Abstract
To address the stability issues of bridge piers on high expansive soil slopes in the Yangtze-Huaihe River Water Transfer Project and reveal the slope-bridge structure interaction mechanism, this study performed 100 g geotechnical centrifuge model tests. Slope failure modes under rainfall-bridge load coupling are investigated, with bridge pier deformation, earth pressure, and pile bending moment evolution analyzed. Results show that rainfall-induced failure causes shallow slope sliding with negligible pier displacement, keeping the structure safe. Conversely, under bridge working and ultimate loads, the slope will experience a mid-deep landslide with a sliding depth of 13–20 m, leading to slope instability and bridge overturning. The influence range of shallow landslides is 1–2 m, and the earth pressure at the pile cap is 132 kPa, which is a critical factor affecting bridge stability. In contrast, the bearing performance of pile foundations plays a dominant controlling role in deep-seated landslides. With the increase in landslide depth, the inflection point of the pile gradually moves downward. Numerical simulations further indicate that shallow landslides feature superficial slip–shear failure, and deep-seated landslides follow a progressive slip tensile cracking mechanism.
1. Introduction
In the construction process of large-scale water transportation projects, the problem of mutual interference between water and land traffic is often encountered, and bridges are usually built to restore the connectivity of cross-water traffic. However, against the background of giving priority to ensuring the navigation needs of water transportation, bridge foundation structures have to face complex and variable geological conditions [1]. Especially in water network projects for inter-basin water resource allocation, such as the Water Diversion from the Yangtze River to the Huaihe River in China, the foundation structures need to be laid on high expansive soil slopes that are prone to sliding. Therefore, the stability of piers of cross-river bridges built on such slopes is worthy of attention.
Expansive soil, as a special type of engineering geological material, is widely distributed across more than 40 countries and regions worldwide [2,3]. Numerous scholars have conducted extensive research on the instability mechanisms and prevention measures of expansive soil slopes. Results indicate that upon water infiltration, the strength of pre-existing expansive soils significantly deteriorates, readily triggering large deformations or even overall slope failure [4,5,6,7,8,9,10,11]. Accordingly, ensuring the stability of structures built on such soils fundamentally depends on understanding the interaction mechanism between the soil and the structure. Chen et al. investigated the stability of bridge piers under seismic action, focusing on pile–soil and water–bridge pier interactions, and explored the influence of seismic response on deep-water bridge piers [12]. Yun et al. studied the dynamic response characteristics of the entire bridge pier under the combined action of earthquake, wave and ocean current [13]. Deng et al. discussed the failure modes, steel corrosion rate and load-curvature skeleton curve of corroded bridge piers [14]. Xu et al. revealed the damage mechanism of bridge pier concrete under the coupled action of axial compressive stress, freeze–thaw cycles and salt erosion through experimental research [15]. Therefore, current research on bridge pier–soil interaction primarily focuses on the scour resistance [16], seismic performance [17], and corrosion resistance [18] of deep-water bridge piers, leading to a notable lack of studies on the stability of bridge–approach slopes in expansive soils and other special soil types. Moreover, conventional engineering practice generally avoids constructing bridges on expansive soil slopes, resulting in very limited relevant case studies, which further increases the uncertainty in such projects. As a result, bridge construction in expansive soil areas faces a dual deficiency: the absence of reliable specifications, data, and established experience for deformation control and stability assessment.
Large-scale field tests are often prohibitively expensive, while small-scale model tests are limited by the mismatch in stress levels between the model and the prototype. Under such circumstances, centrifuge model testing offers an effective alternative. By applying centrifugal acceleration to increase the self-weight stress in the model, it can replicate the stress field of the prototype in the model [19]. In particular, centrifuge shaking table tests, by enhancing the acceleration field of the model, are capable of simulating stress conditions equal or similar to those in the prototype [20], making them an advanced experimental method for studying pile–soil interaction [21]. Zhao et al. focused on the law of pile–soil dynamic interaction of pile foundations under vertical cyclic loads, and provided a benchmark for exploring soil–structure dynamic interaction using centrifuge tests [22]. Zhang et al. studied the bearing characteristics of large-diameter rock-socketed pile groups in valley areas through centrifuge model tests [23].
To fill the gap in research cases of bridge piers on expansive soil slopes, the system reveals the mechanism of slope instability evolution induced by the coupling of environment and load. The Yangtze-to-Huaihe River Water Diversion Project is taken as a case study in this research, where 100 g geotechnical centrifuge tests were performed under rainfall and multiple working conditions. The experiments enabled a quantitative analysis of key mechanical indicators, such as slope sliding depth, pier displacement, soil pressure distribution, and the evolution of pile bending moments, thereby revealing the quantitative relationship between landslide depth and structural response. Coupled with numerical simulations, the failure mechanisms of slip–shear and deep-slip tensile cracking are also clarified.
2. Methodology of Centrifuge Tests
2.1. Centrifuge Facility
The test was conducted on the geotechnical centrifuge (TKC-500) at the Tianjin Research Institute for Water Transport Engineering, Ministry of Transport (Tianjin, China). This equipment integrates an electro-hydraulic shaking table excitation system, with a payload capacity of 5 t, maximum acceleration of 250 g, and a rotation radius of 5 m. The maximum basket size is 1.4 m × 1.5 m × 1.5 m (length × width × height), and it can operate continuously for 72 h. It is also equipped with one 64-channel static data acquisition system and one 64-channel dynamic data acquisition system. Additionally, the system incorporates high-speed photography and videography capabilities, as well as a rainfall simulation device. This rainfall device primarily consists of a water tank, atomizer nozzles, solenoid valves, and a control box, and is equipped with water level adjustment and evaporation compensation mechanisms, enabling a rainfall intensity of 9 mm/min, as shown in Figure 1.
