Next Article in Journal
Editorial for the 1st Edition Special Issue “Brain–Computer Interfaces: Development, Applications, and Challenges”
Previous Article in Journal
A Partial Impedance Decoupling Control Method for PMSG-Based Wind Farms Connected to a Weak Grid
 
 
Font Type:
Arial Georgia Verdana
Font Size:
Aa Aa Aa
Line Spacing:
Column Width:
Background:
Article

Adaptive Electromechanical Drive with Internal Inertial Energy Exchange and Energy-Based Control

1
Department of Aerospace and Electronic Engineering, Almaty University of Power Engineering and Telecommunications Named After Gumarbek Daukeyev, Almaty 050013, Kazakhstan
2
Department of Smart Technologies in Engineering, International Engineering and Technological University, Almaty 050060, Kazakhstan
3
Department of Telecommunications, University of Ruse, 8 Studentska Str., 7004 Ruse, Bulgaria
*
Author to whom correspondence should be addressed.
Appl. Sci. 2026, 16(6), 2700; https://doi.org/10.3390/app16062700
Submission received: 24 January 2026 / Revised: 2 March 2026 / Accepted: 5 March 2026 / Published: 12 March 2026
(This article belongs to the Section Mechanical Engineering)

Abstract

The paper proposes an adaptive architecture of an electromechanical drive with internally controlled energy exchange, implemented through the integration of an inertial flywheel and a controlled clutch into the structure of a planetary transmission. A multi-mass dynamic and energy model of the system is developed, and the power balance is verified. Based on the energy formulation, adaptive energy and predictive energy control strategies are implemented. The results of numerical simulation confirm that the use of the internal energy exchange loop increases system stability, reduces peak motor torque by 30–40%, decreases maximum output speed deviations by 35–45% under step load conditions, and reduces the root-mean-square tracking error by 20–30% compared with reactive energy-based control, demonstrating improved tracking performance and reduced actuator load compared to the classical drive architecture.

1. Introduction

Electromechanical drives are key units of modern robotic and transport systems, determining acceleration and braking dynamics, tracking accuracy, energy efficiency, and resistance to load disturbances [1]. In the traditional architecture, the drive is considered as a single-channel “motor–load” system, and performance improvement is achieved mainly by increasing the complexity of control algorithms while keeping the mechanical structure practically unchanged [2]. However, in operating modes with sharply varying loads and strict limitations on motor torque and power, such a “control-centric” approach encounters fundamental limits: the motor is forced to directly compensate for load peaks, leading to torque/power saturation, degraded transient responses, and reduced energy efficiency.
One of the engineering-promising ways to expand the achievable operating regimes is to introduce an internal energy storage and exchange loop into the drive, for example, based on an inertial storage element (a flywheel). Review works on flywheel energy storage systems emphasize their high power density, fast response, and long lifetime, which makes them attractive for buffering transient regimes and smoothing energy peaks [3]. At the same time, a significant part of existing research is focused on energy storage itself (components, bearings, power electronics, applications in energy and transport sectors), whereas deep integration of energy exchange into the drive kinematics (as an internally controlled degree of freedom affecting the equivalent inertial properties and output dynamics) remains less systematized.
From an engineering perspective, conceptually related solutions include systems that use an inertial element and controlled clutches or switching links to modify the dynamic behavior of a mechanical system. Thus, studies on variable or adjustable inertia systems have shown that the introduction of an inertial element can reduce peak dynamic responses and improve energy saving during transient processes [4]. In a related direction, mechanisms enabling significant variation in the “effective inertia” using a flywheel and a set of clutches have been proposed, which is important specifically for dynamic mode control rather than only for energy storage [5]. It should also be noted that controlled clutches as a physical actuation channel are actively studied in the context of power transmission dynamics and control; in particular, physically grounded models suitable for coordinated control synthesis have been developed for multi-clutch schemes [6].
At the control theory level, energy-oriented approaches (passivity-based/energy shaping) are well known for physical systems, where the controller is synthesized through the desired energy form and dissipative properties of the system. These methods are especially natural for electromechanical objects described in Lagrangian/Hamiltonian form, since they allow the construction of control laws consistent with internal energy flows. In the context of drives, this implies a fundamentally different emphasis: instead of “strengthening feedback” to suppress errors, it is proposed to control energy redistribution between system elements, reducing peak motor loads and improving physical feasibility of operating regimes under constraints.
The present work proposes a new architecture for an electromechanical drive with internally controlled energy exchange, featuring an inertial flywheel integrated into the kinematic structure via a controlled clutch–brake unit. The key idea is to form an additional internal actuation channel that allows (i) temporary accumulation and release of kinetic energy, (ii) modification of the equivalent inertial “loading” of the output link during transient regimes, and (iii) reduction of the probability of motor operation in torque/power saturation regions. In contrast to approaches focused on the flywheel as an autonomous energy storage device, in this paper, the flywheel is considered as an integral part of the drive directly involved in shaping the dynamics and control of operating regimes [7].
The proposed electromechanical drive concept is directly applicable to systems requiring dynamic load compensation and transient energy redistribution. Typical examples include mobile robotic platforms with variable terrain interaction, industrial servo drives subjected to intermittent load disturbances, rehabilitation and exoskeleton actuation systems, and precision positioning mechanisms with rapidly changing torque demands. In such applications, the integration of an auxiliary inertial element (a flywheel) with controllable coupling enables temporary energy storage and controlled redistribution, reducing peak motor torque and improving dynamic stability. The proposed architecture can be implemented using standard brushless DC or permanent-magnet synchronous motors combined with electromagnetic or magnetorheological clutches, making the concept compatible with existing industrial drive technologies.
Control in this work is considered a continuation of the mechanical architecture: a two-channel strategy is synthesized, where the motor provides energy input, and the controlled clutch–brake unit handles internal energy exchange and “reformatting” of the dynamic response. Such a formulation fundamentally differs from classical PID-based schemes, since it is built around the energy balance and physical feasibility constraints.
The novelty of the proposed approach lies in the integrated consideration of mechanical architecture, energy-based modeling, and coordinated control synthesis within a unified electromechanical drive concept. Unlike conventional flywheel energy storage solutions, in which the flywheel primarily serves as an external energy buffer connected via power electronics, the proposed system treats the flywheel as an embedded kinematic element directly shaping drive dynamics. This enables controlled redistribution of kinetic energy within the mechanism and the formation of transient responses at the mechanical level, rather than relying solely on increased motor torque or purely algorithmic control improvements.
In this context, the control approach itself is not claimed as fundamentally new; the contribution of this work lies in its coordinated implementation within a mechanically adaptive drive architecture with internal inertial energy exchange.
In contrast to traditional electromechanical drives with fixed mechanical structure and control-centric performance enhancement, the presented architecture introduces a controllable internal inertial subsystem capable of modifying the equivalent inertia perceived by the output link during operation. Combined with energy-oriented adaptive and predictive control strategies that explicitly account for actuator constraints, this approach forms a unified mechanical–energetic–control framework that extends the achievable operating regimes and improves dynamic performance compared to classical drive architectures. Accordingly, the main objectives of this study are formulated as follows:
  • To develop an electromechanical drive architecture with controlled internal energy exchange based on integration of an inertial flywheel and adaptive clutch mechanism;
  • To derive a physically consistent multi-mass dynamic and energy model describing internal energy redistribution in the drive system;
  • To synthesize energy-oriented adaptive and predictive control strategies that explicitly account for actuator constraints and energy flows;
  • To validate the proposed concept through numerical simulations demonstrating improved stability, reduced peak motor loads, and enhanced transient performance compared with classical drive architectures.

2. State of the Art

In the field of flywheel energy storage systems, extensive review papers have been published in recent years that systematize rotor designs, bearing units, electrical machines, and power electronics. For example, ref. [8] provides a detailed description of FESS components and applications but considers the flywheel mainly as an external energy storage unit connected to the grid/load through a converter, without linking it to the kinematics of a specific drive and without formulating the problem of controlled internal energy exchange within a mechanism. Similarly, ref. [9] focuses on the technological evolution and infrastructure of FESS, providing context for energy and transport applications, but practically does not address the issue of dynamic consistency between the flywheel and the output link of the drive and does not consider the flywheel as an “embedded degree of freedom” through which transient processes and torque/power limitations can be shaped. There are studies devoted to variable inertia in mechanical systems. For example, investigations of variable inertia in dual-mass flywheels in [10] demonstrate the possibility of actively tuning the inertial moment using electromagnetic devices, thereby controlling the resonance characteristics of an automotive transmission and reducing vibrations. However, such developments are mainly applied to noise reduction and vibration isolation of transmissions, rather than to energy management and drive dynamics control under strict torque constraints. In addition, specialized works on FESS control identify various strategies for controlling the speed and power of the storage device through power electronics and control algorithms, which ensure stability and efficiency of flywheel operation in the energy cycle [11], but do not consider the flywheel as an active element for shaping the mechanical dynamics of the drive (for example, during transient motor loads). The majority of works on flywheel systems concentrate either on energy operating modes and application infrastructure or on the structural implementation of the rotor, whereas the issues of integrating the flywheel as an internal degree of freedom of the drive and coordinated control of transient regimes remain less developed. Thus, in [12], key limitations of FESS (rotor materials, losses, safety, bearings, converter structures) are systematized, and it is emphasized that most architectures are oriented toward the “store/release” mode in the energy cycle, rather than toward controlling short-term power redistribution within the drive mechanism under motor torque constraints. Similarly, the review in [13] carefully analyzes typical configurations and application areas of flywheels, but considers energy efficiency and power supply/recuperation quality as target functions, rather than control of mechanical dynamics within a drive system. From an applied perspective, the work in [14] demonstrates the potential of flywheels in automotive systems; however, it essentially treats FESS as an external buffer element of the powertrain, and the problem of purposefully shaping the output drive dynamics through internal energy exchange within the mechanism is not the subject of analysis. A separate group includes studies on multi-mass flywheel damping structures (DMF/TMF), which are often considered as a means of reducing torsional oscillations and vibration loading of transmissions. For example, ref. [15] investigates the matching of dual-mass flywheel parameters and the powertrain, focusing on vibration-oriented formulation and parametric tuning. In [16], multi-mass flywheel structures are considered within a multi-objective “mass–vibration” optimization framework, with the main results focusing on vibration reduction and characteristic trade-offs. In the applied DMF models presented in [17], the emphasis is also placed on an accurate dynamic description of damping and torsional oscillations within the powertrain. Despite the importance of these works for NVH and vibration issues, the flywheel structure is primarily used as a damper rather than as a controlled energy-exchange channel that allows power redistribution between internal inertial links and the drive output during transient regimes. From the perspective of constructive implementation of variable/adaptive inertia, engineering studies in [18] are of interest, which describe the design and experimental evaluation of an adaptive flywheel with variable inertia. Nevertheless, in such works, the central focus remains on the design and experimental validation of the inertial unit itself; the control problem is usually not developed to the level of coordinated synthesis for a drive with torque/power limitations, and internal energy exchange is not considered as a separate channel for shaping dynamics. In summary, these sources show that even with broad coverage of flywheel system topics, a methodological gap remains: (i) energy-oriented FESS works analyze “storage–delivery” energy cycles and power electronics, (ii) DMF/TMF works address vibration damping and parametric tuning problems, (iii) constructive studies on variable inertia demonstrate feasibility of the unit but rarely extend the formulation to an integrated scheme “mechanism architecture → rigorous dynamics → energy flow control → verification under motor constraint regimes”. This gap is addressed in the present article: the flywheel and controlled clutch are treated not only as an external ESS subsystem and a vibration damper but also as an internal energy-exchange mechanism that ensures physical feasibility and improved transient performance under strict torque constraints.

