Age-Related Differences in Thigh Biarticular Agonist–Antagonist Coordination During 50 m Sprinting: A Phase-Specific Analysis of sEMG and Ground Reaction Force Using Phase Mean Comparisons and Linear Mixed-Effects Models
Abstract
1. Introduction
2. Materials and Methods
2.1. Study Design and Setting
2.2. Participants and Recruitment
2.3. Instrumentation and Data Collection
2.4. Data Analysis
2.5. Statistical Analysis
3. Results
3.1. Participants Characteristics
3.2. Neuromuscular Coordination During Sprinting
3.3. Relationship Between Neuromuscular Coordination and Sprint Performance Variables
3.3.1. Linear Mixed-Effects Models Analysis
3.3.2. Ordinary Least Squares Analysis
3.3.3. Akaike Information Criterion Analysis
3.4. Kinematics Data During Sprinting
4. Discussion
4.1. Relationship Between Phase-Specific Neuromuscular Coordination and Sprint Performance
4.2. Neuromuscular Function During Sprinting
4.3. Limitations
5. Conclusions
Author Contributions
Funding
Institutional Review Board Statement
Informed Consent Statement
Data Availability Statement
Acknowledgments
Conflicts of Interest
References
- Rudolph, K.S.; Axe, M.J.; Snyder-Mackler, L. Dynamic stability after ACL injury: Who can hop? Knee Surg. Sports Traumatol. Arthrosc. 2000, 8, 262–269. [Google Scholar] [CrossRef] [PubMed]
- Dotan, R.; Mitchell, C.; Cohen, R.; Klentrou, P.; Gabriel, D.; Falk, B. Child-adult differences in muscle activation—A review. Pediatr. Exerc. Sci. 2012, 24, 2–21. [Google Scholar] [CrossRef] [PubMed]
- Williams, J.J.; Roshinski, W.C.; Watso, J.C. Upper Leg Muscular Co-Contraction During Maximal-Speed Sprinting in Male Club Ice Hockey Athletes. Sports Med. Open 2025, 11, 1. [Google Scholar] [CrossRef] [PubMed]
- Schache, A.G.; Kim, H.J.; Morgan, D.L.; Pandy, M.G. Hamstring muscle forces prior to and immediately following an acute sprinting-related muscle strain injury. Gait Posture 2010, 32, 136–140. [Google Scholar] [CrossRef]
- Schache, A.G.; Blanch, P.D.; Dorn, T.W.; Brown, N.A.; Rosemond, D.; Pandy, M.G. Effect of running speed on lower limb joint kinetics. Med. Sci. Sports Exerc. 2011, 43, 1260–1271. [Google Scholar] [CrossRef]
- Higashihara, A.; Nagano, Y.; Ono, T.; Fukubayashi, T. Differences in hamstring activation characteristics between the acceleration and maximum-speed phases of sprinting. J. Sports Sci. 2018, 36, 1313–1318. [Google Scholar] [CrossRef]
- Kakehata, G.; Goto, Y.; Iso, S.; Kanosue, K. Timing of Rectus Femoris and Biceps Femoris Muscle Activities in Both Legs at Maximal Running Speed. Med. Sci. Sports Exerc. 2021, 53, 643–652. [Google Scholar] [CrossRef]
- Kakehata, G.; Goto, Y.; Iso, S.; Kanosue, K. The Timing of Thigh Muscle Activity Is a Factor Limiting Performance in the Deceleration Phase of the 100-m Dash. Med. Sci. Sports Exerc. 2022, 54, 1002–1012. [Google Scholar] [CrossRef]
