA Style

Bortnic, R., Szilárd, T., Szatmári, Á., Hirian, R., Știufiuc, R. I., Moldovan, A.-I., Dudric, R., & Tetean, R. (2026). Synthesis and Characterization of Size- and Shape-Controlled CoFe2O4 Nanoparticles via Polyvinylpyrrolidone (PVP)-Assisted Hydrothermal Synthesis. Applied Sciences, 16(7), 3547. https://doi.org/10.3390/app16073547

Note that from the first issue of 2016, this journal uses article numbers instead of page numbers. See further details here.

Article Metrics

Back to TopTop