Figure 1.
Geotechnical centrifuge.
2.2. Scaling Laws
To ensure that the centrifuge model test accurately reflects the mechanical response of a real slope under its original stress state, similarity theory was strictly adhered to. This involved systematically determining the similarity relationships among various physical quantities from the perspectives of geometric, kinematic, and dynamic similarity [24,25]. The centrifuge test on the slope reinforced with a pile-anchor structure was conducted under a centrifugal acceleration of 100 g. In the test design, determining the similarity ratios for the pile’s bending stiffness () and bending moment () was regarded as a key prerequisite. These similarity ratios were derived based on dimensionless analysis theory, where the subscripts m and p denote the model and prototype, respectively.
The test utilized an atomizing nozzle rainfall system to simulate the rainfall process. Based on the aforementioned similarity relationships, the corresponding rainfall intensity for the model test was determined, with the conversion relationship as listed:
where
is the prototype rainfall intensity;
M is the total mass of rainfall in the experiment;
A is the rainfall coverage area in the experiment;
t is the rainfall duration of the experiment;
N is the model scale ratio.
Based on the geological survey results and bridge design data of the deep-cutting section in the Yangtze-to-Huaihe River Water Diversion Project, the slope height exceeds 40 m, with both the pile foundation and the sand layer depth reaching 40 m. To ensure the test model accurately reflects the prototype slope of approximately 80 m, this study sets the geometric similarity ratio at 1:100. The test was conducted under a centrifugal acceleration of 100 g (the centrifugal acceleration scale factor N = 100). The specific similarity relationships for various physical quantities are shown in Table 1.
Table 1.
Scaling factors in the 100 g centrifuge model test.
3. Description of Test Model
3.1. Expansive Soil Slope Model Preparation
The model soil used in the test was entirely sourced from the actual slope construction site. Geological surveys reveal that the expansive soil in this area primarily consists of heavy silty loam, silty clay, and clay. During the indoor model preparation process, the soil was compacted using the layered compaction method. The uniformity of the soil layer parameters was ensured by controlling the number of compaction passes to be consistent across all sections within the same layer. Upon completion of compaction for each layer, its surface was scarified to enhance interlayer bonding. Subsequently, soil consolidation was carried out under a centrifugal acceleration of 100 g, followed by trimming the slope to the designed gradient of 1:3. The specific slope geometry is shown in Figure 2. The initial moisture content of the model soil was 15%, with a dry density of 1.45 g/cm3. In the centrifuge model test, the simulated thickness of the expansive soil layer was 30 m, and a model container measuring 1.2 m (length) × 1 m (width) × 1.2 m (height) was used.
Figure 2.
Flowchart of slope model preparation.
3.2. Bridge Model Preparation
The main bridge is a prestressed concrete continuous rigid-frame bridge with variable cross-sections, with a total length of 335.00 m. The two main piers are located on slopes on both sides of the river channel. Based on the similarity theory, the model design adopted the equivalent stiffness similarity principle, using an aluminum–magnesium alloy material to simulate the prototype reinforced concrete structure. This material maintains a density and Poisson’s ratio similar to those of the prototype, while featuring a denser structure and more homogeneous material properties, thereby satisfactorily meeting the mechanical similarity requirements. During the model fabrication process, the bridge foundation model was divided into five to eight cross-sections at equal intervals, with four strain gauges installed on each section. After attaching the strain gauges and soldering the terminal connectors, the model pile surface was uniformly coated with two to three layers of epoxy resin, as shown in Figure 3.
Figure 3.
Bridge model.
3.3. Experimental Program
To investigate the potential failure modes of the slope and the stability of the bridge structure under extreme conditions, and to provide a technical basis for engineering design, this study designed three distinct working conditions to simulate the slope instability process. The load combination equation based on the European Standard requires geotechnical engineering design to comply with two ultimate states: serviceability limit state (SLS) and ultimate limit state (ULS) [26]. The three scenarios were designed to simulate typical extreme and serviceability conditions for bridge piers on high expansive soil slopes, with load sources aligned with actual engineering risks. Working condition GK1 is designed to simulate the instability risk of slopes induced solely by environmental water when the bridge is subjected to continuous extreme rainfall. The initial environmental load formed by the alternating process of rainfall and evaporation in the natural environment is simulated through two wet–dry cycles, with the rainfall intensity set at 20 mm/d according to the prototype to induce slope instability via continuous rainfall. Working condition GK2 focuses on the interaction mechanism between slopes and structures under the serviceability limit state of the bridge, and its load combination is set as the environmental load generated by two wet–dry cycles and the serviceability limit load of the bridge. Working condition GK3 aims to simulate the slope instability scenario when the bridge bears extreme loads. It adopts the environmental load formed by two wet–dry cycles and the extreme load as the combined load to analyze the collaborative instability risk between slopes and bridge structures. When determining the number of dry–wet cycles, the mechanical mechanism governing crack propagation in expansive soil was fully considered. Cracks in expansive soil originate from tensile stress generated by soil shrinkage during drying, and their propagation process can be characterized as the gradual release of tensile stress potential energy within the soil mass. Test results demonstrated that the crack area ratio of the sample peaked after two dry–wet cycles. Subsequent cycles did not induce a further increase in the crack area; instead, the ratio gradually declined and stabilized. Meanwhile, the average crack width reached its maximum value following the initial drying stage, whereas the shear strength of the soil decreased progressively with an increasing number of dry–wet cycles until reaching a stable state. Based on these findings, the number of dry–wet cycles was set to two for the test.