- Kakehata, G.; Goto, Y.; Yokoyama, H.; Iso, S.; Kanosue, K. Interlimb and Intralimb Coordination of Rectus Femoris and Biceps Femoris Muscles at Different Running Speeds. Med. Sci. Sports Exerc. 2023, 55, 945–956. [Google Scholar] [CrossRef]
- Yokota, K.; Tamaki, H. Application of Wireless EMG Sensors for Assessing Agonist-Antagonist Muscle Activity During 50-m Sprinting in Athletes. Sensors 2025, 25, 6395. [Google Scholar] [CrossRef]
- Geertsen, S.S.; Willerslev-Olsen, M.; Lorentzen, J.; Nielsen, J.B. Development and aging of human spinal cord circuitries. J. Neurophysiol. 2017, 118, 1133–1140. [Google Scholar] [CrossRef]
- Radnor, J.M.; Oliver, J.L.; Waugh, C.M.; Myer, G.D.; Moore, I.S.; Lloyd, R.S. The Influence of Growth and Maturation on Stretch-Shortening Cycle Function in Youth. Sports Med. 2018, 48, 57–71. [Google Scholar] [CrossRef] [PubMed]
- Woods, S.; O’Mahoney, C.; McKiel, A.; Natale, L.; Falk, B. Child-Adult differences in antagonist muscle coactivation: A systematic review. J. Electromyogr. Kinesiol. 2023, 68, 102727. [Google Scholar] [CrossRef]
- De Luca, C.J.; Mambrito, B. Voluntary control of motor units in human antagonist muscles: Coactivation and reciprocal activation. J. Neurophysiol. 1987, 58, 525–542. [Google Scholar] [CrossRef]
- Baratta, R.; Solomonow, M.; Zhou, B.H.; Letson, D.; Chuinard, R.; D’Ambrosia, R. Muscular coactivation. The role of the antagonist musculature in maintaining knee stability. Am. J. Sports Med. 1988, 16, 113–122. [Google Scholar] [CrossRef]
- Grosset, J.F.; Mora, I.; Lambertz, D.; Perot, C. Changes in stretch reflexes and muscle stiffness with age in prepubescent children. J. Appl. Physiol. 2007, 102, 2352–2360. [Google Scholar] [CrossRef]
- Lazaridis, S.; Bassa, E.; Patikas, D.; Giakas, G.; Gollhofer, A.; Kotzamanidis, C. Neuromuscular differences between prepubescents boys and adult men during drop jump. Eur. J. Appl. Physiol. 2010, 110, 67–74. [Google Scholar] [CrossRef]
- Oliver, J.L.; Smith, P.M. Neural control of leg stiffness during hopping in boys and men. J. Electromyogr. Kinesiol. 2010, 20, 973–979. [Google Scholar] [CrossRef] [PubMed]
- Horita, T.; Komi, P.V.; Nicol, C.; Kyrolainen, H. Interaction between pre-landing activities and stiffness regulation of the knee joint musculoskeletal system in the drop jump: Implications to performance. Eur. J. Appl. Physiol. 2002, 88, 76–84. [Google Scholar] [CrossRef]
- Lloyd, R.S.; Oliver, J.L.; Hughes, M.G.; Williams, C.A. Age-related differences in the neural regulation of stretch-shortening cycle activities in male youths during maximal and sub-maximal hopping. J. Electromyogr. Kinesiol. 2012, 22, 37–43. [Google Scholar] [CrossRef] [PubMed]
- Lestienne, F. Effects of inertial load and velocity on the braking process of voluntary limb movements. Exp. Brain Res. 1979, 35, 407–418. [Google Scholar] [CrossRef]
- Smith, A.M. The coactivation of antagonist muscles. Can. J. Physiol. Pharmacol. 1981, 59, 733–747. [Google Scholar] [CrossRef] [PubMed]
