Small-Strain Dynamic Behaviours of Reconstituted Soft Clay Under Different Initial Water Contents
Abstract
1. Introduction
2. Materials and Methods
2.1. Test Materials
2.2. Specimen Preparation
- The undisturbed soil was oven-dried at 105 °C for at least 24 h until a constant mass was achieved. The dried soil was then gently crushed in a mortar and sieved through a 0.5 mm standard sieve to remove fibrous and other coarse impurities, yielding a clean, dry soil.
- A predetermined mass of dry soil was placed in a mechanical mixer. The required volume of distilled water, calculated according to the target initial water content, was then added, and the slurry was mixed thoroughly until a homogeneous suspension was obtained.
- The prepared slurry was poured into the consolidation ring in several layers. After placement of each layer, a small vibration device was used to remove entrapped air and to promote uniform distribution of the slurry.
- Vertical loading was applied in stages to preconsolidate the slurry, with the final preconsolidation pressure brought to 100 kPa so that the specimens reached a preliminarily stable state.
- After unloading, the consolidated soil blocks were immediately wrapped with multiple layers of plastic film under vacuum and stored in a sealed container at constant temperature and humidity for subsequent specimen preparation.
2.3. Test Apparatus
2.4. Test Procedures
3. Test Results
3.1. Dynamic Shear Modulus
3.2. Maximum Dynamic Shear Modulus ()
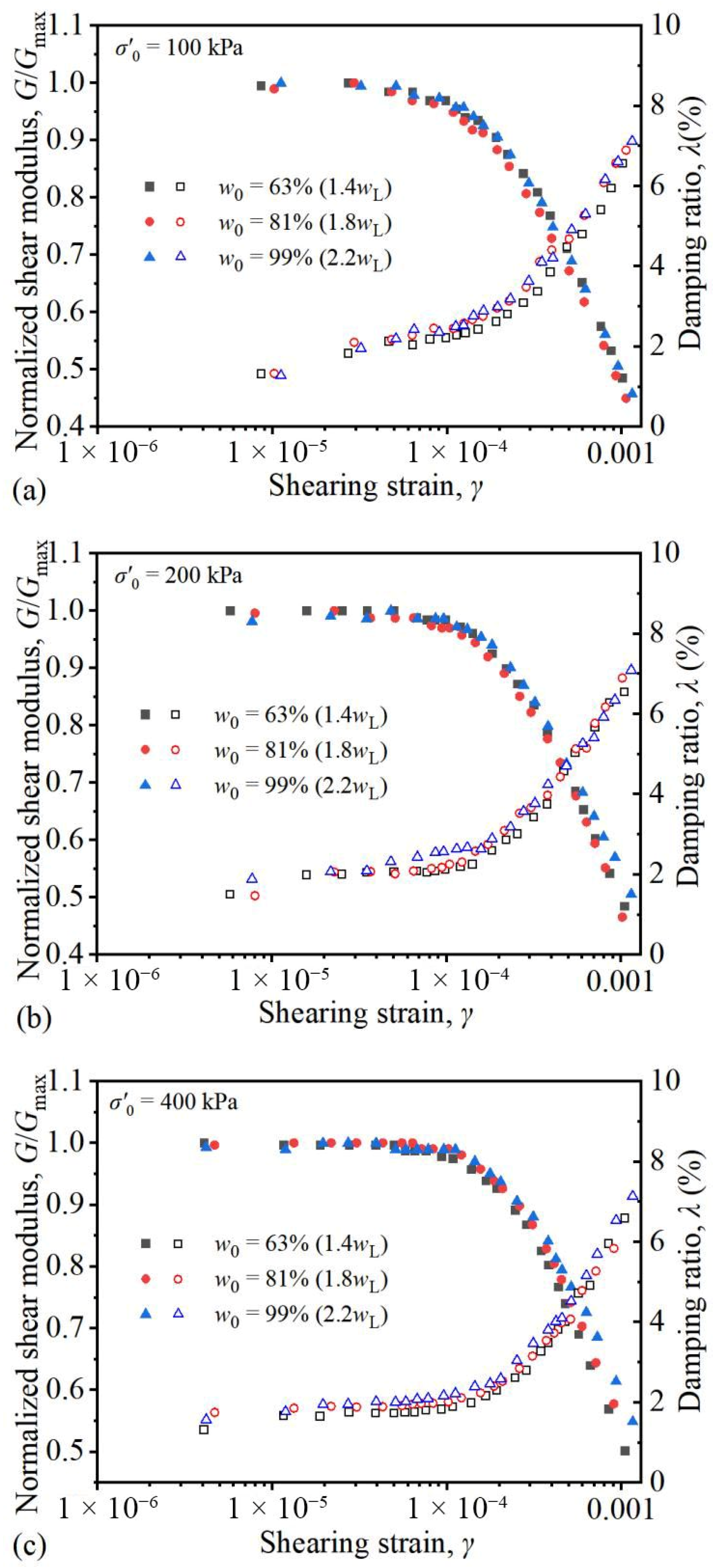
3.3. Normalised Shear Modulus Reduction and Damping Ratio Characteristics
4. Conclusions
- (1)
- Within the strain range investigated in the resonant column tests (10−6 < < 10−3), the of reconstituted clay with different values exhibits pronounced nonlinear stiffness degradation with increasing , whereas the increases monotonically with . Compared with , the sensitivity of to variations in and the confining pressure is significantly lower.
