Next Article in Journal
Optimization Design and Experimental Testing of Sound Insulation Performance for Silent Cabins
Previous Article in Journal
Video Identifying and Eraser: Use Multi-Task Cascaded Convolutional Neural Network to Enhance Safety in a Text-to-Video Diffusion Model
Previous Article in Special Issue
An Experimental Investigation of the Effects of Dry–Wet Cycles and pH Values on Gangue Waste-Based Roadway Shotcrete: Mechanical Performance and Microstructural Analysis
 
 
Font Type:
Arial Georgia Verdana
Font Size:
Aa Aa Aa
Line Spacing:
Column Width:
Background:
Article

The Engineering Geological Characteristics and Alteration Classification of Altered Granite in East Quwu Mountain, Gansu, China

1
School of Geology Engineering and Geomatics, Chang’an University, Xi’an 710064, China
2
Northwest Electric Power Design Institute Co., Ltd. of China Power Engineering Consulting Group, Xi’an 710075, China
*
Authors to whom correspondence should be addressed.
Appl. Sci. 2026, 16(6), 2993; https://doi.org/10.3390/app16062993
Submission received: 30 January 2026 / Revised: 2 March 2026 / Accepted: 16 March 2026 / Published: 20 March 2026

Abstract

With its excellent physical and mechanical properties, granite is often the first choice for the foundation material for dams in water conservancy engineering. However, alteration can profoundly change the mineral composition, structure, and mechanical behavior of deep granite, posing critical challenges to project safety. The Quwu Mountain area in Baiyin, Gansu Province, a proposed pumped storage reservoir, exposes extensive Silurian granite. Engineering investigation shows that different levels of clay and hydrothermal alteration have taken place in the granite rock mass, and the level of alteration exhibits a distinct vertical zonation as revealed by borehole core logging. In this study, we quantitatively characterize the porosity, compressive strength, wave velocity, and shear parameters of altered granite of different degrees through mineralogical analysis, laboratory tests, and in situ testing. In order to guide the construction in this area, we establish a classification system that distinguishes weak, moderate, and strong alteration degree, based on macroscopic features, RQD, and clay mineral content. Results of this paper show that alteration is dominated by potassium feldspathization and kaolinitization, leading to increased porosity (4–10%) and structural loosening. Strongly altered granite exhibits severe mechanical degradation, moderately altered granite retains medium strength, and weakly altered granite approaches the properties of fresh rock. This research can provide technical support for engineering safety design and risk prevention in the Quwushan reservoir area, but its applicability to other regions requires further validation.

1. Introduction

Granite mountains are widely distributed in China. In view of the excellent physical and mechanical properties of granite, it is often selected as a dam foundation and dam material in water conservancy and hydropower projects [1,2]. However, granite rock mass is susceptible to alteration, resulting in significant changes in its physical and mechanical properties [3,4]. According to the findings of previous research, the causes of granite alteration mainly include weathering, tectonic stress and hydrothermal metasomatism. Weathering alteration mainly occurs near the surface, resulting in the transformation of the primary minerals in the rocks into low-temperature secondary minerals, which in turn makes the rock structure change from tight to loose [5]. The tectonic stress alteration is a result of the action of tectonic stress; a large number of structural planes and joint fissures are generated inside the rock mass, forming metamorphic phenomena of weak structural planes such as fault fracture zones and interlayer dislocation zones [6]. These changes usually cause brittle or plastic deformation such as the fragmentation and slip of rock microstructure.
Alteration refers to the physical and chemical reaction to the hydrothermal fluid existing in the earth after entering the rock system along a certain channel. Alteration changes the mineral composition and structure of the original rock and the surrounding rock through mineral alteration and recrystallization, which is usually accompanied by the formation of some secondary minerals [7,8]. Therefore, the physical and mechanical properties of the rock mass in the alteration zone will be significantly different due to the alteration and the difference in the original rock properties. After the hydrothermal metasomatism, the structure of most altered granite masses tends to be loose, the fracture increases and the strength decreases, and the stability of the rock mass decreases. Research on altered granite started late, and the research in the 1960s mainly focused on its metallogenic potential and the exploration of deposits [9,10]. In the 1970s and 1980s, with the rise in engineering activities, especially large-scale water conservancy projects, the problem of altered granites was frequently encountered. People began to study it from the perspective of engineering geology, and certain research results were achieved [11].
Hydrothermal alteration refers to the significant changes in the mineral composition and microstructure of granite under the influence of hydrothermal activities, which in turn change the mechanical properties of the original rock. This effect is particularly significant with the participation of water [12]. Different from weathering, hydrothermal alteration usually occurs along specific channels such as the structural plane of the granite and the contact surface between the rock mass and surrounding rock [13], and its influence depth is more profound. Different from tectonic dynamic alteration, the alteration temperature and pressure conditions and alteration types of hydrothermal alteration are more complex and diverse, such as sericitization, chloritization, argillization, silicification, potassium feldspathization, sodium zoisite and so on [14]. In addition, the influence of hydrothermal alteration on the physical and mechanical properties of rock mass is more complex, and the porosity, permeability and mechanical properties of rock under different temperature and pressure conditions show different changes [15,16]. In some cases [17,18], hydrothermal alteration leads to the degradation of mechanical properties of granite even more than high-intensity weathering. Therefore, under the condition of superimposed structure and weathering, the engineering geological challenges caused by hydrothermal alteration are more complex [19,20,21].
Several attempts have been made to classify the degree of granite alteration. Early classifications were primarily petrographic, based on the modal percentage of secondary minerals [22,23]. Later, geochemical indices such as the Chemical Index of Alteration (CIA) were introduced to provide quantitative measures [24,25]. More recently, engineering-orientated classifications have attempted to link alteration to physical properties like porosity and point load strength. However, these existing systems often have two limitations: (1) they stop at feature description and are difficult to apply to engineering construction; (2) they rarely integrate petrological and engineering mechanical properties. This gap highlights the need for a classification system that is directly applicable to engineering safety design, which is also the focus of this paper.
The Quwu Mountain, located in Pingchuan District, Baiyin City, Gansu Province, is widely distributed with early- to middle-Silurian granite (Figure 1). Engineering geological investigations have revealed that both surface exposures and subsurface explorations exhibit pronounced alteration, with clear zoning characteristics. These features provide a valuable opportunity to investigate the engineering geological characteristics of altered granite and to quantitatively assess alteration intensity. This study aims to characterize the alteration features of the Quwu Mountain granite through mineralogical analysis and physical and mechanical testing. By linking alteration characteristics to engineering properties, this research seeks to establish a basis for classifying altered granite and developing practical countermeasures. The findings are expected to support site investigation, engineering design, and construction decision-making in similar geological settings, thereby contributing to the safety and risk management of future engineering projects.

