Next Article in Journal
Intelligent Measurement of Concrete Crack Width Based on U-Net Deep Learning and Binocular Vision 3D Reconstruction
Previous Article in Journal
SAMCM-SR: Applying SAM3 Under Data-Scarce Conditions for Cross-Modal Segmentation of Power Equipment Infrared Images with Super-Resolution Enhancement
 
 
Font Type:
Arial Georgia Verdana
Font Size:
Aa Aa Aa
Line Spacing:
Column Width:
Background:
Article

CFD Analysis of a Venturi Injector System

1
Beneks Contracting Engineering Representation Machinery Industry and Trade Co., Ltd., Buyukcekmece, Istanbul 34550, Turkey
2
Department of Mechanical Engineering, Sirnak University, Sirnak 72100, Turkey
3
Department of Mechanical Engineering, Firat University, Elazig 23119, Turkey
*
Author to whom correspondence should be addressed.
Appl. Sci. 2026, 16(5), 2356; https://doi.org/10.3390/app16052356
Submission received: 31 January 2026 / Revised: 25 February 2026 / Accepted: 26 February 2026 / Published: 28 February 2026
(This article belongs to the Section Fluid Science and Technology)

Abstract

This study presents a three-dimensional transient Computational Fluid Dynamics (CFD) analysis of a Venturi injector system used in a textile machine for removing excess water from fabrics after dyeing or washing processes. The main objective is to determine the optimum operating conditions by investigating the coupled effects of nozzle diameter and inlet pressure on pressure distribution, velocity field, and suction performance. Numerical simulations were performed for three nozzle diameters (dn = 14 mm, 15 mm, and 16 mm) and three inlet pressure values (Pi = 10 bar, 12 bar, and 15 bar). The results show that the Venturi injector performance is highly sensitive to the interaction between geometric and operating parameters. Increasing the inlet pressure from 10 bar to 15 bar resulted in approximately a 20% increase in maximum velocity and a 40–45% increase in vacuum pressure in the suction line. Among the investigated configurations, the nozzle diameter of 15 mm provided the most balanced flow structure, producing the highest pressure drop at the throat and the most stable suction behavior. Transient analyses revealed that suction formation occurs rapidly after flow initiation and remains stable throughout the operation period, indicating hydrodynamically stable injector performance under optimal conditions. The optimum operating point is identified as a nozzle diameter of 15 mm and an inlet pressure of 15 bar, where suction capacity is maximized and energy losses are minimized. The results provide a quantitative design guideline for the optimization of industrial Venturi injector system used in textile processing applications.

1. Introduction

In textile finishing processes, a considerable amount of water remains trapped within the fabric structure after dyeing and washing operations. The efficient removal of this excess water is a critical step, as it directly influences drying energy consumption, process efficiency, and final fabric quality. Conventional mechanical squeezing methods, although widely used, may lead to fabric deformation, non-uniform moisture distribution, and mechanical damage, particularly in delicate textile materials. Consequently, alternative water removal methods that minimize mechanical contact while maintaining process efficiency have gained increasing attention in industrial applications. One such approach is the use of Venturi-based suction systems. A Venturi injector removes excess water by generating a localized low-pressure region through the acceleration of a primary flow. As the fluid passes through the converging section of the Venturi, the increase in flow velocity leads to a reduction in static pressure at the throat, creating a suction effect that enables excess water to be extracted from the fabric surface without direct mechanical compression. This mechanism allows water removal while reducing mechanical stress on the fabric and improving operational stability, making Venturi injectors a promising solution for textile finishing applications.
The magnitude of the generated suction pressure depends on both geometric parameters, such as nozzle diameter, throat length, and diffuser angle, and operating conditions including inlet pressure and flow rate [1]. Therefore, accurate analysis of the internal flow structure is essential for determining optimal design and operating conditions. In this context, Computational Fluid Dynamics (CFD) provides a powerful and reliable tool for predicting flow behavior and optimizing Venturi injector performance [2]. For example, Semlithsch et al. [3] conducted a CFD analysis to predict the performance of a jet pump into a Venturi-shaped pipe. The flow field solutions were obtained by the steady-state and unsteady simulations. A reasonable agreement for the velocity and pressure contours was achieved. Ghalati et al. [4] presented a numerical analysis of the fluid flow in a jet pump which operates based on the Venturi principle and known as an injector in refrigeration or heat pump systems. Xi et al. [5] presented numerical analysis of the flow characteristics in an annular jet pump. They showed that in the suction chamber, the increase rate of the boundary layer width is independent of the ratio of the secondary flow to primary flow. But in the throat, the boundary layer width becomes thicker with the increase in the ratio of the secondary flow to primary flow.
Huang et al. [6] performed a CFD analysis to simulate the inner flow field of the Venturi injectors. They investigated the relationships among the structure parameters (i.e., length and diameter of throat and slot diameter) and suction capacity. The results showed that when the inlet pressure and the slot position are kept unchanged, the suction capacity of Venturi injector increases with the decrease in throat diameter and throat length, and the increase in slot diameter. Yan and Chu [7] simulated the flow inside a Venturi injector numerically by ANSYS-Fluent R22.0 based on Reynolds-Averaged Navier–Stokes (RANS) equations and a standard kε turbulence model. The Venturi injector with the throat inlet diameter of 4 mm achieved the highest efficiency of 15.5%, having no vortex inside the diffusion pipe. Sun and Niu [8] used the CFD technique to investigate the effects of geometric parameters (throat length, throat diameter, nozzle diameters) in the performance of a Venturi injector. The results indicated that the ratio of throat and nozzle diameters was the main factor in the performance of the Venturi injector, which was positively correlated with the output rate and negatively correlated with the critical and minimum pressures.
In more recent studies, optimization of Venturi injectors has increasingly been investigated through combined CFD and experimental approaches. Chen et al. [9] analyzed the influence of structural parameters such as throat diameter ratio, contraction angle, and diffuser angle on pressure variation and injector performance using response surface methodology and experimental validation. Similarly, Tang and Zhang [10] reported that suction efficiency and suction flow rate exhibit nonlinear dependence on geometric parameters and reach maximum values at optimized configurations. Furthermore, Zu et al. [11] demonstrated through CFD simulations that gas–liquid interface structures within the mixing section significantly affect entrainment behavior and pressure losses in Venturi injectors. Endaylalu [12] showed that CFD results agree well with experimental measurements of pressure distribution and discharge coefficients in Venturi tubes. Similarly, Kabaly et al. [13] performed experimental and numerical investigations on water–water ejectors and reported strong agreement between numerical predictions and experimental efficiency trends. Chen et al. [14] optimized liquid–gas jet pump performance using CFD and response surface methodology, demonstrating significant improvements in entrainment performance through geometric optimization. Arabbeiki et al. [15] proposed a multi-objective CFD optimization for ejectors used in hydrogen recirculation systems, showing that optimized geometries can enhance entrainment ratio and operational stability.
There are limited experimental works related to the issue. For example, Broadbent and Kong [16] presented a study which investigates the effect of process variables on the performance of a textile vacuum slot extractor. A relationship between the final water content of the fabric and the operational variables was derived, including the effects of interactions between some variables. As a result, verification was obtained between experimental and predicted water contents for intermediate values of process variables. Gupta et al. [17] investigated the pressure drop characteristics of the specific Venturi under two phase conditions. To achieve this, an experimental study was performed with air–water two phase flow in a Venturi channel system in a boiling reactor. The pressure drop across the Venturi was measured.
As seen from the literature review, the Venturi injectors are frequently used in industry and research studies and have been investigated both numerically and experimentally. It can be said that this study does not present any new research in this context. However, this research is the first to determine whether a Venturi injector can be used to remove water from washed or dyed wet textile products. Based on the numerical analysis results obtained here, many researchers will be able to more easily determine which type of Venturi injector they can use in the process of removing water from various types of fabrics. Hence a transient three-dimensional CFD analysis of a Venturi injector system was performed in this study. The effects of nozzle diameter and inlet pressure on total pressure and velocity were investigated.

