Experimental Study on the Dynamic Response and Energy Absorption Mechanism of Honeycomb Structures in Water Environments
Abstract
1. Introduction
2. Experimental Setup
2.1. The Test Honeycomb
2.2. Experimental Design and Cases
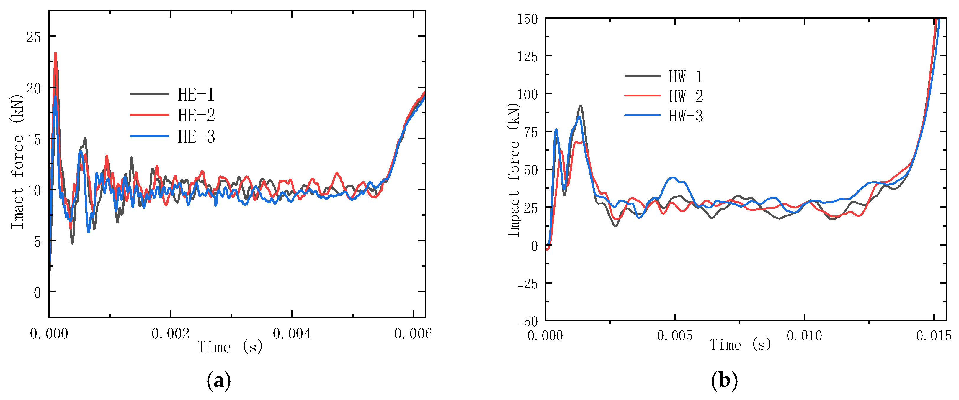
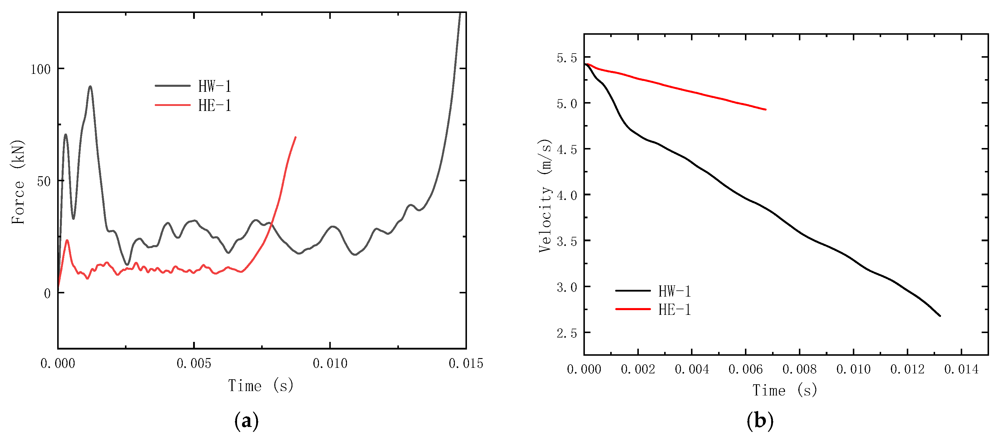
3. Test Results
4. Discussion
4.1. Analysis of the Dynamic Impact Response of Honeycomb Structures in Water
4.2. Comparison Between the Energy Absorption of Empty Honeycomb and Honeycomb Structures in Water
4.3. Analysis of the Impact Energy Absorption Mechanism of Honeycomb Structures in Water
5. Conclusions
- The presence of water fundamentally alters the crushing behavior of honeycomb structures. Compared to in-air performance, the mean crushing force increases by 156.5%, and the total energy absorption increases by 333% under identical impact conditions. This enhancement is consistent with coupled fluid–structure interaction mechanisms, such as added mass effects, viscous dissipation during water ejection through drainage holes, and hydrostatic pressure buildup within confined cells. The relative contributions of these mechanisms, however, remain to be quantified in future work.
- The deformation mode shifts from pure progressive folding in air to a coupled mode combining axial folding with circumferential expansion in water. High-speed photography reveals that water-filled cells exhibit significant lateral expansion (approximately 30% in the w-direction) and longer effective buckling wavelengths, suggesting that internal fluid pressure may partially stabilize cell walls against short-wavelength buckling.
- While underwater conditions dramatically enhance energy absorption, they also introduce trade-offs. The peak force increases by approximately 280%, reducing the crushing force efficiency from 0.436 (HE) to 0.268 (HW). The pronounced initial peak, which is plausibly associated with fluid inertia, may be detrimental in applications requiring low deceleration but acceptable for sacrificial energy absorbers.