- (2)
- The of reconstituted clay is significantly influenced by and exhibits a monotonically increasing trend with the decrease of or the increase of , with the enhancing effect on being more pronounced at low conditions. For specimens with different values, exhibits a monotonically increasing trend with decreasing . After normalisation by confining pressure, the data of and under different converge to a single characteristic curve, which can be described by a unique negative power function.
- (3)
- The variation in and did not alter the intrinsic evolution trend of the remodelled clay curve and curve. Curves from all test conditions converged within a narrow region, demonstrating favourable unified behaviour. Based on the test results, a predictive model for small-strain dynamic shear modulus considering the influence of was established, providing a basis for calculating dynamic parameters in relevant engineering applications.
Author Contributions
Funding
Institutional Review Board Statement
Informed Consent Statement
Data Availability Statement
Conflicts of Interest
Appendix A
| Initial Water Content Level | Number of Repetitions | Results of (MPa) | Mean | SD | COV(%) |
|---|---|---|---|---|---|
| 1.4 wL | 3 | 35.65, 35.45, 35.55 | 35.55 | 0.10 | 0.28 |
| 1.8 wL | 3 | 32.21, 32.55, 31.84 | 32.20 | 0.36 | 1.10 |
| 2.2 wL | 3 | 30.63, 30.21, 30.24 | 30.36 | 0.23 | 0.77 |
References
- Deng, D.S. Comparison of remolded shear strength with intrinsic strength line for dredged deposits. China Ocean. Eng. 2007, 21, 363–369. [Google Scholar]
- Cargill, K.W. Prediction of consolidation of very soft soil. J. Geotech. Eng. 1984, 110, 775–795. [Google Scholar] [CrossRef]
- Yan, S.-W.; Chu, J. Soil improvement for a storage yard using the combined vacuum and fill preloading method. Can. Geotech. J. 2005, 42, 1094–1104. [Google Scholar] [CrossRef]
- Xu, G.; Gao, Y.; Yin, J.; Yang, R.; Ni, J. Compression behavior of dredged slurries at high water contents. Mar. Georesour. Geotechnol. 2014, 33, 99–108. [Google Scholar] [CrossRef]
- Bian, X.; Hong, Z.S.; Zeng, L.L. Experimental study on the influence of initial water content on pore pressure characteristics of reconstituted clay. J. Southeast Univ. (Nat. Sci. Ed.) 2012, 42, 749–754. [Google Scholar]
- Hong, Z.S.; Bian, X.; Cui, Y.J.; Gao, Y.F.; Zeng, L.L. Effect of initial water content on undrained shear behaviour of reconstituted clays. Geotechnique 2013, 63, 441–450. [Google Scholar] [CrossRef]
- Hong, Z.S.; Zeng, L.L.; Cui, Y.J.; Cai, Y.Q.; Lin, C. Compression behaviour of natural and reconstituted clays. Geotechnique 2012, 62, 291–301. [Google Scholar] [CrossRef]
- Zeng, L.L.; Hong, Z.S.; Cui, Y.J. On the volumetric strain–time curve patterns of dredged clays during primary consolidation. Geotechnique 2015, 65, 1023–1028. [Google Scholar] [CrossRef]
- Song, M.-M.; Ding, J.-W.; Xiao, Q.; Yin, J.; Xu, G.-Z. Primary and secondary compression behavior of dredged clay at low effective stresses. Mar. Georesour. Geotechnol. 2023, 41, 123–131. [Google Scholar] [CrossRef]
- Chen, G.X.; Zhou, Z.L.; Pan, H.; Sun, T.; Li, X.J. The influence of undrained cyclic loading patterns and consolidation states on the deformation features of saturated fine sand over a wide strain range. Eng. Geol. 2016, 204, 77–93. [Google Scholar] [CrossRef]
- Santos, R.A.; Vulpe, C.; Fourie, A.; Jefferies, M.; Silva, J.P.S.; Casagrande, M.D.T. Shear wave velocity and small-strain stiffness across a broad range of states in iron ore tailings. Can. Geotech. J. 2025, 62, 1–8. [Google Scholar] [CrossRef]
- Chu, F.; Li, Y.S.; Liang, F.Y.; Li, Y.D. Numerical analysis of deformation behaviour of an ultra-deep excavation adjacent to a metro hub under small-strain conditions. Chin. J. Rock Mech. Eng. 2010, 29, 3184–3192. [Google Scholar]
- Gu, X.Q.; Wu, R.T.; Liang, F.Y.; Gao, G.Y. Method for determining the complete parameter set of a small-strain hardening model for Shanghai soils and its engineering verification. Rock Soil Mech. 2021, 42, 833–845. [Google Scholar]
- ASTM D2487-17e1; Standard Practice for Classification of Soils for Engineering Purposes (Unified Soil Classification System). ASTM: West Conshohocken, PA, USA, 2017.