2. Materials and Methods

2.1. Physical Model and Operating Conditions

In this study, the effects of nozzle geometry, inlet pressure, turbulence model, and mesh resolution on the flow characteristics and suction performance of a Venturi-type injector system were numerically investigated. The acceleration of the flow within the Venturi nozzle and the resulting low-pressure region responsible for generating the secondary suction flow were analyzed under transient conditions.
All numerical simulations were performed using the commercial CFD software ANSYS-CFX R22.0. The geometric configuration and dimensions of the modeled Venturi system are presented in Figure 1. In Figure 1 the configuration corresponding to a nozzle diameter of 15 mm is illustrated. Figure 1a, Figure 1b and Figure 1c show the solid 3D model, the sketch form of the 3D model, and the 2D model with dimensions on it, respectively. Three different nozzle diameters were examined by varying the nozzle geometry as dn = 14 mm, 15 mm, and 16 mm.
Water was used as the working fluid in the simulations. It was modeled as an incompressible and Newtonian fluid with constant thermophysical properties (T = 20 C, Patm = 1 atm, ρwater = 998 kg/m3 and μwater = 1.0016 mPas). Heat transfer effects were neglected, and all simulations were performed under isothermal conditions. Since pressure-driven flow was dominant, gravitational effects were not considered.
Although the inlet boundary conditions are steady, transient simulations were employed to capture the temporal development of the suction region and to verify the hydrodynamic stability of the flow field. In Venturi-type systems, the formation of the low-pressure region and the associated suction mechanism may evolve over time before reaching a stabilized condition. Therefore, transient simulations were performed to ensure that the obtained flow characteristics correspond to a physically stable regime rather than an initial numerical solution. The results presented in this study correspond to the quasi-steady state obtained after the transient evolution of the flow.
To investigate the time-dependent behavior of the flow and the development of the suction mechanism, all simulations were conducted in transient mode. Each case was simulated for a total physical time of 30 s, which was found to be sufficient for the flow to reach a quasi-steady state. It should be clarified that the total physical simulation time was selected as 30 s to ensure that the flow field reached a stabilized condition. However, the physical simulation time itself is not used as a defining parameter. Instead, a quasi-steady state criterion was employed. The flow was considered to reach a quasi-steady state when the monitored pressure and velocity values at selected probe locations along the Venturi axis and suction line varied less than 1% over time. After this condition was achieved, the flow characteristics remained statistically unchanged. A convergence criterion of 10−6 was applied for all solutions.
The ultimate objective of the analysis was to determine the optimal nozzle configuration under optimal inlet pressure conditions. Accordingly, the nozzle diameter and inlet pressure were selected as the primary design variables. The nozzle diameters (dn) were set to 14 mm, 15 mm, and 16 mm, while the inlet pressures (Pi) were varied as 10 bar, 12 bar, and 15 bar. This resulted in a total of nine simulation cases.