- The strategically placed drainage holes proved essential for maintaining progressive deformation by preventing hydraulic locking. Without adequate drainage, the near-incompressibility of water would cause premature cell wall fracture and catastrophic failure.
Author Contributions
Funding
Institutional Review Board Statement
Informed Consent Statement
Data Availability Statement
Conflicts of Interest
References
- Mohammadi, H.; Ahmad, Z.; Petrů, M.; Mazlan, S.A.; Faizal Johari, M.A.; Hatami, H.; Koloor, S.S.R. An insight from nature: Honeycomb pattern in advanced structural design for impact energy absorption. J. Mater. Res. Technol. 2023, 22, 2862–2887. [Google Scholar] [CrossRef]
- Li, R.; Zhao, Z.; Bao, H.; Pan, Y.; Wang, G.; Liu, B.; Liao, T.; Li, J. Bio-inspired honeycomb structures to improve the crashworthiness of a battery-pack system. Eng. Fail. Anal. 2024, 158, 108041. [Google Scholar] [CrossRef]
- Zhang, Q.; Yang, X.; Li, P.; Huang, G.; Feng, S.; Shen, C.; Han, B.; Zhang, X.; Jin, F.; Xu, F.; et al. Bioinspired engineering of honeycomb structure—Using nature to inspire human innovation. Prog. Mater. Sci. 2015, 74, 332–400. [Google Scholar] [CrossRef]
- Hameed, H.M.; Hasan, H.M. Exploring honeycomb structures: A review of their types, general applications, and role in vibration damping and structural stability. Structures 2025, 76, 108837. [Google Scholar] [CrossRef]
- Xing, Y.; Yang, X.; Yang, J.; Sun, Y. A theoretical model of honeycomb material arresting system for aircrafts. Appl. Math. Model. 2017, 48, 316–337. [Google Scholar] [CrossRef]
- Tan, Y.; Zhou, Y. Improved crashworthiness of sandwich wing structures by using negative Poisson’s ratio honeycomb cores. Thin-Walled Struct. 2025, 213, 113223. [Google Scholar] [CrossRef]
- Paz, J. Size and shape optimization of aluminum tubes with GFRP honeycomb reinforcements for crashworthy aircraft structures. Compos. Struct. 2015, 133, 499–507. [Google Scholar] [CrossRef]
- Jia, B.; Liang, Z.; Yu, X.; Zhang, S. Crash performance study of a novel re-entrant hexagonal honeycomb composite guardrail on highways using numerical simulation. Compos. Struct. 2025, 374, 119717. [Google Scholar] [CrossRef]
- Mueller, B.C.; Arbelaez, R.A. Developing an aluminum honeycomb barrier to represent a striking SUV in a side impact crash test. Traffic Inj. Prev. 2021, 22, 582–587. [Google Scholar] [CrossRef]
- Vu, V.T.; Tran, T.T. Dynamic response of honeycomb core sandwich plates assuming sinusoidal top face sheet subjected to half-car moving load resting on elastic foundation. Thin-Walled Struct. 2026, 221, 114486. [Google Scholar] [CrossRef]
- Mackin, A.; Hanoun, Z.; Migliorino, J.; Ahmed, A.M.A.; Mantawy, I.M. Multi-functional additively constructed honeycomb walls for housing and sheltering. Constr. Build. Mater. 2024, 452, 138941. [Google Scholar] [CrossRef]
- Xiang, L.; He, C.; Pei, Z.; Chen, T.; Jiang, J.; Chen, Z.; Yu, Y. Multi-scale synergistic flame-retardant composite aerogel with low thermal conductivity and mechanical robustness for passive fire protection in high-rise buildings. Constr. Build. Mater. 2025, 494, 143345. [Google Scholar] [CrossRef]
- Türkcan İmrağ, B.; Taşdemirci, A.; Gürler, Y. On the quasi-static and dynamic compressive behavior of paper honeycomb: Experimental and numerical study. Int. J. Impact Eng. 2025, 206, 105469. [Google Scholar] [CrossRef]
- Li, Z.; Zhu, Y.; Yang, K. Modular metamaterials with strong auxeticity, tunability and crashworthiness. Int. J. Solids Struct. 2025, 321, 113577. [Google Scholar] [CrossRef]
