3D Printing Experimental Investigation and DEM Simulation on the Failure Processes of Double Tunnels Containing Fissures
Abstract
1. Introduction
2. Engineering Background
3. Specimen Preparation and Test Scheme
3.1. Specimen Preparation
- (1)
- The specimens were prepared using sand-based 3D printing technology. First, a three-dimensional digital model of the specimen was established using CATIA software (Version R2020), in which the overall geometry and dimensions of the specimen were determined. After the model was completed, it was imported into the 3D printing system, and the printing layer thickness was set for subsequent fabrication.
- (2)
- Fine sand was used as the aggregate, and furan resin was selected as the binder. The specimens were fabricated using a sand-based 3D printing system based on binder jetting technology. Commercial ceramic proppant sand was employed as the aggregate material, and furan resin was used as the binder. The ceramic sand exhibited good particle uniformity and high mechanical stability, which ensured consistent printing quality and adequate strength of the printed specimens after curing. A commercial sand 3D printer was used for specimen fabrication. The printing process was conducted in a layer-by-layer manner, in which a thin layer of ceramic sand was first uniformly spread over the printing platform, followed by selective spraying of furan resin along the predefined contours to bond the sand particles. The printing layer thickness was set in advance to achieve a balance between geometric resolution and printing efficiency. Key printing parameters, including layer