2.2. Mesh Structure and Mesh Accuracy

The computational domain was discretized using three different mesh densities: coarse, medium, and fine grids. Accordingly, the coarse mesh (case 1) consists of approximately 40,000 elements, the medium mesh (case 2) contains about 60,000 elements, and the fine mesh (case 3) includes approximately 180,000 elements. A locally refined mesh was applied particularly in the nozzle throat and near-wall regions in order to accurately capture the high velocity and pressure gradients. The 3D mesh structure applied to the model is shown in Figure 2.
The velocity values at the nozzle throat and in the suction line were obtained for the three different mesh configurations and compared in Figure 3. The results show that the medium and fine meshes (cases 2 and case 3) produce nearly identical velocity values, with a deviation of approximately 0.5%, whereas the coarse mesh yields noticeably different results. Based on these results, the medium-density mesh was selected for all subsequent simulations. Accordingly, all further analyses were conducted using the mesh consisting of approximately 60,000 elements.
Table 1 presents the mesh independence analysis together with the near-wall resolution. The y+ values remain within a similar range for all mesh configurations, indicating consistent near-wall treatment. The characteristic velocity at the nozzle throat shows a converging behavior as the mesh is refined. The discretization uncertainty was quantified using the Grid Convergence Index (GCI), which provides a measure of numerical uncertainty associated with spatial discretization. The decreasing GCI values with mesh refinement indicate improved numerical convergence and reduced discretization error. Since the difference between the medium and fine meshes is limited, the medium mesh was selected as it provides sufficient numerical accuracy with reasonable computational cost.

2.3. Boundary Conditions

The boundary conditions applied in the numerical simulations are illustrated in Figure 4. At the main inlet located on the left side of the model (point A—inlet), three different total pressure values were prescribed; namely Pi = 10 bar, Pi = 12 bar, and Pi = 15 bar. The nozzle exit (point D—outlet) and the main flow outlet on the right side of the computational domain (point B—outlet) were defined as pressure outlets with a reference pressure of 0 Pa. All pressure values used in the simulations are specified as gauge pressures referenced to atmospheric conditions; therefore, the outlet pressure of 0 Pa represents discharge to the ambient atmosphere, and all pressure values reported in the manuscript correspond to gauge pressures relative to atmospheric pressure.
The pressure outlet boundary condition was applied only at the physical outlet boundaries of the computational domain. The nozzle exit itself was not defined as a boundary condition but represents an internal region of the computational domain where flow variables are solved as part of the governing equations. A reference pressure of 0 Pa (gauge pressure) was assigned at the outlet boundaries to represent atmospheric discharge conditions. Therefore, the pressure values reported in the manuscript correspond to gauge pressures relative to atmospheric conditions.
To model the suction mechanism induced by the Venturi effect, a negative gauge pressure of −1 bar was applied at the suction port located at the upper left part of the geometry (point C—outlet). This boundary condition represents the low-pressure region formed at the nozzle throat that drives the secondary flow. A no-slip wall condition was imposed on all solid surfaces, and all pressure values used in the study were defined as gauge pressures.

2.4. Turbulence Model

The flow field was modeled using the transient, 3D, incompressible RANS equations. The continuity and momentum equations were solved using the finite volume method implemented in ANSYS-CFX R22.0. To investigate the effect of the turbulence model on the results, three different turbulence models were employed: the standard kε model, the k-ω model and the Shear Stress Transport (SST) model. All three models were compared in terms of velocity values along the Venturi axis. The comparative analysis showed that the SST turbulence model provided more stable and physically realistic predictions, particularly due to its superior capability in capturing the high velocity gradients and adverse pressure gradients that develop in the nozzle throat region. The comparative velocity profiles obtained from the different turbulence models are presented in Figure 5.
In addition to pressure and velocity boundary conditions, turbulence quantities were specified at the inlet boundaries. The turbulence intensity was set to 5%, representing fully developed internal flow conditions commonly encountered in industrial piping systems. Based on these values, the turbulence kinetic energy (k) and specific dissipation rate (ω) were automatically calculated by the solver. At the outlet boundaries, zero-gradient boundary conditions were applied for turbulence variables.
The turbulence models were compared based on the velocity distribution along the Venturi axis and the stability of the pressure gradient prediction in the throat region. Among the tested models, the SST turbulence model provided smoother velocity transitions and more stable pressure distributions, particularly in regions with strong adverse pressure gradients. Therefore, the SST model was selected for the remaining simulations, consistent with previous studies on internal flows involving flow acceleration and possible separation.