- Qu, Y.; Chen, J.; Jiao, L.; Ye, T.; Hu, X. Experiment and finite element analysis of protective honeycombs based on equivalent method for ocean engineering under impact loading. Compos. Struct. 2024, 331, 117858. [Google Scholar] [CrossRef]
- Chen, J.; Qu, Y.; Poh, L.H.; Hu, P.; Sun, Z. Mechanical properties of cylindrical honeycomb buffers in the scour protection for sea-spanning bridges under impact loading. Ocean. Eng. 2026, 345, 123795. [Google Scholar] [CrossRef]
- Wang, Z.; Yang, S.; Yang, L.; Xu, W.; Dong, Y.; Li, D.; Qu, J.; Wu, L. Experimental and numerical studies on the effect of sandwich structures on the dynamic response of ship sections subjected to underwater explosions. Thin-Walled Struct. 2026, 218, 113969. [Google Scholar] [CrossRef]
- Zhang, X.; Sun, S.; Kang, X.; Huang, Z.; Li, Y. Dynamic Response and Energy Absorption of Lattice Sandwich Composite Structures Under Underwater Explosive Load. Materials 2025, 18, 1317. [Google Scholar] [CrossRef] [PubMed]
- Huang, W.; Zhang, W.; Li, D.; Ye, N.; Xie, W.; Ren, P. Dynamic failure of honeycomb-core sandwich structures subjected to underwater impulsive loads. Eur. J. Mech.-A/Solids 2016, 60, 39–51. [Google Scholar] [CrossRef]
- Xiang, D.-L.; Rong, J.-L.; He, X. Experimental Investigation of Dynamic Response and Deformation of Aluminium Honeycomb Sandwich Panels Subjected to Underwater Impulsive Loads. Shock Vib. 2015, 2015, 650167. [Google Scholar] [CrossRef]
- Dutta, A.; Das, A.; Pal, S.K.; Panda, S.K. Evaluation of structural defects on crushing performance of adhesive-bonded aluminium honeycombs: Alternative fabrication strategy and real-time defect monitoring. Compos. Struct. 2026, 379, 119940. [Google Scholar] [CrossRef]
- Ardebili, A.; Kaveh, A.; Alaei, M.H.; Eskandari Jam, J.; Jafari, M. Health monitoring of the composite honeycomb insulation panels using thermographic image processing. Nondestruct. Test. Eval. 2025, 40, 4619–4637. [Google Scholar] [CrossRef]
- Campbell, F.C. Honeycomb Core Can Be Dangerous to Your Program’s Health. Corros. Rev. 2007, 25, 13–25. [Google Scholar] [CrossRef]
- Hungler, P.C.; Bennett, L.G.I.; Lewis, W.J.; Schulz, M.; Schillinger, B. Neutron imaging inspections of composite honeycomb adhesive bonds. Nucl. Instrum. Methods Phys. Res. Sect. A Accel. Spectrometers Detect. Assoc. Equip. 2011, 651, 250–252. [Google Scholar] [CrossRef]
- Javier, C.; Kishore, S.; Senol, K.; Shukla, A. Energy balance of rapidly deforming foam filled cylindrical shells in a high pressure fluid environment. Phys. Fluids 2021, 33, 097107. [Google Scholar] [CrossRef]
- Wierzbicki, T. Crushing analysis of metal honeycombs. Int. J. Impact Eng. 1983, 1, 157–174. [Google Scholar] [CrossRef]
- Hu, Q.; Lu, G.; Hameed, N.; Tse, K.M. Dynamic compressive behaviour of shear thickening fluid-filled honeycomb. Int. J. Mech. Sci. 2022, 229, 107493. [Google Scholar] [CrossRef]
- Yi, C.; Shi, D.; Li, S.; Liu, Z.; Lei, J. Low-velocity impact response of shear thickening fluid-filled honeycomb sandwich panel with thin face sheets. Thin-Walled Struct. 2026, 219, 114162. [Google Scholar] [CrossRef]
- Lu, G.Y.; Han, Z.J.; Lei, J.P.; Zhang, S.Y. A study on the impact response of liquid-filled cylindrical shells. Thin-Walled Struct. 2009, 47, 1557–1566. [Google Scholar] [CrossRef]
- Sun, Y.; Li, Q.M. Effect of entrapped gas on the dynamic compressive behaviour of cellular solids. Int. J. Solids Struct. 2015, 63, 50–67. [Google Scholar] [CrossRef]
- Yan, L.; Zhu, K.; Zhang, Y.; Zhang, C.; Zheng, X. Effect of Absorbent Foam Filling on Mechanical Behaviors of 3D-Printed Honeycombs. Polymers 2020, 12, 2059. [Google Scholar] [CrossRef] [PubMed]