- Hu, X.-Q.; Dong, Q.-Y.; Lu, C.-W.; Wang, J.; Zhuang, X.S. Resonant column tests on dynamic properties of soft ground improved by cement–soil mixing piles. Rock Soil Mech. 2016, 37, 343–348. [Google Scholar]
- Xiao, X.; Ji, D.W.; Hang, T.Z.; Cai, Z.Y.; Zhang, L.; Wu, Q.; Chen, G.X. Cyclic threshold shear strain for pore water pressure generation and stiffness degradation in marine clays at Yangtze estuary. Front. Mar. Sci. 2023, 10, 1184225. [Google Scholar] [CrossRef]
- Kishida, T.; Tsai, C.C. Wave velocities depending on shear strain, directionality, and excess pore water pressure from wildlife liquefaction array. Bull. Earthq. Eng. 2021, 19, 2371–2388. [Google Scholar] [CrossRef]
- Ichii, K.; Mikami, T. Cyclic threshold shear strain in pore water pressure generation in clay in situ samples. Soils Found. 2018, 58, 756–765. [Google Scholar] [CrossRef]
- GB/T 50123–2019; Standard for Soil Test Methods. China Planning Press: Beijing, China, 2019; pp. 158–165.
- Li, J.J.; Kong, L.W.; Jin, L. Stress history and time effect on shear modulus of expansive soils. Arab. J. Geosci. 2022, 15, 35. [Google Scholar] [CrossRef]
- Wei, X.; Zhang, T.; Yang, Z.X.; Yang, J. The effects of particle size and surface roughness on the small-strain shear modulus of sands. Géotechnique 2025, 75, 1594–1607. [Google Scholar] [CrossRef]
- Zeng, L.L.; Cai, Y.Q.; Cui, Y.J.; Hong, Z.S. Hydraulic conductivity of reconstituted clays based on intrinsic compression. Geotechnique 2020, 70, 268–275. [Google Scholar] [CrossRef]
- Delage, P.; Lefebvre, G. Study of the structure of a sensitive Champlain clay and of its evolution during consolidation. Can. Geotech. J. 1984, 21, 21–35. [Google Scholar] [CrossRef]
- Leroueil, S.; Vaughan, P.R. The general and congruent effects of structure in natural soils and weak rocks. Géotechnique 1990, 40, 467–488. [Google Scholar] [CrossRef]
- Viggiani, G.; Atkinson, J.H. Stiffness of fine-grained soil at very small strains. Géotechnique 1995, 45, 249–265. [Google Scholar] [CrossRef]
- Hardin, B.O.; Drnevich, V.P. Shear modulus and damping in soils: Measurement and parameter effects. J. Soil Mech. Found. Div. ASCE 1972, 98, 603–624. [Google Scholar] [CrossRef]
- Martin, P.P.; Seed, H.B. One-dimensional dynamic ground response analyses. J. Geotech. Eng. Div. ASCE 1982, 108, 935–952. [Google Scholar] [CrossRef]
- Chen, G.; Zhou, Z.; Sun, T.; Wu, Q.; Xu, L.; Khoshnevisan, S.; Ling, D. Shear modulus and damping ratio of sand–gravel mixtures over a wide strain range. J. Earthq. Eng. 2019, 23, 1407–1440. [Google Scholar] [CrossRef]
- Yan, Z.; Kai, Z.; Yanjv, P.; Guoxing, C. Dynamic shear modulus and damping ratio characteristics of undisturbed marine soils in the Bohai Sea, China. Earthq. Eng. Eng. Vib. 2022, 21, 297–312. [Google Scholar] [CrossRef]
- Qin, Y.; Ma, W.; Xu, Z.; Chen, G.; Zhao, K.; Wu, Q. Effects of consolidation conditions on the dynamic shear modulus of saturated coral sand over a wide strain range. Eng. Geol. 2023, 324, 107260. [Google Scholar] [CrossRef]