2.5. Governing Equations

The flow field inside the Venturi injector was modeled using the incompressible Reynolds-Averaged Navier–Stokes (RANS) equations. The governing equations consist of the conservation of mass and momentum equations. Since the present study considers that isothermal single-phase flow and heat transfer effects are neglected, the energy equation was not solved.
The conservation of mass, i.e., the continuity equation is shown as:
u i x i = 0
The RANS equations in Cartesian coordinates are expressed as follows:
ρ u i u j x i = p x i + x i μ + μ t x i   j = 1 , 2 , 3
where μt denotes the turbulent viscosity.
The SST turbulence model developed by Menter [18] combines the advantages of the kε and k-ω models through a blending function that activates the kε formulation in the core flow region while switching to the k-ω model in the near-wall region. Based on the co-authors’ best experience in applying the SST model in previous studies, it is demonstrated that it is capable of providing predictions that are in good agreement with experimental data [19,20]. The SST model is particularly suitable for flows characterized by strong shear layers and separation, as it effectively integrates the strengths of the k-ω and kε formulations for both wall-bounded and free-shear flows.
The SST turbulence model consists of two transport equations: one for the turbulent kinetic energy (k) and the other for the specific dissipation rate (ω). These two equations are expressed as follows:
ρ u i k x i = P k β 1 ρ k ω + x i μ + μ t σ k k x i
ρ u i ω x i = A ρ S 2 β 2 ρ ω 2 + x i μ + μ t σ ω 1 ω x i + 2 1 F 1 ρ 1 σ ω 2 ω k x i ω x i
In the SST equations, ω represents the specific dissipation rate, Pk denotes the production rate of the turbulent kinetic energy k. The terms σk, σ ω 1 and σ ω 2 are the diffusion coefficients for the transport of k and ω. The blending function F1 facilitates the combination of the standard kε model with the Wilcox kε model. The term S represents the magnitude of the strain rate, while A and β are model constants.
Solutions of Equations (3) and (4) yield the values of k and ω, which are then used to compute the turbulent viscosity:
μ t = a ρ k m a x a ω , S F 2
where F2 is a function that limits the turbulent viscosity in the near-wall region, a is a model constant, and S has already been defined in connection with Equation (4).

2.6. Verification of the CFD Analysis

For verification the numerical study from Yan and Chu [7] is considered. In the cited reference the flow inside a Venturi injector was analyzed numerically by using commercial software Fluent-ANSYS R22.0 based on RANS equations and the standard kε turbulence model. There were fifteen different throat structures constituted by inlet diameters of 4, 5, and 6 mm. One of the models from the reference study [7] is taken as a base and solved. Nearly 100% accuracy was obtained by means of pressure distribution (Figure 6).

3. Results

As aforementioned, three different inlet pressures, Pi = 10 bar, 12 bar, and 15 bar, with nozzle diameter dn = 15 mm, and additionally nozzle diameters dn = 14 mm and 16 mm with inlet pressure Pi = 12 bar, were tested. Below, a detailed flow analysis is first performed for dn = 15 mm and Pi = 15 bar. Then, the velocity and pressure values obtained for all tested inlet pressures and nozzle diameters are explained with comparative graphs.