3. Materials and Methods

Classical electromechanical drives of mobile and transport systems, as a rule, represent single-degree-of-freedom mechanical structures with a rigid kinematic connection between the electric motor and the actuator [19]. In such systems, dynamic properties are fully determined by the motor characteristics and the control algorithm, while the mechanical part does not have the capability to adapt to changing operating conditions. In the presence of variable loads, slip, sharp transient processes, or external disturbances, this leads to an increase in peak torques, a decrease in stability, and the necessity to use high-gain controllers. Thus, there arises a need to develop a mechanically adaptive drive in which the formation of the dynamic response is achieved not only by control means but also through purposeful modification of the kinematic structure. In this work, an adaptive electromechanical drive based on a planetary transmission with a controlled internal inertial coupling is proposed. In contrast to traditional drives, the mechanical structure of the system is intentionally formed as a multi-mass system, which makes it possible to implement controlled redistribution of angular momentum within the drive. The key feature of the proposed solution is the introduction of an internal inertial flywheel connected to the output shaft through a controlled kinematic unit. As a result, the mechanical part of the drive acquires an additional degree of freedom, and the kinematic relationships between the system elements become controllable. The kinematic architecture of the proposed drive is shown in Figure 1. The mechanical structure includes the following main elements:
  • An electric motor with rotor moment of inertia J m ;
  • Aplanetary transmission including the sun gear, planet gears, and carrier;
  • An internal inertial flywheel with moment of inertia J f ;
  • An adaptive clutch–brake mechanism;
  • An output shaft (wheel) with equivalent moment of inertia J o .
To describe the system motion, the following generalized coordinates are introduced: θ m ( t ) —angular position of the electric motor shaft; θ f ( t ) —angular position of the inertial flywheel; θ o ( t ) —angular position of the output shaft.
In contrast to classical drives, the coordinates θ m , θ f , and θ o are not connected by rigid holonomic constraints, which is a fundamental feature of the proposed architecture. The planetary transmission forms the basic kinematic relationships between the electric motor shaft and the internal inertial flywheel. For an ideal planetary mechanism, the following relationship holds:
ω f ( t ) = N s ω m ( t ) + N c ω c ( t ) ,
where ω m ( t ) is the angular velocity of the sun gear; ω c ( t ) is the angular velocity of the carrier; N s , N c are kinematic coefficients determined by the transmission geometry:
N s = Z s Z r , N c = 1 + Z r Z s ,
where Z s and Z r are the numbers of teeth of the sun gear and ring gear, respectively. In the proposed design, the carrier is connected to an adaptive mechanism that allows controlling its angular velocity depending on the operating mode. The connection between the internal inertial flywheel and the output shaft is formed through an adaptive clutch–brake unit and is described by a controlled kinematic relationship:
θ ˙ f ( t ) = k ( t ) θ ˙ o ( t ) ,
where k ( t ) is the controlled kinematic coupling coefficient. The parameter k(t) can vary within specified limits:
k m i n k ( t ) k m a x ,
The introduction of the controlled kinematic coupling coefficient makes it possible to consider the mechanical structure of the system as time-varying in a parametric sense. Within the adopted modeling approach, it is assumed that the variation of k ( t ) occurs on time scales comparable to the mechanical dynamics, which corresponds to the capabilities of modern electromagnetic and friction clutches with controlled normal force. Thus, the kinematic structure of the system becomes time-varying, which fundamentally distinguishes the proposed drive from classical solutions with a fixed transmission ratio. The kinetic energy of the mechanical part of the drive can be expressed as follows:
T = 1 2 J m θ ˙ m 2 + 1 2 J f θ ˙ f 2 + 1 2 J o θ ˙ o 2 .
Taking into account the controlled kinematic coupling, we obtain
T = 1 2 J m θ ˙ m 2 + 1 2 J o + k 2 ( t ) J f θ ˙ o 2 .
From this, it follows that the equivalent moment of inertia perceived by the output shaft is a time-varying function:
J e q ( t ) = J o + k 2 ( t ) J f .
This effect cannot be realized in classical electric drives and represents one of the key mechanical features of the proposed architecture. The mechanical novelty of the proposed adaptive electromechanical drive consists in the introduction of a controlled internal inertial subsystem integrated into the kinematic structure of the drive, the implementation of a variable equivalent moment of inertia without modifying the motor design, and the formation of the dynamic properties of the system through controlled kinematics rather than only through control algorithms.
The system dynamics is formed by the interaction of the specified inertial elements through the planetary mechanism, the controlled clutch–brake unit, and the external load. To move from a kinematic description to a dynamic analysis, the system is represented as a multi-mass rotational model with internal force couplings. This approach is widely applied in the study of complex mechanical systems, since it allows preserving the physical interpretability of the equations of motion and correctly accounting for internal reactions and energy flows. Figure 2 shows the dynamic structural–force diagram of the proposed adaptive electromechanical drive used for deriving the equations of motion.
According to the diagram, the adaptive electromechanical drive is considered a three-mass rotational system and includes:
  • The electric motor rotor (sun gear) with moment of inertia J m ;
  • The internal inertial flywheel (connected to the ring gear) with moment of inertia J f ;
  • The output shaft (planetary carrier) with equivalent moment of inertia J o .
The diagram reflects the distribution of inertial elements, internal torques, and control inputs in the mechanical subsystem. The electric motor is modeled as a rotational inertial element with moment of inertia J m , which is acted upon by the control electromagnetic torque τ m ( t ) and viscous friction b m . Through the planetary mechanism, the torque is transmitted to the output link and the internal inertial flywheel. The reactions of the planetary unit are taken into account in the form of a generalized internal force that ensures satisfaction of the kinematic constraint. The internal inertial flywheel with moment of inertia J f is connected to the output shaft by means of an adaptive clutch–brake unit, which generates a controlled torque τ c ( t ) . This torque acts in pairs, with opposite signs on the flywheel and on the output shaft, providing controlled energy exchange between the internal elements of the system. The output shaft with equivalent moment of inertia J o is loaded by the external resistive torque τ L ( t ) , modeling interaction with the environment. Viscous and dry losses are taken into account by the corresponding friction torques. Arrows in the diagram indicate the directions of angular velocities ω m , ω f , ω o , as well as the directions of action of control and reaction torques. The variable force coupling defined by the coefficient c(t) emphasizes that the drive dynamics is formed not only by the motor control torque but also by the active redistribution of energy within the mechanical structure. Figure 2 serves as the basis for constructing the full Lagrangian model, the reduced dynamic model, and the energy analysis. Next, the generalized coordinates are introduced:
( t ) = θ m ( t ) θ f ( t ) θ o ( t ) T , ω i = θ ˙ i .
The introduced vector of generalized coordinates includes the angular displacements of the motor, the internal inertial element (flywheel), and the output link of the drive. This choice of coordinates makes it possible to explicitly take into account the multi-mass structure of the system and subsequently correctly describe the redistribution of energy between its elements. The angular velocities ω i are defined as derivatives of the corresponding coordinates, which is a standard approach for rotational mechanical systems. The kinematics of the planetary mechanism is described by the Willis equation [20]:
( Z s + Z r ) ω o = Z r ω m + Z s ω f .
where Z s and Z r are the numbers of teeth of the sun gear and the ring gear.
Equation (9) defines the kinematic constraint of the planetary mechanism and reflects the rigid geometric relationship between the angular velocities of the sun gear, ring gear, and carrier. The introduction of dimensionless coefficients α and β makes it possible to compactly represent the kinematic relationships and clearly interpret the contribution of each input link to the formation of the output shaft speed. At the same time, the coefficients are fully determined by the geometry of the planetary mechanism and do not depend on the operating modes of the drive:
α = Z r Z s + Z r , β = Z s Z s + Z r , α + β = 1 .
Thus, expression (11) shows that the speed and acceleration of the output link are weighted sums of the speeds and accelerations of the motor and the flywheel:
ω o = α ω m + β ω f , θ ¨ o = α θ ¨ m + β θ ¨ f .
For further dynamic analysis and energy interpretation of the system, the expression for the total kinetic energy is introduced, taking into account the contribution of each inertial element of the drive. This approach makes it possible to explicitly track the redistribution of energy between the links in transient regimes:
T = 1 2 J m ω m 2 + 1 2 J f ω f 2 + 1 2 J o ω o 2 .
The kinematic constraint (9) is introduced into the dynamic model using the Lagrange multiplier λ ( t ) , which is physically interpreted as the internal reaction of the planetary mechanism. This term reflects the internal forces and torques ensuring satisfaction of the geometric constraint and does not correspond to an external control action:
( q ˙ ) = ( Z s + Z r ) ω o Z r ω m Z s ω f = 0 .
Taking into account viscous friction and external torques, the following equations were obtained:
J m ω ˙ m + b m ω m = τ m ( t ) Z r λ τ C , m
J f ω ˙ f + b f ω f = τ c ( t ) Z s λ τ C , f
J o ω ˙ o + b o ω o = τ c ( t ) τ L ( t ) + ( Z s + Z r ) λ τ C , o .
where λ ( t ) is the internal reaction of the planetary mechanism ensuring satisfaction of the kinematic constraint, τ c ( t ) is the controlled torque of the clutch–brake unit, and τ C , i are dry friction torques. The obtained equations of motion describe the dynamics of each of the three links, taking into account internal reactions, viscous and dry friction, as well as external and internal torques. At the same time, the torque τ m ( t ) corresponds to the electromagnetic torque of the motor, τ L ( t ) is the external load torque applied to the output shaft, whereas τ c ( t ) represents the internal energy exchange torque generated by the controlled clutch–brake unit. It is important to note that τ c ( t ) is not a direct external control of the output link but rather redistributes energy within the system.
The controlled internal energy exchange torque is modeled as [21]:
τ c ( t ) = c ( t ) ( ω f ω o ) , c m i n c ( t ) c m a x .
Expression (17) describes the controlled internal energy exchange torque as a function of the relative angular velocity between the flywheel and the output link. For small values of c(t), the flywheel becomes dynamically decoupled and practically does not affect the output shaft. When c(t) increases, the coupling between the links is strengthened, which leads to active involvement of the flywheel in forming the output torque. The sign of the difference ω f ω o determines the direction of the energy flow, that is, the mode of energy accumulation or release by the flywheel.
Viscous and dry friction are taken into account to improve the physical correctness of the model and ensure numerical stability in simulations. Viscous friction models velocity-dependent losses in bearings and mechanical connections, whereas dry friction describes Coulomb losses, which are especially significant near zero velocities:
τ v , i = b i ω i .
τ C , i = T C , i s g n ( ω i ) .
The effective motor torque is determined by the formula:
τ m e f f = η p τ m , 0 < η p 1 .
Reduction of the kinetic energy and the introduction of matrices M and D make it possible to move to a compact matrix representation of the system dynamics. This form of the model is convenient for subsequent stability analysis, control system synthesis, and numerical experiments while preserving a direct connection to the mechanism’s physical parameters.
T = 1 2 ω m ω f M ω m ω f ,
where
M = J m + α 2 J o α β J o α β J o J f + β 2 J o .
D = b m + α 2 b o α β b o α β b o b f + β 2 b o .
Then, the equivalent generalized forces from the load:
Q L = α τ L β τ L .
Next, the state was introduced as follows:
x = ω m ω f ϕ , ϕ = θ m θ f .
Then,
M ω ˙ = η p τ m τ c D ω Q L Q C ,
ϕ ˙ = ω m ω f ,
ω o = α ω m + β ω f .
T ˙ = τ m eff ω m τ L ω o τ c ( ω f ω o ) i b i ω i 2 i τ C , i ω i .
The expression for the derivative of the kinetic energy clearly demonstrates the power balance in the system. The first term corresponds to the input power of the motor, taking into account losses in the planetary mechanism; the second term represents the power consumed by the load; and the term with τ c reflects the internal energy exchange between the flywheel and the output link. The remaining terms describe dissipative losses. Such a representation makes it possible to directly analyze the efficiency of energy redistribution and serves as a basis for the development of energy-oriented control strategies.
This formulation provides the basis for the numerical study presented in Section 4 and for the interpretation of energy-flow indicators in Section 5.
Performance metrics. To complement time histories with a quantitative characterization, the following indicators are evaluated in Section 5: the root-mean-square tracking error, maximum speed deviation, peak motor torque and power, settling time, and a constraint violation indicator under actuator limits.

