A Decision-Making Model for Green and Sustainable Remediation of Contaminated Sites Based on CRITIC–Entropy–TOPSIS
Abstract
1. Introduction
2. Materials and Methods
2.1. Development of the Evaluation Indicator System and Quantification Methods
2.2. Combined Weighting Using the CRITIC-Entropy Method
- Data Preprocessing
- 2.
- Calculating Objective Weights Using the CRITIC Method
- 3.
- Calculating Weights Using the Entropy Method
- 4.
- Calculating Combined Weights
2.3. Alternative Ranking Using the TOPSIS Method
- Construct the weighted normalized decision matrix: Multiply the standardized data by the weight (which will be for the baseline scenario or the scenario-adjusted coefficient for specific scenarios, see Section 2.2) to obtain
- Determine the Ideal Solution and the Negative-Ideal Solution for each indicator:
- Calculate the weighted Euclidean distances and of each alternative from the ideal and negative-ideal solutions:
- Calculate the relative closeness for each alternative:A larger value indicates a better alternative.
2.4. Scenario Analysis Based on Decision Preferences
3. Case Study and Results
3.1. Site Description and Remediation Alternatives
3.1.1. Site Description
3.1.2. Remediation Alternatives
3.2. Data Inventory and Calculation Methods
3.3. Results and Analysis
3.3.1. GSR Alternative Decision-Making Model Comparison Results
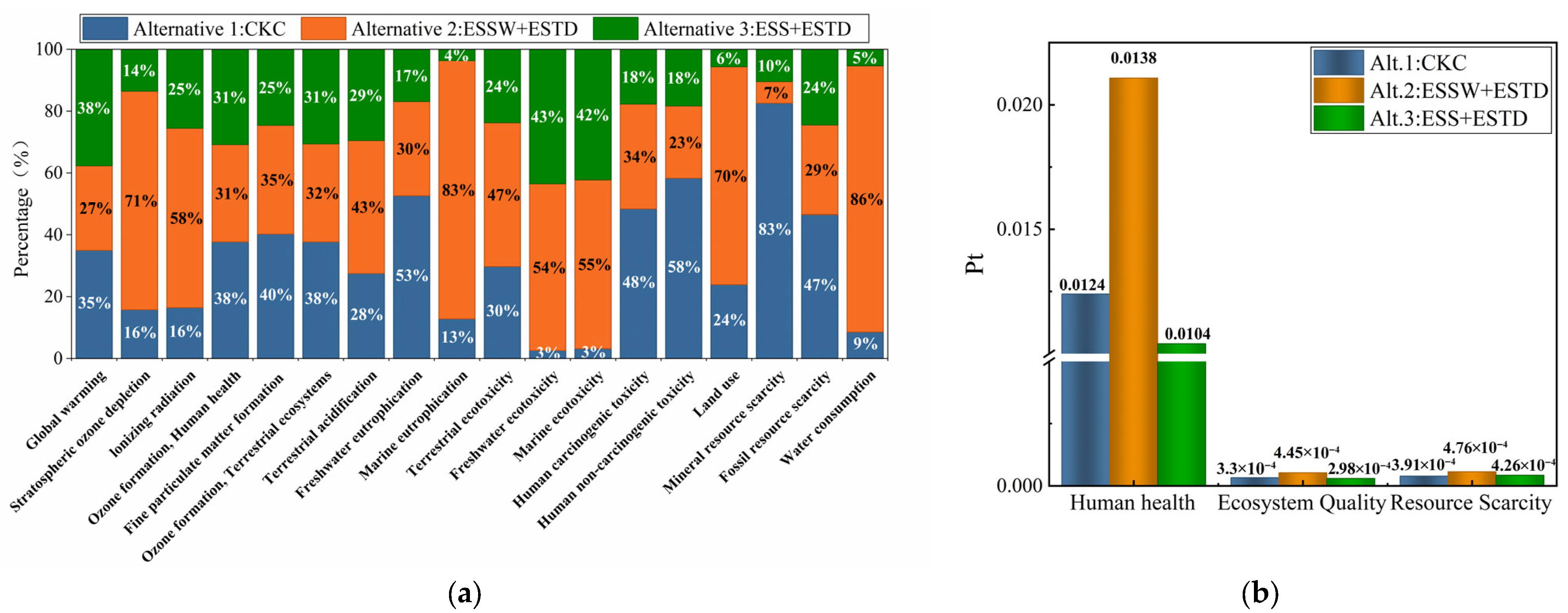
3.3.2. Life Cycle Assessment Results
3.3.3. Carbon Footprint Analysis and Carbon Emission Reduction Pathways
3.4. Uncertainty and Sensitivity Analysis
3.4.1. Uncertainty Analysis
3.4.2. Sensitivity Analysis of Preference Coefficients
4. Discussion and Conclusions
Author Contributions
Funding
Institutional Review Board Statement
Informed Consent Statement
Data Availability Statement
Conflicts of Interest
References
- Hou, D.; Al-Tabbaa, A.; O’Connor, D.; Hu, Q.; Zhu, Y.; Wang, L.; Kirkwood, N.; Ok, Y.; Tsang, D.; Bolan, N.; et al. Sustainable remediation and redevelopment of brownfield sites. Nat. Rev. Earth Environ. 2023, 4, 271–286. [Google Scholar] [CrossRef]
- Li, Y.; Jia, S.; Liu, J. Solidification, remediation and long-term stability of heavy metal contaminated soil under the background of sustainable development. Sci. Rep. 2022, 12, 16. [Google Scholar] [CrossRef]
- Yang, Z.; Wang, Q.; Wei, C.; Zhang, Z.; Tang, Z.; Li, Y.; Luo, G.; Coulon, F.; Fan, L.; Song, X. Quantitative sustainability assessment of in situ thermally enhanced bioremediation for carbon efficient groundwater remediation. Sustain. Prod. Consump. 2026, 63, 19–33. [Google Scholar] [CrossRef]
