Effect of Drive Side Pressure Angle and Addendum on Mesh Stiffness of the Gears with Low and High Contact Ratios
Abstract
1. Introduction
2. Materials and Methods
2.1. Single Tooth Stiffness
2.2. Mesh Stiffness
3. Results
3.1. Single Tooth Stiffness Results
3.1.1. Effects of Drive Side Pressure Angle on Single Tooth Stiffness
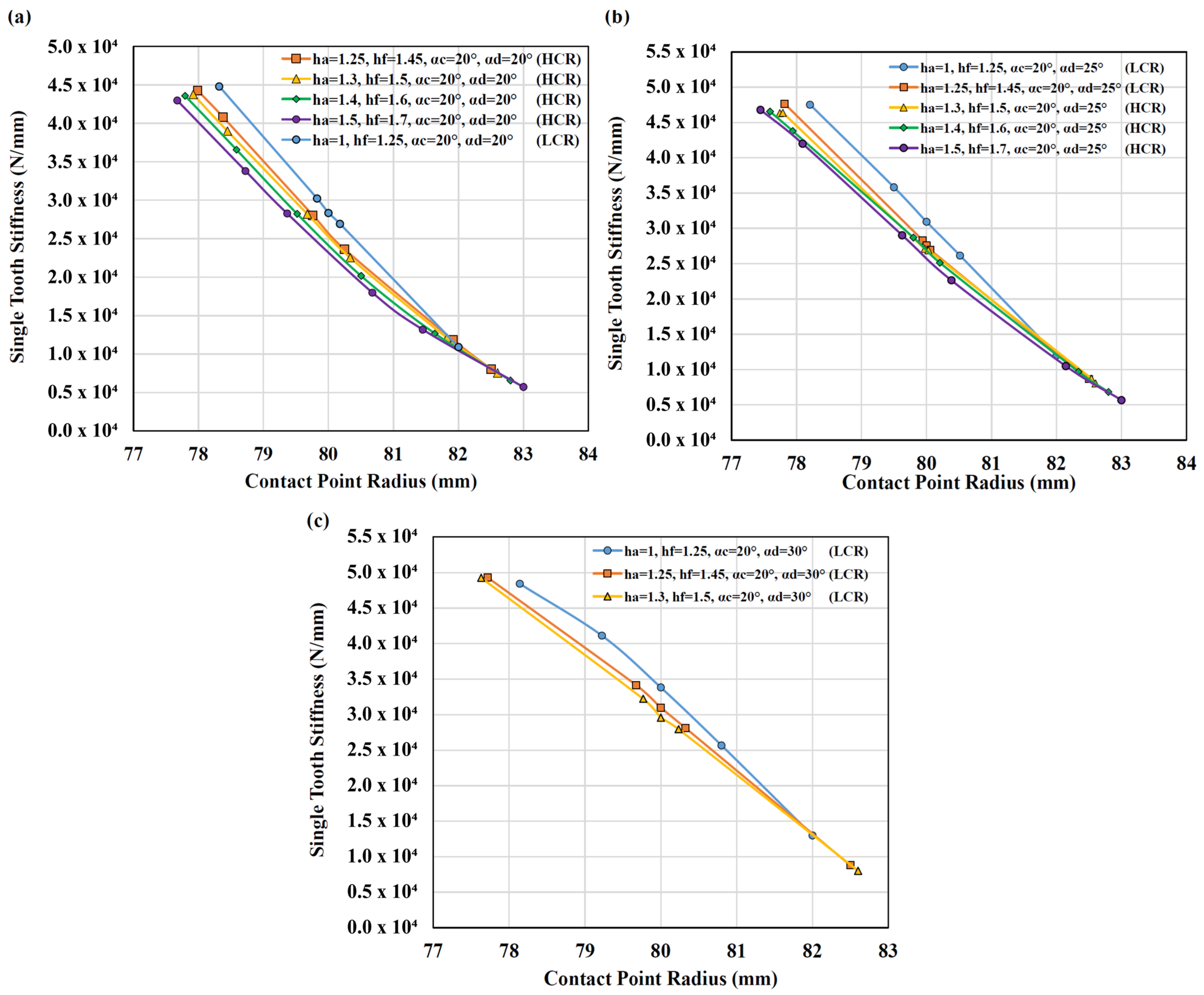
3.1.2. Effects of Addendum and Dedendum on Single Tooth Stiffness
3.2. Mesh Stiffness Results
3.2.1. Effects of Drive Side Pressure Angle on Mesh Stiffness
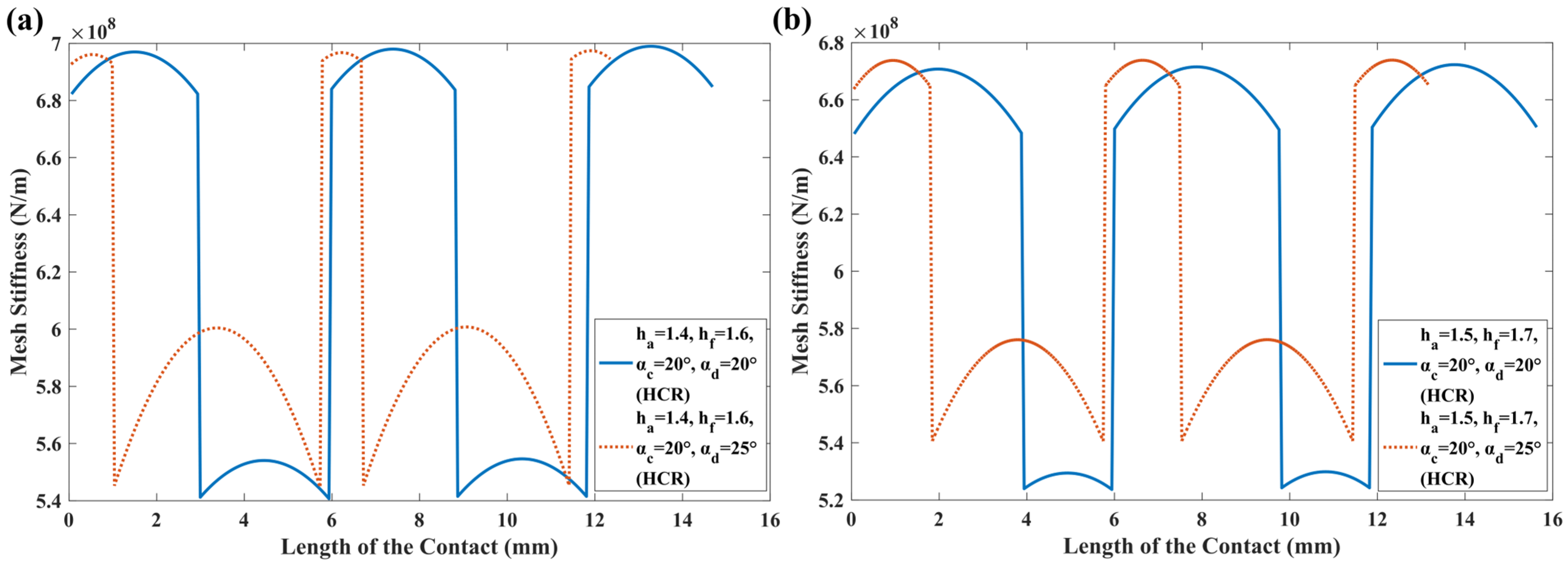
3.2.2. Effects of Addendum and Dedendum on Mesh Stiffness
4. Conclusions
Author Contributions
Funding
Institutional Review Board Statement
Informed Consent Statement
Data Availability Statement
Conflicts of Interest
Abbreviations
| STS | Single tooth stiffness |
| TVMS | Time-varying mesh stiffness |
| DSPA | Drive side pressure angle |
| LCR | Low contact ratio |
| HCR | High contact ratio |
| FEA | Finite element analysis |
| 3D | Three dimensional |
| LPTC | Lowest point of tooth contact |
| LPSTC | Lowest point of single tooth contact |
| HPSTC | Highest point of single tooth contact |
| HPTC | Highest point of tooth contact |
| FLPDTC | First lowest point of double tooth contact |
| FHPDTC | First highest point of double tooth contact |
| SLPDTC | Second lowest point of double tooth contact |
| SHPDTC | Second highest point of double tooth contact |
References
- Kapelevich, A. Geometry and design of involute spur gears with asymmetric teeth. Mech. Mach. Theory 2000, 35, 117–130. [Google Scholar] [CrossRef]
- Karpat, F.; Ekwaro-Osire, S.; Cavdar, K.; Babalik, F.C. Dynamic analysis of involute spur gears with asymmetric teeth. Int. J. Mech. Sci. 2008, 50, 1598–1610. [Google Scholar] [CrossRef]
- Chen, Z.; Shao, Y. Mesh stiffness calculation of a spur gear pair with tooth profile modification and tooth root crack. Mech. Mach. Theory 2013, 62, 63–74. [Google Scholar] [CrossRef]
- Karpat, F.; Dogan, O.; Yuce, C.; Ekwaro-Osire, S. An improved numerical method for the mesh stiffness calculation of spur gears with asymmetric teeth on dynamic load analysis. Adv. Mech. Eng. 2017, 9, 1687814017721856. [Google Scholar] [CrossRef]