Figure 4 illustrates the crack development on the slope surface after two dry–wet cycles, which simulates a moderate rainfall intensity of 20 mm/d and an evaporation duration of 4 h in the field. After two cycles, the maximum depth of crack propagation perpendicular to the soil surface reached 20–30 mm, corresponding to a field depth of 2–3 m and thus falling within the shallow soil zone.
Figure 4.
Crack pattern on the slope surface after two dry–wet cycles.
The test procedure of GK1 is as follows: the test slope first undergoes two wet–dry cycles, followed by a model test under rainfall conditions to simulate the mechanism of rainfall-induced landslides. The test procedures of GK2 and GK3 are as follows: after the test slope completes two wet–dry cycles, working load and ultimate load are applied to it respectively, so as to simulate the process of slope instability triggered by different load levels. Three horizontal earth pressure measuring points are set in each group of tests. (TY1 is located in front of the pier, TY2 at the bearing platform, and TY3 at the pile foundation, as shown in Figure 5), which are used to measure the impact force of the landslide mass on the pier and pile foundation. The entire test process is recorded on video, and relevant data such as strain and earth pressure are saved.
Figure 5.
Experimental conditions and layout.
The specific operation steps of the rainfall test based on the centrifuge are as follows: (1) Start the centrifuge, load it step by step to 100 g with 20 g as a level, and run stably for 120 min to restore the actual stress state of the soil. (2) Start rainfall after the readings of each displacement sensor tend to be stable. The rainfall intensity of the model test is 1.38 mm/min, the rainfall duration is 2 min, and the total rainfall is 1.25 kg. (3) Stop the centrifuge after rainfall, turn on the heating rod to simulate the evaporation process for 4–8 h, then restart the centrifuge and repeat the rainfall process. (4) Repeat step 3 until a landslide is induced during a rainfall process, stop the test and lift the model box out.
4. Test Results
4.1. Evolution and Mode Analysis of Landslide Instability
Figure 6 illustrates the slope failure evolution characteristics under working condition GK1. In this scenario, the slope failure manifests as a shallow landslide pattern, demonstrating a progressive development from localized instability to overall surface sliding. The specific evolution process can be divided into three stages: in the initial stage, localized instability first occurs in the middle section of the slope. Cracks gradually propagate downward from this area, leading to significant horizontal sliding at the slope toe. During the development stage, the scope of instability continues to expand, with cracks further extending toward the slope crest. A distinct through-going crack forms at the slope shoulder. In the final stage, the slope undergoes shallow overall sliding. The landslide mass, under the influence of rainfall infiltration, transforms into a loose mixture of mud and water with a thickness of approximately 1–2 m. Throughout this process, the bridge structure remains generally stable, with only partial ground cracks appearing around the piers. The formation mechanism of this type of shallow landslide is closely related to the engineering properties of expansive soil and the coupled effects of rainfall: the swelling deformation of expansive soil reduces the soil’s shear strength and decreases matric suction, thereby triggering landslide instability. This landslide type exhibits notable shallow depth and retrogressive characteristics.
Figure 6.
Evolution characteristics of slope instability under the GK1 working condition.
Figure 7 illustrates the slope failure evolution under working condition GK2. In this scenario, the slope failure manifests as a middle-layer landslide. Surface cracks initially develop upstream of the bridge pier and progressively propagate in a lightning-fork pattern, eventually forming a dendritic crack network resembling withered tree branches. These cracks continuously widen, branch, and multiply. Due to the retaining effect of the bridge pier, the overall displacement of the upper slope is less than that of the lower soil mass. A depression forms at the pier base on the downstream side, and the bridge tilts approximately 3°, resulting from large-scale overall sliding in the middle-lower section of the slope.
Figure 7.
Evolution characteristics of slope instability under the GK2 working condition.
Post-test examination of the slope profile reveals that the originally regular grid pattern becomes distorted. Analysis of the grid deformation identifies a distinct shear sliding surface. The failure mechanism evolves as follows: First, under continuous surcharge loading and secondary wet–dry cycles, the soil strength within 2–3 m below the surface significantly deteriorates, triggering initial shallow sliding in the surficial layer. Then, as the surcharge load further increases, a deeper continuous sliding surface develops through the slope body, leading to middle-layer sliding with a maximum landslide thickness of approximately 13 m.
Figure 8 illustrates the evolution process of slope instability under the GK3 working condition. Slope instability in the lower part under this condition is mainly characterized by deep-seated landslides. In the initial crack initiation stage, only scattered micro-cracks appeared on the slope surface; at this time, the contact interface between the bridge structure and the slope rock–soil mass was in an elastic deformation state, and no obvious relative displacement was observed. Subsequently, the crack propagation and penetration stage was entered, where the stress concentration effect inside the slope intensified, and cracks extended along the potential slip surface toward the free face, exhibiting a characteristic of reticular interweaving. During this stage, local separation occurred at the contact interface between the bridge foundation and the rock–soil mass, and the structure began to incline. After entering the stage of overall instability and failure, the crack network was fully penetrated, the slope slid integrally along the slip surface, and the soil mass presented a blocky fragmentation morphology; the bridge structure overturned with the slope instability, eventually forming a failure mode of synchronous collapse with the slope. The landslide caused significant displacement of the main pier, the bridge inclined by approximately 20° as a whole, a deeper through-slip surface was formed in the slope, and the maximum thickness of the landslide mass was about 20 m.