thickness, binder saturation level, and printing speed, were kept constant for all specimens to ensure consistency and repeatability. After printing, the specimens were allowed to cure at room temperature, and excess loose sand was carefully removed to obtain specimens with well-defined fissures and tunnels.
- (3)
- After printing, the specimens were cured at room temperature to allow sufficient solidification of the resin. The excess unbonded sand was then carefully removed, making the prefabricated fissures and holes clearly visible. Finally, the specimen surfaces were cleaned, and random speckle patterns were applied to facilitate subsequent digital image correlation analysis.
3.2. Test Scheme
3.3. Test Equipment
3.4. DIC Principle
4. PFC Principle and Numerical Model
4.1. Parallel Bond Model
4.2. Calculation Model and Parameters
4.3. Quantitative Analysis of Mechanical Parameters
5. Experimental and Numerical Simulation Results
5.1. Experimental Result Analysis
5.1.1. Crack Propagation Process
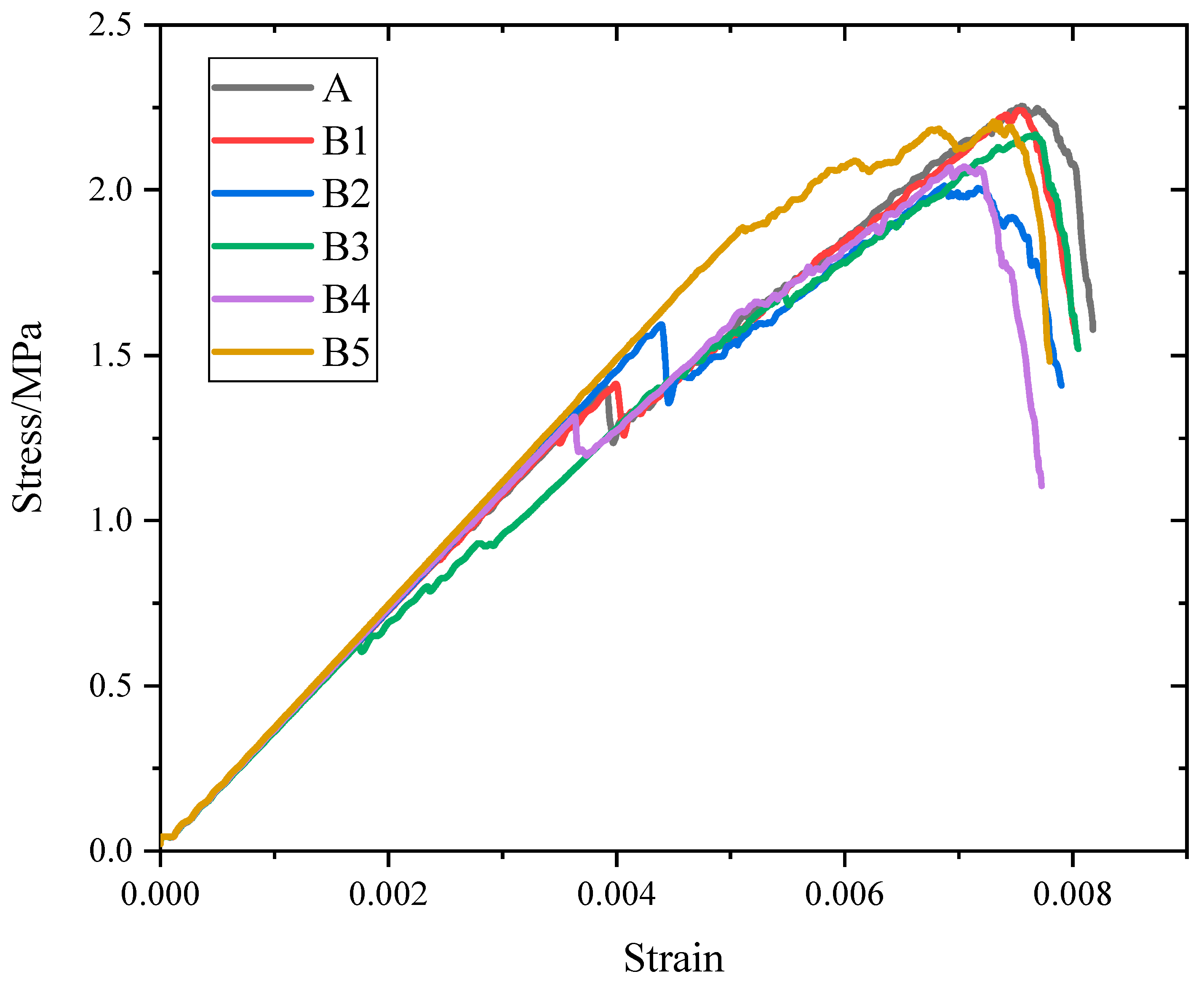
5.1.2. Stress–Strain Curves
5.2. Numerical Simulation Results
5.2.1. Crack Propagation Process
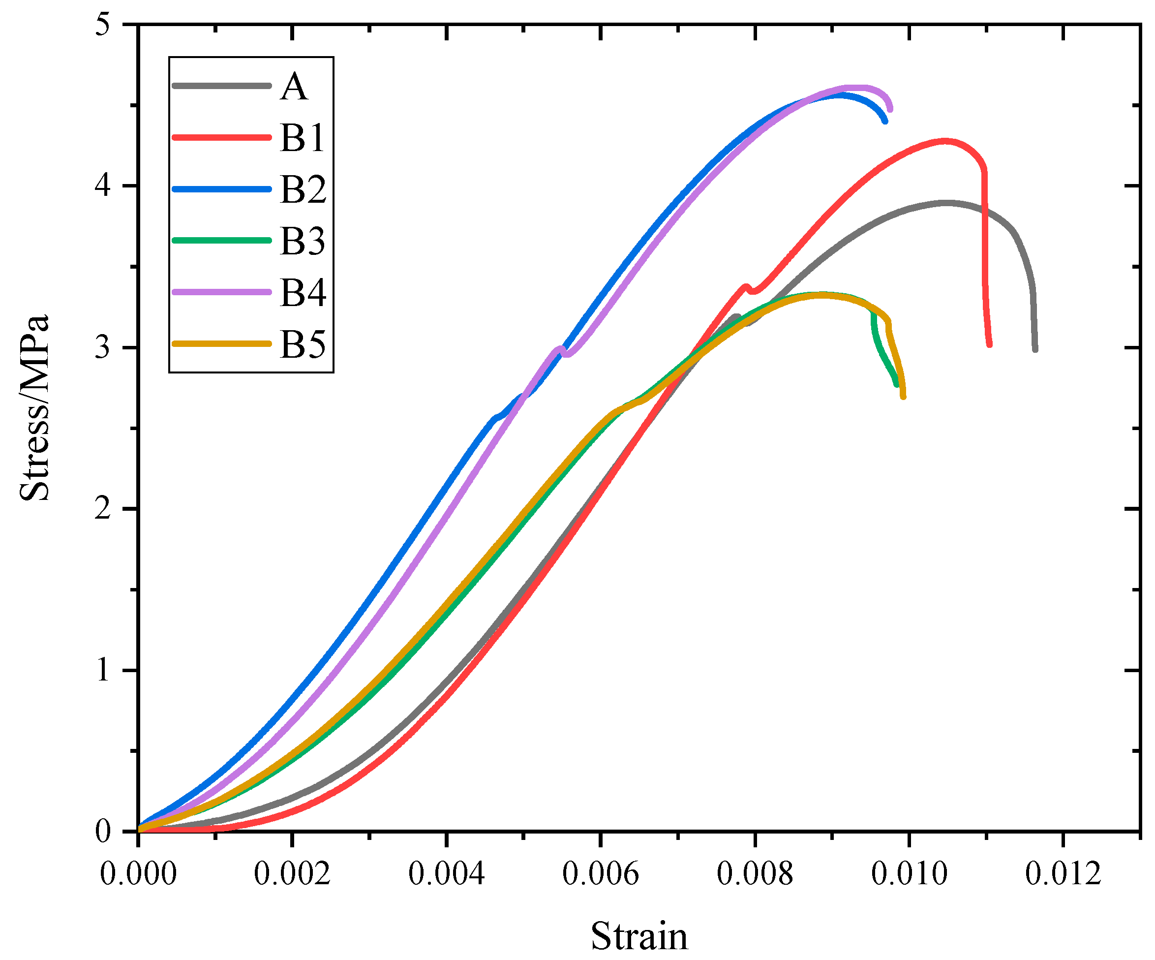
5.2.2. Stress–Strain Curves
- (1)
- Compaction stage (initial stage of stress rise). In this stage, the stress range is about 8–15% of the peak stress, and the curve shows a gentle upward convex trend. Compared with the physical experiment, the compaction stage of the numerical simulation is shorter. The essence lies in the different physical meanings of “defect compaction” in the numerical model: the compaction in the experiment comes from the closure of sand particle gaps and prefabricated fissures, while the compaction in the numerical simulation is the adjustment of initial loose contact between particles.
- (2)
- Elastic deformation stage (after compaction and before yield). After the compaction stage, the stress and strain show a strictly linear relationship.
- (3)
- Yield stage (close to peak stress). When the stress reaches 75–85% of the peak stress, the curve deviates from the linear relationship and enters the yield stage. In the numerical simulation, this stage corresponds to the massive initiation and fracture of the parallel bonds in the PB model. With the increase in load, the particle bonds around the tunnel and at the tip of the prefabricated fissure first reach the strength threshold and begin to degrade from the bonded state to the unbonded state. Macroscopically, this is manifested as a slowdown in the stress growth rate, which corresponds to the phenomenon of “accumulation of microcrack initiation” in the experiment.
- (4)
- Failure stage (after peak stress). After reaching the peak stress, the curve shows a steep downward trend. In the numerical simulation, this stage is the large-scale fracture of parallel bonds and the separation of particle blocks. A large number of parallel bonds are completely degraded to the unbonded state, and only the friction between particles maintains the residual bearing capacity. Macroscopically, this is manifested as the loss of the overall bearing capacity of the specimen, which is consistent with the failure characteristics of “crack penetration and block separation” in the experiment.