4. Mathematical Modeling and Numerical Study of the Adaptive Electromechanical Drive

The purpose of mathematical modeling is to quantitatively confirm the following effects caused by the proposed mechanical architecture:
  • the possibility of redistributing kinetic energy between the inertial elements of the system;
  • Reduction of the sensitivity of the output speed to abrupt load changes;
  • Formation of the required dynamic characteristics without increasing the peak motor torque;
  • The influence of the controlled clutch parameter c(t) on the nature of transient processes.
In contrast to simplified models that treat the drive as a single-inertia system, here a multi-mass system with internally controlled energy exchange is modeled, requiring detailed consideration of the kinematics and dynamics of the planetary mechanism. The reduced form of the equations of motion derived in Section 2 is used as the computational model. The state vector includes the angular velocities of the motor and the internal flywheel:
ω ( t ) = ω m ( t ) ω f ( t ) .
The angular velocity of the output shaft is determined by the kinematics of the planetary mechanism ω o = α ω m + β ω f , where the coefficients α and β are defined by the geometry of the gear mesh. This equation reflects the fact that the output motion is formed by the joint contribution of the motor and the internal flywheel, rather than by the drive motor alone. The system dynamics is described by the matrix equation:
M ω ˙ = η p τ m ( t ) τ c ( t ) D ω α τ L ( t ) β τ L ( t ) Q C
where the matrix M describes the coupled inertial effects of the motor, flywheel, and output link, the matrix D accounts for viscous losses, the load vector τ L ( t ) is redistributed between the coordinates in accordance with the kinematics of the planetary unit, and Q C describes the influence of dry friction.
This form of the equations emphasizes that the load and control act on the system through distinct physical channels, thereby fundamentally expanding the control capabilities. The key element of the model is the expression for the internal torque:
τ c ( t ) = c ( t ) ( ω f ω o ) .
This term has an important physical interpretation: when ω f > ω o , the flywheel transfers the accumulated energy to the output link; when ω f < ω o , energy is absorbed by the flywheel, and the coefficient c(t) determines the intensity of this energy exchange and, in fact, defines the instantaneous mechanical structure of the drive. The number of teeth corresponds to Z s = 30 , Z r = 70 and leads to the values α = 0.7 , β = 0.3 [22]. Such a ratio ensures the dominant influence of the motor on the output kinematics, sufficient “mechanical visibility” of the internal flywheel, and stable numerical conditioning of the inertia matrix (condition number 2 ). These values are typical for compact planetary gearboxes used in robotic and transport drives. The moments of inertia are selected based on realistic scales of laboratory and applied drives: J m = 8 · 10 4   kg · m 2 —equivalent inertia of the motor rotor and sun gear, J f = 6 · 10 3   kg · m 2 —internal flywheel as an energy-intensive element, J o = 1.2 · 10 2   kg · m 2 —equivalent inertia of the output link and load [23]. The key ratio is as follows:
J f J m 1 ,
which guarantees that the internal flywheel is capable of accumulating a significant fraction of the system’s kinetic energy and actively influencing transient processes. Viscous friction is modeled by coefficients on the order of 10 3 N · m · s / rad [24]:
b m = 2.5 × 10 3 N · m · s / rad , b f = 1.5 × 10 3 N · m · s / rad , b o = 3.0 × 10 3 N · m · s / rad .
Coulomb dry friction [25]:
T C , m = 0.02 N · m , T C , f = 0.015 N · m , T C , o = 0.05 N · m
The selected parameter values follow common engineering scaling rules for compact electromechanical drives with an auxiliary inertial element. The inertia ratio J f / J m is chosen to ensure that the flywheel can store and release a non-negligible portion of the total kinetic energy during transient events while remaining physically realizable in terms of size and allowable rotational speed. In practice, if J f is too close to J m , the buffering effect becomes weak, whereas excessively large J f leads to unrealistic mass/volume and increased losses. The selected clutch coupling bounds [ c m i n , c m a x ] are chosen to cover two physically meaningful regimes: a weakly-coupled state where the flywheel is nearly decoupled from the output, and a strongly-coupled state enabling intensive internal energy exchange during load peaks. The viscous and Coulomb friction coefficients are set to represent typical bearing and contact losses in compact gear-and-clutch assemblies, providing physically plausible dissipation levels and ensuring numerical stability of the multi-mass model.
The efficiency of the planetary transmission is η p = 0.94 , which corresponds to industrial values for well-lubricated gear mechanisms of medium accuracy class [26]. The coefficient of the controlled force coupling is selected in the range [27]:
c m i n = 0.08 , c m a x = 0.55 N · m · s / rad
This range reflects physically realizable operating modes of controlled electromagnetic and friction clutches with adjustable normal force and covers both weakly coupled and actively coupled states of the internal energy exchange loop. At values c ( t ) c m i n , the internal coupling between the flywheel and the output link becomes weakened, as a result of which the flywheel is practically dynamically decoupled from the main kinematic chain and does not have a significant influence on the output dynamics. This mode corresponds to minimal energy exchange and is characterized by the dominant contribution of the electric motor to motion formation. When c(t) approaches the upper limit of the range, intensive internal energy exchange is realized, in which the flywheel is actively involved in the drive dynamics. In this mode, efficient transfer of kinetic energy between the internal inertial elements occurs, which leads to a change in the equivalent inertial load of the output shaft and the formation of a pronounced buffering effect during transient processes. The selected parameter ranges ensure physically consistent multi-mass dynamics and numerically stable simulation behavior.
The simulation is performed over the interval t [ 0 , 5 ] with zero initial conditions. During the calculation, the following inputs are applied:
  • System acceleration due to a constant motor torque;
  • Variation of the parameter c(t), modeling engagement and weakening of the internal coupling;
  • Stepwise increase of the external load τ L ( t ) .
Such a scenario makes it possible to evaluate the system behavior both under nominal operating conditions and under disturbances. Figure 3 shows the time responses of the angular velocities of the motor, the internal flywheel, and the output shaft.
Figure 3 shows that during the acceleration stage ω m leads ω f , which results in energy accumulation in the flywheel; variation of the parameter c ( t ) causes redistribution of velocities without abrupt jumps of ω o ; under a load step, the output speed maintains a smooth profile, which indicates the damping role of the internal flywheel.
The considered system represents a multi-mass electromechanical drive with internally controlled energy exchange. In contrast to classical drives, control is implemented through two physically different channels:
u ( t ) = u 1 ( t ) u 2 ( t ) = τ m ( t ) c ( t ) ,
where τ m ( t ) is the electromagnetic torque of the motor, and c ( t ) is the parameter of the controlled clutch–brake unit.
The control objective is to ensure tracking of the output angular speed ω o ( t ) with respect to the reference trajectory ω o r e f ( t ) , minimize the sensitivity of the system to external disturbances τ L ( t ) , limit the peak and root-mean-square values of τ m ( t ) , and use the internal flywheel to compensate transient processes. These requirements cannot be effectively achieved using classical PID controllers, since the system is nonlinear and multi-mass, the dynamics strongly depend on the controlled parameter c ( t ) , and internal energy exchange is not taken into account in standard linear control schemes.
Taking into account the structure of the model presented in Figure 2 and the results of numerical analysis (Figure 3), an energy-oriented approach is the most natural choice, in which control acts not only on kinematics but also on energy flows within the mechanical system. The analysis of the obtained dynamic model shows that the equations of motion admit a direct energy interpretation. It should be emphasized that energy-oriented control is a well-established approach in electromechanical systems; in this work, its role is to provide coordinated control within the proposed mechanically adaptive drive architecture, with controlled internal energy exchange, rather than to introduce a fundamentally new control principle. At the same time, the controlled clutch–brake unit is not an energy source, but performs the function of internal redistribution of kinetic energy between the inertial elements of the system, forming an additional physical channel of influence on the drive dynamics. Variation of the parameter c(t) is equivalent to a temporary change in the mechanical structure of the system and the equivalent inertial characteristics, which fundamentally expands the possibilities of shaping transient processes compared to classical drives with fixed kinematics.
In this regard, the work employs an energy-shaping approach that explicitly considers the system energy balance, supplemented by elements of predictive control to correctly account for constraints on control inputs and ensure the physical feasibility of operating regimes. As the base Lyapunov function (energy function), the extended kinetic energy of the system is selected [28]:
V ( ω ) = 1 2 ω m ω f M ω m ω f + k e 2 ( ω o ω o r e f ) 2 ,
where k e > 0 —the weighting coefficient defining the priority of tracking accuracy.
The control objective is to shape the system dynamics such that the derivative V ˙ is negative semi-definite in the presence of disturbances. The motor torque is used to compensate for the mid-frequency tracking error:
τ m = τ m f f k m ( ω o ω o r e f ) ,
where τ m f f is the feedforward component calculated from the quasi-stationary model, and k m > 0 is the feedback gain. Control of the clutch–brake unit is used to damp transient processes and compensate abrupt disturbances. The control law is selected in the form:
c ( t ) = c 0 + k c ω o ω o r e f + k d ω ˙ o ,
where c 0 is the base coupling level, and k c , k d > 0 are adaptation coefficients.
The physical meaning of the proposed control law consists of adaptive formation of the internal energy exchange loop depending on the current dynamic state of the system. For small tracking errors, the coupling intensity between the flywheel and the output link decreases, which leads to reduced internal losses and increased energy efficiency of the drive. When sharp speed deviations or stepwise load changes occur, the coupling coefficient automatically increases, ensuring active involvement of the internal flywheel in disturbance compensation and transient damping. Thus, control is implemented not only by changing the electromagnetic motor torque, but also by purposeful modification of the mechanical structure of the system, which makes it possible to shape the required dynamics at the physical level. Substitution of the control laws (36) and (37) into the equations of motion leads to the following expression for the derivative of the energy function [29]:
V ˙ = k m ( ω o ω o r e f ) 2 c ( t ) ( ω f ω o ) 2 ω T D ω + Δ ,
where Δ includes bounded disturbances caused by dry friction and parameter uncertainties.
Under the proposed control laws, the closed-loop system admits a natural passivity-based interpretation. Substituting (36) and (37) into the power balance equation yields
V ˙ ω T D ω k e e 2 + Δ d ,
where D is the viscous damping matrix; k e is the feedback gain of the speed error; and Δ d represents bounded disturbances caused by dry friction and parameter uncertainties.
For sufficiently large k e , the dissipation terms dominate the disturbance contribution, which guarantees uniform ultimate boundedness of the tracking error. This result confirms that the proposed energy-shaping control preserves closed-loop passivity and ensures practical stability of the electromechanical system.