Figure 8.
Evolution characteristics of slope instability under the GK3 working condition.
4.2. Analysis of Deformation Law of Bridge Piers
The horizontal displacement at the top of a bridge pier is a key indicator for evaluating the structural lateral stability. According to the General Specifications for Design of Highway Bridges and Culverts (JTG D60-2015) [27], for reinforced concrete piers, the short-term horizontal displacement limit is set as H/500 (corresponding to 59.60 mm in this project), and the uniform vertical displacement limit is H/1000 (corresponding to 29.80 mm in this project). Figure 9 illustrates the evolution characteristics of the pier top displacement under different working conditions.
Figure 9.
Evolution characteristics of displacement at the top of bridge piers: (a) Horizontal displacement variation curve and (b) vertical displacement variation curve.
As the slope begins to slide, the deformation of the pier gradually increases. Subsequently, as the resistance of the pier strengthens, the deformation growth slows and eventually stabilizes when mechanical equilibrium is reached between the pier and the post-slide slope. From conditions GK1 to GK3, the overall trend shows that both horizontal and vertical displacements increase progressively, corresponding to a gradual rise in bridge instability risk. The positive vertical displacement indicates that the pier experiences a pulling-out effect during the slope sliding process.
Specifically, under condition GK1, the displacement induced by the shallow landslide shows minimal variation over time and remains essentially stable. The maximum horizontal displacement at the pier top is 0.48 mm (actual value: 48 mm), and the maximum vertical displacement is 0.27 mm (actual value: 27 mm), indicating that the bridge remains in a safe state. Under condition GK2, the horizontal displacement increases sharply after 750 s and then stabilizes after 1200 s. The maximum horizontal displacement at the pier top reaches 1.89 mm (actual value: 189 mm), and the maximum vertical displacement is 1.35 mm (actual value: 135 mm), indicating that the bridge has already suffered overall failure. Under condition GK3, the pier top displacement increases relatively slowly in the early stage, rises rapidly around 1000 s, and stabilizes after a slight decrease. The maximum horizontal displacement at the pier top is 3.09 mm (actual value: 309 mm), and the maximum vertical displacement is 1.96 mm (actual value: 196 mm), indicating severe damage to the bridge. It is worth noting that after the vertical displacement peaks, the bottom of the pile shaft slides along with the deep landslide, leading to a certain degree of displacement reduction in this stage.
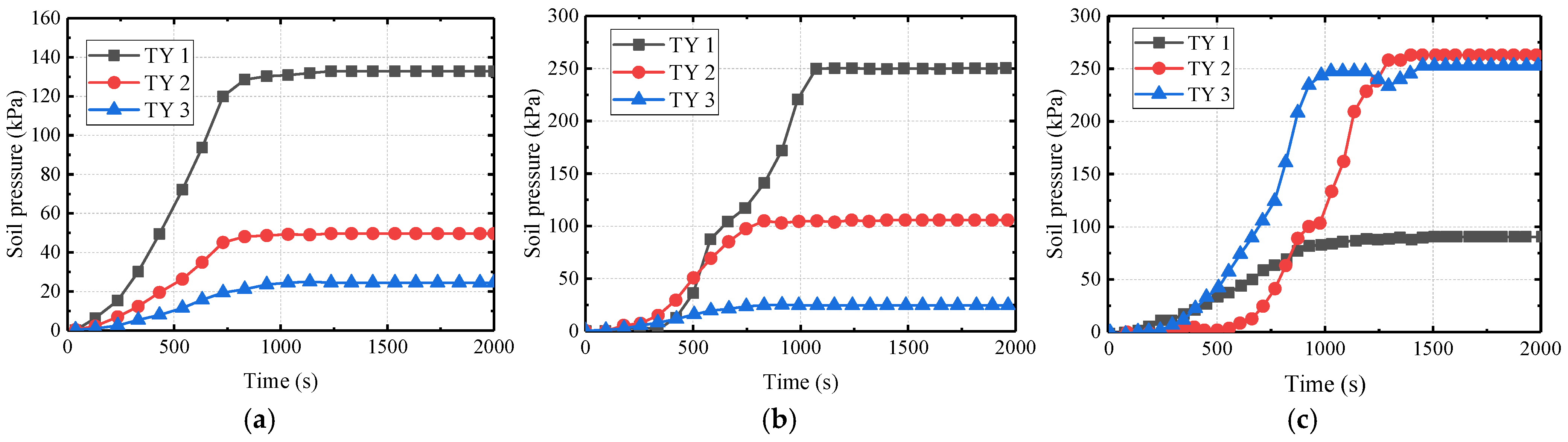
4.3. Analysis of the Evolution Law of Soil Pressure
Figure 10 shows the variations in earth pressure around the pier at different depths. Here, monitoring point TY1 is located at the front side of the pier, TY2 at the pile cap, and TY3 at the pile foundation. Figure 10a corresponds to working condition GK1. Under this condition, the horizontal earth pressure at TY1 is significantly higher than that at TY2 and TY3, indicating that the stability of the bridge under shallow sliding is mainly governed by the bearing capacity in the pile cap area. During the landslide process, the earth pressure at TY1 continued to increase, reaching a maximum value of 132 kPa by the end of the landslide. The impact of the shallow sliding mass on the pier is quite evident, while the deep soil remained essentially stable without significant sliding. Figure 10b represents working condition GK2. Under this condition, the earth pressures at both TY1 and TY2 increased significantly, while the growth at TY3 was relatively slow. Initial local surface sliding occurred at the early stage of the landslide, followed by accumulated deformation that triggered a mid-layer landslide, resulting in a considerable impact on monitoring point TY1. The earth pressure at TY1 increased from 106 kPa to 142 kPa at 500 s, and then further rose from 138 kPa to 274 kPa at 1000 s, indicating two distinct impact events during the landslide process. Figure 10c corresponds to working condition GK3. In this case, the earth pressure at TY2 increased from 105 kPa under GK2 to 253 kPa, while the earth pressure at TY3 also rose markedly. This suggests that under this deep sliding mode, the pier itself is less affected, whereas the forces on the pile foundation increase substantially. The reason for this is that the sliding mass pushes the pier and pile foundation to tilt toward the slope toe, leading to passive compression of the soil and consequently a significant increase in earth pressure.