- Benecke, R.; Meinck, H.M.; Conrad, B. Rapid goal-directed elbow flexion movements: Limitations of the speed control system due to neural constraints. Exp. Brain Res. 1985, 59, 470–477. [Google Scholar] [CrossRef]
- Kido, A.; Tanaka, N.; Stein, R.B. Spinal reciprocal inhibition in human locomotion. J. Appl. Physiol. 2004, 96, 1969–1977. [Google Scholar] [CrossRef]
- Thelen, D.G.; Chumanov, E.S.; Best, T.M.; Swanson, S.C.; Heiderscheit, B.C. Simulation of biceps femoris musculotendon mechanics during the swing phase of sprinting. Med. Sci. Sports Exerc. 2005, 37, 1931–1938. [Google Scholar] [CrossRef]
- Chumanov, E.S.; Heiderscheit, B.C.; Thelen, D.G. The effect of speed and influence of individual muscles on hamstring mechanics during the swing phase of sprinting. J. Biomech. 2007, 40, 3555–3562. [Google Scholar] [CrossRef] [PubMed]
- Schache, A.G.; Dorn, T.W.; Blanch, P.D.; Brown, N.A.; Pandy, M.G. Mechanics of the human hamstring muscles during sprinting. Med. Sci. Sports Exerc. 2012, 44, 647–658. [Google Scholar] [CrossRef]
- Higashihara, A.; Ono, T.; Kubota, J.; Okuwaki, T.; Fukubayashi, T. Functional differences in the activity of the hamstring muscles with increasing running speed. J. Sports Sci. 2010, 28, 1085–1092. [Google Scholar] [CrossRef] [PubMed]
- Mattes, K.; Wolff, S.; Alizadeh, S. Kinematic Stride Characteristics of Maximal Sprint Running of Elite Sprinters—Verification of the “Swing-Pull Technique”. J. Hum. Kinet. 2021, 77, 15–24. [Google Scholar] [CrossRef]
- Hermens, H.J.; Freriks, B.; Disselhorst-Klug, C.; Rau, G. Development of recommendations for SEMG sensors and sensor placement procedures. J. Electromyogr. Kinesiol. 2000, 10, 361–374. [Google Scholar] [CrossRef]
- Knarr, B.A.; Zeni, J.A., Jr.; Higginson, J.S. Comparison of electromyography and joint moment as indicators of co-contraction. J. Electromyogr. Kinesiol. 2012, 22, 607–611. [Google Scholar] [CrossRef] [PubMed]
- Kubota, K.; Yokoyama, M.; Hanawa, H.; Miyazawa, T.; Hirata, K.; Onitsuka, K.; Fujino, T.; Kanemura, N. Muscle co-activation in the elderly contributes to control of hip and knee joint torque and endpoint force. Sci. Rep. 2023, 13, 7139. [Google Scholar] [CrossRef] [PubMed]
- Li, G.; Shourijeh, M.S.; Ao, D.; Patten, C.; Fregly, B.J. How Well Do Commonly Used Co-contraction Indices Approximate Lower Limb Joint Stiffness Trends During Gait for Individuals Post-stroke? Front. Bioeng. Biotechnol. 2020, 8, 588908. [Google Scholar] [CrossRef]
- Higashihara, A.; Nagano, Y.; Ono, T.; Fukubayashi, T. Relationship between the peak time of hamstring stretch and activation during sprinting. Eur. J. Sport Sci. 2016, 16, 36–41. [Google Scholar] [CrossRef]
- Chatzilazaridis, I.; Panoutsakopoulos, V.; Bassa, E.; Kotzamanidou, M.C.; Papaiakovou, G.I. Effects of Age and Sex on the Kinematics of the Sprinting Technique in the Maximum Velocity Phase. Appl. Sci. 2024, 14, 6057. [Google Scholar] [CrossRef]