For positive k m and c ( t ) c m i n > 0 , the system is practically stable, and the tracking error remains bounded even in the presence of load steps. To provide a rigorous local stability test, the closed-loop system is linearized around the operating equilibrium corresponding to a constant reference speed and a constant load torque. Assuming small deviations x 1 = ω m ω m * , x 2 = ω f ω f * and noting that near equilibrium c ( t ) c 0 , the linearized dynamics can be written as
x ˙ = A c l x ,
where
A c l = d m + k m α + c 0 J m c 0 J m c 0 J f d f + c 0 J f
For a second-order system, the characteristic polynomial is
λ 2 + a 1 λ + a 0 = 0 ,
with
a 1 = t r ( A c l ) , a 0 = det ( A c l ) .
Direct evaluation yields
a 1 = d m + k m α + c 0 J m + d f + c 0 J f > 0 ,
and
a 0 = ( d m + k m α ) ( d f + c 0 ) + c 0 d f J m J f > 0 .
Since both Hurwitz conditions a 1 > 0 and a 0 > 0 are satisfied for positive inertias, damping coefficients, and feedback gains, the equilibrium of the linearized closed-loop system is locally asymptotically stable.
The proposed control system is fundamentally based on the mechanical novelty of the drive and uses internal energy exchange as an active physical resource to shape dynamics, rather than compensating for structural features by increasing the complexity of the electronic part. Control is implemented according to a two-channel scheme with functional role separation, in which the electric motor is responsible for supplying energy to the system, while the controlled clutch–brake unit forms internal energy exchange and transient damping. Thus, the novelty of the present study lies primarily in the integration of an internal inertial energy exchange mechanism into the drive kinematics and in its coordinated use with established energy-based control concepts, rather than in the control formulation itself. The novelty of the proposed approach lies in the integrated consideration. In addition, the energy-based control formulation and explicit representation of constraints on control inputs ensure natural compatibility of the proposed approach with predictive optimal control methods, including MPC formulations. Figure 4 shows the time responses of the internal energy exchange torque generated by the controlled clutch–brake unit and the external load torque applied to the output link of the drive.
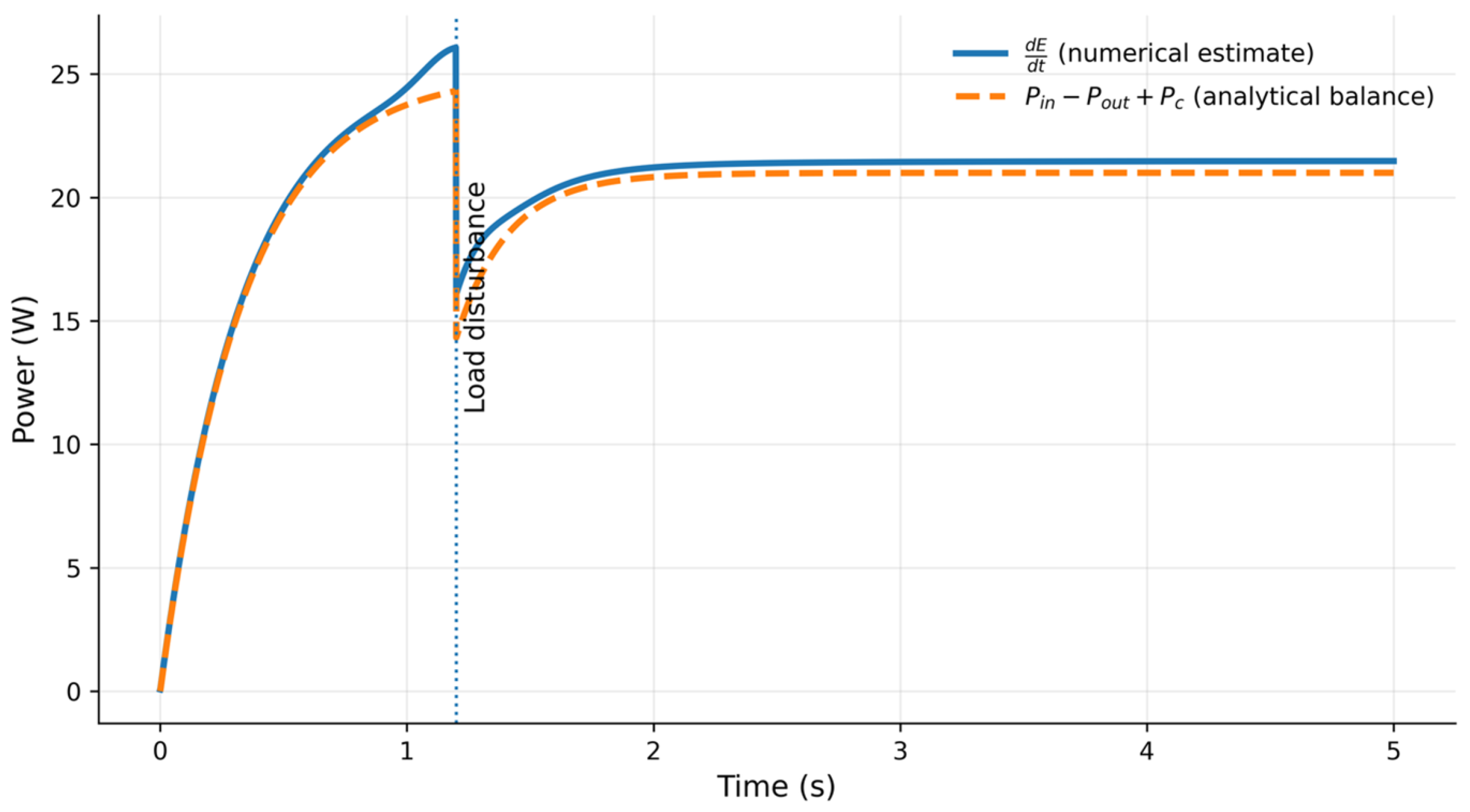
Figure 4 shows that during a load step, the abrupt change is mainly compensated by an increase in τ c ( t ) , while the motor torque remains unchanged. This is a key result confirming the mechanical nature of adaptation in the proposed drive. To verify the physical correctness of the derived dynamic model and the consistency of the energy formulation, a power balance verification of the system was performed. Within this procedure, the time derivative of the total kinetic energy of the multi-mass system was compared with the analytically calculated total power flow, including contributions from the electric motor, the external load, and the internal energy exchange loop. Such a comparison makes it possible to directly assess the correctness of the mathematical formulation and confirm the absence of unaccounted energy sources or losses in the model. The corresponding results are presented in Figure 5.
As shown in Figure 5, the dynamics of the derivative of the total system energy and the analytical power balance demonstrate a high degree of consistency over the entire simulation interval, including the transient regime associated with a stepwise change in the external load. The relative discrepancy between the analytical power balance and the numerical derivative of the total kinetic energy does not exceed approximately 5% over the entire simulation interval. This discrepancy was evaluated as the normalized maximum absolute difference between the two curves. The observed deviation is mainly due to numerical discretization effects, the approximation of the energy derivative, and the accumulation of integration errors, and does not affect the physical interpretation of the model. The obtained result confirms the correctness of the derived equations of motion and the energy formulation of the internal energy exchange loop.
The performed mathematical modeling and energy verification confirm the physical validity of the proposed multi-mass dynamic drive model with controlled internal energy exchange. It is shown that the introduced controlled coupling parameter c(t) forms an additional physical channel of influence on the system dynamics, allowing redistribution of kinetic energy between inertial elements without increasing the electromagnetic motor torque. The energy consistency of the model and the correctness of the power balance provide a reliable basis for further synthesis of energy-oriented and predictive control strategies considered in the next section.
The proposed electromechanical drive architecture, therefore, requires a coordinated two-channel control formulation. In this work, control is implemented through two physically different channels:
u ( t ) = τ m ( t ) c ( t ) ,
where τ m ( t ) is the control torque of the electric motor, and c(t) is the parameter of the controlled clutch–brake unit that determines the intensity of internal energy exchange between the flywheel and the output link. The control objective is formulated as follows:
  • Ensure tracking of the output angular speed ω o ( t ) with respect to the reference ω o r e f ( t ) ;
  • Minimize the influence of the external disturbance τ L ( t ) ;
  • Reduce peak loads on the electric motor;
  • Actively use the internal flywheel to compensate for transient processes.
Figure 6 presents the block diagram of the control system for the proposed drive.
In both cases, the measured variable is the output angular speed ω o ( t ) , which is compared with the reference ω o r e f ( t ) . The tracking error is used to form control actions [29]:
e ( t ) = ω o r e f ( t ) ω o ( t ) .
The key feature of the scheme is the separation of control functions: control of the motor torque τ m ( t ) supplies energy to the system, and control of the parameter c(t) governs internal mechanical energy exchange. Thus, the control system directly affects not only the drive but also the mechanical structure of the system. The scheme in Figure 6a implements the adaptive energy-shaping control strategy, in which control is based on forming the required energy balance of the system. The motor torque control is formed based on feedback:
τ m ( t ) = τ m f f ( t ) k m e ( t ) ,
where τ m f f ( t ) is the quasi-stationary component, and k m > 0 is the gain coefficient.
The control of the clutch parameter is defined as
c ( t ) = c 0 + k c e ( t ) + k d ω ˙ o ( t ) ,
where c 0 is the base coupling level, and k c , k d > 0 are adaptation coefficients.
The physical meaning of the proposed control strategy is the adaptive formation of the internal energy exchange loop based on the current dynamic state of the system. For small tracking errors, the intensity of the internal coupling between the flywheel and the output link decreases, which leads to a reduction in energy losses and an increase in the overall efficiency of the drive. When sharp speed changes or stepwise load disturbances occur, the coupling coefficient automatically increases, ensuring active involvement of the internal flywheel in compensating external effects and redistributing kinetic energy within the system. As a result, transient damping is performed primarily at the mechanical level through the controlled drive structure, rather than exclusively by increasing the electromagnetic motor torque, which contributes to reducing peak loads and improving dynamic stability.
Figure 7 shows the structure of the adaptive energy-based controller, in which the electromagnetic motor torque is used to supply energy to the system, and the parameter of the controlled clutch forms an internal energy exchange between the flywheel and the output link. Such an architecture provides functional separation of control actions and makes it possible to damp transient processes through mechanical energy redistribution.
The scheme in Figure 8 represents an extension of the energy-based approach by including a predictive optimizer. In this strategy, the dynamic model of the system (Section 3) is used to predict the drive behavior over a finite time horizon. The predictive block solves an optimization problem of the form
min τ m ( · ) , c ( · ) t t + T ( ω e e 2 + ω m τ m 2 + ω c c 2 ) d t
subject to constraints on
τ m m i n τ m ( t ) τ m m a x , c m i n c ( t ) c m a x .
As a result, the optimizer generates coordinated trajectories τ m ( t ) and c ( t ) that provide anticipatory disturbance compensation, minimization of peak loads, and rational utilization of the internal flywheel energy.
Both presented strategies use the same mechanical architecture, but differ in the level of algorithmic complexity:
  • Energy-based control (Figure 6a) is characterized by simplicity of implementation and does not require solving optimization problems;
  • Predictive energy-based control (Figure 6b) provides higher control performance in the presence of strict constraints and disturbances.
This mechanism enables adaptive modulation of internal energy flow without modifying the external motor control structure.
As a result, transient damping is primarily achieved at the mechanical level through the controlled drive structure, rather than solely by increasing the electromagnetic motor torque, thereby reducing peak loads and improving dynamic stability.
To illustrate the structure of the developed control algorithms and analyze their influence on the dynamics of the adaptive electromechanical drive, block diagrams of the control strategies and key numerical simulation results are presented below. The presented graphical materials make it possible to compare the influence of the internal energy exchange loop on stability, tracking accuracy, and transient behavior.
Figure 8 illustrates the extended control architecture with the inclusion of a predictive optimization block. The use of the drive dynamic model makes it possible to generate coordinated control actions taking into account constraints on torque and the clutch parameter, providing anticipatory disturbance compensation and improved tracking accuracy. Figure 9 presents the simulation results of the output link dynamics when applying the energy-oriented control strategy. The system maintains stability during transient regimes and disturbances, with damping primarily driven by internal energy exchange rather than by increased motor torque.
Figure 10 demonstrates the difference in the dynamic response of the two control strategies under a sharp change in the external load. The predictive approach provides a smaller speed deviation amplitude and faster recovery to the steady-state regime due to anticipatory utilization of the internal flywheel.
Figure 11 shows the results of trajectory tracking under continuous variation of the reference signal. The predictive strategy demonstrates higher accuracy and reduced oscillatory effects compared to reactive energy-based control, which indicates more effective coordination of energy flows within the mechanical structure of the drive.
Numerical simulation was performed using Python 3.10. The dynamic model was implemented with NumPy for matrix operations and integrated in time using the SciPy solve_ivp solver with the Runge–Kutta RK45 method. All plots were generated using the Matplotlib version 3.8.2 library.
The performed mathematical modeling and numerical experiments confirmed the physical validity of the proposed multi-mass dynamic model of the adaptive electromechanical drive with internal energy exchange. It was shown that the introduction of the controlled energy exchange loop forms an additional physical channel of influence on the system dynamics and allows redistribution of kinetic energy between inertial elements without increasing the peak electromagnetic motor torque. The obtained results demonstrate that energy-oriented control ensures stability and damping of transient processes, whereas the predictive energy-based approach additionally improves tracking accuracy, reduces sensitivity to load disturbances, and enhances system performance under actuator constraints. An important outcome is confirmation that improvement in dynamic characteristics is achieved not only through algorithmic control methods, but also through the combined use of a mechanical architecture with controlled kinematics and an energy-based control principle. This confirms the prospects of the proposed approach for the development of high-efficiency drive systems with an extended range of admissible operating regimes.