Figure 10.
Evolution characteristics of soil pressure: (a) GK1 working condition, (b) GK2 working condition, and (c) GK3 working condition.
4.4. Analysis of the Evolution Law of Bending Moment
Figure 11 illustrates the evolution of bending moments in the pier pile foundation with depth at different time stages. During the slope sliding process, the thrust exerted by the sliding body on the pile continuously increases, leading to a dynamic accumulation of forces along the pile as the sliding progresses. Under condition GK1, the lateral bending moment of the pile exhibits a significant anomaly at approximately 3 m depth, gradually decreasing with increasing depth. Beyond 10 m depth, the lateral bending moment approaches zero. The slope gradient is 1:3, with the sliding surface located in the shallow layer. The pile top bends due to oblique shear forces, while the lower part remains fully fixed. In this scenario, the upper section of the pile primarily serves an anti-sliding function, while the lower section acts as an anchor. Damage to the pile manifests as stress concentration in the pile top region. Under condition GK2, the bending moment curve exhibits an inverted S-shaped distribution, with an inflection point at approximately 10 m depth. The maximum bending moments occur at depths of about 7.5 m and 15 m. In this condition, the slope-facing side of the pile is subjected to tension, while the back-slope side experiences compression. Due to the increased depth and reduced inclination of the sliding surface, the upper soil mass moves downward as a whole, while the deeper soil remains stable. This results in significant shear forces acting on the middle section of the pile, forming an inflection point in the central part. The failure mode is predominantly tensile–shear damage. Under condition GK3, the bending moment in the upper-middle section of the pile increases significantly, and the inflection point shifts further toward the pile base compared to condition GK2. The maximum bending moment occurs at approximately 15 m depth in the middle section of the pile. This condition corresponds to the formation of a potential deep sliding surface in the slope. The anchoring effect at the pile base is relatively weakened, causing the entire pile to bear more pronounced lateral sliding forces. Simultaneously, the anti-uplift effect of the pile becomes more evident, ultimately resulting in a failure mode characterized by overall overturning.
Figure 11.
Evolution characteristics of pile bending moment: (a) GK1 working condition, (b) GK2 working condition, and (c) GK3 working condition.
5. Numerical Simulations
5.1. Establishment of Numerical Model
Based on this engineering project, a finite element numerical simulation method was adopted to investigate the structural mechanical behavior. The geometric model and mesh division of the bridge and slope are shown in Figure 12. Specifically, the bridge structure was simulated using elastic solid elements, while the slope soil was modeled with elastoplastic solid elements capable of considering temperature–displacement coupling effects. In terms of boundary conditions, displacements in both directions at the bottom of the model and horizontal displacements on the side surfaces were constrained.
Figure 12.
Numerical model and mesh generation.
Given the similarity between the theory of moisture stress fields and thermal stress fields, the thermo-hydro coupling analysis capability in finite element software was utilized to indirectly solve the moisture stress field in expansive soils. This was achieved by mapping parameters from the unsaturated soil seepage equation to corresponding parameters in the heat conduction equation. Essentially, this method employs the software’s thermal expansion calculation module to simulate the swelling deformation of soil caused by moisture changes [28]. The expansive soil was modeled using a coupled Mohr–Colomb and thermal expansion model; the density is 1950 kg/m3, the elastic modulus is 9.15 MPa, the cohesion is 10.02 kPa, the internal friction angle is 4.12, the specific heat is 4078.0 kJ/(m3·K), and the thermal conductivity is 1.32 kW/(m·K). The rock and bridge adopt an elastic model with a density of 2400 kg/m3 and an elastic modulus of 30 GPa. The sand adopts the Mohr–Coulomb model, which is used for sand with a density of 2000 kg/m3, an elastic modulus of 30 MPa, an internal friction angle of 30°, and a cohesive force of 0 kPa. The bridge piers were modeled using four-nodal quadrilateral elements. Owing to the irregular geometry of the slope, the expansive soil region was discretized with a hybrid mesh of three-nodal triangular and four-nodal quadrilateral elements. For the pile–soil contact interface, four-nodal quadrilateral elements were uniformly adopted throughout the entire contact zone. In order to ensure the best accuracy of numerical simulation, dense mesh processing was adopted in the local key areas around piles and bridge piers. A hard contact is established between the pile and the soil mass, with the friction coefficient set to 0.2 for the interface between expansive soil and structural materials.