- Thomas, B.; Sankaranarayanasamy, K.; Ramachandra, S.; Kumar, S.P.S. Selection of pressure angle-based on dynamic effects in asymmetric spur gear with fixed normal contact ratio. Def. Sci. J. 2019, 69, 303–310. [Google Scholar] [CrossRef]
- Zhu, G.; Huang, K.; Xiong, Y.; Li, A.; Peng, J.; Ding, W. An improved model for time-varying mesh stiffness of super-high-contact-ratio helical gear pair considering contact disparities on differently sliced fractal surfaces. Commun. Nonlinear Sci. Numer. Simul. 2025, 146, 108806. [Google Scholar] [CrossRef]
- Marafona, J.D.M.; Marques, P.M.T.; Martins, R.C.; Seabra, J.H.O. Mesh stiffness models for cylindrical gears: A detailed review. Mech. Mach. Theory 2021, 166, 104472. [Google Scholar] [CrossRef]
- Cooley, C.G.; Liu, C.; Dai, X.; Parker, R. Gear tooth mesh stiffness: A comparison of calculation approaches. Mech. Mach. Theory 2016, 105, 540–553. [Google Scholar] [CrossRef]
- Flek, J.; Dub, M.; Kolář, J.; Lopot, F.; Petr, K. Determination of Mesh Stiffness of Gear—Analytical Approach vs. FEM Analysis. Appl. Sci. 2021, 11, 4960. [Google Scholar] [CrossRef]
- Ma, H.; Zeng, J.; Feng, R.; Pang, X.; Wen, B. An improved analytical method for mesh stiffness calculation of spur gears with tip relief. Mech. Mach. Theory 2016, 98, 64–80. [Google Scholar] [CrossRef]
- Kalay, O.C.; Dogan, O.; Yılmaz, T.G.; Yuce, C.; Karpat, F. A comparative experimental study on the impact strength of standard and asymmetric involute spur gears. Measurement 2021, 172, 108950. [Google Scholar] [CrossRef]
- Li, S. Effect of addendum on contact strength, bending strength and basic performance parameters of a pair of spur gears. Mech. Mach. Theory 2008, 43, 1557–1584. [Google Scholar] [CrossRef]
- Mallesh, G.; Avinash, P.; Kumar, M.; Sacchin, G.; Khan, Z. Finite Element Modeling and Bending Stress Analysis of Non Standard Spur Gear. Int. J. Res. Eng. Technol. 2015, 4, 231–237. [Google Scholar] [CrossRef]