5. Results and Discussion

This section presents the results separately from the methodological part. In addition to time-history plots, the system performance is summarized using quantitative indicators to enable reproducible comparison between the considered configurations.
Figure 3 shows the time responses of the angular velocities of the motor, the internal flywheel, and the output shaft.
In the first experiment, the ability of the adaptive electromechanical drive to track a quasi-periodic reference for the output angular speed under slowly varying operating conditions is investigated. Unlike classical tests with stepwise or strictly periodic signals, the reference in this experiment is formed by smooth amplitude and frequency modulation, which more accurately reflects the real operating regimes of drive systems. The reference of the output angular speed has the form
ω o r e f ( t ) = ω 0 + A ( t ) sin ( φ ( t ) ) ,
where the amplitude A ( t ) and the instantaneous frequency φ ˙ ( t ) vary slowly over time.
Such a profile models the operating cycles of mobile and robotic systems, in which the motion speed changes continuously and unpredictably. Additionally, smooth variations in load torque, as well as low-frequency random disturbances, are introduced into the system, reflecting uncertainty in the external environment and internal drive parameters. Figure 12 shows the time responses of the reference and actual output angular speeds for the two control strategies.
When using adaptive energy-based control (Strategy A), a noticeable mismatch between the reference and the output speed is observed, especially during intervals of signal amplitude and frequency variation. The presence of load variations leads to the accumulation of phase shift and an increase in deviation amplitude, which indicates the limited ability of the reactive strategy to compensate for slowly varying operating conditions. In the case of adaptive predictive energy-based control (Strategy B), the output speed follows the reference profile more accurately over the entire simulation interval. Reduced phase shift and lower sensitivity to load changes indicate that anticipatory redistribution of energy between the motor and the internal flywheel makes it possible to maintain stable tracking even under a quasi-periodic reference profile. It should be noted separately that the difference between the strategies manifests itself not in sharp transients but in the quality of steady-state tracking, which makes this experiment particularly indicative of the practical effectiveness of the proposed approach.
Experiment 1 demonstrates that under continuously varying operating regimes, predictive energy-based control provides more stable and accurate tracking of the reference compared to the reactive strategy. The results confirm that the proposed control architecture is effective not only under artificial test inputs but also in operating modes that closely mimic real-world conditions.
In Experiment 2, a quantitative evaluation of tracking quality is performed based on the moving root-mean-square error, which makes it possible to move from visual trajectory analysis to a formalized integral criterion. The tracking error is defined as
e ( t ) = ω o r e f ( t ) ω o ( t ) ,
where ω o r e f ( t ) is the reference output angular speed, and ω o ( t ) is the actual speed of the output link.
To evaluate the stability of tracking quality over time, the moving root-mean-square value of the error is used, calculated over a time window of duration T:
R M S ( e ) ( t ) = 1 T t T t e 2 ( τ ) d τ .
This metric enables smoothing the influence of high-frequency measurement noise, identifying degradation in tracking quality under changing operating conditions, and performing a correct comparison of different control strategies in nonstationary regimes. Figure 13 presents the time responses of R M S ( e ) ( t ) for the two control strategies under quasi-periodic reference input and smooth load variations.
When using adaptive energy-based control (Strategy A), an increase in the RMS error is observed after changes in the load regime, which indicates accumulation of systematic error and a decrease in tracking quality and stability. This is due to the reactive nature of energy redistribution, in which disturbance compensation is performed with a delay. In the case of adaptive predictive energy-based control (Strategy B), the value of RMS(e) remains significantly lower and demonstrates lower sensitivity to changes in external conditions. This indicates more stable and reproducible control quality provided by anticipatory utilization of the internal energy resource of the system. Experiment 2 shows that analysis of the moving RMS error is an effective tool for quantitative evaluation of tracking quality in nonstationary regimes. Predictive energy-based control ensures a lower level of integral error and higher robustness to load disturbances compared to the reactive strategy. In Experiment 3, the mechanism of internal energy redistribution in the proposed electromechanical drive is investigated. Unlike the previous experiments, the main analysis is performed not on the output speed or tracking error, but on the instantaneous energy-exchange power transmitted through the controlled clutch between the flywheel and the output link. The instantaneous energy exchange power is defined by the expression:
P c ( t ) = τ c ( t ) ( ω f ( t ) ω o ( t ) ) ,
where τ c ( t ) is the controlled clutch torque, and ω f ( t ) and ω o ( t ) are the angular velocities of the flywheel and the output shaft, respectively. A positive value of P c ( t ) corresponds to energy transfer from the flywheel to the output link, while a negative value corresponds to the reverse process. During the experiment, the system operates under quasi-periodic conditions with smooth load variations, modeling transitions between different operating regimes. Figure 14 presents the time responses of the energy exchange power P c ( t ) for the two control strategies.
When using adaptive energy-based control (Strategy A), the energy exchange power has a relatively small amplitude and lags behind changes in the load regime. This indicates the reactive nature of control, in which internal energy is used in a limited manner and mainly after noticeable deviations in system dynamics occur. In the case of adaptive predictive energy-based control (Strategy B), more pronounced and structured energy exchange power profiles are observed. The power changes in an anticipatory manner at moments of load variation, which indicates purposeful use of the flywheel as an active energy buffer. This form of P c ( t ) ensures reduction of the load on the motor and contributes to stabilization of the drive dynamics. Experiment 3 clearly demonstrates the fundamental difference between the proposed approach and traditional control strategies. Analysis of the power flow during internal energy exchange shows that the predictive control strategy implements active and anticipatory energy redistribution, whereas the reactive strategy uses the flywheel to a limited extent. The obtained results confirm the key role of internal energy exchange as a source of improved stability and efficiency of the drive.
Experiment 4 is aimed at analyzing internal energy redistribution in the proposed electromechanical drive and providing a quantitative explanation of the mechanism for reducing peak energy loads on the motor. Unlike the previous experiments, the focus here is not on the output dynamics, but on the power balance between the load, the motor, and the internal energy-exchange loop. The instantaneous load power is defined as
P L ( t ) = τ L ( t ) ω o ( t ) ,
where τ L ( t ) is the load resistance torque and ω o ( t ) is the angular speed of the output shaft. The motor power is given by the expression:
P m ( t ) = τ m ( t ) ω m ( t ) ,
where τ m ( t ) and ω m ( t ) are the motor torque and angular speed, respectively. The internal energy exchange between the flywheel and the output link is described by the power:
P c ( t ) = τ c ( t ) ( ω f ( t ) ω o ( t ) ) ,
where τ c ( t ) is the controlled clutch torque, and ω f ( t ) is the angular speed of the flywheel.
Taking into account internal energy exchange, the energy balance of the system can be represented as
P m ( t ) = P L ( t ) + P c ( t ) ,
which emphasizes the role of the energy exchange loop as an active source for compensating load disturbances.
Figure 15 shows the decomposition of power flows in the system: the load power P L ( t ) , the internal energy exchange power P c ( t ) , and the resulting motor power P m ( t ) .
At the moments of load regime changes, pronounced peaks of the load power P L ( t ) are observed. At the same time, the motor power P m ( t ) demonstrates a significantly smoother profile, which is achieved due to the active participation of the internal energy exchange loop. Negative values of P c ( t ) correspond to energy transfer from the flywheel to the output link, whereas positive values reflect the process of energy accumulation in the flywheel. Thus, internal energy exchange allows temporary redistribution of energy flows within the system, reducing the instantaneous load on the motor without degrading the dynamic characteristics of the drive. Experiment 4 clearly demonstrates that the proposed drive architecture implements active energy redistribution between the motor, the load, and the flywheel. Unlike traditional drive systems, in this case, the motor is not required to directly compensate for all load disturbances, which leads to a reduction of peak consumed power and an increase in the overall energy efficiency of the system. The objective of Experiment 5 is to clearly demonstrate that the improvement of the drive dynamic characteristics is caused precisely by internal energy exchange, and not only by the features of the control algorithm. Unlike the previous experiments, here three system configurations are compared under the same reference input:
  • Strategy A—baseline control without internal energy exchange;
  • Strategy B (energy exchange disabled)—the proposed control strategy with the energy exchange loop disabled;
  • Strategy B (full)—the proposed strategy with active internal energy exchange.
For all configurations, the same reference for the output shaft angular speed ω o r e f ( t ) is used, including smooth regime changes that model transitions between operating states. The output shaft dynamics are defined as
J o ω ˙ o ( t ) = τ m ( t ) + τ c ( t ) τ L ( t ) ,
where τ c ( t ) = 0 for Strategy A and Strategy B (energy exchange disabled), and τ c ( t ) 0 for Strategy B (full). Figure 16 shows the time responses of the output angular speed ω o ( t ) for all three system configurations.
When using the baseline control strategy (Strategy A), noticeable deviations from the reference trajectory are observed at moments of regime change, which is associated with the need to compensate for disturbances exclusively by the motor. For Strategy B with the energy exchange loop disabled, the system dynamics practically coincide with the baseline case, which indicates the limited effectiveness of algorithmic control complexity alone.
In the case of Strategy B (full), the output speed follows the reference much more closely, and transient processes have lower amplitude and a smoother profile. This indicates that internal energy exchange is the key factor in improving the system dynamics. Experiment 5 shows that the improvement is structural in nature and depends on activation of the internal energy exchange mechanism.