2. Materials and Methods

2.1. Geology Background

The study area is located in Pingchuan District, Baiyin City, Gansu Province. The neotectonic movement in the study area is very strong, with fracture and fault block activity as the basic characteristics. There are a number of large-scale faults that have been active since the Quaternary, which mainly belong to the Qilianshan–Hexi Corridor fault system. Most of the Quaternary faults in the area are the result of inherited activities of pre-existing faults, which have the characteristics of multi-stage and segmented activities. The NW-trending and near-EW-trending faults play a controlling role in the geomorphology, Quaternary geology and neotectonics of this area. These faults are mostly structural boundaries that divide active tectonic units of different levels.
The Holocene active fault near Quwu Mountain is the Haiyuan fault (Figure 2), which is mainly distributed in the northern foot of Quwu Mountain. This section extends southeastward from the Dahongmen of Shuiquan Jianshan, and its total length is about 54 km. It is the surface rupture segment of the 1920 Haiyuan 8 earthquake. Clear fault scarps can be seen in the Ganyanchi areas [26]. The slip rate of the secondary fault at the northern foot of Beizhang Mountain is 8.3~13.7 mm/a.

2.2. Characteristics of Altered Granite

The main lithology of the study area is light gray, gray-white medium-fine-grained granodiorite, and the altered granites have obvious ‘reddening’ characteristics. The rock mass is dark red or dark purplish red, fragmented and clay-like. The weathering characteristics under the influence of water and oxygen are significant. There is a mudding phenomenon along the fault zone and fracture surface, with low strength, easy weathering and deformation, obvious water loss and disintegration, some in the form of gravel, and the content of clay minerals is high. The drilling hole can still take out the fragmented or short columnar core, the knocking sound is not clear, the rock mass quality is obviously reduced, and the long core can be broken by hand. In this experiment, altered granite samples were obtained from geological boreholes and from the exploration tunnel (Figure 3).

2.3. Test Method

2.3.1. Testing of Mineralized Components

Rock slice is the main method to identify the mineral changes in altered granites. The mineral or rock specimens are ground into thin sections (Figure 4a), and petrographic features are observed under a polarizing microscope.
X-ray diffraction (XRD) (Figure 4b) analysis was performed using a Bruker AXS D8 Discover X-ray diffractometer. The test standard was based on the standard of ‘Analysis method for clay minerals and ordinary non-clay mineral sedimentary rocks by X-ray diffraction’ [28].
The content of major elements in the whole rock was analyzed by the ZSXPrimus II fluorescence spectrometer (XRF)(Rikaku, Tokyo, Japan) (Figure 4c). In accordance with the requirements of the Chinese national standard [29], the error of element analysis is less than 2.5%.

2.3.2. Test of Mechanical Properties

The basic physical properties, uniaxial compression test, direct shear test and creep test were carried out on the typical altered granites samples.
The in situ large-scale direct shear test is mainly carried out at the lower reservoir, where a large-scale strong altered granite was found during the geological investigation. The test site is located on the right gentle slope of the bank, and a 15 × 9 m test platform is formed by an excavator. The sample is cylindrical, 30 cm high and 50 cm in diameter. The sample is made by hand (Figure 4b,c).
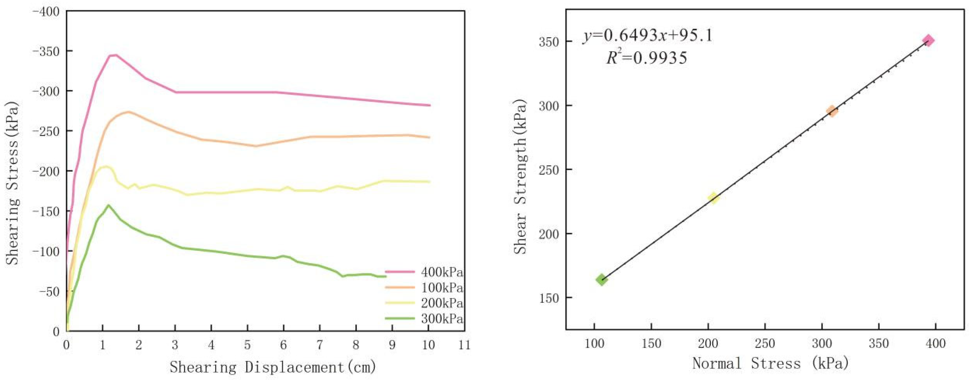
In situ large-scale direct shear tests (Figure 5) were carried out on typical altered granites using an XZJ-500 in situ shear test system(XCMG Construction Machinery Co., Ltd., Xuzhou, China) [30] (Figure 5a). The normal stresses in the test were 100, 200, 300, 400 kPa, respectively. During the test, the vertical load is applied until the settlement is stable, and then the horizontal load is applied by the strain control method until the shear failure occurs. The saturation was carried out by simultaneous irrigation at the top and bottom of the sample (Figure 5e,f), and the sample was dried by the built-in heating rod.