- Dogan, O. Performance Evaluation of Low- and High-Contact Ratio Spur Gears: Dynamic Response and Bending Strength. J. Vib. Eng. Technol. 2022, 10, 1337–1347. [Google Scholar] [CrossRef]
- Zheng, X.; Hu, Y.; Li, G.; Luo, J.; Parker, R.G. An analytical mesh stiffness model of high-contact-ratio spur gears covering multiple structure coupling effects. Mech. Mach. Theory 2025, 218, 106286. [Google Scholar] [CrossRef]
- Mu, Y.M.; Hou, X.Y.; Yang, S.W.; He, X.M. An innovative collaborative design of shape and performance for super-high-contact-ratio spiral bevel gear. Int. J. Precis. Eng. Manuf. 2023, 24, 813–823. [Google Scholar] [CrossRef]
- Pandya, Y.; Parey, A. Crack behavior in a high contact ratio spur gear tooth and its effect on mesh stiffness. Eng. Fail. Anal. 2013, 34, 69–78. [Google Scholar] [CrossRef]
- Pedersen, N.L.; Jørgensen, M.F. On gear tooth stiffness evaluation. Comput. Struct. 2014, 135, 109–117. [Google Scholar] [CrossRef]
- Dogan, O.; Yuce, C.; Karpat, F. Effects of rim thickness and drive side pressure angle on gear tooth root stress and fatigue crack propagation life. Eng. Fail. Anal. 2021, 122, 105260. [Google Scholar] [CrossRef]
- Wang, L.; Shao, Y. Fault mode analysis and detection for gear tooth crack during its propagating process based on dynamic simulation method. Eng. Fail. Anal. 2017, 71, 166–178. [Google Scholar] [CrossRef]
- Chen, Z.; Zhai, W.; Shao, Y.; Wang, K.; Sun, G. Analytical model for mesh stiffness calculation of spur gear pair with non-uniformly distributed tooth root crack. Eng. Fail. Anal. 2016, 66, 502–514. [Google Scholar] [CrossRef]
- Dogan, O.; Karpat, F. Crack detection for spur gears with asymmetric teeth based on the dynamic transmission error. Mech. Mach. Theory 2019, 133, 417–431. [Google Scholar] [CrossRef]
- Kalay, O.C.; Dogan, O.; Yuce, C.; Karpat, F. Effects of tooth root cracks on vibration and dynamic transmission error responses of asymmetric gears: A comparative study. Mech. Based Des. Struct. Mach. 2023, 52, 2569–2604. [Google Scholar] [CrossRef]