3.1. Results of the Case Where dn Is 15 mm and Pi Is 15 Bar

The pressure distribution obtained when the inlet pressure is Pi = 15 bar and the nozzle diameter is 15 mm at the first and last time steps are given in Figure 7a and Figure 7b, respectively.
According to Figure 7, the highest pressure is 16.35 bar, and the lowest pressure, which is the suction pressure, is −35.42 bar. The minimum maximum values at t = 1 s and t = 30 s look similar; however, the maximum values at t = 1 s (−25 bar) are slightly lower than at t = 30 s (−20 bar).
Since it is not clear to see the minimum pressure locations from Figure 7a,b, a graphical representation is created. Figure 8a,b show the pressures at the last time step, along the nozzle axis and suction line respectively. Additionally, in Figure 8c the axial distances selected from the model are shown for better understanding, i.e., in Figure 8a the axial distance is the line taken from the inlet and outlet of the Venturi (0 m–1 m), and in Figure 8b the axial distance is the line taken from the suction point to the outlet of the suction port (0 m–0.5 m). The pressure variation along the Venturi axis shows that the pressure has dropped to −6 bar at the end of the diffusor, which means that very low velocities occur at the diffusor. This result proves that an excellent suction is obtained. Figure 8b shows that the pressure drops to −1 bar at the suction port and there is not a big difference between the entrance and end parts of the suction line.
The velocity distributions given in Figure 9a and Figure 9b respectively for t = 1 s and t = 30 s demonstrate that the water velocity reached a peak of 77 m/s inside the Venturi. At t = 25 s, suction occurred in the suction line, and the velocity reached 0 m/s, that is to say that there is no flowing water at that point anymore. The general flow structure in the venture can be explained as follows: in the converging cone, the pressure energy generated by water flow in the entrance of a Venturi injector is converted to a velocity head. A rise in velocity along the Venturi convergent cone is resulting from the pressure gradient, causing the pressure to decrease and the production of a vacuum at the inlet port.
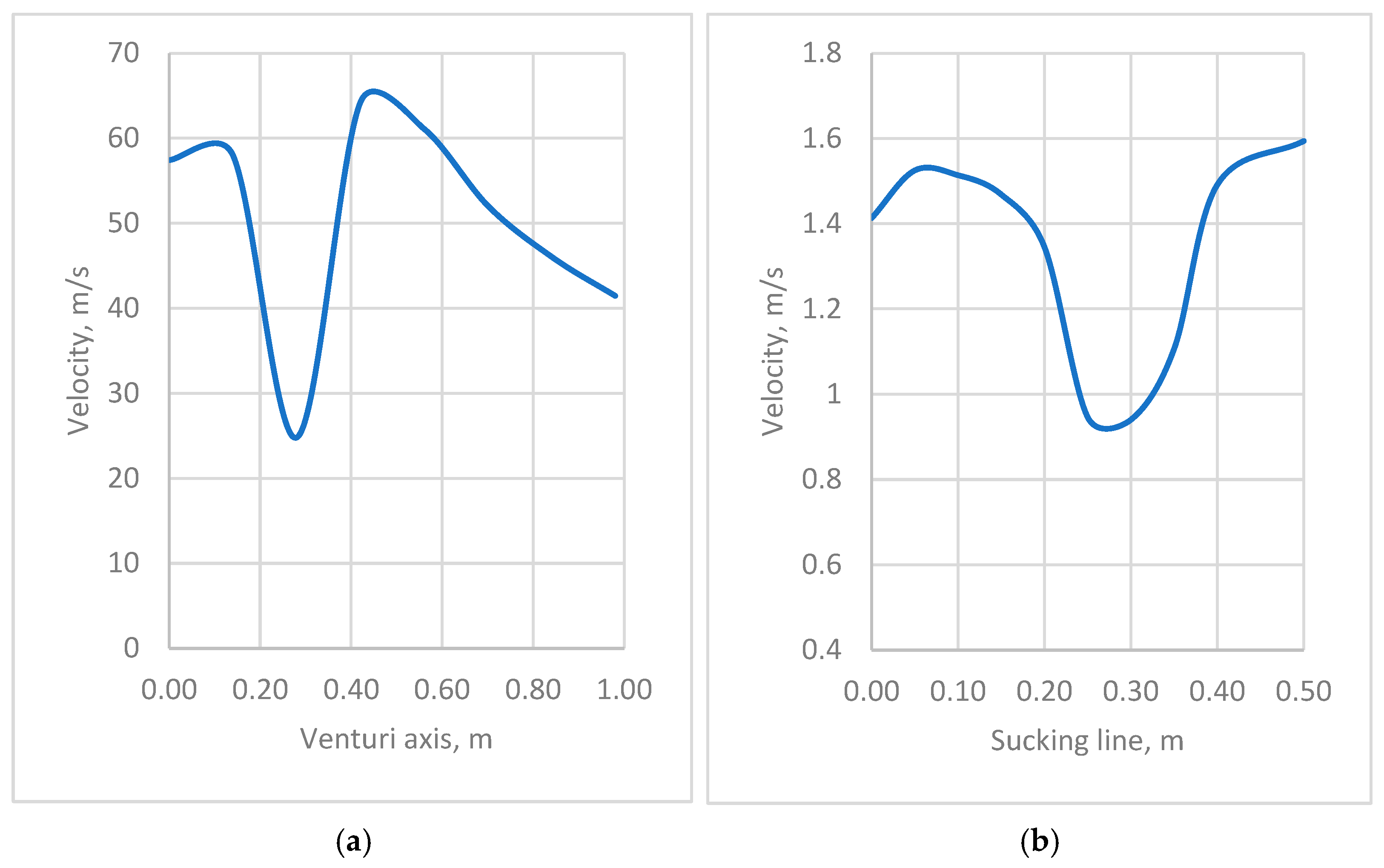
Figure 10a shows the variation in velocity along the nozzle at t = 30 s for Pi = 15 bar and dn = 15 mm, while Figure 10b shows the variation in velocity along the suction line.
The graphs show that the water velocity is around 30 m/s at the nozzle outlet (x = 0.28) and around 60 m/s at the end of throat (x = 0.42). It is nearly 42 m/s when water is leaving the diffusor. The most important observation in Figure 10b is that the velocity approaches zero at the end of the suction line. After that, it is reduced to a very small value of 1.4 m/s. When Figure 8b and Figure 10b are handled together, meaning when the pressure and velocity along the sucking line are considered, it can be seen that a good suction is obtained.