3. Results

3.1. Mineralization Analysis of Altered Granites

The study area is situated in the Quwushan region (36°30′–36°35′ N, 105°04′–105°13′ E), covering approximately 111 km2. Alteration phenomena are predominantly developed within the monzonitic granite. Based on field mapping and 50 collected samples, the alteration exhibits a clear spatial zonation and presents the phenomenon of ‘reddening’. This is because the plagioclase undergoes potassium feldspathization under the action of alteration, resulting in an increase in the content of potassium feldspar, so the rock as a whole presents itself in a flesh-red color.
We analyzed the results of thin section identification of about 30 granite samples of two types. Results showed that the main minerals of granodiorite in the study area are plagioclase (53–55%), K-feldspar (13–15%), quartz (20–23%), biotite (3–5%) and hornblende (3–5%), and a small number of fractures are developed inside the rock (Figure 6a,b). The main minerals of monzogranite are plagioclase (38–40%), K-feldspar (28–35%), quartz (20–23%), biotite (2–3%) and amphibole (3–5%) (Figure 6c,d). In addition, there are different levels of clay alteration in granite samples, and the clay minerals formed are mainly kaolinite. According to the characteristics of plagioclase and potassium feldspar in the rock slice, it is found that clayization mainly occurs in plagioclase. In monzonitic granite, potassium feldspar contains or is edge-embedded with plagioclase and hornblende to form a mosaic structure. This structure indicates that some of its potassium feldspar is a result of plagioclase alteration. Therefore, the monzonitic granite has been formed by a potassium feldspar alteration of the granodiorite.
The XRD analysis results for the 32 groups of samples showed that the samples showed different levels of clayization, and some samples were strongly clayized, and the clay mineral content was as high as 16% (Table 1). In addition, most of the samples contain calcite, which is consistent with the results of rock slice; that is, carbonate minerals appear and are mainly filled in rock fissures. According to this, it is judged that calcite is a secondary mineral and shows itself to be the result of carbonate-rich fluid activity. The content of potassium feldspar in the sample varies greatly, indicating that the level of potassium feldspar experienced by the sample varies greatly. In addition, the content of K-feldspar + clay minerals in fractured rock samples is negatively correlated with the content of plagioclase (Pearson’s r is −0.78) (Figure 7), indicating that plagioclase has obvious K-feldsparization, and clay minerals should be mainly altered from plagioclase. The content of clay minerals and K-feldspar in monzogranite and granodiorite samples also has a certain negative correlation with the content of plagioclase, which also indicates that the clay minerals and some K-feldspar in the samples are altered from plagioclase (Figure 7).
At the same time, the content of K-feldspar and clay minerals in the fractured granite samples is negatively correlated with the content of plagioclase, indicating that plagioclase has obvious K-feldsparization, and the clay minerals should be mainly altered from plagioclase. The contents of clay minerals and potassium feldspar also have a certain negative correlation with the content of plagioclase, indicating that the clay minerals and some of the potassium feldspar in the sample are altered from plagioclase.
In general, the content of crystal water in the mineral increases during the alteration of the rock, which will cause the LOI (Loss On Ignition) of the sample to increase, so the LOI can represent the degree of alteration of the sample. An XRF (X-ray fluorescence spectrometer)(Rikaku, Tokyo, Japan) was used to analyze the correlation between the main elements and LOI. It was found that the elements, such as Si and Al, which are basically not involved in the alteration reaction process, do not change significantly with the change in LOI in the sample. (Figure 8a,b). The elements involved in the alteration process, such as Na, K, Ca, etc., show regular changes with the change in LOI (Figure 8c–e).
Potassium feldspathization is formed by the alteration of plagioclase by alkaline fluid. In the process of metasomatism [31], K+ in alkaline fluid replaces Ca2+ and Na+ in plagioclase, which will lead to an increase in K content and a decrease in Ca and Na content in rock [32,33]. As the degree of alteration increases (LOI increases), the K content of some fractured granite samples and some monzonitic granite samples increases significantly (Figure 8c), indicating the occurrence of K-feldsparization in granite samples.
In addition, during potassic feldspathization and clayization, Ca and Na in the granite decreased significantly with the increase in the alteration degree (Figure 8d,e). However, the Ca content in some fractured granites samples increased significantly with the increase in the alteration degree (Figure 8d), which is due to the activity of water and other low-temperature fluids in the fractured granites samples, and the cracks of the samples were filled with calcite. In the CaO-K2O diagram (Figure 8f), the significant increase in Ca content in the partially fragmented rock samples also indicates the filling of calcite in the later stage.

3.2. Physical and Mechanical Tests

3.2.1. Basic Physical Test

According to the test results (Table 2), when compared with granite with the same level of weathering, the density and particle density of the altered granite decrease, and the water absorption rate increases. Also, the water content increases with the increase in alteration level. It shows that the pore structure of altered granite becomes more complex and its level of porosity increases, which is also one of the important reasons for the change in its physical properties.
According to the results of the wave velocity test in the borehole (Table 3), the strong altered granites wave velocity decreases obviously, the weak alteration is slightly lower than that of the level of weak weathering, and the micro alteration is basically the same as that of weak weathering.

3.2.2. Uniaxial Compressive Strength

According to the test results, the uniaxial compressive strength parameters of granite with different levels of alteration are shown in Table 4, and compressive stress–displacement curves are shown in Figure 9.
Weak alteration samples show good mechanical properties, and the failure mode is one of integral destruction. In the process of compression failure of the moderate altered granites samples, the samples usually fail first along the high-angle joint fracture surface, so the mechanical properties of some tests are quite different. Strong altered samples are close to the mud state, the strength is very low, the sample preparation is more difficult, and the test shows the existence of an obvious plastic state during the compression process.