5.2. Numerical Simulation Results
As shown in Figure 13, the distribution of horizontal displacement and plastic deformation in the slope after the occurrence of shallow sliding is presented. When shallow sliding occurs, the horizontal displacement of the soil within the depth range of 1–2 m is most significant, with the maximum displacement appearing in the area from the slope shoulder to the upper-middle part of the slope face. This reflects the active compressive deformation of the sliding body along the potential sliding direction. Due to the blocking effect of the pile, no significant sliding occurs in the soil on the upper and lower sides of the bridge foundation. The distribution of plastic deformation indicates that local plastic deformation develops in the shallow layer of the slope soil. The plastic zone appears as a “thin arcuate band” nearly parallel to the slope surface. Owing to the low strength of the soil, the plastic zone tends to rapidly connect, and the currently formed continuous plastic band penetrates the entire thickness of the shallow sliding body, indicating that this area is already in a damaged state. Combined with the test results, during the initiation stage of shallow landslide instability, significant soil sliding characteristics first appeared in the region from the slope shoulder to the upper-middle part of the slope surface. This region was in perfect coincidence with the peak horizontal displacement zone and the high-displacement concentration zone within the depth range of 1~2 m in the numerical simulation, which directly verified the reliability of the numerical simulation results. The displacement of the slope body around the anti-slide pile exhibits a local “depression” pattern, indicating that the supporting structure constrains the horizontal deformation of the sliding body. Combined with the test results, due to the blocking effect of anti-slide piles, no obvious displacement disturbance was observed in the soil on the upper and lower sides of the bridge foundation. This is consistent with the numerical simulation results, which proves the effectiveness of anti-slide piles in resisting shallow sliding. However, local deformation due to stress concentration still exists at the structure–soil interface. Based on the above characteristics, the failure mode can be identified as shallow-surface slip–shear failure. It is recommended to implement measures to enhance surface protection in engineering practice.
Figure 13.
Mechanical characteristics of shallow landslides: (a) horizontal displacement distribution and (b) plastic deformation distribution.
Figure 14 illustrates the distribution of horizontal displacement and plastic deformation in the slope under deep sliding conditions. A continuous arcuate sliding band has formed from the slope crest to the bridge foundation footing, with the soil mass above the sliding band directly impacting the bridge foundation upon instability. Simultaneously, the slope soil on both sides of the bridge foundation has undergone sliding, resulting in a typical “sliding tongue” structure at the leading edge of the foundation. The plastic zone has developed into a continuous arcuate band, indicating that the slope is approaching a critical state of sliding surface connectivity and is in an overall marginally stable stage. Under the combined action of the slope’s self-weight and external loads, the middle-upper section of the slope experiences horizontal active displacement controlled by tensile stress, while the toe region undergoes plastic yielding due to concentrated shear stress. Although the supporting structures constrain local deformation, the plastic zone can still develop by bypassing the structural interface, indicating that the structures have not fully prevented the connectivity of the plastic zone. The overall failure mode is classified as a retrogressive slip-tension failure: the plastic zone at the slope toe yields first, then propagates upward to connect the sliding surface, ultimately triggering tensile cracking deformation in the middle-upper section of the slope.
Figure 14.
Mechanical characteristics of deep-seated landslides: (a) horizontal displacement distribution, and (b) plastic deformation distribution.
The consistency between the morphology of the slope sliding zone obtained from the test results and the sliding pattern simulated in the numerical model indicates that the slope was in a critical unstable state with fully connected sliding surfaces at this stage. Further analysis reveals that under the combined action of the slope’s self-weight stress and external loads, the upper-middle section of the slope exhibited the characteristics of horizontal active displacement dominated by tensile stress, while the slope toe area underwent significant plastic yield failure due to the concentration of shear stress. A large number of interwoven reticular cracks appeared in the bottom area of the bridge piers in the test results, which corresponds well to the highly concentrated plastic zone around the foundation observed in the numerical simulation. This correspondence confirms that the slope sliding had exerted a significant impact on the bridge foundation. In addition, both the test and simulation results demonstrate that although the supporting structures such as bridge piles could impose a certain restrictive effect on the slope deformation, the plastic zone continued to develop and extend around the structural boundaries, ultimately leading to the overall instability of the slope.
For such scenarios, engineering efforts should focus on monitoring the displacement mutation zones and sliding surface areas corresponding to concentrated plastic zones, with instability risk assessed based on displacement rates and plastic strain increments. It is recommended to further optimize the support structure design—such as increasing the stiffness of anti-slide piles or adding prestressed anchor cables—to enhance the overall stability of the slope.
6. Conclusions
Bridge foundations constructed on expansive soil high slopes along major canals are exposed to extremely high safety risks. Using the Yangtze-to-Huaihe River Water Transfer Canal Project as a case study, this research systematically investigates the instability modes and bearing characteristics of expansive soil high slopes under different working conditions through centrifuge model tests, aiming to provide references for stability evaluation and support structure design in similar projects. The main conclusions are as follows:
(1) The evolution of failure modes under different landslide depths is revealed. Shallow landslides, triggered by rainfall, exhibit surficial retrogressive sliding with a sliding body thickness of 1–2 m. Intermediate landslides involve a composite slip surface with fissure distributions resembling withered tree branches and a sliding depth of about 13 m. Deep-seated landslides develop continuous circular sliding surfaces with a depth of 20 m, leading to overall slope instability and bridge overturning.