3.2. Comparative Results for All Cases

The pressure distributions along the Venturi axis as previously plotted for Pi = 15 bar and dn = 15 mm in Figure 8a are now plotted in Figure 11 including all cases. It is observed that when the nozzle diameter is kept constant (i.e., dn = 15 mm), and the water pressure entering the Venturi increases from 10 bar to 12 bar, the pressure distribution looks quite similar, especially at the locations 0 < x < 0.7. There is a little fluctuation near to the exit of the diffusor (x < 0.7). In numbers terms, when Pi is 10 bar, the highest suction pressure along the entire Venturi axis has the value of −2.7 bar at the Venturi throat (nozzle outlet), which is quite similar to the case of Pi = 12 bar. However, when the inlet pressure increases to 15 bar, there is a gradual increase in the pressure at the throat section (x = 0.38), and a decrease at the diffusor section (x > 0.7). Unlike the cases of Pi = 10 bar and Pi = 12 bar, in the case of Pi = 15 bar, the pressure at the diffusor is around −6 bar, meaning the suction pressure continues to rise towards the diffuser outlet.
When evaluating based on nozzle diameters, the curves where the inlet pressure is 12 bar and the nozzle diameters are 14 mm, 15 mm, and 16 mm should be carefully examined. Here, there are quite similar curves in the case of dn = 14 mm and dn = 15 mm, but different curves in the case of dn = 16 mm. In fact, it is clearly observed that the pressure distribution at dn = 16 mm is different from that in all other cases. It can be concluded that when dn = 16 mm, this yields the highest suction pressure at the throat and lowest at the Venturi diffusor outlet.
A pressure differential between the inlet and outlet of a Venturi injector creates a vacuum that causes suction at the suction port. Pressurized water flows through the inlet of the Venturi injector and into the constricted channel where its velocity increases and its pressure drops. This drop in pressure creates a vacuum at the suction port. Hence the pressure distributions along the suction port are plotted in Figure 12 including all cases. It is evident in Figure 12 that the pressure variations along the sucking line are quite similar for the cases of dn = 14 mm, 15 mm and 16 mm with Pi = 15 bar. The suction pressure is nearly −1.1 bar for the mentioned cases. However, for the case of Pi = 12 bar and dn = 14 mm, the suction pressure reaches up −3 bar at the exit of the sucking line. The most interesting case is when dn = 16 mm the suction pressure is nearly −2.2 bar and does not change along the line.
The attention now will be turned to the velocity variations. The velocity distributions along the Venturi axis as previously plotted for Pi = 15 bar and dn = 15 mm (in Figure 10a) are now plotted in Figure 13, including all cases. For all tested cases, there is a trend of velocity curves at the converging part of the Venturi (0 < x < 0.3) looking similar. The water velocity decreases when the suction is started, and then increases again at the throat. Then there is a slightly decreasing flow through the diffusor. The velocities for the case of Pi = 15 bar and dn = 15 mm are similar to the case of Pi = 12 bar and dn = 16 mm. For the case Pi = 10 bar and dn = 15 mm, velocities after the throat are lower. For the cases when Pi = 12 bar with dn = 14 mm and with dn = 16 mm, the velocity curves are different. The lowest velocities at the diffusor are obtained in the case of dn = 16 mm, but the velocity at the suction port is highest.
The velocity variations through the suction line are given in Figure 14. As is evident, all of the variations are similar in trend to those in other cases, but they differ in value. For example, the lowest velocity values are found for dn = 15 mm and Pi = 15 bar. This is a very important result since it shows that there is almost a creeping water flow, since most of the water is sucked at the suction port.
The most general conclusion that can be drawn from both velocity and pressure graphs, and indeed all graphs presented so far, can be summarized as follows: dn = 15 mm and Pi = 15 bar is the combination that yields the best results in terms of vacuuming. From the perspective of nozzle diameter, it was shown that the system operates efficiently with a throat that is neither too narrow nor too wide. The small-diameter nozzle (14 mm) excessively narrowed the flow, reducing the total mass flow rate and preventing sufficient momentum transfer in the diffuser. This resulted in limited vacuum energy transferred to the suction line, even if a pressure drop occurred in the throat. In the large-diameter nozzle (16 mm), the flow could not accelerate sufficiently, thus weakening the Venturi effect and reducing suction performance. In contrast, the 15 mm nozzle diameter created an ideal balance between velocity increase and flow rate, producing the maximum pressure drop and the strongest vacuum. Time-dependent (transient) analyses revealed not only the steady state of the system but also the vacuum formation process. In all scenarios, the vacuum developed shortly after the flow started and remained stable throughout the 30 s simulation. This demonstrates that the Venturi injector has a hydrodynamically stable suction mechanism and is resistant to sudden pressure or velocity fluctuations. Especially under optimum conditions (dn = 15 mm, Pi = 15 bar), the fact that the velocity in the suction line drops to near zero is direct evidence that a permanent and strong vacuum zone has been formed.

4. Conclusions

Despite their geometrical simplicity, the internal flow field of Venturi injectors is highly complex because of strong velocity gradients, significant pressure drops, and intense turbulence occurring within the nozzle, throat, and diffuser regions. In this study, a detailed transient three-dimensional CFD analysis was carried out to investigate the flow characteristics of a Venturi injector system intended for use in a textile machine for removing excess water from fabrics.
The numerical results demonstrate that the performance of the Venturi injector is strongly governed by the combined effect of geometric parameters and operating conditions. Increasing the inlet pressure significantly enhanced the acceleration of the primary flow inside the nozzle throat, resulting in a stronger pressure drop and improved suction capability. When the inlet pressure was increased from 10 bar to 15 bar while keeping the nozzle diameter constant (dn = 15 mm), the maximum vacuum pressure generated in the suction line increased by approximately 40–45%, indicating a substantial improvement in suction performance. In parallel, the maximum flow velocity inside the Venturi increased from approximately 64 m/s to 77 m/s, corresponding to an increase of nearly 20%, which directly contributed to improved momentum transfer and entrainment behavior.
The effect of nozzle diameter was also found to be significant. The smallest nozzle diameter (14 mm) excessively restricted the flow and reduced the total mass flow rate, limiting momentum transfer in the diffuser section despite the presence of a pressure drop. Conversely, the largest nozzle diameter (16 mm) did not allow sufficient flow acceleration, weakening the Venturi effect and reducing suction performance. Among the tested configurations, the nozzle diameter of 15 mm provided the most balanced flow structure, producing the highest pressure drop, stable velocity distribution, and the most effective vacuum formation.
When all numerical results are evaluated together, the combination of a nozzle diameter of dn = 15 mm and an inlet pressure of Pi = 15 bar was determined as the most suitable operating condition for the system. Under this condition, the highest vacuum level was obtained, the transfer of the main flow energy to the suction line was most efficient, and pressure recovery in the diffuser was well balanced. These results indicate that energy losses are minimized while suction capacity is maximized under optimum geometric and operating conditions. Transient analyses further revealed that vacuum formation occurs rapidly after flow initiation and remains stable throughout the simulation period, demonstrating the hydrodynamic stability of the Venturi injector under optimal conditions.
In conclusion, this study strongly demonstrates that the performance of Venturi injectors should be considered not only in terms of geometric design but also in conjunction with operating conditions. This CFD approach provides a reliable engineering framework for optimum nozzle selection, appropriate inlet pressure determination, and energy-efficient vacuum generation in the design of industrial and agricultural Venturi systems.

5. Patents

The patent resulting from the work reported in this manuscript is: No: TR 2024 007068 B with the title of “A Machine for Absorbing and Removing Water”.