6. Discussion
6.1. Influence of Fissure Existence on Crack Initiation of Double-Tunnel Models
6.2. Influence of Different Fissure Inclinations on Crack Initiation of Double-Tunnel Models
7. Conclusions
- (1)
- Sand-based 3D printing technology can accurately fabricate rock-like double-tunnel models with prefabricated fissures. Its mechanical response is highly consistent with the brittle characteristics of real rock, and it can effectively reproduce the entire process of crack initiation, propagation, and penetration in double-tunnel engineering. Uniaxial compression tests show that cracks in double-tunnel models without prefabricated fissures are preferentially initiated at the lower part of the left tunnel and the upper part of the right tunnel, and then connect between the tunnels. The crack initiation position of models with fissures is controlled by the fissure inclination angle. This technology has been verified to be reliable in the fabrication of complex tunnel models, providing an efficient model preparation scheme for subsequent similar tests.
- (2)
- The inclination angle of prefabricated fissures has a significant regulatory effect on the strength and crack initiation law of double-tunnel models: the peak strength of the model is the highest when α = 30° and α = 60°, because the fissures have a deviation from the maximum shear stress plane, resulting in weak stress concentration at the fissure tip, and the crack propagation needs to overcome greater rock resistance. The strength is the lowest when α = 45° and α = 90°; the former leads to intensified shear stress concentration due to the coincidence of the fissure with the shear stress plane, and the latter induces fissure propagation due to lateral tensile stress, both of which accelerate crack penetration.
- (3)
- The parallel bond (PB) model based on the Discrete Element Method (PFC) can accurately reproduce the stress–strain characteristics and crack evolution law of double-tunnel models. Through the mesoscopic process of bond fracture, this model reveals the transfer law of tensile stress concentration areas with the fissure inclination angle—when the inclination angle increases from 0° to 45°, the tensile stress concentration shifts from the top and bottom of the double tunnels and the middle of the fissure to the two ends of the fissure, providing a mesoscopic explanation for the macroscopic crack initiation mechanism.
- (4)
- The research results can provide a scientific basis for disaster prevention and control of similar double-tunnel projects such as the Jinan Tunnel on Jinan Ring Expressway: for the fissure development problem in operating tunnels, it is recommended to prioritize strengthening the support (such as grouting reinforcement) for the fissure areas with an inclination angle of 45–90° to reduce the risk of tunnel collapse induced by such fissures; at the same time, the combined method of sand-based 3D printing and discrete element simulation can be used to predict the tunnel instability mode under different fissure conditions and optimize the engineering operation and maintenance scheme. Future research will extend the present work by explicitly considering tunnel ovalization mechanisms under non-uniform stress conditions and dynamic loading. Tunnel ovalization may induce asymmetric stress redistribution around the tunnel boundary, which is expected to significantly influence fissure initiation, propagation direction, and crack coalescence behavior. In addition, the coupled effects of tunnel ovalization, fissure configuration, and ice-filling conditions will be investigated through combined experimental and numerical approaches to better represent complex geological environments. Moreover, future research will consider the effects of seismic loading, tunnel ovalization mechanisms, and multi-field coupling conditions to further clarify fissure propagation behavior in tunnel structures.