(2) The mechanical response of bridge piers under different landslide modes is systematically quantified. Pier deformation increases significantly with sliding depth, with horizontal displacement rising from 48 mm in shallow landslides to 309 mm in deep-seated landslides, indicating a progression from a safe state to overall structural failure. The earth pressure distribution undergoes significant changes: under shallow landslides, earth pressure concentrates in front of the pier with a peak value of 132 kPa; intermediate landslides, subjected to secondary impacts, exhibit an increased peak earth pressure of 274 kPa; and in deep-seated landslides, earth pressure shifts toward the pile cap and pile foundation, with pressure in the pile foundation area rising substantially.
(3) The evolution mechanism of internal force distribution in support structures and their failure modes is elucidated. Under shallow landslides, bending moments concentrate within 3 m of the pile top. Intermediate landslides show an inverted S-shaped bending moment distribution with an inflection point at a depth of 10 m. In deep-seated landslides, the inflection points shift toward the pile toe, and the maximum bending moment occurs at a depth of 15 m, with the pile mainly failing due to overall overturning. Numerical simulations further reveal the development patterns of plastic zones: in shallow landslides, anti-slide piles effectively confine thin arc-shaped sliding zones; and in deep-seated landslides, plastic zones bypass the piles and form continuous sliding surfaces, indicating that comprehensive measures such as increasing pile stiffness and implementing combined anchoring are required to enhance slope stability.
This study analyzed the stability of expansive soil slopes under typical working conditions, such as rainfall and varying bridge loads. However, it did not account for the coupling effects of complex factors like seismic activity and water flow erosion. Consequently, the understanding of the slope–bridge interaction mechanism under realistic, complex environmental conditions remains insufficient. Future work will involve conducting multi-field coupled centrifuge model tests, particularly simulating scenarios with seismic coupling and other complex conditions. Combined with long-term field monitoring, this research aims to further elucidate the dynamic evolution of slope stability under the combined influence of multiple factors and its impact mechanism on the cumulative damage of bridge structures.
Author Contributions
Conceptualization, S.Z., X.L., W.M. and L.Y.; methodology, S.Z. and J.L.; validation, S.Z.; data curation, S.Z.; and writing—original draft preparation, S.Z. All authors have read and agreed to the published version of the manuscript.
Funding
This research was funded by Central Public Research Institutes Basic Funds for Research and Development (TKS20250713, TKS20240306); the National Key Research and Development Program of China (2023YFB2604700); and the National Natural Science Foundation of China (52308401).
Data Availability Statement
The data that support the findings of this study are available from the corresponding author.
Conflicts of Interest
Authors Wei Miao were employed by the company China Railway Tenth Bureau Group Fifth Engineering Co., Ltd. The remaining authors declare that the research was conducted in the absence of any commercial or financial relationships that could be construed as a potential conflict of interest.
References
- Yu, P.; Chen, J.; Xu, S.; Zhu, L.; Li, J. Local scour evolution characteristics around staggered cylinder piers: Numerical simulation based on the self-sustaining model. Ocean Eng. 2025, 339, 122043. [Google Scholar] [CrossRef]
- Alcántara-Ayala, M. Geomorphology, natural hazards, vulnerability and prevention of natural disasters in developing countries. Geomorphology 2002, 47, 107–124. [Google Scholar] [CrossRef]
- Xu, Y.S.; Zhang, D.X.; Shen, S.L.; Chen, L.-Z. Geo-hazards with characteristics and prevention measures along the coastal regions of China. Nat. Hazards 2009, 49, 479–500. [Google Scholar] [CrossRef]
- Yang, Z.; Zhang, L.; Ling, X.; Li, G.; Tu, Z.; Shi, W. Experimental study on the dynamic behavior of expansive soil in slopes under freeze-thaw cycles. Cold Reg. Sci. Technol. 2019, 163, 27–33. [Google Scholar] [CrossRef]
- Xu, S.; Wang, A.; Jiang, H.; Xu, Y. Failure mechanism of deep weak interlayer of expansive soil slope based on fractal theory. Comput. Geotech. 2025, 179, 107051. [Google Scholar] [CrossRef]
- Qi, S.; Vanapalli, S.K. Influence of swelling behavior on the stability of an infinite unsaturated expansive soil slope. Comput. Geotech. 2016, 76, 154–169. [Google Scholar] [CrossRef]
- Jiang, H.; Wang, B.; Inyang, H.I.; Liu, J.; Gu, K.; Shi, B. Role of expansive soil and topography on slope failure and its countermeasures, Yun County, China. Eng. Geol. 2013, 152, 155–161. [Google Scholar] [CrossRef]