- Claflin, D.R.; Faulkner, J.A. Shortening velocity extrapolated to zero load and unloaded shortening velocity of whole rat skeletal muscle. J. Physiol. 1985, 359, 357–363. [Google Scholar] [CrossRef]
- Smith, J.L.; Betts, B.; Edgerton, V.R.; Zernicke, R.F. Rapid ankle extension during paw shakes: Selective recruitment of fast ankle extensors. J. Neurophysiol. 1980, 43, 612–620. [Google Scholar] [CrossRef]
- Prilutsky, B.I.; Parker, J.; Cymbalyuk, G.S.; Klishko, A.N. Emergence of Extreme Paw Accelerations During Cat Paw Shaking: Interactions of Spinal Central Pattern Generator, Hindlimb Mechanics and Muscle Length-Depended Feedback. Front. Integr. Neurosci. 2022, 16, 810139. [Google Scholar] [CrossRef]
- Hoy, M.G.; Zernicke, R.F.; Smith, J.L. Contrasting roles of inertial and muscle moments at knee and ankle during paw-shake response. J. Neurophysiol. 1985, 54, 1282–1294. [Google Scholar] [CrossRef] [PubMed]
- Nardone, A.; Romano, C.; Schieppati, M. Selective recruitment of high-threshold human motor units during voluntary isotonic lengthening of active muscles. J. Physiol. 1989, 409, 451–471. [Google Scholar] [CrossRef] [PubMed]
- Tamaki, H.; Kitada, K.; Akamine, T.; Sakou, T.; Kurata, H. Electromyogram patterns during plantarflexions at various angular velocities and knee angles in human triceps surae muscles. Eur. J. Appl. Physiol. Occup. Physiol. 1997, 75, 1–6. [Google Scholar] [CrossRef]
- Falk, B.; Dotan, R. Child-adult differences in the recovery from high-intensity exercise. Exerc. Sport Sci. Rev. 2006, 34, 107–112. [Google Scholar] [CrossRef] [PubMed]
- Falk, B.; Usselman, C.; Dotan, R.; Brunton, L.; Klentrou, P.; Shaw, J.; Gabriel, D. Child-adult differences in muscle strength and activation pattern during isometric elbow flexion and extension. Appl. Physiol. Nutr. Metab. 2009, 34, 609–615. [Google Scholar] [CrossRef]
- Woods, S.; O’Mahoney, C.; Maynard, J.; Dotan, R.; Tenenbaum, G.; Filho, E.; Falk, B. Increase in Volitional Muscle Activation from Childhood to Adulthood: A Systematic Review and Meta-analysis. Med. Sci. Sports Exerc. 2022, 54, 789–799. [Google Scholar] [CrossRef] [PubMed]
- Gervasio, S.; Farina, D.; Sinkjaer, T.; Mrachacz-Kersting, N. Crossed reflex reversal during human locomotion. J. Neurophysiol. 2013, 109, 2335–2344. [Google Scholar] [CrossRef]
- Stevenson, A.J.; Geertsen, S.S.; Andersen, J.B.; Sinkjaer, T.; Nielsen, J.B.; Mrachacz-Kersting, N. Interlimb communication to the knee flexors during walking in humans. J. Physiol. 2013, 591, 4921–4935. [Google Scholar] [CrossRef]
- Gervasio, S.; Kersting, U.G.; Farina, D.; Mrachacz-Kersting, N. The effect of crossed reflex responses on dynamic stability during locomotion. J. Neurophysiol. 2015, 114, 1034–1040. [Google Scholar] [CrossRef]
- Stevenson, A.J.; Geertsen, S.S.; Sinkjaer, T.; Nielsen, J.B.; Mrachacz-Kersting, N. Interlimb communication following unexpected changes in treadmill velocity during human walking. J. Neurophysiol. 2015, 113, 3151–3158. [Google Scholar] [CrossRef][Green Version]