- Kumar, R.; Mandal, S.; Bhardwaj, P.; Mishra, C.; Mahato, S. Defect diagnosis of high contact ratio spur gear system with increasing level of fault. Eng. Fail. Anal. 2025, 169, 109097. [Google Scholar] [CrossRef]
- Namboothiri, N.V.; Marimuthu, P. Fracture characteristics of asymmetric high contact ratio spur gear based on strain energy release rate. Eng. Fail. Anal. 2022, 134, 106038. [Google Scholar] [CrossRef]
- Karpat, F.; Yuce, C.; Dogan, O. Experimental measurement and numerical validation of single tooth stiffness for involute spur gears. Measurement 2020, 150, 107043. [Google Scholar] [CrossRef]
- Yuce, C.; Dogan, O.; Karpat, F. Effects of asymmetric tooth profile on single-tooth stiffness of polymer gears. Mater. Test. 2022, 64, 513–523. [Google Scholar] [CrossRef]
- Yilmaz, T.G.; Dogan, O.; Karpat, F. Stress Analysis of Thin Rimmed Spur Gear with Asymmetric Trochoid. In Proceedings of the World Congress on Mechanical, Chemical and Material Engineering, Rome, Italy, 8–10 June 2017. [Google Scholar] [CrossRef]
- Dogan, O.; Yılmaz, T.G.; Karpat, F. Stress analysis of involute spur gears with different parameters by finite element and graphical method. J. Fac. Eng. Archit. Gazi Univ. 2018, 33, 1493–1504. [Google Scholar] [CrossRef]
- Thirumurugan, R.; Muthuveerappan, G. Critical Loading Points for Maximum Fillet and Contact Stresses in Normal and High Contact Ratio Spur Gears Based on Load Sharing Ratio. Mech. Based Des. Struct. Mach. 2011, 39, 118–141. [Google Scholar] [CrossRef]
- Colbourne, J.R. The Geometry of Involute Gears; Springer: New York, NY, USA, 1987. [Google Scholar] [CrossRef]



















| Gear Parameters | Case I | Case II | Case III | Case IV | Case V |
|---|---|---|---|---|---|
| Tooth number (z) | 80 | 80 | 80 | 80 | 80 |
| Module (m), mm | 2 | 2 | 2 | 2 | 2 |
| Addendum () | 1 m | 1.25 m | 1.3 m | 1.4 m | 1.5 m |
| Dedendum () | 1.25 m | 1.45 m | 1.5 m | 1.6 m | 1.7 m |
| Rack cutter tip radius () (mm) | 0.1 m | 0.1 m | 0.1 m | 0.1 m | 0.1 m |
| Coast side pressure angle () (°) | 20° | 20° | 20° | 20° | 20° |
| Drive side pressure angle () (°) | 20°, 25°, 30° | 20°, 25°, 30° | 20°, 25°, 30° | 20°, 25° | 20°, 25° |