- Hou, D.; O’Connor, D. Green and sustainable remediation: Concepts, principles, and pertaining research. In Sustainable Remediation of Contaminated Soil and Groundwater; Elsevier: Amsterdam, The Netherlands, 2020; pp. 1–17. [Google Scholar]
- Lee, H.; Sam, K.; Coulon, F.; De Gisi, S.; Notarnicola, M.; Labianca, C. Recent developments and prospects of sustainable remediation treatments for major contaminants in soil: A review. Sci. Total Environ. 2024, 912, 16. [Google Scholar] [CrossRef]
- Xiao, M.; Zhang, H.; Li, X.; Zhang, C.; Zhu, M.; Dong, J.; Meng, H.; Liu, P.; Deng, J.; Shi, H.; et al. Coupling life cycle assessment with social media-based matrices for multidimensional sustainability assessment of site remediation. Resour. Conserv. Recycl. 2026, 228, 14. [Google Scholar] [CrossRef]
- Xiao, M.; Li, X.; Seuntjens, P.; Sharifi, M.; Mao, D.; Dong, J.; Yang, X.; Zhang, H. Qualitative and quantitative simulation of best management practices (BMPs) for contaminated megasite remediation using the SiteWise™ tool. J. Environ. Manag. 2024, 360, 121098. [Google Scholar] [CrossRef]
- Sun, X.; Huang, H.; Wang, H.; Zhang, J.; Yang, Y. Discussion of problems in the process of large-scale contaminate sites remediation and project practice. J. Environ. Eng. Technol. 2020, 10, 883–890. [Google Scholar]
- Jin, Y.; Wang, L.; Song, Y.; Zhu, J.; Qin, M.; Wu, L.; Hu, P.; Li, F.; Fang, L.; Chen, C.; et al. Integrated Life Cycle Assessment for Sustainable Remediation of Contaminated Agricultural Soil in China. Environ. Sci. Technol. 2021, 55, 12032–12042. [Google Scholar] [CrossRef]
- Xiao, M.; Li, X.; Zhang, H.; Meng, H.; Dong, J. Environmental impact assessment and remediation decision-making of a contaminated megasite: Combining LCA and IO-LCA. J. Clean. Prod. 2024, 462, 12. [Google Scholar] [CrossRef]
- Li, F.; Fang, L.; Wu, F. A Roadmap for Sustainable Agricultural Soil Remediation Under China’s Carbon Neutrality Vision. Engineering 2023, 25, 28–31. [Google Scholar] [CrossRef]
- Xu, Y.; Wang, L.; Li, K.; Wei, L.; Chen, C.; Xiang, L.; Cai, J.; Wang, Z. Multi-tier life cycle assessment for evaluating low carbon strategies in soil remediation. Environ. Impact Assess. Rev. 2024, 106, 9. [Google Scholar] [CrossRef]
- Vocciante, M.; de Folly D’Auris, A.; Franchi, E.; Petruzzelli, G.; Ferro, S. CO2 footprint analysis of consolidated and innovative technologies in remediation activities. J. Clean. Prod. 2021, 297, 126723. [Google Scholar] [CrossRef]