- Xie, D.Y.; Yao, Y.P.; Dang, F.N. Soil Dynamics; Higher Education Press: Beijing, China, 2011; pp. 102–114. [Google Scholar]
- Chen, G.X.; Liu, X.Z.; Zhu, D.H.; Hu, Q. Experimental study on dynamic shear modulus ratio and damping ratio of recentlydeposited soils in Nanjing. Chinese J. Geotech. Eng. 2006, 28, 1023–1027. [Google Scholar]

















| Index Properties | Value |
|---|---|
| Specific gravity, (−) | 2.69 |
| Water content, (%) | 64.75–70.51 |
| Liquid limit, (%) | 44.50 |
| Plasticity index, (−) | 19.20 |
| Clay fraction (%) | 38.32 |
| Silt fraction (%) | 48.29 |
| No. of Tests | Effective Confining Pressure, (kPa) | Initial Water Content, (%) | Ratio of Initial Water Content to Liquid Limit () |
|---|---|---|---|
| N1 | 100 | 63 | 1.4 |
| N2 | 200 | 63 | |
| N3 | 400 | 63 | |
| N4 | 100 | 81 | |
| N5 | 200 | 81 | 1.8 |
| N6 | 400 | 81 | |
| N7 | 100 | 99 | |
| N8 | 200 | 99 | 2.2 |
| N9 | 400 | 99 |
| No. of Tests | Maximum Dynamic Shear Modulus, (MPa) | Void Ratio, |
|---|---|---|
| N1 | 35.55 | 0.80 |
| N2 | 58.18 | 0.74 |
| N3 | 95.10 | 0.67 |
| N4 | 32.20 | 0.86 |
| N5 | 49.37 | 0.79 |
| N6 | 85.69 | 0.71 |
| N7 | 30.36 | 0.93 |
| N8 | 43.26 | 0.83 |
| N9 | 77.03 | 0.74 |
| No. of Tests | (%) | ||
|---|---|---|---|
| N1 | 4.552 | 0.419 | 0.01182 |
| N2 | 4.578 | 0.463 | 0.01417 |
| N3 | 4.531 | 0.456 | 0.01485 |
| N4 | 4.441 | 0.415 | 0.01083 |
| N5 | 4.399 | 0.446 | 0.01351 |
| N6 | 4.405 | 0.460 | 0.01632 |
| N7 | 4.297 | 0.432 | 0.01328 |
| N8 | 4.201 | 0.483 | 0.01710 |
| N9 | 4.360 | 0.424 | 0.01771 |
Disclaimer/Publisher’s Note: The statements, opinions and data contained in all publications are solely those of the individual author(s) and contributor(s) and not of MDPI and/or the editor(s). MDPI and/or the editor(s) disclaim responsibility for any injury to people or property resulting from any ideas, methods, instructions or products referred to in the content. |
© 2026 by the authors. Licensee MDPI, Basel, Switzerland. This article is an open access article distributed under the terms and conditions of the Creative Commons Attribution (CC BY) license.
Share and Cite
Wang, X.; Sun, M.; Zhu, X.; Liu, H.; Jin, H.; Shi, L. Small-Strain Dynamic Behaviours of Reconstituted Soft Clay Under Different Initial Water Contents. Appl. Sci. 2026, 16, 1935. https://doi.org/10.3390/app16041935
Wang X, Sun M, Zhu X, Liu H, Jin H, Shi L. Small-Strain Dynamic Behaviours of Reconstituted Soft Clay Under Different Initial Water Contents. Applied Sciences. 2026; 16(4):1935. https://doi.org/10.3390/app16041935
Chicago/Turabian StyleWang, Xinde, Miaojun Sun, Xitao Zhu, Hongwei Liu, Hongxu Jin, and Li Shi. 2026. "Small-Strain Dynamic Behaviours of Reconstituted Soft Clay Under Different Initial Water Contents" Applied Sciences 16, no. 4: 1935. https://doi.org/10.3390/app16041935
APA StyleWang, X., Sun, M., Zhu, X., Liu, H., Jin, H., & Shi, L. (2026). Small-Strain Dynamic Behaviours of Reconstituted Soft Clay Under Different Initial Water Contents. Applied Sciences, 16(4), 1935. https://doi.org/10.3390/app16041935