Author Contributions

Conceptualization, E.E., A.K. and K.S.M.; methodology: E.E. and K.S.M.; simulations; A.T. and N.C., verification: A.T. and N.C., supervision, N.C., writing—original draft preparation, N.C. All authors have read and agreed to the published version of the manuscript.

Funding

This research was funded by The Scientific and Technological Research Council of Turkey (TUBITAK), with the project number 3241184 and entitled as: “Design and Implementation of A Smart Venturi Injector System for Water Removal from Different Fabric Types”.

Data Availability Statement

There is no new data created.

Conflicts of Interest

Authors Ezgi Ersan, Ahmet Karatas and Khalil Sheikh Mohammed were employed by the company Beneks Contracting Engineering Representation Machinery Industry and Trade Co., Ltd. The remaining authors declare that the research was conducted in the absence of any commercial or financial relationships that could be construed as a potential conflict of interest.

References

  1. Batmaz, V.; Kayaalp, N. Computational fluid dynamics analysis of a Venturi-integrated diffuser design for membrane bioreactors. Membranes 2026, 16, 10. [Google Scholar] [CrossRef]
  2. Manzano, J.; Palau, C.V.; De Azevedo, B.M.; Do Bomfim, G.V.; Vasconcelos, D.V. Geometry and head loss in Venturi injectors through computational fluid dynamics. J. Braz. Assoc. Agric. Eng. 2016, 36, 482–491. [Google Scholar] [CrossRef]
  3. Semlitsch, B.; Laurendeau, E.; Mihaescu, M. Steady-state and unsteady simulations of a high velocity jet into a Venturi shaped pipe. In Proceedings of the ASME 4th Joint U.S.—European Fluids Engineering Summer Meeting, Chicago, IL, USA, 3–7 August 2014. FEDSM 2014-22162. [Google Scholar]
  4. Ghalati, A.R.; Lacey, J.; Poncet, S. Hybrid scale-resolving simulation of flow field and mixing performance in a water jet pump. Phys. Fluids 2026, 38, 015171. [Google Scholar] [CrossRef]
  5. Xu, M.S.; Yang, X.L.; Long, X.P.; Lu, Q. Large eddy simulation of turbulent flow structure and characteristics in an annular jet pump. J. Hydrodyn. 2017, 29, 702–715. [Google Scholar] [CrossRef]
  6. Huang, X.; Li, G.; Wang, M. CFD simulation to the flow field of Venturi injector. In Computer and Computing Technologies in Agriculture II, Volume 2; IFIP International Federation for Information Processing; Springer: Boston, MA, USA, 2009; Volume 294, pp. 805–815. [Google Scholar]
  7. Yan, H.; Chu, X. Numerical simulation for influence of throat diameter on Venturi injector performance. J. Drain. Irrig. Mach. Eng. 2011, 29, 359–363. [Google Scholar]
  8. Sun, Y.; Niu, W. Simulating the effects of structural parameters on the hydraulic performances of Venturi tube. Model. Simul. Eng. 2012, 2012, 458368. [Google Scholar] [CrossRef][Green Version]
  9. Chen, L.; Sun, Z.; Ma, H.; Gao, K.; Ma, G.; Deng, Y. Structural parameters of Venturi injector for periodic air recovery based on response surface methodology. Chem. Eng. Process. Process Intensif. 2023, 193, 109551. [Google Scholar] [CrossRef]
  10. Tang, P.; Zhang, Z. Structural optimization based on response surface methodology for the Venturi injector used in fertigation system. Horticulturae 2025, 11, 223. [Google Scholar] [CrossRef]
  11. Zu, Y.; Zhong, W.; Xu, E.; Miao, Z. Computational fluid dynamics analysis of gas suction in coaxial flow Venturi injector: Impact of gas–liquid interface structure in mixing section. Appl. Sci. 2024, 14, 10839. [Google Scholar] [CrossRef]
  12. Endaylalu, S.A. A numerical and experimental investigation of fluid flow through a Venturi tube. Am. J. Mech. Ind. Eng. 2025, 10, 116–127. [Google Scholar] [CrossRef]
  13. Kabaly, M.; El-Gamal, H.; Saber, E.; Rola, A. Experimental and numerical study of a water-water ejector. J. Umm Al-Qura Univ. Eng. Archit. 2025, 16, 816–826. [Google Scholar] [CrossRef]
  14. Chen, Z.; Jiang, Y.; Lu, H.; Tang, Y.; Chen, Z. Optimization design of liquid–gas jet pump based on RSM and CFD: A comprehensive analysis of the optimization mechanism. Water 2025, 17, 3423. [Google Scholar] [CrossRef]
  15. Arabbeiki, M.; Mansourkiaei, M.; Ferrero, D.; Santarelli, M. Numerical optimization of ejector for enhanced hydrogen recirculation in proton exchange membrane fuel cells. J. Power Sources 2025, 641, 236846. [Google Scholar] [CrossRef]
  16. Broadbent, A.D.; Kong, X. Analysis of the performance of a textile vacuum extractor. Text. Res. J. 1995, 65, 486–489. [Google Scholar] [CrossRef]
  17. Gupta, B.; Nayak, A.K.; Kandar, T.K.; Nair, S. Investigation of air–water two phase flow through a venture. Exp. Therm. Fluid Sci. 2016, 70, 148–154. [Google Scholar] [CrossRef]