- Stevenson, A.J.; Kamavuako, E.N.; Geertsen, S.S.; Farina, D.; Mrachacz-Kersting, N. Short-latency crossed responses in the human biceps femoris muscle. J. Physiol. 2015, 593, 3657–3671. [Google Scholar] [CrossRef]
- Logan, K.; Cuff, S.; Council on Sports Medicine and Fitness. Organized Sports for Children, Preadolescents, and Adolescents. Pediatrics 2019, 143, e20190997. [Google Scholar] [CrossRef] [PubMed]
- Turati, M.; Benedettini, E.; Sugimoto, D.; Crippa, M.; Alessandro, C.; Bacchin, V.; Piatti, M.; Albanese, F.; Accadbled, F.; Rigamonti, L.; et al. Quadriceps and hamstring muscles strength differences in adolescent and adult recreational athletes 6 months after autograft bone-patellar-tendon-bone anterior cruciate ligament reconstruction: A retrospective study. Knee 2025, 54, 9–18. [Google Scholar] [CrossRef]
- Di Stasi, S.; Myer, G.D.; Hewett, T.E. Neuromuscular training to target deficits associated with second anterior cruciate ligament injury. J. Orthop. Sports Phys. Ther. 2013, 43, 777–792, A1–A11. [Google Scholar] [CrossRef]
- Bencke, J.; Aagaard, P.; Zebis, M.K. Muscle Activation During ACL Injury Risk Movements in Young Female Athletes: A Narrative Review. Front. Physiol. 2018, 9, 445. [Google Scholar] [CrossRef] [PubMed]
- Ford, K.R.; Myer, G.D.; Hewett, T.E. Longitudinal effects of maturation on lower extremity joint stiffness in adolescent athletes. Am. J. Sports Med. 2010, 38, 1829–1837. [Google Scholar] [CrossRef]
- Ramezani, F.; Saki, F.; Tahayori, B. Neuromuscular training improves muscle co-activation and knee kinematics in female athletes with high risk of anterior cruciate ligament injury. Eur. J. Sport Sci. 2024, 24, 56–65. [Google Scholar] [CrossRef]
- Ramachandran, A.K.; Pedley, J.S.; Moeskops, S.; Oliver, J.L.; Myer, G.D.; Hsiao, H.I.; Lloyd, R.S. Influence of Neuromuscular Training Interventions on Jump-Landing Biomechanics and Implications for ACL Injuries in Youth Females: A Systematic Review and Meta-analysis. Sports Med. 2025, 55, 1265–1292. [Google Scholar] [CrossRef] [PubMed]
- Tumkur Anil Kumar, N.; Oliver, J.L.; Lloyd, R.S.; Pedley, J.S.; Radnor, J.M. The Influence of Growth, Maturation and Resistance Training on Muscle-Tendon and Neuromuscular Adaptations: A Narrative Review. Sports 2021, 9, 59. [Google Scholar] [CrossRef] [PubMed]
- Retzepis, N.O.; Avloniti, A.; Kokkotis, C.; Stampoulis, T.; Balampanos, D.; Gkachtsou, A.; Aggelakis, P.; Kelaraki, D.; Protopapa, M.; Pantazis, D.; et al. The Effect of Peak Height Velocity on Strength and Power Development of Young Athletes: A Scoping Review. J. Funct. Morphol. Kinesiol. 2025, 10, 168. [Google Scholar] [CrossRef]
- Meyers, R.W.; Oliver, J.L.; Hughes, M.G.; Cronin, J.B.; Lloyd, R.S. Maximal sprint speed in boys of increasing maturity. Pediatr. Exerc. Sci. 2015, 27, 85–94. [Google Scholar] [CrossRef]