| Contact ratio () | 1.8257 (LCR) 1.5780 (LCR) 1.4200 (LCR) | 2.2432 (HCR) 1.9500 (LCR) 1.7610 (LCR) | 2.3252 (HCR) 2.0234 (HCR) 1.8286 (LCR) | 2.4878 (HCR) 2.1695 (HCR) | 2.6485 (HCR) 2.3144 (HCR) |
| Face width (mm) | 25.4 | 25.4 | 25.4 | 25.4 | 25.4 |
| Material | Structural Steel | Structural Steel | Structural Steel | Structural Steel | Structural Steel |
| Young’s Modulus, E (GPa) | 200 | 200 | 200 | 200 | 200 |
| Poisson’s Ratio, ν | 0.3 | 0.3 | 0.3 | 0.3 | 0.3 |
| Yield Strength, , (MPa) | 250 | 250 | 250 | 250 | 250 |
| Backup ratio | 2 | 2 | 2 | 2 | 2 |
Disclaimer/Publisher’s Note: The statements, opinions and data contained in all publications are solely those of the individual author(s) and contributor(s) and not of MDPI and/or the editor(s). MDPI and/or the editor(s) disclaim responsibility for any injury to people or property resulting from any ideas, methods, instructions or products referred to in the content. |
© 2026 by the authors. Licensee MDPI, Basel, Switzerland. This article is an open access article distributed under the terms and conditions of the Creative Commons Attribution (CC BY) license.
Share and Cite
Sandikci, N.B.; Cermik, O.; Dogan, O. Effect of Drive Side Pressure Angle and Addendum on Mesh Stiffness of the Gears with Low and High Contact Ratios. Appl. Sci. 2026, 16, 2755. https://doi.org/10.3390/app16062755
Sandikci NB, Cermik O, Dogan O. Effect of Drive Side Pressure Angle and Addendum on Mesh Stiffness of the Gears with Low and High Contact Ratios. Applied Sciences. 2026; 16(6):2755. https://doi.org/10.3390/app16062755
Chicago/Turabian StyleSandikci, Nurullah Baris, Ozdes Cermik, and Oguz Dogan. 2026. "Effect of Drive Side Pressure Angle and Addendum on Mesh Stiffness of the Gears with Low and High Contact Ratios" Applied Sciences 16, no. 6: 2755. https://doi.org/10.3390/app16062755
APA StyleSandikci, N. B., Cermik, O., & Dogan, O. (2026). Effect of Drive Side Pressure Angle and Addendum on Mesh Stiffness of the Gears with Low and High Contact Ratios. Applied Sciences, 16(6), 2755. https://doi.org/10.3390/app16062755