  18. Menter, F. Two-Equation eddy-viscosity turbulence models for engineering applications. AIAA J. 1994, 32, 1598–1605. [Google Scholar] [CrossRef]
  19. Celik, N.; Bettenhausen, D.W. Numerical investigation of the co-axial impinging jets with various diameter ratios. J. Enhanc. Heat Transf. 2012, 19, 135–147. [Google Scholar] [CrossRef]
  20. Celik, N.; Bettenhausen, D.W.; Lovik, R.D. Formation of co-axial jets and their downstream development. J. Therm. Sci. Technol. 2012, 32, 91–99. [Google Scholar]
Figure 1. Views of the model: (a) solid model, (b) schematic model, (c) 2D model with dimensions.
Figure 1. Views of the model: (a) solid model, (b) schematic model, (c) 2D model with dimensions.
Applsci 16 02356 g001
Figure 2. Mesh structure (dotted frames are zoomed).
Figure 2. Mesh structure (dotted frames are zoomed).
Applsci 16 02356 g002
Figure 3. Grid independence (mesh validation) results.
Figure 3. Grid independence (mesh validation) results.
Applsci 16 02356 g003
Figure 4. Boundary conditions of the 3D geometry.
Figure 4. Boundary conditions of the 3D geometry.
Applsci 16 02356 g004
Figure 5. Comparison of turbulence models.
Figure 5. Comparison of turbulence models.
Applsci 16 02356 g005
Figure 6. Pressure contour obtained when Ref. [7] is simulated.
Figure 6. Pressure contour obtained when Ref. [7] is simulated.
Applsci 16 02356 g006
Figure 7. Pressure contours for Pi = 15 bar, dn = 15 mm at (a) t = 1 s, (b) t = 30 s.
Figure 7. Pressure contours for Pi = 15 bar, dn = 15 mm at (a) t = 1 s, (b) t = 30 s.
Applsci 16 02356 g007
Figure 8. Pressure variation at t = 30 s, Pi = 15 bar, dn = 15 mm, along (a) Venturi axis, (b) sucking line, (c) selected axis on the model.
Figure 8. Pressure variation at t = 30 s, Pi = 15 bar, dn = 15 mm, along (a) Venturi axis, (b) sucking line, (c) selected axis on the model.
Applsci 16 02356 g008
Figure 9. Velocity contours for Pi = 15 bar, dn = 15 mm at (a) t = 1 s, (b) t = 25 s.
Figure 9. Velocity contours for Pi = 15 bar, dn = 15 mm at (a) t = 1 s, (b) t = 25 s.
Applsci 16 02356 g009
Figure 10. Velocity variation at t = 30 s, Pi = 15 bar, dn = 15 mm along the (a) Venturi axis, (b) sucking line.
Figure 10. Velocity variation at t = 30 s, Pi = 15 bar, dn = 15 mm along the (a) Venturi axis, (b) sucking line.
Applsci 16 02356 g010
Figure 11. Pressure variations at t = 30 s along the Venturi axis for all cases.
Figure 11. Pressure variations at t = 30 s along the Venturi axis for all cases.
Applsci 16 02356 g011
Figure 12. Pressure variation at t = 30 s along the sucking line for all cases.
Figure 12. Pressure variation at t = 30 s along the sucking line for all cases.
Applsci 16 02356 g012
Figure 13. Velocity variations at t = 30 s along the Venturi axis for all cases.
Figure 13. Velocity variations at t = 30 s along the Venturi axis for all cases.
Applsci 16 02356 g013
Figure 14. Velocity variations at t = 30 s along the sucking line for all cases.
Figure 14. Velocity variations at t = 30 s along the sucking line for all cases.
Applsci 16 02356 g014
Table 1. Mesh independence and near-wall resolution analysis.
Table 1. Mesh independence and near-wall resolution analysis.
MeshNumber of
Elements
Average y+Maximum Velocity at Throat (m/s)GCI (%)
Coarse Mesh40,00045.863.2-
Medium Mesh60,00047.364.01.85
Fine Mesh140,00048.164.30.72
Disclaimer/Publisher’s Note: The statements, opinions and data contained in all publications are solely those of the individual author(s) and contributor(s) and not of MDPI and/or the editor(s). MDPI and/or the editor(s) disclaim responsibility for any injury to people or property resulting from any ideas, methods, instructions or products referred to in the content.

Share and Cite

MDPI and ACS Style

Ersan, E.; Taskiran, A.; Karatas, A.; Mohammed, K.S.; Celik, N. CFD Analysis of a Venturi Injector System. Appl. Sci. 2026, 16, 2356. https://doi.org/10.3390/app16052356

AMA Style

Ersan E, Taskiran A, Karatas A, Mohammed KS, Celik N. CFD Analysis of a Venturi Injector System. Applied Sciences. 2026; 16(5):2356. https://doi.org/10.3390/app16052356

Chicago/Turabian Style

Ersan, Ezgi, Ali Taskiran, Ahmet Karatas, Khalil Sheikh Mohammed, and Nevin Celik. 2026. "CFD Analysis of a Venturi Injector System" Applied Sciences 16, no. 5: 2356. https://doi.org/10.3390/app16052356

APA Style

Ersan, E., Taskiran, A., Karatas, A., Mohammed, K. S., & Celik, N. (2026). CFD Analysis of a Venturi Injector System. Applied Sciences, 16(5), 2356. https://doi.org/10.3390/app16052356

Note that from the first issue of 2016, this journal uses article numbers instead of page numbers. See further details here.

Article Metrics

Back to TopTop