3.2.3. Direct Shear Test of Moderate and Weak Altered Granite

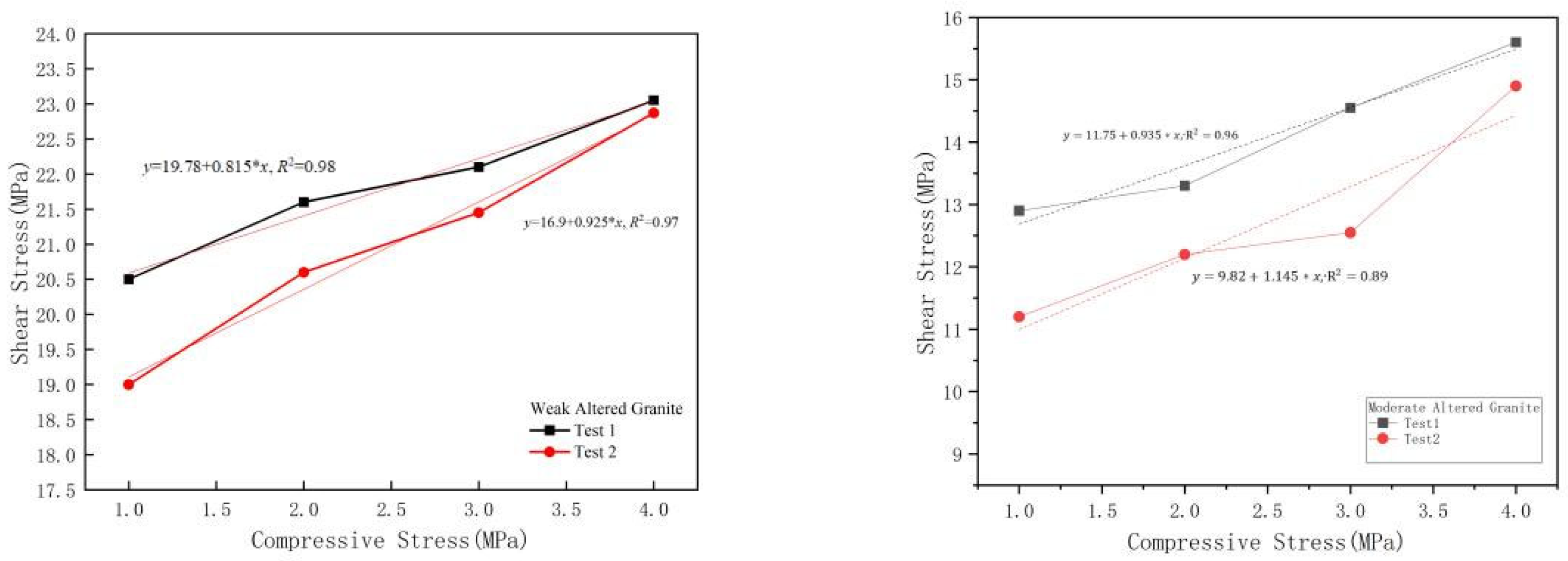
According to the different level of granite alteration, two groups of direct shear tests were carried out, and the axial pressures were 1 MPa, 2 MPa, 3 MPa and 4 Mpa, respectively. The fitting curves for the shear stress and the compressive stress are shown in Figure 10. The test results show that the cohesion and friction angle of the weak altered granite are 16.9~19.87 MPa and 39.2~42.8°. The cohesion of the moderate altered granite is smaller than that of weak altered granite, and the friction angle is slightly larger, which is 8~11.75 MPa and 43.10~46.55°, respectively.

3.2.4. In Situ Shear Test of Strong Altered Granite

(1)
In Situ Saturated Shear Test
The shear stress–shear displacement curves under each normal stress are shown in Figure 11. With the increase in normal stress, the shear peak strength and peak strain increase correspondingly. The strain curve shows obvious plastic deformation after the peak point, and the residual strength accounts for about 80% of the peak strength. The shear deformation characteristics of strong altered granites are similar to those of weak granites.
(2)
In Situ Dry–wet cycle direct shear test
The shear tests with normal stresses of 100, 200, 300 and 400 kPa were carried out on the samples under two and three dry–wet cycles in the strong altered granite test site. The test results are shown in Figure 12.
The internal friction angle was φ = 32.8° and the cohesion was c = 94.3 kPa of the strongly altered granite when placed under two dry–wet cycles. Compared with the first saturation, the internal friction angle is reduced by 0.2°, and the cohesion is reduced by 0.8 kPa.
The internal friction angle was φ = 31.0° and the cohesion was c = 90.7 kPa of the strongly altered granite when placed under three repetitions of dry–wet cycles. Compared with two repetitions of dry–wet cycles, the internal friction angle decreased by 1.8° and the cohesion decreased by 3.6 kPa. Compared with the first saturation, the internal friction angle is reduced by 2.0° and the cohesion is reduced by 4.4 kPa.

3.2.5. Creep Test

  • Moderate altered granite creep mechanical properties
The uniaxial compression creep test for moderate altered granite is carried out by a step loading test method. In total, 75%~85% of the uniaxial compressive strength of rock mass obtained by the uniaxial compression test is taken as the maximum load to be applied, and the maximum load is divided into five grades. The typical creep–time curve is shown in Figure 13.
The axial creep of moderate altered granite does not show obvious initial creep strength, and there is a stable creep for a period of time at each stress level. The stable creep rate is almost constant at the same stress level, and the creep rate at different stress levels is also very close, and there is no obvious proportional relationship with the stress level increment.
2.
Strong altered granite creep mechanical properties
In the conventional saturated state, 80% of the strength of the specimen at the shear failure rate of 1 mm/min is taken as its long-term deformation ultimate strength SL, and the four-level stress levels (0.2, 0.4, 0.6, 0.8 SL) (Table 5) and the three-level confining pressures (100, 200, 300 kPa) are set.
When the specimen reaches creep stability, it enters the next level of stress level loading. If the specimen can still reach creep stability under the condition of 0.8 SL without damage, the loading is continued with the long-term deformation limit strength SL until the specimen is destroyed. The test photo is shown in Figure 14, and the test results are shown in Figure 15.
The triaxial creep grading loading curve of strongly altered granite under different confining pressures has obvious stage characteristics. The triaxial creep grading loading curve of strongly altered granites can be divided into four stages:
(1)
Large deformation stage: This stage belongs to the initial growth stage of applying axial force. At this time, the axial deformation of the sample increases rapidly with the increase in axial force, and the axial strain growth can reach about 80% of the whole stage in tens of minutes.
(2)
Creep attenuation stage: In this stage, the axial force is basically stable and no longer increases. The axial deformation of the sample increases gradually with time, but its increment has been greatly reduced.
(3)
Creep stability stage: the axial deformation of the sample at this stage shows almost no more increase with time and tends to be stable.
(4)
The failure stage: under the condition of the presence of a large stress level, the failure may occur in the process of axial force loading. The deformation of the sample increases rapidly with the increase in axial force, and the sample is directly and completely destroyed. It may also occur in the stable stage of axial force. After the axial force is applied, the internal stress of the sample is unbalanced. The increase in the deformation of the sample cannot be stabilized until it is destroyed.