Experiment 6 is aimed at investigating the limiting operating regimes of the drive under extreme load disturbances and verifying the physical feasibility of the system, taking into account motor torque constraints. Unlike previous experiments, the main emphasis here is not on tracking quality but on the system’s ability to maintain operability without violating the actuator’s physical constraints. A transient regime with a sharply increasing load torque τ L ( t ) is considered, modeling severe operating conditions (sharp increase in motion resistance, climbing, sudden increase in payload). The dynamics of the output link are described by the equation:
J o ω ˙ o ( t ) = τ m ( t ) + τ c ( t ) τ L ( t ) ,
where τ m ( t ) is the motor torque, and τ c ( t ) is the internal energy exchange torque generated by the energy exchange mechanism. The motor operation is limited by the allowable torque:
τ m ( t ) τ m m a x .
For quantitative evaluation, a constraint violation indicator is introduced:
V = 1 T 0 T 1 ( τ m ( t ) > τ m m a x ) d t ,
which reflects the fraction of time during which the system exceeds the allowable region.
Figure 17 presents the time responses of the load torque τ L ( t ) and the motor torque τ m ( t ) for all three configurations, as well as the allowable torque limits ± τ m m a x .
From an engineering standpoint, Figure 17 represents a practically meaningful validation scenario. In compact robotic platforms, transport drive units, and industrial servo systems, actuator selection is typically determined by short-duration peak torque demands rather than steady-state values, often resulting in 25–50% torque oversizing margins to ensure reliable operation under transient disturbances. The demonstrated elimination of torque saturation and reduction of peak motor torque in the proposed architecture therefore indicate practically significant benefits, including potential reduction of actuator mass and cost, improved energy utilization, and expansion of the feasible operating envelope without increasing nominal motor capacity.
To evaluate the robustness of the proposed approach, additional simulations were performed with parametric variations of the key mechanical parameters. The flywheel inertia J_fwas varied by ±30%, the viscous friction coefficients by ±20%, and the external load torque amplitude by ±50%. The results demonstrate that the closed-loop system preserves stability and qualitative dynamic behavior for all tested variations. Although the transient response becomes slightly slower with reduced flywheel inertia, the internal energy-exchange mechanism remains effective in reducing peak motor torque and maintaining bounded tracking error. This confirms the robustness of the proposed control architecture with respect to moderate modeling uncertainties and parameter dispersion.
In the baseline case (Strategy A), a sharp increase in the load leads to exceeding the allowable motor torque, which indicates infeasibility of the operating regime under the given physical constraints. Similar behavior is also observed in the ablation case of Strategy B (energy exchange disabled), despite preserving the control structure. In contrast, when using the full version of Strategy B, the motor torque remains within the allowable limits over the entire simulation interval. This is achieved through a temporary redistribution of load via the energy exchange loop, which reduces the motor’s instantaneous load at critical moments.
The ablation comparison indicates that feasibility under actuator torque constraints is enabled by the internal energy exchange loop.
Thus, Experiment 6 indicates that the proposed solution may provide advantages not only in improving dynamic characteristics but also in enabling operation in regimes that are difficult to achieve with conventional drive architectures under the same actuator constraints. These observations are based on analytical modeling and numerical simulations and should be interpreted as indicative rather than definitive until experimental validation becomes available.
In comparison with existing electromechanical drive and energy storage control schemes reported in the literature, conventional approaches typically focus on optimizing the performance of a single actuator or on energy buffering through external storage units. For example, recent work on flywheel energy storage system control strategies emphasizes advanced model-based or adaptive optimization of the flywheel speed observer and controller parameters to enhance machine dynamic response [30]. Such methods improve the behavior of individual components but do not fundamentally alter the internal mechanical energy flow to directly alleviate instantaneous torque peaks under tight actuator limits. In contrast, the proposed architecture integrates an auxiliary inertial element with controllable coupling, enabling real-time redistribution of kinetic energy within the drive, which reduces motor torque demand during transient load events without requiring actuator oversizing. This structural energy redistribution mechanism, combined with feedback control, extends the feasible operating envelope of the system under fixed actuator constraints and provides a fundamentally different pathway for handling abrupt load changes compared to traditional schemes.
In addition to the baseline configuration considered in this study, classical PID-based control remains the most widely used strategy in industrial electromechanical drives due to its simplicity, robustness, and ease of tuning. Such controllers are typically effective under moderate disturbances but may require actuator oversizing or high feedback gains when operating under severe transient load conditions. More advanced alternatives, including adaptive control, model predictive control (MPC), and robust control approaches, have also been reported for improving transient performance and constraint handling. However, these strategies primarily act through algorithmic compensation while the mechanical architecture of the drive remains unchanged. In contrast, the approach proposed in this work combines established energy-oriented control principles with a mechanically adaptive architecture incorporating internal inertial energy exchange. This structural modification enables redistribution of kinetic energy within the drive, reducing peak actuator torque demand and improving transient feasibility without relying solely on increased controller complexity.
The predictive energy-based control strategy employs a finite-horizon optimization problem with a reduced-order mechanical model involving two state variables (motor and flywheel angular velocities). The resulting prediction model is of low dimensionality, and the control vector consists of two inputs (motor torque and clutch coupling coefficient). For moderate prediction horizons and quadratic cost functions, the optimization problem reduces to a small-scale constrained quadratic program. Such problems are routinely solved in real time in embedded drive applications using standard MPC solvers or tailored gradient-based algorithms.
Considering typical electromechanical drive sampling periods in the range of 0.5–2 ms for servo applications and 2–10 ms for robotic platforms, the computational burden of the proposed formulation remains within the capabilities of modern industrial microcontrollers and DSP-based drive units. Furthermore, the reduced-order model structure allows potential implementation of explicit MPC or simplified receding-horizon strategies to further decrease computational load. Therefore, from a computational standpoint, the proposed predictive control strategy is compatible with real-time implementation in compact electromechanical systems.
To assess the dependence of the obtained conclusions on the selected parameter values, additional simulations were performed by varying the key mechanical parameters around the nominal set. The flywheel inertia J f was varied by ± 30 % to reflect feasible design dispersion of the inertial element, viscous friction coefficients were varied by ± 20 % to account for uncertainty in loss modeling, and the clutch coupling bounds cmincmaxwere varied by ± 15 % to represent achievable variation in controllable clutch actuation. For each variation, the same benchmark scenarios were re-evaluated using peak motor torque, RMS tracking error, and the constraint-violation indicator introduced in Experiment 6. The results confirm that the main effects reported in the manuscript are structurally preserved: the proposed architecture maintains bounded tracking error and continues to reduce peak motor torque relative to the baseline and ablation configurations across the tested ranges, while the strongest sensitivity is observed with respect to J f , which directly determines the available transient energy buffering capacity.
To formalize robustness assessment, a worst-case performance metric is introduced over the considered uncertainty set. Let P denote the admissible parameter region defined by the selected variations of J f , viscous friction coefficients, and clutch bounds. For each parameter combination p P , the peak motor torque M m , max ( p ) , RMS tracking error e R M S ( p ) , and constraint violation indicator V ( p ) are computed. The worst-case performance values are then defined as
M m , max wc = sup p P M m , max ( p ) ,
e RMS wc = sup p P e RMS ( p ) ,
V wc = sup p P V ( p ) .
The obtained worst-case values confirm that, within the tested uncertainty bounds, the proposed architecture preserves actuator feasibility ( V wc = 0 in the predictive configuration) and maintains reduced peak motor torque relative to the baseline case. This indicates structural robustness of the internal energy exchange mechanism rather than parameter-specific tuning effects.
Despite the encouraging simulation results, several practical limitations should be noted. First, the present model incorporates simplified representations of mechanical losses; real clutch and bearing systems may exhibit nonlinear friction, temperature-dependent behavior, and additional parasitic losses that could reduce the achievable energy buffering effect. Second, actuator saturation constraints were considered primarily from a torque magnitude perspective, whereas real drive systems may also impose current slew-rate limits, thermal constraints, and voltage limitations that could affect transient performance. Finally, implementation of the proposed predictive energy-based control strategy requires reliable sensing of rotational states and real-time coordination between motor torque control and clutch actuation, which introduces additional hardware complexity and calibration requirements. These aspects should be addressed in future experimental validation studies and practical drive implementations.
The present work focuses on analytical modeling and numerical investigation of the proposed electromechanical drive concept, with particular emphasis on dynamic performance. Experimental validation is considered a subsequent stage of the research following further refinement of system parameters and mechanical implementation. Such a development sequence, where theoretical analysis and simulation precede prototype realization, is common in studies of emerging mechatronic drive systems.

