Next Article in Journal
Learning Symmetries in Datasets
Previous Article in Journal
A Systematic Review of Fall Detection and Prediction Technologies for Older Adults: An Analysis of Sensor Modalities and Computational Models
Previous Article in Special Issue
Spatiotemporal Evolution Characteristics and Influencing Factors of Urban Flood Resilience: The Case of Yangtze River Delta, East China
 
 
Font Type:
Arial Georgia Verdana
Font Size:
Aa Aa Aa
Line Spacing:
Column Width:
Background:
Article

Assessing Ecological Inequality in Urban Green Space Distribution Along Road Networks in Riyadh City

1
Department of Civil Engineering, College of Engineering, King Khalid University, Abha 61411, Saudi Arabia
2
Center for Engineering and Technology Innovations, King Khalid University, Abha 61421, Saudi Arabia
3
Civil Engineering Department, College of Engineering, Imam Mohammad Ibn Saud Islamic University (IMSIU), Riyadh 11564, Saudi Arabia
*
Author to whom correspondence should be addressed.
Appl. Sci. 2026, 16(4), 1926; https://doi.org/10.3390/app16041926
Submission received: 8 January 2026 / Revised: 6 February 2026 / Accepted: 10 February 2026 / Published: 14 February 2026

Abstract

Urban green spaces (UGSs) are vital ecological infrastructure supporting climate resilience, public health, and environmental equity. Despite UGS’s importance, the distribution of UGS in rapidly growing desert cities is wildly disproportionate, as evidenced by a recent study that links UGS availability with road hierarchy using the Road Buffer Framework. Using Landsat 8-derived UGS (overall accuracy = 0.885; Kappa = 0.853), OpenStreetMap Roads, and WorldPop Population Data, this study found that UGS availability per capita is very low across all road classifications (0.020–0.033 m2/person) and falls significantly short of the World Health Organization’s (WHO) recommendation of 9 m2/person. Primary roads only marginally improved based on distance from roadways (0.026–0.032 m2/person), and secondary roads are experiencing little to no change (0.025–0.026 m2/person). Further, Tertiary roads show the most significant loss, with only 0.022 m2/person available within the 0–300 m buffers containing the most people. In addition, urban green spaces are still significantly inequitable, as demonstrated by Gini coefficient results of >0.80, peaking at 0.895, indicating that UGS availability per capita is substantially below international benchmarks. Therefore, the findings highlight the need of incorporating roadside greening, small park areas, and greenways into our transportation planning efforts to support the UN’s Sustainable Development Goals (SDG) 3, 10, 11, and 13.