- Huysegoms, L.; Cappuyns, V. Critical review of decision support tools for sustainability assessment of site remediation options. J. Environ. Manag. 2017, 196, 278–296. [Google Scholar] [CrossRef]
- Colapinto, C.; Jayaraman, R.; Ben Abdelaziz, F.; La Torre, D. Environmental sustainability and multifaceted development: Multi-criteria decision models with applications. Ann. Oper. Res. 2020, 293, 405–432. [Google Scholar] [CrossRef]
- Labianca, C.; De Gisi, S.; Todaro, F.; Wang, L.; Tsang, D.; Notarnicola, M. A holistic DPSIR-based approach to the remediation of heavily contaminated coastal areas*. Environ. Pollut. 2021, 284, 13. [Google Scholar] [CrossRef]
- Liu, X.; Jin, P.; Yang, Z.; Wei, C.; Bardos, P.; Ding, D.; Zhang, Z.; Song, X. An evaluation approach integrating remedial duration for sustainable mega-site remediation in China. Pedosphere 2025, 35, 1026–1038. [Google Scholar] [CrossRef]
- An, D.; Xi, B.; Ren, J.; Wang, Y.; Jia, X.; He, C.; Li, Z. Sustainability assessment of groundwater remediation technologies based on multi-criteria decision making method. Resour. Conserv. Recycl. 2017, 119, 36–46. [Google Scholar] [CrossRef]
- Priya, L.; Varghese, G.K. ‘Remediability Score’ as a tool for selecting the most suitable remediation technology for contaminated sites. Environ. Sci. Pollut. Res. 2024, 31, 8666–8676. [Google Scholar] [CrossRef]
- Li, Y.; Chen, R.; Yang, X.; Liu, X.; Zhu, G.; Hu, Q. A Quantitative Sustainability Assessment Framework for Contaminated Site Remediation: Integrating LCA, Economic Analysis, and Social Big Data. Water 2025, 17, 3416. [Google Scholar] [CrossRef]
- Liu, K.; Fang, L.; Li, F.; Hou, D.; Liu, C.; Song, Y.; Ran, Q.; Pang, Y.; Du, Y.; Yuan, Y.; et al. Sustainability assessment and carbon budget of chemical stabilization based multi-objective remediation of Cd contaminated paddy field. Sci. Total Environ. 2022, 819, 12. [Google Scholar] [CrossRef]
- Yang, Z.; Wei, C.; Song, X.; Liu, X.; Tang, Z.; Liu, P.; Wei, Y. Thermal conductive heating coupled with in situ chemical oxidation for soil and groundwater remediation: A quantitative assessment for sustainability. J. Clean. Prod. 2023, 423, 10. [Google Scholar] [CrossRef]
- Hu, G.; Liu, H.; Chen, C.; He, P.; Li, J.; Hou, H. Selection of green remediation alternatives for chemical industrial sites: An integrated life cycle assessment and fuzzy synthetic evaluation approach. Sci. Total Environ. 2022, 845, 12. [Google Scholar] [CrossRef]
- ISO 18504:2017(E); Soil Quality—Sustainable Remediation. International Organization for Standardization (ISO): Geneva, Switzerland, 2017.