- Moran, J.; Parry, D.A.; Lewis, I.; Collison, J.; Rumpf, M.C.; Sandercock, G.R.H. Maturation-related adaptations in running speed in response to sprint training in youth soccer players. J. Sci. Med. Sport. 2018, 21, 538–542. [Google Scholar] [CrossRef]
- Okudaira, M.; Takeda, R.; Hirono, T.; Nishikawa, T.; Kunugi, S.; Igawa, K.; Ueda, S.; Mita, Y.; Watanabe, K. Determinants of Sprint Ability Change During Maturation in Developing Children. Eur. J. Sport Sci. 2026, 26, e70133. [Google Scholar] [CrossRef] [PubMed]












| Group Name | Height (m) | Body Mass (kg) | Age (yr) | Age Range (yr) | |
|---|---|---|---|---|---|
| Adults | mean | 1.72 | 68.74 | 23.32 | 20~31 |
| n = 21 | SD | 0.07 | 8.61 | 2.98 | |
| Adolescents | mean | 1.60 | 47.86 | 13.65 | 13~15 |
| n = 17 | SD | 0.04 | 4.42 | 0.76 |
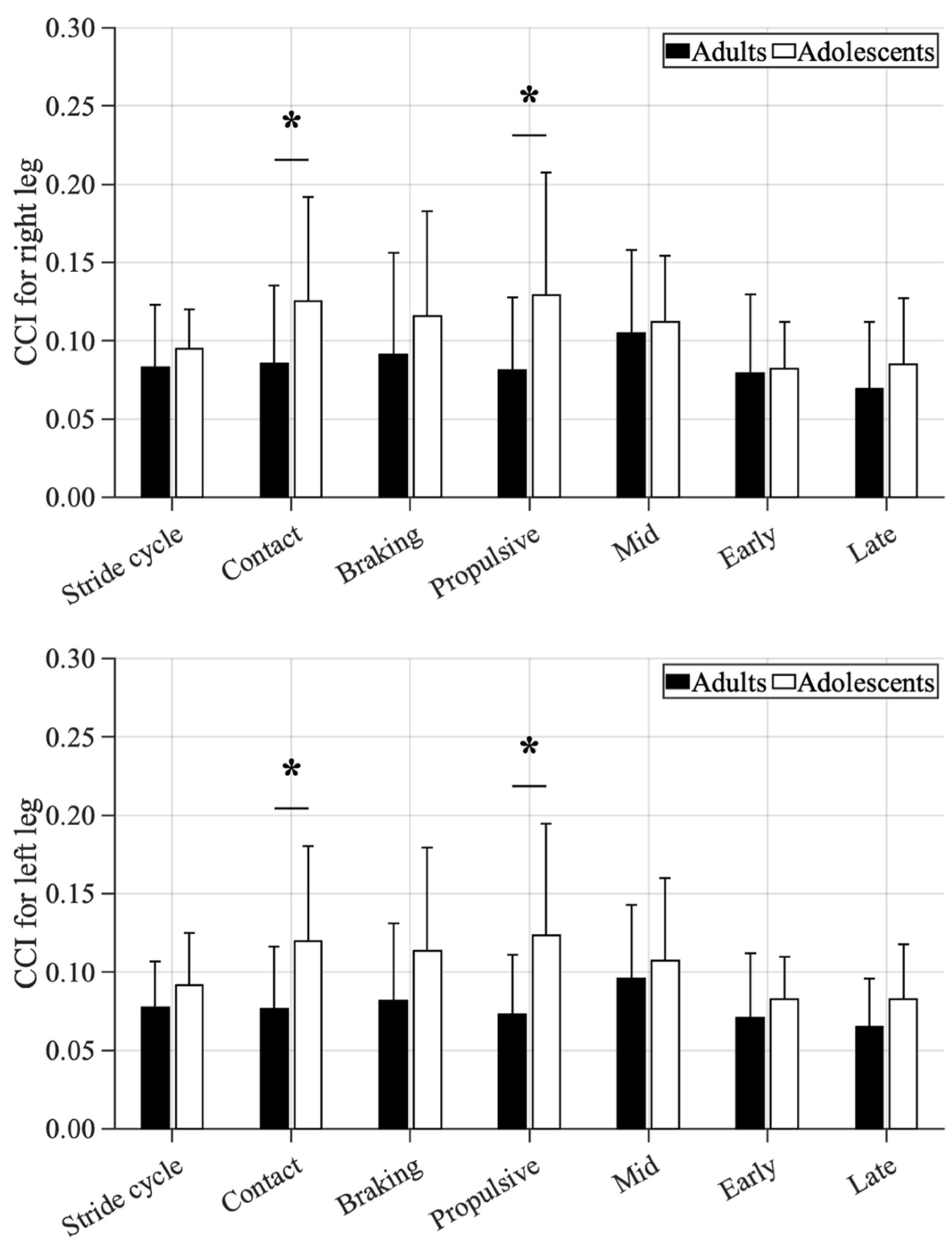
| Leg Name | Phase Name | Adults | Adolescents | p Value | Effect Size (g) |
|---|---|---|---|---|---|
| Right | Stride cycle | 0.08 ± 0.04 | 0.09 ± 0.03 | p > 0.05 | 0.34 |
| Mid swing | 0.10 ± 0.05 | 0.11 ± 0.04 | p > 0.05 | 0.14 | |
| Early swing | 0.08 ± 0.05 | 0.08 ± 0.03 | p > 0.05 | 0.07 | |
| Late swing | 0.07 ± 0.04 | 0.08 ± 0.04 | p > 0.05 | 0.36 | |
| Contact | 0.09 ± 0.05 | 0.13 ± 0.07 | p < 0.05 | 0.68 | |
| Braking | 0.09 ± 0.06 | 0.12 ± 0.07 | p > 0.05 | 0.36 | |
| Propulsive | 0.08 ± 0.05 | 0.13 ± 0.08 | p < 0.05 | 0.76 | |
| Left | Stride cycle | 0.08 ± 0.03 | 0.09 ± 0.03 | p > 0.05 | 0.45 |
| Mid swing | 0.10 ± 0.05 | 0.11 ± 0.05 | p > 0.05 | 0.22 | |
| Early swing | 0.07 ± 0.04 | 0.08 ± 0.03 | p > 0.05 | 0.31 | |
| Late swing | 0.06 ± 0.03 | 0.08 ± 0.04 | p > 0.05 | 0.52 | |
| Contact | 0.08 ± 0.04 | 0.12 ± 0.06 | p < 0.05 | 0.84 | |
| Braking | 0.08 ± 0.05 | 0.11 ± 0.07 | p > 0.05 | 0.54 | |
| Propulsive | 0.07 ± 0.04 | 0.12 ± 0.07 | p < 0.05 | 0.89 |
| Group Name | Phase Name | Left Leg | Right Leg | p Value |
|---|---|---|---|---|
| Adults | Stride cycle | 0.08 ± 0.03 | 0.08 ± 0.04 | p > 0.05 |
| Mid swing | 0.10 ± 0.05 | 0.10 ± 0.05 | p > 0.05 | |
| Early swing | 0.07 ± 0.04 | 0.08 ± 0.05 | p > 0.05 | |
| Late swing | 0.06 ± 0.03 | 0.07 ± 0.04 | p > 0.05 | |
| Contact | 0.08 ± 0.04 | 0.09 ± 0.05 | p > 0.05 | |
| Braking | 0.08 ± 0.05 | 0.09 ± 0.06 | p > 0.05 | |
| Propulsive | 0.07 ± 0.04 | 0.08 ± 0.05 | p > 0.05 | |
| Adolescents | Stride cycle | 0.09 ± 0.03 | 0.09 ± 0.03 | p > 0.05 |
| Mid swing | 0.11 ± 0.05 | 0.11 ± 0.04 | p > 0.05 | |
| Early swing | 0.08 ± 0.03 | 0.08 ± 0.03 | p > 0.05 | |
| Late swing | 0.08 ± 0.04 | 0.08 ± 0.04 | p > 0.05 | |
| Contact | 0.12 ± 0.06 | 0.13 ± 0.07 | p > 0.05 | |
| Braking | 0.11 ± 0.07 | 0.11 ± 0.07 | p > 0.05 | |
| Propulsive | 0.12 ± 0.07 | 0.13 ± 0.08 | p > 0.05 |
| Phase Name | Adults Slope [95% CI] | Adolescents Slope [95% CI] | |ΔSlope| [95% CI] | p (Frequency × Group) |
|---|---|---|---|---|
| Stride cycle | 0.00 [−0.04, 0.04] | 0.10 [0.06, 0.15] | 0.10 [0.04, 0.16] | p < 0.001 |
| Early swing | −0.03 [−0.10, 0.04] | 0.06 [−0.01, 0.13] | 0.09 [−0.01, 0.19] | p > 0.05 |