Author Contributions
Funding
Data Availability Statement
Conflicts of Interest
Correction Statement
References
- Lv, B.; He, Z.-X.; Bao, X.-Y. Research on green design of major railway tunnel projects based on ‘‘environmental-social-technical’’ system. J. Clean. Prod. 2025, 517, 145579. [Google Scholar] [CrossRef]
- Zhou, T.-L.; Hu, B.-B.; He, T.; Li, S. Study on the anti-dislocation resilience of mountain tunnels crossing normal faults. Tunn. Undergr. Space Technol. Inc. Trenchless Technol. Res. 2025, 164, 106844. [Google Scholar] [CrossRef]
- Shao, Y.; Leem, J.; Kim, J.; Mehrishal, S.-A.; Yao, C.; Song, J.-J. Experimental insights into tunnel stability affected by offset distance from fully non-persistent structural planes with inclination using 3D-printed physical models. Tunn. Undergr. Space Technol. Inc. Trenchless Technol. Res. 2026, 168, 107237. [Google Scholar] [CrossRef]
- Dang, B.; Weng, X.-L.; Zhang, X.-Y.; Ye, F.; Li, X.-C. Failure mechanism and support pressure of tunnel face in Saturated sandy shield tunnel under variable seepage. Tunn. Undergr. Space Technol. Inc. Trenchless Technol. Res. 2026, 168, 107212. [Google Scholar] [CrossRef]
- Jiang, P.-W.; Zhang, Z.-H.; Huang, J.-K.; Zheng, H.; Wan, T. Three-Dimensional Stress-Free Assumption 3-DOF FE-LEM for Tunnel Face Stability. Comput. Geotech. 2026, 189, 107607. [Google Scholar] [CrossRef]
- Li, X.; Ying, P.; Yu, Y.; Zhu, Z.; Li, X.; Wang, F.; Gao, W.; Cui, L.; Nie, F. Investigating the propagation behavior of cracks outside tunnel under impact conditions. Structures 2025, 74, 108613. [Google Scholar] [CrossRef]
- Zhang, X.; Wang, H.; Fu, H.; Xu, Y. Experimental study on the cracking evolution mechanisms in composite lining of permeable ribbed double-arch tunnel influenced by voids behind tunnel lining. Eng. Fail. Anal. 2025, 182, 110040. [Google Scholar] [CrossRef]
- Gou, Y.; Huang, Q.; Liu, N.; Chen, D.; Peng, J. Influence of ground fissures on metro shield tunnels: Large-scale experiment and numerical analysis. J. Rock Mech. Geotech. Eng. 2025, 17, 1356–1377. [Google Scholar] [CrossRef]
- Min, B.; Zhang, X.; Zhang, C.; Su, H. Experimental and numerical study on the failure behavior of cracked double-arch tunnel linings. Eng. Fail. Anal. 2025, 181, 109954. [Google Scholar] [CrossRef]
- Wang, Y.; Rong, C.; Shi, H.; Li, Y.; Zhang, R. Experimental study on dynamic mechanical characteristics and failure features of surrounding rock in layered composite rock mass tunnels. Results Eng. 2025, 27, 107013. [Google Scholar] [CrossRef]
- Gao, J.; Wang, Q.; Ma, W.; Lu, J. Failure analysis and comparative study on tunnels under strike-slip fault and oblique-slip fault movements. Eng. Fail. Anal. 2024, 164, 108676. [Google Scholar] [CrossRef]
- Yu, S.; Li, Y.; Gao, Y.; Sun, G.; Liu, H. Investigating the crack propagation processes of grouted/ungrouted fissured tunnel specimens using 3D printing technology and SPH simulation method. Constr. Build. Mater. 2025, 500, 144213. [Google Scholar] [CrossRef]