1. Introduction

The importance of urban green spaces (UGSs) as an ecological infrastructure for sustainable urbanization is becoming increasingly acknowledged. UGSs provide ecosystem services like social welfare and improved public health [1,2,3]. Rapid urbanization and road-based development have produced steep slopes in the spatial distribution and supply of these spaces on a global scale, increasing the vulnerability of vulnerable populations to pollution, ecological deprivation, and heat stress [4]. Given its direct impact on urban justice and quality of life, the unequal distribution of green infrastructure has emerged as a pressing socio-environmental and political concern [5,6,7,8]. International agreements to the Sustainable Development Goals (SDGs) of the UN, specifically SDG 3 (good health and well-being), SDG 10 (reduced inequality), SDG 11 (sustainable cities and communities), and SDG 13 (climate action), are violated by restricted access to UGSs. Road and built-up network expansion exacerbates environmental disparities and hinders the equitable distribution of urban green spaces, according to current literature from North America and Europe to the rapidly growing Asian and African conurbations.
These problems are made worse in South Asia and the Global South by the combination of rapid population growth, inadequate urban planning, disjointed socio-political structures, and scarce natural resources [9]. Unchecked sprawl, declining per capita green space, and inadequate integration of green infrastructure into transit corridors are problems in Delhi, Dhaka, Karachi, and Kathmandu. Ecological inequality is exacerbated by poor governance, water stress, and rising urban poverty, which leads to situations where marginalized groups typically live in congested, poorly maintained road corridors with little green space [10]. Research conducted in the area shows that environmental injustice, health pressures, and social exclusion are getting worse, and per capita UGS is significantly below WHO standards, i.e., 9 m2 per capita [11,12]. Despite growing recognition of the importance of ecological equity, research and planning in South Asia and other third-world regions are fragmented and frequently overlook the direct interactions between population density and transportation infrastructure and the distribution of green space [13,14,15].
In light of this, Riyadh, the rapidly growing desert city of Saudi Arabia, provides an important case study. The city’s urban growth, driven by road-based development, rapid metropolitan expansion, and an extreme climate, has led to a notable disparity in the amount of green space available per capita [16,17,18]. Despite supporting millions of people, the surrounding road buffer is ecologically stressed and offers almost no green cover because primary, secondary, and tertiary road concentrations house the majority of population agglomerations [19]. Urban modernity and transportation connectivity are emphasized in Riyadh’s planning reports, but the incorporation of green infrastructure into mobility corridors is not given enough attention. The extent of vegetation in the city has been mapped by studies, but none have examined the ways in which road hierarchies, population clustering, and the distribution of green spaces interact to produce ecological injustices [20]. This is a major knowledge gap, especially when considering a dry city setting with limited ecological provisioning. Riyadh is subject to a number of significant constraints preventing its residents from benefiting from urban green space compared to their counterparts in temperate or humid cities; not only do planning priorities dictate urban green space placement in Riyadh, but factors related to severe hydro-climatic conditions exacerbate these constraints [21,22]. Specifically, extremely high summer temperatures, extreme evapotranspiration rates, and very low levels of annual rainfall place extreme demands on water and energy to create and sustain vegetation in Riyadh [23]. Therefore, urban vegetation in Riyadh will rely almost entirely on desalinated freshwater for its creation and maintenance. In addition, the oil-driven economy of Riyadh has spurred automobile-centered urban expansion practices, causing the development of very wide roads, low-density sprawl, and a focus on “road-led” urbanism [24], resulting in a focus on mobility and infrastructure rather than on ecological provision. This condition has resulted in fragmented, unevenly distributed green space across the city of Riyadh, particularly along transportation corridors, which are the sites of the highest exposure of residents to pollution and other environmental impacts. Although these conditions are unique to Riyadh, the vast majority of existing studies of urban green space have employed generalized quantitative metrics developed in European and Asian contexts, not taking into account that the transportation corridors serve as major focal points for concentrated ecological stress, thereby causing a failure of many existing urban green space studies to fully capture the structural determinants of ecological disparity in cities like Riyadh, which are characterized by arid environments, automobile-centered development, and road-dominant urban forms [25,26]. As a result, there is a need to develop context-relevant, hierarchically structured evaluation frameworks for assessing the impacts of urbanization on ecological disparities in cities like Riyadh.
Urban green space distribution has been evaluated using a variety of methodological approaches, including population-weighted measures, network-based proximity models, accessibility analysis with Euclidean buffers, and simple green space ratios [14,27,28]. Nevertheless, they frequently overlook population pressures and spatial inequality simultaneously. While Euclidean buffers do not capture real-world connectivity, ratio-based measures do not take accessibility variances into consideration [29]. Similarly, city-level measures obscure intra-urban disparities, and unweighted spatial analysis disregards the significance of population concentration [30,31]. In order to evaluate ecological inequality in a road-dominated urban environment, three different indicator methods are utilized to provide a holistic view of the issue. One indicator is the total amount of green space available to every person living at different distances from the combined road hierarchies. Another indicator is the Lorenz curve analysis, which highlights any imbalances in the pattern of population concentration vs. the distribution of available green resources to urban dwellers. The Gini coefficient gives a single-value summary of the level of access to green resources to urban dwellers. By using these three measures together, it will be possible to evaluate more thoroughly than just a coverage estimate; it will allow for an overall assessment of how fairly and evenly green space is distributed among urban residents living in a road-centric community. The goal of this study is to determine how green spaces are distributed spatially throughout Riyadh. How easily are these green areas accessible from the various road network hierarchies? How much green space is available per person in a city? In terms of statistical measures of equity, how unequal is the distribution of green space?

2. Materials and Methods

2.1. Study Area

At an elevation of about 600 m above sea level, Riyadh, the capital city of Saudi Arabia, lies near the center of the Arabian Peninsula between 24°30′ and 25°00′ N latitude and 46°00′ and 47°00′ E longitude. The urban form and infrastructure of the city have been influenced by its continental desert climate with hot summers, cold winters, and limited rainfall. It lies on the gently rolling desert topography. The core is the area that has been developed most over time, with areas such as Al-Olaya, Al-Malaz, Al-Murabba, and Al-Batha serving as commercial and administrative hubs. Development would later expand to the northern, eastern, and southern residential areas, such as Al-Nafal, Al-Rimal, and Al-Faisaliah. However, wadi-cut land and heritage landscapes in the western part of the city, which extends to Diriyah, constrain major development. Aided by a large web of primary, secondary, and tertiary roads, the spatial form of the city combines dense development at the center and more dispersed patterns towards the outskirts. The maps show how topography, climate, and planning all played roles in Riyadh’s development. It is most densely populated in the center and decreases gradually outward (Figure 1B), while scattered and thin green spaces (Figure 1C) are needed for ecological stability, city cooling, and recreation.