| Mid swing | 0.05 [−0.03, 0.14] | 0.15 [0.05, 0.24] | 0.09 [−0.04, 0.22] | p > 0.05 |
| Late swing | −0.04 [−0.11, 0.03] | 0.08 [0.01, 0.16] | 0.12 [0.02, 0.22] | p < 0.05 |
| Contact | −0.24 [−0.35, −0.13] | −0.12 [−0.24, −0.00] | 0.11 [−0.05, 0.27] | p > 0.05 |
| Braking | −0.16 [−0.26, −0.05] | −0.04 [−0.15, 0.07] | 0.12 [−0.04, 0.27] | p > 0.05 |
| Propulsive | −0.27 [−0.38, −0.15] | −0.16 [−0.29, −0.03] | 0.11 [−0.06, 0.28] | p > 0.05 |
| Phase Name | Adults Slope [95% CI] | Adolescents Slope [95% CI] | |ΔSlope| [95% CI] | p (Speed × Group) |
|---|---|---|---|---|
| Stride cycle | 0.00 [0.00, 0.00] | 0.00 [0.00, 0.01] | 0.00 [0.00, 0.01] | p > 0.05 |
| Early swing | 0.00 [0.00, 0.00] | 0.01 [0.00, 0.01] | 0.00 [0.00, 0.01] | p > 0.05 |
| Mid swing | 0.00 [0.00, 0.01] | 0.01 [0.01, 0.02] | 0.01 [0.00, 0.01] | p < 0.05 |
| Late swing | 0.00 [−0.01, 0.00] | 0.00 [0.00, 0.01] | 0.00 [0.00, 0.00] | p > 0.05 |
| Contact | −0.01 [−0.02, −0.01] | −0.01 [−0.02, −0.01] | 0.00 [−0.01, 0.01] | p > 0.05 |
| Braking | −0.01 [−0.01, 0.00] | −0.01 [−0.01, 0.00] | 0.00 [−0.01, 0.01] | p > 0.05 |
| Propulsive | −0.02 [−0.02, −0.01] | −0.01 [−0.02, 0.00] | 0.01 [−0.01, 0.02] | p > 0.05 |
| Phase Name | Adults Slope [95% CI] | Adolescents Slope [95% CI] | |ΔSlope| [95% CI] | p (Slope Difference; Frequency × Group) |
|---|---|---|---|---|
| Stride cycle | 0.06 [−0.01, 0.12] | 0.15 [0.09, 0.21] | 0.10 [0.01, 0.18] | p < 0.05 |
| Early swing | 0.05 [−0.03, 0.13] | 0.07 [−0.01, 0.15] | 0.02 [−0.09, 0.13] | p > 0.05 |
| Mid swing | 0.20 [0.07, 0.33] | 0.32 [0.20, 0.45] | 0.12 [−0.06, 0.30] | p > 0.05 |
| Late swing | −0.12 [−0.20, −0.05] | 0.10 [0.03, 0.17] | 0.22 [0.12, 0.33] | p < 0.01 |
| Contact | −0.53 [−0.66, −0.39] | −0.15 [−0.28, −0.02] | 0.38 [0.19, 0.57] | p < 0.001 |
| Braking | −0.27 [−0.42, −0.13] | −0.01 [−0.14, 0.12] | 0.26 [0.07, 0.46] | p < 0.01 |
| Propulsive | −0.62 [−0.78, −0.45] | −0.17 [−0.33, −0.02] | 0.44 [0.22, 0.70] | p < 0.001 |
| Phase Name | Adults Slope [95% CI] | Adolescents Slope [95% CI] | |ΔSlope| [95% CI] | p (Slope Difference; Speed × Group) |
|---|---|---|---|---|
| Stride cycle | 0.00 [−0.00, 0.00] | 0.00 [0.00, 0.01] | 0.00 [−0.00, 0.01] | p > 0.05 |
| Early swing | 0.00 [−0.00, 0.00] | 0.01 [0.00, 0.01] | 0.00 [0.00, 0.01] | p < 0.01 |
| Mid swing | 0.01 [0.00, 0.01] | 0.01 [0.01, 0.02] | 0.01 [0.00, 0.01] | p < 0.01 |
| Late swing | −0.00 [−0.00, 0.00] | 0.00 [−0.00, 0.00] | 0.00 [−0.00, 0.01] | p > 0.05 |
| Contact | −0.01 [−0.02, −0.01] | −0.01 [−0.01, −0.01] | 0.00 [−0.00, 0.01] | p > 0.05 |
| Braking | −0.01 [−0.01, −0.00] | −0.00 [−0.01, 0.00] | 0.00 [−0.00, 0.01] | p > 0.05 |
| Propulsive | −0.02 [−0.02, −0.01] | −0.01 [−0.01, −0.00] | 0.01 [0.00, 0.01] | p < 0.05 |
| Group Name | Phase Name | ΔAICc (Linear) | Akaike Weights | Breakpoint (Hz) |
|---|---|---|---|---|
| Adults | Mid swing | 0.94 | 0.62 | 2.19 |
| Late swing | 6.52 | 0.96 | 2.21 | |
| Contact | 1.86 | 0.72 | 2.19 | |