- Wang, S.; Yu, S.; Hu, X.; Yang, B. Effects of folded fissure properties on tunnel model failure: Experiments and numerical simulations. Eng. Fract. Mech. 2024, 310, 110487. [Google Scholar] [CrossRef]
- Cheng, Z.; Zhang, Y.; Hu, T.; Li, Z.; Ma, G. Fractured rock analogs by binder jetting 3D printing using cement: Improvements in geometric similarity and mechanical performance. Addit. Manuf. 2025, 111, 104976. [Google Scholar] [CrossRef]
- Wang, X.; Jiang, L.; Li, Y.; Zhang, L.; Sainoki, A.; Mitri, H.S.; Yang, Y.; Peng, X. Experimental study on the mechanical behavior and failure characteristics of rock analogs with filled internal fractures: A new method by sand powder 3D printing. Constr. Build. Mater. 2024, 427, 136261. [Google Scholar] [CrossRef]
- Sun, Y.; Huang, W.; Gan, L.; Shen, Z.; Zhang, H.; Zhang, W. Insights into the X-shaped fissure propagation and interaction mechanisms of rock specimens: 3D printing experiments and DEM simulations. Case Stud. Constr. Mater. 2025, 22, e04742. [Google Scholar] [CrossRef]
- Zhang, K.; Zhang, K.; Ye, J.; Liu, X.; Fan, W. An improved sand 3D printing method for better reproduction of high-strength and high-brittleness rock mechanical properties is proposed. J. Mater. Res. Technol. 2023, 26, 5037–5054. [Google Scholar] [CrossRef]
- Chen, J.; Zhang, D.; Su, M.; Liu, X.; Mi, X. Analysis of tunnel water inrush accidents induced by stratum collapse models. Deep Resour. Eng. 2025, 2, 100186. [Google Scholar] [CrossRef]
- Yan, Y.; Huang, Q.; Xie, Y.; Qiu, J.; Han, Y.; Teng, H.; Liu, T. Failure analysis and deformation mechanism of segmented utility tunnels crossing ground fissure zones with different intersection angles. Eng. Fail. Anal. 2022, 139, 106456. [Google Scholar] [CrossRef]
- Wang, Y.; Xiong, Z.; Kou, L. Analysis of crack propagation in tunnel lining based on nonlinear dual-parameter bond-based peridynamics model. Structures 2025, 75, 108846. [Google Scholar] [CrossRef]
- Xu, H.; Zhang, Z.; Yan, J.; Jiang, Z.-P.; Zhao, L.-S.; Zhang, Y.-J. Study on mechanical properties and failure mechanism of hard rock with stiff discontinuities based on 3D printing. Eng. Fail. Anal. 2024, 161, 108225. [Google Scholar] [CrossRef]
- Liu, H.; Jing, H.; Xu, X.; Yin, Q.; Zhang, L. Study on mechanical and fracture characteristics of inclined weak-filled rough joint rock-like specimens. Theor. Appl. Fract. Mech. 2023, 125, 103660. [Google Scholar] [CrossRef]
- Hu, J.; Wen, G.; Lin, Q.; Cao, P.; Li, S. Mechanical properties and crack evolution of double-layer composite rock-like specimens with two parallel fissures under uniaxial compression. Theor. Appl. Fract. Mech. 2020, 108, 102610. [Google Scholar] [CrossRef]
- Zhang, C.; Li, X.; Pang, Y.; Xu, Y. Mechanical response and deformation mechanism of the utility tunnel crossing earth fissure. Structures 2024, 64, 106587. [Google Scholar] [CrossRef]
- Wang, Q.; Du, X.; Duan, J.; Li, N. Dynamic response of shield tunnels crossing ground fissures under near-field and far-field seismic excitations. Soil Dyn. Earthq. Eng. 2026, 200, 109867. [Google Scholar] [CrossRef]
- Wu, D.; Zhou, L.; Nie, F.; Dai, F.; Wang, M.; Liu, B. Experimental and numerical investigation on the failure behavior of far-field-crack-tunnel rock mass under dynamic loads. Tunn. Undergr. Space Technol. 2025, 156, 106225. [Google Scholar] [CrossRef]
- Lin, Z.; Feng, W.; Jin, K.; Chen, X.; Yang, H.; Hu, Y. Evolution of cracking damage and load-bearing performance of in-service tunnel linings with cracks. Theor. Appl. Fract. Mech. 2025, 138, 104897. [Google Scholar] [CrossRef]