- Mozafari, H.; Molatefi, H.; Crupi, V.; Epasto, G.; Guglielmino, E. In plane compressive response and crushing of foam filled aluminum honeycombs. J. Compos. Mater. 2015, 49, 3215–3228. [Google Scholar] [CrossRef]
- Zarei Mahmoudabadi, M.; Sadighi, M. A study on the static and dynamic loading of the foam filled metal hexagonal honeycomb—Theoretical and experimental. Mater. Sci. Eng. A 2011, 530, 333–343. [Google Scholar] [CrossRef]
- Wang, Z.; Li, Z.; Zhou, W.; Hui, D. On the influence of structural defects for honeycomb structure. Compos. Part B Eng. 2018, 142, 183–192. [Google Scholar] [CrossRef]
- Yamashita, M.; Gotoh, M. Impact behavior of honeycomb structures with various cell specifications—Numerical simulation and experiment. Int. J. Impact Eng. 2005, 32, 618–630. [Google Scholar] [CrossRef]
- Zhao, Z.; Hou, H.; Li, D.; Wang, K.; Yao, M. In-plane dynamic mechanical properties of partially liquid filled multicell structure. Explos. Shock Waves 2022, 42, 033103. [Google Scholar]











| Al | Si | Fe | Cu | Mn | Mg | Cr | Zn | Na | Ti |
|---|---|---|---|---|---|---|---|---|---|
| Bar. | 0.119 | 0.242 | 0.015 | 0.046 | 2.441 | 0.176 | 0.021 | 0.0001 | 0.018 |
| Young’s Module (GPa) | Density (kg/m3) | Poisson’s Ratio | Yield Stress (MPa) |
|---|---|---|---|
| 69.3 | 2680 | 0.33 | 215 |
| Case | Mass (kg) | Height (m) | Honeycomb Wall Thickness (mm) | Honeycomb Thickness (mm) | Filled-Water |
|---|---|---|---|---|---|
| HE | 200 | 1.5 | 0.075 | 50 | |
| HW | 200 | 1.5 | 0.075 | 50 | √ |
| Case | (J) | Peak Force (kN) | Mean Crushing Force (kN) | CFE | SEA (J/g) | |
|---|---|---|---|---|---|---|
| HE | 513.3 ± 10.34 (2.1%) | 21.6 ± 2.17 (10.1%) | 9.98 ± 0.367 (3.7%) | 0.436 ± 0.0087 (1.9%) | 0.71 ± 0.0227 (3.2%) | 7.89 ± 0.205 (2.6%) |
| HW | 2224.1 ± 133.46 (6.2%) | 81.5 ± 12.26 (15%) | 25.6 ± 1.289 (5.1%) | 0.268 ± 0.014 (4.6%) | 1.07 + 0.057 (5.3%) | 0.96 + 0.042 (4.4%) |
Disclaimer/Publisher’s Note: The statements, opinions and data contained in all publications are solely those of the individual author(s) and contributor(s) and not of MDPI and/or the editor(s). MDPI and/or the editor(s) disclaim responsibility for any injury to people or property resulting from any ideas, methods, instructions or products referred to in the content. |
© 2026 by the authors. Licensee MDPI, Basel, Switzerland. This article is an open access article distributed under the terms and conditions of the Creative Commons Attribution (CC BY) license.
Share and Cite
Yao, S.; Wu, J.; Wang, Y.; Chen, F.; Zhou, H.; Liu, K.; Hou, E. Experimental Study on the Dynamic Response and Energy Absorption Mechanism of Honeycomb Structures in Water Environments. Appl. Sci. 2026, 16, 3180. https://doi.org/10.3390/app16073180
Yao S, Wu J, Wang Y, Chen F, Zhou H, Liu K, Hou E. Experimental Study on the Dynamic Response and Energy Absorption Mechanism of Honeycomb Structures in Water Environments. Applied Sciences. 2026; 16(7):3180. https://doi.org/10.3390/app16073180
Chicago/Turabian StyleYao, Shujian, Jiawei Wu, Yanjing Wang, Feipeng Chen, Hui Zhou, Kai Liu, and Eryong Hou. 2026. "Experimental Study on the Dynamic Response and Energy Absorption Mechanism of Honeycomb Structures in Water Environments" Applied Sciences 16, no. 7: 3180. https://doi.org/10.3390/app16073180
APA StyleYao, S., Wu, J., Wang, Y., Chen, F., Zhou, H., Liu, K., & Hou, E. (2026). Experimental Study on the Dynamic Response and Energy Absorption Mechanism of Honeycomb Structures in Water Environments. Applied Sciences, 16(7), 3180. https://doi.org/10.3390/app16073180