4. Discussion

The evaluation of rock alteration degree and the study of engineering characteristics play a key role in foundation design for large-scale hydropower projects, high-rise buildings, roads and bridges. It is also of great significance to our evaluation of the stability of surrounding rock and also for slope engineering.
Through the analysis of in situ data and microscopic characteristics, it is found that the ‘reddening’ of the granite in the study area is becoming more and more obvious with the deepening of the alteration degree. The main alteration types in the granite are potassic feldspathization, clayization, sericitization and chloritization. The results show that the rock alteration in the study area is mainly controlled by potassium feldspathization and clayization, while the degree of sericitization and chloritization is not high. Potassium feldspathization leads to an increase in the content of potassium feldspar in the rock, which provides more potassium elements for the formation of kaolinite in the later stage of the rock. This causes the rock with high potassium feldspar content to be prone to a higher degree of clayization, thus weakening the cementation of particles, resulting in the macroscopic observation that the more serious the ‘reddening’, the worse the rock strength.
Uniaxial compressive strength is the basic index used to characterize the bearing capacity of rock. During the alteration process, primary minerals (such as feldspar and biotite) are decomposed into clay minerals (kaolin and montmorillonite) or secondary minerals (chlorite and sericite), resulting in weakening of cementation and increasing porosity in the rock.
The experimental results show that the uniaxial compressive strength of weak altered granite is close to that of the original rock. However, the uniaxial compressive strength of moderate altered granites can be reduced to 20~50 MPa due to the enrichment of clay minerals and the development of micro-fractures. The uniaxial compressive strength of strongly altered granites is less than 1 MPa, and the rock strength is basically lost.
At all levels of stress, the moderate altered granites are dominated by instantaneous strain, which accounts for 71.43~100% of the total strain, while the creep strain generated by the rock over time is small, and the creep strain only accounts for 0~28.57% of the total strain. The time-dependent deformation characteristics of moderate altered granites are relatively insignificant, and the strength reduction is not obvious under long-term action.
Under low confining pressure, the strong altered granites still have a creep attenuation stage under the action of the long-term deformation ultimate strength, while under high confining pressure, they are quickly and directly destroyed in the axial compression loading stage, and the failure rate increases, and they do not experience the creep attenuation stage.
The cohesion and internal friction angle of the weak altered granites are not much different from those of the original granites. The cohesion of the moderate altered granites is smaller than that of the weak altered granites, and the internal friction angle does not change much. Under the condition of a dry–wet cycle, the saturated shear performance of strong altered granites decreases, and the degree of reduction is related to the number of dry–wet cycles. Under the condition of three cycles, the friction angle decreases by about 6%, and the cohesion decreases by about 4.9%.
According to the test results and previous research results [34,35,36], a classification standard system of granite alteration degree in the study area is established. According to the strength of the degree of alteration, it is divided into three levels [37,38], weak alteration, moderate alteration and strong alteration, as shown in Table 6.

5. Conclusions

This study systematically investigated the hydrothermal alteration characteristics and engineering geological properties of granite in the eastern foothills of Quwu Mountain, Gansu Province, China. The key findings are summarized as follows:
Alteration Classification and Mechanism: Granite alteration has obvious grading. The hydrothermal process dominated by potassic alteration and clay mineralization significantly changed the mineral composition and microstructure, resulting in a decrease in rock integrity and an increase in porosity.
Physical and Mechanical Degradation: Strongly altered granite demonstrates severe mechanical deterioration, with uniaxial compressive strength (UCS) dropping to <1 MPa, elastic modulus to 5.6 MPa, and longitudinal wave velocity to 1797–3020 m/s. Weakly altered granite retains moderate strength (UCS: 20–50 MPa), while slightly altered granite approaches the original rock’s performance (UCS: ~71.8 MPa).
Shear and Creep Behavior: Direct shear tests reveal that strongly altered granite exhibits clay-like plasticity, with cohesion (c) and internal friction angle (φ) declining under wet–dry cycles. Creep tests indicate that weakly altered granite experiences time-dependent deformation dominated by instantaneous strain (>71% of total strain), while strongly altered granite fails rapidly under high confining pressure without stable creep stages.
Quantitative Classification System: A novel evaluation framework integrating macroscopic features (color, joint roughness), structural indices (RQD), mechanical parameters (UCS, wave velocity), and clay mineral content was established to classify alteration intensity into three grades: slight, weak, and strong. This system enhances the precision of engineering geological assessments as compared to traditional qualitative methods.
Engineering Implications: The alteration classification proposed in this study offers a practical tool for engineering projects in granitic terrains. Its primary value lies in its simplicity: the proposed criteria are based on readily observable or easily testable indicators—mineral assemblage, simple field tests, and basic physical properties. This allows for rapid preliminary assessment during early project stages when detailed geotechnical data may be limited. For practical applications, the three alteration classes correspond to distinct engineering behaviors:
(1)
Weak altered granite exhibits mechanical properties comparable to fresh rock. It is generally suitable for foundation bearing layers and tunnel host rocks without special treatment.
(2)
Moderate altered granite shows reduced strength and increased porosity. Excavation in this zone may require reinforced support and consideration of groundwater inflow.
(3)
Strong altered granite is characterized by clay mineral enrichment, low strength, and high erodibility. This zone necessitates ground improvement prior to excavation. For surface facilities, it should be avoided as foundation material unless extensively treated.
Limitations and Future Work: Regional specificity and sample size may affect the universality of the classification system. Further studies should explore the long-term stability of altered granite under complex hydrological conditions and validate the framework in diverse geological settings.

Author Contributions

Conceptualization, J.P.; methodology, Y.L.; validation, M.H.; investigation, M.H.; resources, M.H.; data curation, M.H.; writing—original draft preparation, M.H.; writing—review and editing, Y.L.; visualization, M.H.; supervision, Y.L.; project administration, M.H.; funding acquisition, J.P. All authors have read and agreed to the published version of the manuscript.

Funding

The research described in this paper was financially supported by the Natural Science Foundation of Shaanxi Province (Grant No. 2025JC-YBMS-274), the Fundamental Research Funds for the Central Universities, CHD (Grant No. 300102265202), and the fund of science project of China Power Engineering Consulting Group Co., Ltd. (CPECC) (Grant Nos. DG2-G01-2024; DG2-L03-2024).

Institutional Review Board Statement

Not applicable.

Data Availability Statement

The datasets presented in this article are not readily available because the data are part of an ongoing pumped storage project which belongs to a design institute. Requests to access the datasets should be directed to heming@nwepdi.com.

Acknowledgments

We are deeply grateful to the leaders and colleagues (Liu Houjian, Liu Zhiwei, Fan Zhujun) at Northwest Electric Power Design Institute Co., Ltd. for their invaluable assistance and insightful discussions and for providing a supportive working environment that facilitated this research and the student Bingyi Jin for her preparation of partial figures and validation of experimental results and data analysis. In addition, we deeply wish to thank Lu Hongwei, from China Gezhouba Group Co., Ltd. Survey & Design Institute, and Liu Weijin, from Guangxi Electric Power Design Institute Co., Ltd. Of China Energy, for the photos and geological investigation data they provided during the preparation of the paper. Special thanks to my baby son and my wife for their understanding and patience.

Conflicts of Interest

Author Ming He was employed by the company Northwest Electric Power Design Institute Co. Ltd. Of China Power Engineering Consulting Group. The remaining authors declare that the research was conducted in the absence of any commercial or financial relationships that could be construed as a potential conflict of interest.