- T/CAEPI 26-2020; Principles for Green and Sustainable Remediation. China Association of Environmental Protection Industry: Beijing, China, 2020.
- Liu, Z.; Li, X.; Yu, J.; Shi, H.; Wang, J.; Ma, F.; Gu, Q. Carbon emissions and reduction potential of ex-situ thermal desorption (ESTD) for contaminated sites based on actual projects in China. J. Clean. Prod. 2025, 507, 9. [Google Scholar] [CrossRef]
- Huijbregts, M.A.J.; Steinmann, Z.J.N.; Elshout, P.M.F.; Stam, G.; Verones, F.; Vieira, M.; Zijp, M.; Hollander, A.; van Zelm, R. ReCiPe2016: A harmonised life cycle impact assessment method at midpoint and endpoint level. Int. J. Life Cycle Assess. 2016, 22, 138–147. [Google Scholar] [CrossRef]
- Chen, C.; Zhang, X.; Chen, J.; Chen, F.; Li, J.; Chen, Y.; Hou, H.; Shi, F. Assessment of site contaminated soil remediation based on an input output life cycle assessment. J. Clean. Prod. 2020, 263, 10. [Google Scholar] [CrossRef]
- Krishnan, A.; Kasim, M.; Hamid, R.; Ghazali, M. A Modified CRITIC Method to Estimate the Objective Weights of Decision Criteria. Symmetry 2021, 13, 20. [Google Scholar] [CrossRef]
- Zhang, Z.; Li, J.; Bi, S.; Xu, X.; Lin, R. A comprehensive evaluation method for offshore wind system planning based on improved CRITIC entropy weight combination weighting method. Adv. Technol. Electr. Eng. Energy 2024, 43, 1–10. [Google Scholar]
- Chang, B.; Chen, L. Land Economic Efficiency and Improvement of Environmental Pollution in the Process of Sustainable Urbanization: Case of Eastern China. Land 2021, 10, 23. [Google Scholar] [CrossRef]
- Fu, W.; Chu, L. Research on the Evaluation of High Quality Development of Manufacturing Industry from the Perspective of Integration of the Yangtze River Delta—TOPSIS Evaluation Model Based on Improved CRITICAL-Entropy Weight Method. J. Ind. Technol. Econ. 2020, 39, 145–152. [Google Scholar]
- Malefaki, S.; Markatos, D.; Filippatos, A.; Pantelakis, S. A Comparative Analysis of Multi-Criteria Decision-Making Methods and Normalization Techniques in Holistic Sustainability Assessment for Engineering Applications. Aerospace 2025, 12, 24. [Google Scholar] [CrossRef]
- Pascoe, S. A Simplified Algorithm for Dealing with Inconsistencies Using the Analytic Hierarchy Process. Algorithms 2022, 15, 12. [Google Scholar] [CrossRef]
- Greco, S.; Slowinski, R.; Wallenius, J. Fifty years of multiple criteria decision analysis: From classical methods to robust ordinal regression. Eur. J. Oper. Res. 2025, 323, 351–377. [Google Scholar] [CrossRef]
- Wang, Y.; Liu, P.; Yao, Y. BMW-TOPSIS: A generalized TOPSIS model based on three-way decision. Inf. Sci. 2022, 607, 799–818. [Google Scholar] [CrossRef]
- Jeremi, L.; Mohammed, B.; Al-Yacouby, A.; Abbas, F. Optimizing sustainability in cement production: A combined LCA and TOPSIS approach for evaluating GGBS substitution and alternative energy strategies. Carbon Manag. 2026, 17, 22. [Google Scholar] [CrossRef]
- Xue, C.; Fang, Z. Path of carbon emission peaking and carbon neutrality in soil remediation industry. Environ. Eng. 2022, 40, 231–238. [Google Scholar]