| Propulsive | 4.83 | 0.92 | 2.21 | |
| Adolescents | Contact | 0.83 | 0.60 | 2.11 |
| Braking | 8.22 | 0.98 | 2.11 |
| Group Name | Phase Name | ΔAICc (Linear) | Akaike Weights | Breakpoint (m·s−1) |
|---|---|---|---|---|
| Adults | Late swing | 12.67 | 1.00 | 6.11 |
| Contact | 6.05 | 0.95 | 8.51 | |
| Braking | 0.54 | 0.58 | 9.51 | |
| Propulsive | 6.18 | 0.96 | 9.02 | |
| Adolescents | Stride cycle | 1.33 | 0.66 | 7.13 |
| Mid swing | 6.17 | 0.97 | 7.59 | |
| Contact | 4.77 | 0.92 | 7.58 | |
| Propulsive | 7.30 | 0.98 | 7.58 |
| Variables Name | Stride Cycle Speed (m·s−1) | Stride Cycle Length (m) | Stride Cycle Frequency (Hz) | Contact Time (s) | Braking Time (s) | Propulsive Time (s) | Braking Phase (%) | Propulsive Phase (%) | |
|---|---|---|---|---|---|---|---|---|---|
| Adults | mean | 8.52 | 3.77 | 2.26 | 0.11 | 0.03 | 0.08 | 29.44 | 70.97 |
| SD | 1.24 | 0.51 | 0.03 | 0.02 | 0.01 | 0.03 | 11.09 | 11.14 | |
| Adolescents | mean | 7.17 | 3.34 | 2.14 | 0.12 | 0.04 | 0.08 | 35.42 | 65.00 |
| SD | 0.85 | 0.38 | 0.03 | 0.02 | 0.01 | 0.03 | 12.22 | 12.16 |
Disclaimer/Publisher’s Note: The statements, opinions and data contained in all publications are solely those of the individual author(s) and contributor(s) and not of MDPI and/or the editor(s). MDPI and/or the editor(s) disclaim responsibility for any injury to people or property resulting from any ideas, methods, instructions or products referred to in the content. |
© 2026 by the authors. Licensee MDPI, Basel, Switzerland. This article is an open access article distributed under the terms and conditions of the Creative Commons Attribution (CC BY) license.
Share and Cite
Yokota, K.; Tamaki, H. Age-Related Differences in Thigh Biarticular Agonist–Antagonist Coordination During 50 m Sprinting: A Phase-Specific Analysis of sEMG and Ground Reaction Force Using Phase Mean Comparisons and Linear Mixed-Effects Models. Appl. Sci. 2026, 16, 2439. https://doi.org/10.3390/app16052439
Yokota K, Tamaki H. Age-Related Differences in Thigh Biarticular Agonist–Antagonist Coordination During 50 m Sprinting: A Phase-Specific Analysis of sEMG and Ground Reaction Force Using Phase Mean Comparisons and Linear Mixed-Effects Models. Applied Sciences. 2026; 16(5):2439. https://doi.org/10.3390/app16052439
Chicago/Turabian StyleYokota, Kanta, and Hiroyuki Tamaki. 2026. "Age-Related Differences in Thigh Biarticular Agonist–Antagonist Coordination During 50 m Sprinting: A Phase-Specific Analysis of sEMG and Ground Reaction Force Using Phase Mean Comparisons and Linear Mixed-Effects Models" Applied Sciences 16, no. 5: 2439. https://doi.org/10.3390/app16052439
APA StyleYokota, K., & Tamaki, H. (2026). Age-Related Differences in Thigh Biarticular Agonist–Antagonist Coordination During 50 m Sprinting: A Phase-Specific Analysis of sEMG and Ground Reaction Force Using Phase Mean Comparisons and Linear Mixed-Effects Models. Applied Sciences, 16(5), 2439. https://doi.org/10.3390/app16052439