References

  1. Jiang, H.; Qiu, X. Performance assessment of a newly developed and highly stable grouting material for a completely weathered granite dam foundation. Constr. Build. Mater. 2021, 299, 123956. [Google Scholar] [CrossRef]
  2. Huang, Z.; Zhou, Y. A complete map of fine-scale slip rate distribution and earthquake potential along the Haiyuan Fault System. Geophys. Res. Lett. 2022, 49, e2022GL101805. [Google Scholar] [CrossRef]
  3. Qin, Y.; Tian, H.; Xu, N.X.; Chen, Y. Physical and mechanical properties of granite after high-temperature treatment. Rock Mech. Rock Eng. 2020, 53, 305–322. [Google Scholar] [CrossRef]
  4. Lasheen, E.S.R.; Rashwan, M.A.; Azer, M.K. Effect of mineralogical variations on physico-mechanical and thermal properties of granitic rocks. Sci. Rep. 2023, 13, 10320. [Google Scholar] [CrossRef]
  5. Dunworth, E.A. Atlas of micromorphology of mineral alteration and weathering. J. Petrol. 2000, 41, 475–476. [Google Scholar] [CrossRef]
  6. Vigneresse, J.L.; Tikoff, B.; Améglio, L. Modification of the regional stress field by magma intrusion and formation of tabular granitic plutons. Tectonophysics 1999, 302, 203–224. [Google Scholar] [CrossRef]
  7. Schwartz, G.M. Hydrothermal alteration. Econ. Geol. 1959, 54, 161–183. [Google Scholar] [CrossRef]
  8. Schwenzer, S.P.; Kring, D.A. Alteration minerals in impact-generated hydrothermal systems–Exploring host rock variability. Icarus 2013, 226, 487–496. [Google Scholar] [CrossRef]
  9. Harvey, R.D.; Vitaliano, C.J. Wall-rock alteration in the Goldfield district, Nevada. J. Geol. 1964, 72, 564–579. [Google Scholar] [CrossRef]
  10. Hawley, C.C.; Robeck, R.C.; Dyer, H.B. Geology, Altered Rocks and Ore Deposits of the San Rafael Swell, Emery County, Utah; No. 1239; US Government Printing Office: Washington, DC, USA, 1968.
  11. Dearman, W.R.; Baynes, F.J.; Irfan, T.Y. Engineering grading of weathered granite. Eng. Geol. 1978, 12, 345–374. [Google Scholar] [CrossRef]
  12. Wyering, L.D.; Villeneuve, M.C.; Wallis, I.C.; Siratovich, P.A.; Kennedy, B.M.; Gravley, D.M.; Cant, J.L. Mechanical and physical properties of hydrothermally altered granitess, Taupo Volcanic Zone, New Zealand. J. Volcanol. Geotherm. Res. 2014, 288, 76–93. [Google Scholar] [CrossRef]
  13. Mathieu, L. Quantifying hydrothermal alteration: A review of methods. Geosciences 2018, 8, 245. [Google Scholar] [CrossRef]
  14. Cui, K.; Qu, Y.; Xie, Y.; Yang, K.; Huang, Z. Ore Genesis of the Langcun Porphyry W-Mo Deposit, South China: Constraints from Fluid Inclusion and H-O-S Isotopics. Minerals 2025, 15, 109. [Google Scholar] [CrossRef]
  15. Machek, M.; Roxerová, Z.; Janoušek, V.; Staněk, M.; Petrovský, E.; René, M. Petrophysical and geochemical constraints on alteration processes in granites. Stud. Geophys. Geod. 2013, 57, 710–740. [Google Scholar] [CrossRef]
  16. Julia, F.; Vladimir, L.; Sergey, R.; David, Z. Effects of hydrothermal alterations on physical and mechanical properties of rocks in the Kuril–Kamchatka island arc. Eng. Geol. 2014, 183, 80–95. [Google Scholar] [CrossRef]
  17. Kerr, P.F. Hydrothermal Alteration and Weathering, 3rd ed.; Poldervaart, A., Ed.; Geological Society of America: Boulder, CO, USA, 1955. [Google Scholar] [CrossRef]
  18. Nishimoto, S.; Yoshida, H. Hydrothermal alteration of deep fractured granite: Effects of dissolution and precipitation. Lithos 2010, 115, 153–162. [Google Scholar] [CrossRef]
  19. Zhang, Y.; Guo, C.; Qu, Y.; Song, Y. Engineering geological properties of altered rocks and implications for railway construction in the Sanjiang orogenic belt, Southwest China. Bull. Eng. Geol. Environ. 2011, 70, 143–152. [Google Scholar] [CrossRef]
  20. Zhang, G.H.; Jiao, Y.Y.; Ma, C.X.; Wang, H.; Chen, L.B.; Tang, Z.C. Alteration characteristics of granite contact zone and treatment measures for inrush hazards during tunnel construction–A case study. Eng. Geol. 2018, 235, 64–80. [Google Scholar] [CrossRef]
  21. Silwal, B.R. Rock Weathering, Mineral Alteration and Its Role in Landslide Occurrences: A Geochemical Perspective. Ph.D. Thesis, Shinshu University, Matsumoto, Japan, 2025. [Google Scholar]
  22. Whalen, J.B.; Currie, K.L.; Chappell, B.W. A-type granites: Geochemical characteristics, discrimination and petrogenesis. Contrib. Miner. Pet. 1987, 95, 407–419. [Google Scholar] [CrossRef]
  23. Oliva, P.; Viers, J.; Dupré, B. Chemical weathering in granitic environments. Chem. Geol. 2003, 202, 225–256. [Google Scholar] [CrossRef]
  24. Li, C.; Yang, S. Is chemical index of alteration (CIA) a reliable proxy for chemical weathering in global drainage basins? Am. J. Sci. 2010, 310, 111–127. [Google Scholar] [CrossRef]
  25. Wang, P.; Du, Y.; Yu, W.; Algeo, T.J.; Zhou, Q.; Xu, Y.; Qi, L.; Yuan, L.; Pan, W. The chemical index of alteration (CIA) as a proxy for climate change during glacial-interglacial transitions in Earth history. Earth-Sci. Rev. 2019, 201, 103032. [Google Scholar] [CrossRef]
  26. Huang, Z.; Ran, T.; Dong, J.; Yuan, G.; Zhao, G. Study on Granite Permeability Zoning Based on Electrical Resistivity: Take Wuyue Pumped Storage Power Station as an Example. Geofluids 2022, 2022, 8288408. [Google Scholar] [CrossRef]
  27. Sun, X.; Zheng, W.; Zhang, D.; Zhou, H.; Bi, H.; Feng, Z.; Liu, B. Identifying the Latest Displacement and Long-Term Strong Earthquake Activity of the Haiyuan Fault Using High-Precision UAV Data, NE Tibetan Plateau. Remote Sens. 2025, 17, 1895. [Google Scholar] [CrossRef]