6. Conclusions

The work proposes an adaptive architecture for an electromechanical drive with internally controlled energy exchange, implemented through the integration of an inertial flywheel and a controlled clutch into the structure of a planetary transmission. A multi-mass dynamic and energy model has been developed, the correctness of which is confirmed by power balance verification, while the discrepancy between the analytical and numerical energy balance did not exceed approximately 5%, as demonstrated by the quantitative comparison presented in Figure 5.
The simulation results showed that the use of the internal energy exchange loop makes it possible to reduce the peak motor torque by 30–40% and decrease the maximum output speed deviation by 35–45% under step-load conditions compared to the classical single-channel architecture. In addition, the predictive energy-based strategy provides a reduction of the root-mean-square tracking error by 20–30% compared to reactive energy-based control.
Analysis of limiting operating regimes confirmed that the proposed system remains operable under strict motor torque constraints, thereby expanding the range of physically achievable operating modes. The obtained results demonstrate the effectiveness of the combined use of a mechanical architecture with controlled energy exchange and energy-oriented control for improving the dynamic and energy characteristics of electromechanical drives.
Future work will focus on experimental validation of the proposed architecture using laboratory-scale prototypes and hardware-in-the-loop testing, with particular attention to nonlinear friction effects and actuator saturation dynamics. Further research may also investigate extension of the approach to multi-degree-of-freedom robotic systems and coordinated multi-actuator platforms, where internal energy redistribution could enhance overall system-level efficiency and disturbance rejection. Additionally, integration with advanced constraint-handling strategies and adaptive parameter tuning may improve robustness under wider uncertainty ranges. These directions may contribute to the development of next-generation electromechanical drive systems combining structural energy adaptation with predictive control.

Author Contributions

Conceptualization, A.F. and Y.O.; methodology, T.I. and K.A.; software, A.O.; validation, A.O., Y.O., N.K. and A.F.; formal analysis, N.K.; investigation, T.I.; resources, K.A.; data curation, A.F. and Y.O.; writing—original draft preparation, A.F. and A.O.; writing—review and editing, K.A., Y.O. and A.F.; visualization, A.O. and N.K.; supervision, K.A. and T.I.; project administration, K.A.; funding acquisition, K.A. All authors have read and agreed to the published version of the manuscript.

Funding

This study was funded by the Committee of Science of the Ministry of Science and Higher Education of the Republic of Kazakhstan, grant number AP23489937.

Institutional Review Board Statement

Not applicable.

Informed Consent Statement

Not applicable.

Data Availability Statement

The original contributions presented in the study are included in the article, further inquiries can be directed to the corresponding author.

Acknowledgments

During the preparation of this manuscript the authors used GPT-5.2 by OpenAI for the purposes of language editing and translation improvement. The authors have reviewed and edited the output and take full responsibility for the content of this publication.

Conflicts of Interest

The authors declare no conflicts of interest.

Abbreviations

The following abbreviations are used in this manuscript:
DMFDual-Mass Flywheel
FESSFlywheel Energy Storage System
HEVHybrid Electric Vehicle
MPCModel Predictive Control
NVHNoise, Vibration and Harshness
PIDProportional–Integral–Derivative controller
RK45Runge–Kutta 4th/5th order numerical integration method
RMSRoot Mean Square
TMFTriple-Mass Flywheel