- Xu, P.; Zhou, J.; Han, J.; Tian, Q.; Qu, C. Study on the Collaborative Disposal and Application of Organic and Heavy Metal Polluted Soil in Cement Kilns. J. Green Sci. Technol. 2023, 25, 188–193. [Google Scholar]
- Lai, X.; Tang, B.; Liu, Z.; Zhang, Y.; Cai, C. A case study on carbon emission characteristics of soil remediation using ex-situ soil washing technology in lead contaminated site. J. Environ. Eng. Technol. 2025, 15, 1522–1531. [Google Scholar]
- Liu, S.; Chen, P.; Song, H.; Chen, K.; Li, H. Carbon emissions and emission reduction strategy for remediation of contaminated soil by ex-situ thermal desorption in East China. Chin. J. Environ. Eng. 2022, 16, 2663–2671. [Google Scholar]
- Wang, G.; Li, Y.; Yang, S.; Sun, Z.; Liu, Y. Experimental Study on Washing of Arsenic-contaminated Soil with Different Washing Agents. Saf. Environ. Eng. 2021, 28, 182–187. [Google Scholar]
- Zhang, J.; Zhou, L.; Zhou, J.; Wu, W. Life cycle carbon footprint accounting and assessment of risk management and control technologies of typical contaminated sites. China Environ. Sci. 2025, 45, 2932–2940. [Google Scholar]
- Liang, T.; Huo, M.; Yu, L.; Wang, P.; Zheng, J.; Zhang, C.; Wang, D.; Ding, A.; Li, F. Life cycle assessment-based decision-making for thermal remediation of contaminated soil in a regional perspective. J. Clean. Prod. 2023, 392, 8. [Google Scholar] [CrossRef]
- NBS. China Statistical Yearbook; China Statistics Press: Beijing, China, 2025. [Google Scholar]
- Chinese Academy of Environmental Planning; Beijing Normal University; Sun Yat-sen University; China City Greenhouse Gas Working Group. China Products Carbon Footprint Factors Database (2022); Chinese Academy of Environmental Planning: Beijing, China, 2022. [Google Scholar]
- Zhang, X.; Xu, K. Statistical data-based prediction of carbon dioxide emission factors of China’s power generation at carbon peak in 2030. Case Stud. Therm. Eng. 2023, 51, 13. [Google Scholar] [CrossRef]
- Gao, M.; Tang, H.; Ma, Z.; Li, L.; Yu, S. Data-driven study on key factors for carbon reduction from contaminated soils at regional level—An example of cement kiln co-processing technology. J. Southeast Univ. (Nat. Sci. Ed.) 2025, 55, 903–911. [Google Scholar]
- Espada, J.; Rodriguez, R.; Gari, V.; Salcedo-Abraira, P.; Bautista, L. Coupling phytoremediation of Pb-contaminated soil and biomass energy production: A comparative Life Cycle Assessment. Sci. Total Environ. 2022, 840, 10. [Google Scholar] [CrossRef]
- Meng, H.; Dong, J.; Zhang, H.; Xiao, M.; Li, L. Calculation method and case analysis of carbon emissions for risk control and management of contaminated sites. China Environ. Sci. 2023, 43, 368–375. [Google Scholar]








| Dimension | Indicator | Indicator Type | Unit | Quantification Method/Data Source |
|---|---|---|---|---|
| Environment | Carbon Footprint | Cost | kg CO2-eq/m3 | Emission Factor Method |
| Ecosystem Quality | Cost | DM 1 | LCA (ReCiPe 2016 endpoint) | |