  28. SY/T 5163-2018; Analysis Method for Clay Minerals and Ordinary Non-Clay Minerals in Sedimentary Rocks by the X-Ray Diffraction. China National Energy Administration: Beijing, China, 2018. (In Chinese)
  29. GB/T 14505-2010; Method for Chemical Analysis of Rocks and Ores—General Rules and Regulations. China Standards Press: Beijing, China, 2010.
  30. Wang, S.; Wang, G.; Li, S. Study on shear surface morphology and failure mechanism of soil-rock mixture under wet-dry cycle action. Phys. Chem. Earth 2024, 135, 103659. [Google Scholar] [CrossRef]
  31. Plümper, O.; Putnis, A. The complex hydrothermal history of granitic rocks: Multiple feldspar replacement reactions under subsolidus conditions. J. Petrol. 2009, 50, 967–987. [Google Scholar] [CrossRef]
  32. Locati, F.; Marfil, S.; Baldo, E.; Maiza, P. Na2O, K2O, SiO2 and Al2O3 release from potassic and calcic–sodic feldspars into alkaline solutions. Cem. Concr. Res. 2010, 40, 1189–1196. [Google Scholar] [CrossRef]
  33. Ferraz, A.R.; Fernandes, I.; Soares, D.; Silva, A.S.; Quinta-Ferreira, M. Assessment of the alteration of granitic rocks and its influence on alkalis release. IOP Conf. Ser. Earth Environ. Sci. 2017, 95, 022001. [Google Scholar] [CrossRef]
  34. Nazel, T. An Illustrated Index of Granite Deterioration Grades and Patterns. Restor. Build. Monum. 2014, 20, 265–280. [Google Scholar] [CrossRef]
  35. Sajid, M.; Coggan, J.; Arif, M.; Andersen, J.; Rollinson, G. Petrographic features as an effective indicator for the variation in strength of granites. Eng. Geol. 2016, 202, 44–54. [Google Scholar] [CrossRef]
  36. Dong, J.; Shi, S.; Liu, H.; Ren, M.; Li, J. Alteration Mechanism, Classification, and Mechanical Properties of Altered Granite. J. Earth Sci. 2025, 36, 2658–2673. [Google Scholar] [CrossRef]
  37. Pola, A.; Crosta, G.; Fusi, N.; Barberini, V.; Norini, G. Influence of alteration on physical properties of volcanic rocks. Tectonophysics 2012, 566, 67–86. [Google Scholar] [CrossRef]
  38. Prodan, M.V.; Arbanas, Ž. Weathering Influence on Properties of Siltstones from Istria, Croatia. Adv. Mater. Sci. Eng. 2016, 2016, 3073202. [Google Scholar] [CrossRef]
Figure 1. Location of Research Area.
Figure 1. Location of Research Area.
Applsci 16 02993 g001
Figure 2. Geology Background of Quwu Mountain (revised from [27]).
Figure 2. Geology Background of Quwu Mountain (revised from [27]).
Applsci 16 02993 g002
Figure 3. Photoes of altered granites: (a) fresh granites. (b) Altered granites in tennel. (c,d) Rock cores of altered granites. (e,f) Altered granites in the trench.
Figure 3. Photoes of altered granites: (a) fresh granites. (b) Altered granites in tennel. (c,d) Rock cores of altered granites. (e,f) Altered granites in the trench.
Applsci 16 02993 g003
Figure 4. Test Equipment of Mineralized Components in This Research. (a) Rock Slice Grinding Machine (TROJAN, Suzhou, China) (Photographed by Hongwei Lu); (b) X-ray Diffractometer (Rikaku, Tokyo, Japan) (Photographed by Hongwei Lu); (c) X-ray Fluorescence Spectrometer (Rikaku, Tokyo, Japan) (Picture from https://rigaku.com/ja/).
Figure 4. Test Equipment of Mineralized Components in This Research. (a) Rock Slice Grinding Machine (TROJAN, Suzhou, China) (Photographed by Hongwei Lu); (b) X-ray Diffractometer (Rikaku, Tokyo, Japan) (Photographed by Hongwei Lu); (c) X-ray Fluorescence Spectrometer (Rikaku, Tokyo, Japan) (Picture from https://rigaku.com/ja/).
Applsci 16 02993 g004
Figure 5. In situ large-scale direct shear tests: (a) shear test system, (b,c) sample preparation, (d) shear box, (e,f) sample preparation.
Figure 5. In situ large-scale direct shear tests: (a) shear test system, (b,c) sample preparation, (d) shear box, (e,f) sample preparation.
Applsci 16 02993 g005
Figure 6. Petrographic features of granites of research area. (a,b) Granodiorite. (c,d) Monzonitic granite (photographed by LEICA DM750P(Leica Camera AG, Wetzlar, Germany) polarizing microscope after slicing).
Figure 6. Petrographic features of granites of research area. (a,b) Granodiorite. (c,d) Monzonitic granite (photographed by LEICA DM750P(Leica Camera AG, Wetzlar, Germany) polarizing microscope after slicing).
Applsci 16 02993 g006
Figure 7. Correlation diagram of potassium feldspar + clay minerals and plagioclase content in the altered granite of the research area.
Figure 7. Correlation diagram of potassium feldspar + clay minerals and plagioclase content in the altered granite of the research area.
Applsci 16 02993 g007
Figure 8. Correlation diagram of major elements and LOI (ae) and CaO-K2O correlation diagram (f).
Figure 8. Correlation diagram of major elements and LOI (ae) and CaO-K2O correlation diagram (f).
Applsci 16 02993 g008
Figure 9. Uniaxial compression stress–displacement curves of rock samples with different alteration degrees.
Figure 9. Uniaxial compression stress–displacement curves of rock samples with different alteration degrees.
Applsci 16 02993 g009
Figure 10. Fitting curves of rock compression–shear test with different alteration degrees.
Figure 10. Fitting curves of rock compression–shear test with different alteration degrees.
Applsci 16 02993 g010
Figure 11. Results of the In Situ Saturated Shear Test.
Figure 11. Results of the In Situ Saturated Shear Test.