References

  1. Wang, Z.; Jiang, D.; Liu, Z.; Zhao, X.; Yang, G.; Liu, H. A Review of EMI Research of High Power Density Motor Drive Systems for Electric Actuator. Actuators 2023, 12, 411. [Google Scholar] [CrossRef]
  2. Fotopoulou, M.; Pediaditis, P.; Skopetou, N.; Rakopoulos, D.; Christopoulos, S.; Kartalidis, A. A Review of the Energy Storage Systems of Non-Interconnected European Islands. Sustainability 2024, 16, 1572. [Google Scholar] [CrossRef]
  3. Xu, K.; Guo, Y.; Lei, G.; Zhu, J. A Review of Flywheel Energy Storage System Technologies. Energies 2023, 16, 6462. [Google Scholar] [CrossRef]
  4. Sun, W.; Wang, Z.; Yan, X.; Zhu, M. Inverse identification of the frequency-dependent mechanical parameters of viscoelastic materials based on the measured FRFs. Mech. Syst. Signal Process. 2018, 98, 816–833. [Google Scholar] [CrossRef]
  5. Zhang, P.; Kamezaki, M.; Otsuki, K.; He, S.; Aguirre Dominguez, G.; Sugano, S. Preliminary Design of a Pseudo-Inertia Adjustable Mechanism Based on Bidirectional Releasing of Stored Kinetic Energy. In Proceedings of the 2018 IEEE/ASME International Conference on Advanced Intelligent Mechatronics (AIM), Auckland, New Zealand, 9–12 July 2018; pp. 1136–1142. [Google Scholar] [CrossRef]
  6. Chiang, C.J.; Singh, A.K.; Chang, P.-I.T.; Yen, Y.H. Physics-Based Modeling of Electro-Hydraulic Actuated Dual-Clutch Transmissions in Hybrid Electric Vehicles (HEVs). Int. J. Automot. Technol. 2025, 26, 1639–1654. [Google Scholar] [CrossRef]
  7. Sun, B.; Li, B.; Xing, J.; Yu, X.; Xie, M.; Hu, Z. Analysis of the Influence of Electric Flywheel and Electromechanical Flywheel on Electric Vehicle Economy. Energy 2024, 295, 131069. [Google Scholar] [CrossRef]
  8. Fazylova, A.; Iliev, T.; Stoyanov, I.; Siemens, E. Height Control System for Wind Turbines Based on Critical Wind Speed Calculation. Appl. Sci. 2024, 14, 9802. [Google Scholar] [CrossRef]
  9. Dai, X.; Ma, X.; Hu, D.; Duan, J.; Chen, H. An Overview of the R&D of Flywheel Energy Storage Technologies in China. Energies 2024, 17, 5531. [Google Scholar] [CrossRef]
  10. Niu, H.; Zeng, L.; Wei, C.; Wan, Z. Electromagnetic Field and Variable Inertia Analysis of a Dual Mass Flywheel Based on Electromagnetic Control. Symmetry 2024, 16, 1234. [Google Scholar] [CrossRef]
  11. Zhang, J.W.; Wang, Y.H.; Liu, G.C.; Tian, G.Z. A Review of Control Strategies for Flywheel Energy Storage System and a Case Study with Matrix Converter. Energy Rep. 2022, 8, 3123–3142. [Google Scholar] [CrossRef]
  12. Olabi, A.G.; Wilberforce, T.; Abdelkareem, M.A.; Ramadan, M. Critical Review of Flywheel Energy Storage System. Energies 2021, 14, 2159. [Google Scholar] [CrossRef]
  13. Amiryar, M.E.; Pullen, K.R. A Review of Flywheel Energy Storage System Technologies and Their Applications. Appl. Sci. 2017, 7, 286. [Google Scholar] [CrossRef]
  14. Hedlund, M.; Lundin, J.; De Santiago, J.; Abrahamsson, J.; Bernhoff, H. Flywheel Energy Storage for Automotive Applications. Energies 2015, 8, 10636–10663. [Google Scholar] [CrossRef]
  15. Chen, L.; Zhang, X.; Yan, Z.; Zeng, R. Matching Model of Dual Mass Flywheel and Power Transmission Based on the Structural Sensitivity Analysis Method. Symmetry 2019, 11, 187. [Google Scholar] [CrossRef]
  16. Berbyuk, V. Weight-Vibration Pareto Optimization of a Triple Mass Flywheel for Heavy-Duty Truck Powertrains. Machines 2020, 8, 50. [Google Scholar] [CrossRef]
  17. Liu, X.; Meehan, P.A. Investigation of squeal noise under positive friction characteristics condition provided by friction modifiers. J. Sound Vib. 2016, 366, 246–258. [Google Scholar] [CrossRef]
  18. Yang, S.; Baddour, N.; Li, C. Design and experimental evaluation of a nylon adaptive flywheel with variable inertia. J. Mech. Sci. Technol. 2021, 35, 4291–4300. [Google Scholar] [CrossRef]
  19. Grasser, F.; D’Arrigo, A.; Colombi, S.; Rufer, A.C. JOE: A mobile, inverted pendulum. IEEE Trans. Ind. Electron. 2002, 49, 107–114. [Google Scholar] [CrossRef]
  20. Shang, Y.; Cheng, K.; Ding, H.; Chen, S. Design and Optimization of the Surface Texture at the Hydrostatic Bearing and the Spindle for High Precision Machining. Machines 2022, 10, 806. [Google Scholar] [CrossRef]
  21. Xiao, Y.; Li, Q.; Liu, H. The Optimization and Control of the Engagement Pressure for a Helicopter Dry Clutch. Machines 2024, 12, 533. [Google Scholar] [CrossRef]
  22. Jia, Y.; Wu, Z.; Zhang, J.; Yang, P.; Zhang, Z. Control Strategy of Flywheel Energy Storage System Based on Primary Frequency Modulation of Wind Power. Energies 2022, 15, 1850. [Google Scholar] [CrossRef]
  23. Zhang, H.; Wang, J.; Zhang, L.; Zhang, S.; Zhang, J.; Zhang, Z. Passivity-Based Twisting Sliding Mode Control for Series Elastic Actuators. Actuators 2025, 14, 87. [Google Scholar] [CrossRef]
  24. Liu, X.; Shao, H.; Liu, C.; Li, N.; Guo, X.; Zheng, F.; Sun, L. An Adaptive Controller Based on Interconnection and Damping Assignment Passivity-Based Control for Underactuated Mechanical Systems: Application to the Ball and Beam System. Actuators 2023, 12, 408. [Google Scholar] [CrossRef]
  25. Myrzabekov, K.; Alipbayev, K.; Bapyshev, A.; Kozhabek, Z.; Kaliyeva, N.; Nogaibayeva, M. Methodology for Selecting an Electric Pump and Battery Pack for a Low-Thrust LRE: Computational Simulation Study. Eng. Proc. 2026, 122, 6. [Google Scholar] [CrossRef]
  26. Fazylova, A.; Alipbayev, K.; Iliev, T.; Aden, A. Advanced Control Strategies for Wind Turbine Blade Pitch Optimization. In Proceedings of the 5th IEEE International Conference on Communications, Information, Electronic and Energy Systems (CIEES 2024), Veliko Tarnovo, Bulgaria, 20–22 November 2024. [Google Scholar] [CrossRef]
  27. Ma, L.; Pang, S.; He, Y.; Wu, Y.; Li, Y.; Zhou, W. Passivity-Based Sliding Mode Control for the Robust Trajectory Tracking of Unmanned Surface Vessels Under External Disturbances and Model Uncertainty. J. Mar. Sci. Eng. 2025, 13, 364. [Google Scholar] [CrossRef]
  28. Alzubaidi, F.; Naboulsi, A.A.; Alashkar, A.; Mahmoud, M.; Alami, A.H. Modeling and simulation of flywheel energy storage systems. In Renewable Energy—Volume 4: Energy Storage Systems—Mechanical, Hydro, and Thermal: Definitions, Developments, Applications, Case Studies, and Simulation and Modelling; Elsevier: Amsterdam, The Netherlands, 2025; Volume 4, pp. 53–82. [Google Scholar] [CrossRef]
  29. Fazylova, A.; Alipbayev, K.; Iliev, T.; Aden, A. Automated Control of Dynamic Loads in Drive Systems. Eng. Proc. 2025, 104, 76. [Google Scholar] [CrossRef]
  30. Song, G.; Wu, Z.; Zheng, X.; Zhang, J.; Yang, P.; Zhang, Z. Control Strategy of Flywheel Energy Storage System for Improved Model Reference Adaptive System Based on Tent-Sparrow Search Algorithm. Electronics 2024, 13, 2699. [Google Scholar] [CrossRef]
Figure 1. Conceptual layout of the adaptive electromechanical drive with planetary gear and controllable coupling.
Figure 1. Conceptual layout of the adaptive electromechanical drive with planetary gear and controllable coupling.
Applsci 16 02700 g001
Figure 2. Structural–dynamic diagram of the proposed adaptive electromechanical drive with internal energy exchange.
Figure 2. Structural–dynamic diagram of the proposed adaptive electromechanical drive with internal energy exchange.
Applsci 16 02700 g002
Figure 3. Angular velocities ω m , ω f , and ω o .
Figure 3. Angular velocities ω m , ω f , and ω o .
Applsci 16 02700 g003
Figure 4. Internal clutch torque τ c ( t ) and external load torque τ L ( t ) .
Figure 4. Internal clutch torque τ c ( t ) and external load torque τ L ( t ) .
Applsci 16 02700 g004
Figure 5. Validation of the proposed mathematical model through energy balance consistency.
Figure 5. Validation of the proposed mathematical model through energy balance consistency.
Applsci 16 02700 g005
Figure 6. Block diagrams of the adaptive control strategies: (a) adaptive energy-shaping control and (b) adaptive predictive energy control of the proposed electromechanical system.
Figure 6. Block diagrams of the adaptive control strategies: (a) adaptive energy-shaping control and (b) adaptive predictive energy control of the proposed electromechanical system.
Applsci 16 02700 g006
Figure 7. General scheme of adaptive energy-based control.
Figure 7. General scheme of adaptive energy-based control.
Applsci 16 02700 g007
Figure 8. Block diagram of adaptive predictive energy control.
Figure 8. Block diagram of adaptive predictive energy control.
Applsci 16 02700 g008
Figure 9. Time responses of the output angular speed when using adaptive energy-based control.
Figure 9. Time responses of the output angular speed when using adaptive energy-based control.
Applsci 16 02700 g009
Figure 10. Comparison of the output angular speed for energy-based and predictive energy-based control under a step change in load.
Figure 10. Comparison of the output angular speed for energy-based and predictive energy-based control under a step change in load.
Applsci 16 02700 g010
Figure 11. Tracking of a linearly increasing reference of the output angular speed under sustained load.
Figure 11. Tracking of a linearly increasing reference of the output angular speed under sustained load.
Applsci 16 02700 g011
Figure 12. Reference and actual output angular velocity trajectories under quasi-periodic operating conditions for both control strategies.
Figure 12. Reference and actual output angular velocity trajectories under quasi-periodic operating conditions for both control strategies.
Applsci 16 02700 g012
Figure 13. Sliding root-mean-square (RMS) tracking error for adaptive energy control and adaptive predictive energy control strategies.
Figure 13. Sliding root-mean-square (RMS) tracking error for adaptive energy control and adaptive predictive energy control strategies.
Applsci 16 02700 g013
Figure 14. Instantaneous internal energy exchange power between the flywheel and output shaft for different control strategies.
Figure 14. Instantaneous internal energy exchange power between the flywheel and output shaft for different control strategies.
Applsci 16 02700 g014
Figure 15. Power flow decomposition in the proposed drive: load power, internal energy exchange power, and motor power.
Figure 15. Power flow decomposition in the proposed drive: load power, internal energy exchange power, and motor power.
Applsci 16 02700 g015
Figure 16. Output angular velocity comparison for three configurations: baseline control, control without energy exchange, and full internal energy exchange architecture.
Figure 16. Output angular velocity comparison for three configurations: baseline control, control without energy exchange, and full internal energy exchange architecture.
Applsci 16 02700 g016
Figure 17. Motor torque response under extreme load conditions with actuator saturation limits for different system configurations.
Figure 17. Motor torque response under extreme load conditions with actuator saturation limits for different system configurations.
Applsci 16 02700 g017
Disclaimer/Publisher’s Note: The statements, opinions and data contained in all publications are solely those of the individual author(s) and contributor(s) and not of MDPI and/or the editor(s). MDPI and/or the editor(s) disclaim responsibility for any injury to people or property resulting from any ideas, methods, instructions or products referred to in the content.

Share and Cite

MDPI and ACS Style

Fazylova, A.; Alipbayev, K.; Orazaliyeva, A.; Orazaly, Y.; Kurmangaliyeva, N.; Iliev, T. Adaptive Electromechanical Drive with Internal Inertial Energy Exchange and Energy-Based Control. Appl. Sci. 2026, 16, 2700. https://doi.org/10.3390/app16062700

AMA Style

Fazylova A, Alipbayev K, Orazaliyeva A, Orazaly Y, Kurmangaliyeva N, Iliev T. Adaptive Electromechanical Drive with Internal Inertial Energy Exchange and Energy-Based Control. Applied Sciences. 2026; 16(6):2700. https://doi.org/10.3390/app16062700

Chicago/Turabian Style

Fazylova, Alina, Kuanysh Alipbayev, Aray Orazaliyeva, Yerkin Orazaly, Nurgul Kurmangaliyeva, and Teodor Iliev. 2026. "Adaptive Electromechanical Drive with Internal Inertial Energy Exchange and Energy-Based Control" Applied Sciences 16, no. 6: 2700. https://doi.org/10.3390/app16062700

APA Style

Fazylova, A., Alipbayev, K., Orazaliyeva, A., Orazaly, Y., Kurmangaliyeva, N., & Iliev, T. (2026). Adaptive Electromechanical Drive with Internal Inertial Energy Exchange and Energy-Based Control. Applied Sciences, 16(6), 2700. https://doi.org/10.3390/app16062700

Note that from the first issue of 2016, this journal uses article numbers instead of page numbers. See further details here.

Article Metrics

Back to TopTop