- Du, M.; Su, J.; Wang, X.; Zhang, S.; Zhang, Y. Dynamic response and crack propagation law of tunnel invert with initial damage. Eng. Fail. Anal. 2021, 119, 104939. [Google Scholar] [CrossRef]
- Du, M.; Liu, X.; Wang, Y.; Huang, H.; Zhu, Z.; Zhang, Y.; Wang, X. Crack propagation mechanism of inverted arches in large cross-section tunnels. Eng. Fail. Anal. 2023, 152, 107514. [Google Scholar] [CrossRef]
- Yang, W.; Zhang, Y.; Zhou, Y.; Xu, Z.; Yao, C.; Yan, Q. Crack evolution and structural response of damaged shield tunnel segments under sustained train-induced loads. Tunn. Undergr. Space Technol. 2026, 169, 107268. [Google Scholar] [CrossRef]
- Wang, G.; Fang, Q.; Du, J.; Wang, J. Semi-analytical solution for internal forces of tunnel lining with multiple longitudinal cracks. J. Rock Mech. Geotech. Eng. 2023, 15, 2013–2024. [Google Scholar] [CrossRef]
- Yu, S.; Wang, J.; Gao, Y.; Sun, W.; Lu, J.; Liu, R.; Shi, Y. Effects of fissure properties on the tunnel damage evolutions: Insights from DIC-based 3D printing experiments and meshless numerical simulations. Tunn. Undergr. Space Technol. Inc. Trenchless Technol. Res. 2024, 149, 105817. [Google Scholar] [CrossRef]
- Xia, C.; Shi, Z.; Zheng, H.; Wu, X. Kernel broken smooth particle hydrodynamics method for crack propagation simulation applied in layered rock cells and tunnels. Undergr. Space 2023, 10, 55–75. [Google Scholar] [CrossRef]
- Zhang, W.; He, Y.; Yu, S.; Li, M.; Shi, D.; Zhang, H. Effects of fissure inclination and spacing on crack evolution and mechanical behavior of 3D-printed horseshoe tunnel models: Experiments and SPH simulations. Theor. Appl. Fract. Mech. 2025, 140, 105196. [Google Scholar] [CrossRef]
- Hu, X.; Huang, S.; Yu, S.; Li, Y.; Wang, X. Study on the interaction mechanisms between the fissure arrays and circular tunnels by physical experiment and meshless numerical method. Theor. Appl. Fract. Mech. 2025, 138, 104935. [Google Scholar] [CrossRef]
- Ma, E.; Lai, J.; Xu, S.; Shi, X.; Zhang, J.; Zhong, Y. Failure analysis and treatments of a loess tunnel being constructed in ground fissure area. Eng. Fail. Anal. 2022, 134, 106034. [Google Scholar] [CrossRef]
- Hu, X.; Yu, S.; Li, Y.; Liu, R.; Yu, J. Research on the influencing mechanisms of ice-filled fissures on the failure processes of tunnel specimens. Theor. Appl. Fract. Mech. 2025, 139, 105141. [Google Scholar] [CrossRef]
- Su, X.; Lai, J.; Ma, E.; Xu, J.; Qiu, J.; Wang, W. Failure mechanism analysis and treatment of tunnels built in karst fissure strata: A case study. Eng. Fail. Anal. 2025, 167, 109048. [Google Scholar] [CrossRef]
- Li, Z.; Lai, J.; Wang, M.; Qiu, J.; Zan, W. Collapse mechanism and treatments of a deep tunnel in the weathered granite fault zone. Tunn. Undergr. Space Technol. 2024, 152, 105891. [Google Scholar] [CrossRef]
- Tian, J.-J.; Li, T.-T.; Pei, X.-J.; Guo, J.; Wang, S.-D.; Sun, H.; Yang, P.-Z.; Huang, R.-Q. Experimental Study on Multistage Seismic Damage Process of Bedding Rock Slope: A Case Study of the Xinmo Landslide. J. Earth Sci. 2024, 35, 1594–1612. [Google Scholar] [CrossRef]
- Ma, L.; Qi, S.; Guo, S.; Huang, Q.; Hou, X. Investigation on the Deformation and Failure Patterns of Loess Cut Slope Based on the Unsaturated Triaxial Test in Yan’an, China. J. Earth Sci. 2024, 35, 235–247. [Google Scholar] [CrossRef]
- Yu, S.; Huang, S.; Li, Y.; Liang, Z. Insights into the frost cracking mechanisms of concrete by using the coupled thermo-hydro-mechanical-damage meshless method. Theor. Appl. Fract. Mech. 2025, 136, 104814. [Google Scholar] [CrossRef]