| Resource Scarcity | Cost | DM 1 | LCA (ReCiPe 2016 endpoint) | |
| Social | Human Health | Cost | DM 1 | LCA (ReCiPe 2016 endpoint) |
| Employment | Benefit | Person/m3 | IO-LCA | |
| Economic | Economic Output | Benefit | 104 CNY/m3 | IO-LCA |
| Remediation Cost | Cost | CNY/m3 | Engineering Budget | |
| Remediation Duration | Cost | day | Construction Organization Design |
| Remediation Alternative | Remediation Technology | Contaminant Type | Treatment Volume (104 m3) | Unit Cost (CNY/m3) | Total Cost (104 CNY) | Remediation Duration (Days) |
|---|---|---|---|---|---|---|
| Alt. 1 | CKC | Heavy metal contamination | 3.33 | 1150 | 3832 | 90 |
| CKC | Organic contamination | 2.73 | 1150 | 3138 | 80 | |
| CKC | Co-contamination | 0.64 | 1150 | 739 | 25 | |
| Subtotal for Alt. 1 | 6.70 | 7709 | 195 | |||
| Alt. 2 | ESSW | Heavy metal contamination | 3.33 | 1000 | 3330 | 60 |
| ESTD | Organic contamination | 2.73 | 1200 | 3276 | 90 | |
| ESSW + ESTD | Co-contamination | 0.64 | 1250 | 800 | 30 | |
| Subtotal for Alt. 2 | 6.70 | 7406 | 180 | |||
| Alt. 3 | ESS | Heavy metal contamination | 3.33 | 980 | 3263.4 | 60 |
| ESTD | Organic contamination | 2.73 | 1200 | 3276 | 90 | |
| ESS + ESTD | Co-contamination | 0.64 | 1400 | 896 | 35 | |
| Subtotal for Alt. 3 | 6.70 | 7435.4 | 185 | |||
| Subparts | Name | Unit | Alt. 1 [38,39,44] | Alt. 2 [40,41,42] | Alt. 3 [41,43] |
|---|---|---|---|---|---|
| Soil Excavation | Diesel | t | 9.85 | 9.85 | 9.85 |
| Electricity | Kwh | 1213.20 | 1213.20 | 1213.20 | |
| Water | t | 3970.47 | 3970.47 | 3970.47 | |
| Transportation | Soil Transport | tkm | 4.79 × 106 | 5.70 × 105 | 5.70 × 105 |
| Material and chemicals Transport | tkm | 5.93 × 105 | 5.15 × 104 | 3.55 × 105 | |
| Pretreatment | Diesel | t | 29.07 | 21.31 | 38.54 |
| Electricity | KWh | - | 3990.76 | - | |
| Quicklime | t | - | 20.22 | 20.22 | |
| Primary treatment | Diesel | t | 11.29 | 5.68 | 12.52 |
| Natural Gas | m3 | - | 1.18 × 106 | 1.18 × 106 | |
| Electricity | KWh | 4229.81 | 3.10 × 105 | 5.06 × 104 | |
| Coal | t | 7501.35 | - | - | |
| limestone | t | 9.70 × 104 | - | - | |
| Clay minerals | t | 1.08 × 104 | - | - | |
| Iron slag | t | 3327.70 | - | - | |
| EDTA | t | - | 198.96 | - | |
| Citric Acid | t | - | 389.44 | - | |
| Ferric Chloride | t | - | - | 131.69 | |
| Aluminum Sulfate | t | - | - | 553.02 | |
| Calcium Superphosphate | t | - | - | 823.56 | |
| Cement | t | - | - | 3603.60 | |
| Quicklime | t | - | - | 1801.80 | |
| Water | t | - | 3.00 × 105 | 1997.23 | |
| Exhaust Gas Treatment | Electricity | kWh | - | 8.43 × 104 | 8.43 × 104 |
| Activated Carbon | t | - | 3.30 | 3.30 | |
| Sodium Hydroxide | t | - | 168.54 | 168.54 | |
| Water | t | - | 6741.63 | 6741.63 | |
| Wastewater Treatment | Electricity | t | 7.77 × 104 | 1.12 × 105 | 352.20 |
| PAC | t | 2.01 | 226.34 | - | |
| PAM | t | - | 22.25 | - | |
| Sodium Sulfide | t | - | 22.25 | - | |
| Final Disposal | Diesel | t | 11.87 | 11.87 | 12.59 |