- Puppala, A.J.; Madhyannapu, R.S.; Nazarian, S. Closure to “Full-Scale Field Studies to Evaluate Deep Soil Mixing in Stabilizing Expansive Soils”. J. Geotech. Geoenviron. Eng. 2023, 149, 0002647. [Google Scholar] [CrossRef]
- Li, L.; Li, Y.; Xu, Y. Instability evolution of expansive soil slope due to short duration-varying intensities of rainfall. Eng. Fail. Anal. 2024, 161, 108313. [Google Scholar] [CrossRef]
- Dai, Z.; Huang, K.; Chi, Z.; Chen, S. Model test study on the deformation and stability of rainfall-induced expansive soil slope with weak interlayer. Bull. Eng. Geol. Environ. 2024, 83, 76. [Google Scholar] [CrossRef]
- Zhao, Y.; Zhang, H.; Wang, G.; Yang, Y.; Tian, W. Analysis of slope stability based on layered infiltration theory under wet-dry cycle conditions. KSCE J. Civ. Eng. 2025, 29, 100028. [Google Scholar] [CrossRef]
- Chen, Y.; Lv, Y.; Wu, K.; Huang, X. Numerical Analysis of Bridge Piers Under Earthquakes Considering Pile–Soil Interactions and Water–Pier Interactions. Ocean Eng. 2022, 266, 113023. [Google Scholar] [CrossRef]
- Yun, G.; Liu, C. Shaking table tests on a deep-water high-pier whole bridge under joint earthquake, wave and current action. Appl. Ocean Res. 2020, 103, 102329. [Google Scholar] [CrossRef]
- Deng, Y.; Yan, C.; Liu, S.; Wang, J.; Sun, Z.; Cui, K. Curvature response of bridge pier subjected to earthquake action in a saline soil environment. Eng. Struct. 2022, 258, 114106. [Google Scholar] [CrossRef]
- Xu, T.; Zhou, Z.; Wang, M.; Zhu, L.; Tian, Y.; Han, D. Damage mechanism of pier concrete subjected to combined compressive stress, freeze-thaw, and salt attacks in saline soil. Constr. Build. Mater. 2022, 324, 126567. [Google Scholar] [CrossRef]
- Oveici, E.; Tayari, O.; Jalalkamali, N. Flow Field in a Sloped Channel with Damaged and Undamaged Piers: Numerical and Experimental Studies. KSCE J. Civ. Eng. 2021, 25, 4240–4251. [Google Scholar] [CrossRef]
- Yu, C.; Lyu, Y.; Wu, K.; Huang, X. Centrifuge shaking table study on the hydrodynamic effects on a pile foundation bridge pier in soft soil under earthquakes. Mar. Struct. 2022, 85, 103261. [Google Scholar] [CrossRef]
- Shi, X.; Song, L.L.; Guo, T.; Pan, Z.-H. Seismic design of self-centering bridge piers considering soil-structure interaction. Structures 2022, 43, 1819–1833. [Google Scholar] [CrossRef]
- Lin, X.T.; Zeng, H.; Wang, X.; Song, M.; Chen, X. Super-large-diameter shield tunnel undercrossing an intercity railway with oblique angle: Centrifuge test and numerical analysis. J. Rock Mech. Geotech. Eng. 2025, 17, 2741–2757. [Google Scholar] [CrossRef]
- Taylor, R.N. Geotechnical Centrifuge Technology, 1st ed.; Blackie Academic & Professional: London, UK, 1995. [Google Scholar]
- Martakis, P.; Taeseri, D.; Chatzi, E.; Laue, J. A centrifuge-based experimental verification of Soil-Structure Interaction effects. Soil Dyn. Earthq. Eng. 2017, 103, 1–14. [Google Scholar] [CrossRef]
- Zhao, C.; Qin, F.; Xie, Z.; Yan, Z.; Bian, X.; Chen, Y. Dynamic Analysis of Pile–Soil Interaction to Vertical Cyclic Loading by Comparative Centrifuge Tests. Acta Geotech. 2025, 20, 2695–2720. [Google Scholar] [CrossRef]
- Zhang, H.; Tannant, D.; Xing, H.; Zhu, L.; Guo, X. Centrifuge Model Tests on the Bearing Behavior of Large-Diameter Rock-Socketed Pile Group in Valley Area. Bull. Eng. Geol. Environ. 2025, 84, 331. [Google Scholar] [CrossRef]
- Sabnis, G.M.; Harris, H.G.; White, R.N.; Sabnis, G.; Mirza, M.S.; Klingner, R.E. Structural Modeling and Experimental Techniques, 1st ed.; Prentice-Hall: Englewood Cliffs, NJ, USA, 1983. [Google Scholar]
- Yan, Z.; Chen, Y.; Sun, X.P.; Zhang, H. Performance evaluation of an “m” shaped SCM wall in reinforcement of pile-supported wharf under yard heaped loads with centrifuge modelling. Eng. Struct. 2019, 193, 308–323. [Google Scholar] [CrossRef]
- EN 1997-1:2004; General Rules and Rules for Buildings. Eurocode 7: Geotechnical design—Part 1: (CEN). European Committee for Standardization: Brussels, Belgium, 2013.
- CCCC Highway Planning and Design Institute Co., Ltd. General Specifications for Design of Highway Bridges and Culverts (JTG D60-2015), 1st ed.; China Communications Press Co., Ltd.: Beijing, China, 2015. [Google Scholar]
- Pu, Y. Research on Numerical Simulation of Red Mudstone Expansion Based on Humidity Stress Field Theory. Master’s Thesis, Xizang University, Lhasa, China, 2024. [Google Scholar]
Disclaimer/Publisher’s Note: The statements, opinions and data contained in all publications are solely those of the individual author(s) and contributor(s) and not of MDPI and/or the editor(s). MDPI and/or the editor(s) disclaim responsibility for any injury to people or property resulting from any ideas, methods, instructions or products referred to in the content. |
© 2026 by the authors. Licensee MDPI, Basel, Switzerland. This article is an open access article distributed under the terms and conditions of the Creative Commons Attribution (CC BY) license.