- Zheng, L.; Tang, H.; Wang, L.; Li, C.; Xiong, C.; Zou, Z.; Wang, C.; Zhu, L.; Zhang, Y. Long-Term in situ Monitoring of Anchoring System and Preliminary Analysis of Monitoring Data. J. Earth Sci. 2026, 24, 1–12. [Google Scholar] [CrossRef]
- Yu, S.; Ren, X.; Zhang, J. Modeling the rock frost cracking processes using an improved ice—Stress—Damage coupling method. Theor. Appl. Fract. Mech. 2024, 131, 104421. [Google Scholar] [CrossRef]
- Deng, C.; Li, Y.; Xiong, F.; Liu, H.; Li, X.; Zeng, Y. Detection of Rupture Damage Degree in Laminated Rubber Bearings Using a Piezoelectric-Based Active Sensing Method and Hybrid Machine Learning Algorithms. Struct. Control. Health Monit. 2025, 2025, 6694610. [Google Scholar] [CrossRef]
- Li, Y.; Han, T.; Zhao, M.; Han, J.; Zhao, R.; Xu, Z.; Cao, W.; Ma, M.; Zhang, C.; Luo, J. Modulating interfacial shear of nanoconfined hydration layer via surface charging. Nano Energy 2026, 148, 111692. [Google Scholar] [CrossRef]
- Zhang, J.; Chen, W.; Zhang, J. UAV-based quantitative crack measurement for bridges integrating four-point laser metric calibration and mamba segmentation. Autom. Constr. 2026, 182, 106774. [Google Scholar] [CrossRef]












| Schemes | Details | Schemes | Details |
|---|---|---|---|
| A | -- | B3 | α = 45° |
| B1 | α = 0° | B4 | α = 60° |
| B2 | α = 30° | B5 | α = 90° |
| PBM Parameters | Value | Particle Parameters | Value |
|---|---|---|---|
| Emod (pa) | 1.3 × 107 | Density (kg/m3) | 2600 |
| Pb_emod (pa) | 1.3 × 107 | Rmin (m) | 0.45 × 10−3 |
| Pb_ten (pa) | 1.1 × 105 | Rmax (m) | 0.7 × 10−3 |
| Pb_coh (pa) | 1.3 × 105 | Fric | 0.577 |
| Pb_fa (°) | 55 | Porosity | 0.12 |
Disclaimer/Publisher’s Note: The statements, opinions and data contained in all publications are solely those of the individual author(s) and contributor(s) and not of MDPI and/or the editor(s). MDPI and/or the editor(s) disclaim responsibility for any injury to people or property resulting from any ideas, methods, instructions or products referred to in the content. |
© 2026 by the authors. Licensee MDPI, Basel, Switzerland. This article is an open access article distributed under the terms and conditions of the Creative Commons Attribution (CC BY) license.
Share and Cite
Li, H.; Yu, H.; Xing, L.; Deng, X.; Xiao, X.; Wang, J.; Sun, L.; Wang, B.; Ma, L.; Qian, W. 3D Printing Experimental Investigation and DEM Simulation on the Failure Processes of Double Tunnels Containing Fissures. Appl. Sci. 2026, 16, 2097. https://doi.org/10.3390/app16042097
Li H, Yu H, Xing L, Deng X, Xiao X, Wang J, Sun L, Wang B, Ma L, Qian W. 3D Printing Experimental Investigation and DEM Simulation on the Failure Processes of Double Tunnels Containing Fissures. Applied Sciences. 2026; 16(4):2097. https://doi.org/10.3390/app16042097
Chicago/Turabian StyleLi, Huaijian, Hao Yu, Lanjing Xing, Xiangyu Deng, Xuewen Xiao, Junyang Wang, Linyun Sun, Baoming Wang, Liang Ma, and Wangping Qian. 2026. "3D Printing Experimental Investigation and DEM Simulation on the Failure Processes of Double Tunnels Containing Fissures" Applied Sciences 16, no. 4: 2097. https://doi.org/10.3390/app16042097
APA StyleLi, H., Yu, H., Xing, L., Deng, X., Xiao, X., Wang, J., Sun, L., Wang, B., Ma, L., & Qian, W. (2026). 3D Printing Experimental Investigation and DEM Simulation on the Failure Processes of Double Tunnels Containing Fissures. Applied Sciences, 16(4), 2097. https://doi.org/10.3390/app16042097