| Evaluation Indicators | Unit | Alt. 1: CKC | Alt. 2: ESSW + ESTD | Alt. 3: ESS + ESTD |
|---|---|---|---|---|
| Carbon Footprint | kg CO2-eq/m3 | 147.69 | 123.31 | 178.41 |
| Ecosystem Quality | DM | 0.000330 | 0.000445 | 0.000298 |
| Resource Scarcity | DM | 0.000391 | 0.000476 | 0.000426 |
| Human Health | DM | 0.0124 | 0.0138 | 0.0104 |
| Employment | Person/m3 | 0.000735 | 0.000370 | 0.000534 |
| Economic Output | 104 CNY/m3 | 0.872 | 0.532 | 0.651 |
| Remediation Cost 1 | CNY/m3 | 1150 | 1105 | 1110 |
| Remediation Duration | day | 195 | 180 | 185 |
| Evaluation Indicators | Scenario A | Scenario B | Scenario C | Scenario D |
|---|---|---|---|---|
| Carbon Footprint | 0.1275 | 0.1135 | 0.1033 | 0.2262 |
| Ecosystem Quality | 0.1118 | 0.0995 | 0.0905 | 0.0991 |
| Resource Scarcity | 0.1297 | 0.1155 | 0.1050 | 0.1150 |
| Human Health | 0.1231 | 0.2192 | 0.0997 | 0.1092 |
| Employment | 0.1317 | 0.1173 | 0.1067 | 0.1168 |
| Economic Output | 0.1414 | 0.1259 | 0.1145 | 0.1254 |
| Remediation Cost | 0.1179 | 0.1050 | 0.1909 | 0.1045 |
| Remediation Duration | 0.1169 | 0.1041 | 0.1893 | 0.1037 |
| Decision Scenario | Rank | Alt. 1: CKC | Alt. 2: ESSW + ESTD | Alt. 3: ESS + ESTD |
|---|---|---|---|---|
| Scenario A | Rank 1 | 77 | 1 | 22 |
| Rank 2 | 22 | 9 | 69 | |
| Rank 3 | 1 | 90 | 9 | |
| Scenario B | Rank 1 | 17 | 1 | 82 |
| Rank 2 | 66 | 17 | 17 | |
| Rank 3 | 17 | 82 | 1 | |
| Scenario C | Rank 1 | 1 | 29 | 70 |
| Rank 2 | 17 | 58 | 25 | |
| Rank 3 | 82 | 13 | 5 | |
| Scenario D | Rank 1 | 83 | 16 | 1 |
| Rank 2 | 15 | 66 | 19 | |
| Rank 3 | 2 | 18 | 80 |
Disclaimer/Publisher’s Note: The statements, opinions and data contained in all publications are solely those of the individual author(s) and contributor(s) and not of MDPI and/or the editor(s). MDPI and/or the editor(s) disclaim responsibility for any injury to people or property resulting from any ideas, methods, instructions or products referred to in the content. |
© 2026 by the authors. Licensee MDPI, Basel, Switzerland. This article is an open access article distributed under the terms and conditions of the Creative Commons Attribution (CC BY) license.
Share and Cite
Wang, Z.; Shi, Y.; Wu, L. A Decision-Making Model for Green and Sustainable Remediation of Contaminated Sites Based on CRITIC–Entropy–TOPSIS. Appl. Sci. 2026, 16, 3247. https://doi.org/10.3390/app16073247
Wang Z, Shi Y, Wu L. A Decision-Making Model for Green and Sustainable Remediation of Contaminated Sites Based on CRITIC–Entropy–TOPSIS. Applied Sciences. 2026; 16(7):3247. https://doi.org/10.3390/app16073247
Chicago/Turabian StyleWang, Zihang, Yue Shi, and Lei Wu. 2026. "A Decision-Making Model for Green and Sustainable Remediation of Contaminated Sites Based on CRITIC–Entropy–TOPSIS" Applied Sciences 16, no. 7: 3247. https://doi.org/10.3390/app16073247
APA StyleWang, Z., Shi, Y., & Wu, L. (2026). A Decision-Making Model for Green and Sustainable Remediation of Contaminated Sites Based on CRITIC–Entropy–TOPSIS. Applied Sciences, 16(7), 3247. https://doi.org/10.3390/app16073247