Applsci 16 02993 g011
Figure 12. Results of the in situ dry–wet cycle direct shear test. (a) Double dry–wet cycles. (b) Triple dry–wet cycles.
Figure 12. Results of the in situ dry–wet cycle direct shear test. (a) Double dry–wet cycles. (b) Triple dry–wet cycles.
Applsci 16 02993 g012
Figure 13. Typical creep–time curve (a) testing equipment; (b,c) granite samples, (d,f) axial creep–time curve of Sample 1 and 2, (e,g) staged axial creep–time curve of Sample 1 and 2.
Figure 13. Typical creep–time curve (a) testing equipment; (b,c) granite samples, (d,f) axial creep–time curve of Sample 1 and 2, (e,g) staged axial creep–time curve of Sample 1 and 2.
Applsci 16 02993 g013
Figure 14. Creep test photos of strong altered granite. (ac) Sample preparation process; (d) SZLB-4 soil creep triaxial testing machine; (e) a sample after creep shear failure.
Figure 14. Creep test photos of strong altered granite. (ac) Sample preparation process; (d) SZLB-4 soil creep triaxial testing machine; (e) a sample after creep shear failure.
Applsci 16 02993 g014
Figure 15. Creep Loading Curves of Strong Altered Granite under Different Confining Pressures: (a) 100 kPa; (b) 200 kPa; (c) 300 kPa.
Figure 15. Creep Loading Curves of Strong Altered Granite under Different Confining Pressures: (a) 100 kPa; (b) 200 kPa; (c) 300 kPa.
Applsci 16 02993 g015
Table 1. Mineral content of samples of altered rocks.
Table 1. Mineral content of samples of altered rocks.
Mineral SpeciesGranodioriteMonzonitic GranitesFractured Granites
Plagioclase38.2~68.7%45.0~53.8%25.3~70%
Potassium feldspar5.6~14.2%9.4~19.1%3.6~68.2%
Quartz9.2~32.5%4.1~25.5%1.3~11.4%
Chlorite4.2–32.1%2.0–24.1%5.8–16.7%
Clay minerals2.9~6.8%4.8~10.3%5.0~16.0%
Table 2. Results of laboratory tests of alteration granite and granite samples.
Table 2. Results of laboratory tests of alteration granite and granite samples.
TypeAlteration/WeatheringDensity
(g/cm3)
Particle Density
(g/cm3)
Water Content
(%)
Water Absorption Rate (%)
Alteration graniteStrong alteration2.492.6010.081.45~2.88
Moderate alteration2.602.650.22~1.740.48~2.30
GraniteStrong weathering2.552.660~0.130.05~0.14
Moderate weathering2.672.73/0.21~1.21
Table 3. P-wave velocities of the granite in the research area.
Table 3. P-wave velocities of the granite in the research area.
TypeAlteration/WeatheringP-Wave Velocity
(m/s)
Average Value
(m/s)
Alteration graniteStrong alteration1797~30202083
Moderate alteration3094~37173658
Weak alteration3791~44434141
GraniteModerate weathering3428~44994060
Weak weathering4859~55035240
Table 4. Parameters of uniaxial compressive strength of altered granite in the research area.
Table 4. Parameters of uniaxial compressive strength of altered granite in the research area.
Alteration LevelAverage UCS (MPa)Average Elastic Modulus (MPa)Average Poisson Ratio
Strong0.25.600.33
Moderate37.913,8000.25
Weak71.824,6000.22
Table 5. The axial force under different confining pressures (kN).
Table 5. The axial force under different confining pressures (kN).
Stress Level
Confining Pressure
100 kPa 200 kPa 300 kPa 400 kPa
Failure41.658.575.492.3
Long-term limit33.346.860.373.9
0.8 SL26.737.448.259.1
0.6 SL20.028.136.244.3
0.4 SL13.318.724.129.6
0.2 SL9.09.412.114.8
Table 6. Standard of characteristic and degree of granite alteration.
Table 6. Standard of characteristic and degree of granite alteration.
Evaluation
Index
Alteration Grade
WeakModerateStrong
Visual Identification IndicatorsColor changeNoneMildTotally
HammeringReboundNot fragileFragile
FractureFreshVisible altered mineralsClay minerals
Joint roughnessVery roughRough Smooth
Joint fillingNoneAltered mineralClay mineral
StructureMapsApplsci 16 02993 i001Applsci 16 02993 i002Applsci 16 02993 i003
RQD>9050~90<50
Clay mineral content<5%5~15%>15%
USC (MPa)>457.5~45<7.5
P-wave velocities(m·s−1)>45003000~4500<3000
Disclaimer/Publisher’s Note: The statements, opinions and data contained in all publications are solely those of the individual author(s) and contributor(s) and not of MDPI and/or the editor(s). MDPI and/or the editor(s) disclaim responsibility for any injury to people or property resulting from any ideas, methods, instructions or products referred to in the content.

Share and Cite

MDPI and ACS Style

He, M.; Leng, Y.; Peng, J. The Engineering Geological Characteristics and Alteration Classification of Altered Granite in East Quwu Mountain, Gansu, China. Appl. Sci. 2026, 16, 2993. https://doi.org/10.3390/app16062993

AMA Style

He M, Leng Y, Peng J. The Engineering Geological Characteristics and Alteration Classification of Altered Granite in East Quwu Mountain, Gansu, China. Applied Sciences. 2026; 16(6):2993. https://doi.org/10.3390/app16062993

Chicago/Turabian Style

He, Ming, Yanqiu Leng, and Jianbing Peng. 2026. "The Engineering Geological Characteristics and Alteration Classification of Altered Granite in East Quwu Mountain, Gansu, China" Applied Sciences 16, no. 6: 2993. https://doi.org/10.3390/app16062993

APA Style

He, M., Leng, Y., & Peng, J. (2026). The Engineering Geological Characteristics and Alteration Classification of Altered Granite in East Quwu Mountain, Gansu, China. Applied Sciences, 16(6), 2993. https://doi.org/10.3390/app16062993

Note that from the first issue of 2016, this journal uses article numbers instead of page numbers. See further details here.

Article Metrics

Back to TopTop