2.2. Data Sources

The accessibility and spatial distribution of green spaces in Riyadh were analyzed by the study through an integration of demographic, cartographic, and remote sensing data. Green space mapping was primarily done using imagery from the Thermal Infrared Sensor (NASA Goddard Space Flight Center in Greenbelt, MD, USA) and the Landsat 8 Operational Land Imager (Ball Aerospace & Technologies Corporation, Boulder, CO, USA). In order to perform a Support Vector Machine (SVM) supervised classification and create a binary map that differentiates between green and non-green areas, these satellite images were preprocessed, and training samples were gathered. A shapefile for Riyadh administrative boundaries was employed to delineate the study area to ensure that all the spatial layers were within the city. OpenStreetMap (OSM), which provided a comprehensive and up-to-date representation of the transport network of the city, was the source of the road network data, including primary, secondary, and tertiary roads. These roads were used as the basis for the creation of several buffer zones (0–300 m, 300–1000 m, and 1000–3000 m) to investigate the accessibility of green spaces by proximity. In order to estimate the demographic distribution within each buffer zone and fishnet grid (1 km2), WorldPop gridded population data were also integrated to obtain population counts at a fine spatial resolution. Urban and environmental studies use WorldPop Population Data often; these data are validated and high-resolution estimates of population distribution that were created using both census-derived data and spatial predictors. Landsat 8 OLI/TIRS imagery has been used to derive urban green space through supervised classification; the classification’s accuracy has been assessed with respect to both overall accuracy and Kappa statistics. The combination of these datasets provides an equivalent and repeatable foundation for spatial equity analyses within cities. All of the datasets used in this study are publicly accessible and open-source, including WorldPop Population Data [https://www.worldpop.org/] (accessed on 1 November 2025), OpenStreetMap road networks [https://www.openstreetmap.org/#map=11/24.6664/46.8430&layers=P] (accessed on 2 November 2025) and Landsat imagery [https://earthexplorer.usgs.gov/] (accessed on 2 November 2025). All steps for data acquisition and further data processing were implemented in Python 3.10 using NumPy 1.24.4, Pandas 1.5.3, Rasterio 1.3.9, GeoPandas 0.14.2, Shapely 2.0.2, PyProj 3.6.1, Scikit-learn 1.3.2, Matplotlib 3.7.3, and SciPy 1.11.4 libraries

2.3. Methodology

2.3.1. Data Preparation and Green Space Classification

We combined datasets from multiple sources to describe the distribution of green space in Riyadh. The researchers defined urban green space by determining all vegetated land cover available from Landsat satellite imagery, including urban parks, public lawns, roadside vegetation, institutional green spaces, agricultural areas located within the urban boundary, and sparse shrub/grass-filled areas [32,33,34]. Built-up land forms, bare soil areas, paved surfaces, and desert sand are all considered “non-green” spaces through this study’s definition. Although the above definition of urban green space does not differentiate between accessible (to the public) or inaccessible (not available to the public), it depicts the ecological service capacity and value of all vegetation present in urban green spaces in regard to environmental equity assessments in arid climate urban contexts. The main dataset used to determine vegetation cover was Landsat 8 Operational Land Imager/Thermal Infrared Sensor (OLI/TIRS) imagery, and the study’s boundaries were drawn using the Riyadh administrative boundary shapefile. High-resolution estimates of population distribution were provided by WorldPop gridded population data, while OpenStreetMap (OSM) data offered comprehensive road network layers, including primary, secondary, and tertiary roads. To guarantee spatial consistency, the preprocessed Landsat imagery was then clipped to the Riyadh border. A Support Vector Machine (SVM) supervised classification was carried out using training and testing samples (at an 80:20 ratio) that represented the green and non-green classes. The overall accuracy was 0.8847 with a Kappa coefficient value of 0.853. A binary land-cover map that distinguished between green and non-green areas was produced using this method, and further it was reclassified as single class green space image, which served as the foundation for further statistical and spatial analyses. To minimize spatial bias and ensure the representation of different types of urban land cover, sample data for training and validation were collected from all areas of research, including areas in the center, along the edges, and along the roads.

2.3.2. Road Network Buffering for Accessibility Analysis

OpenStreetMap (OSM), which offers comprehensive and up-to-date data on primary, secondary, and tertiary roads, was used to extract the road network of Riyadh in order to assess the accessibility of green spaces. In this study, road hierarchy was defined following the OpenStreetMap (OSM) highway classification scheme. Primary roads represent major arterial routes designed to support long-distance urban and inter-urban traffic and to carry high volumes of people and goods, often functioning as the principal connectors between major urban centers. Secondary roads comprise highways that are not part of the primary arterial network but nevertheless form an integral component of the national and urban route system; within cities, these roads typically serve as arterial links connecting residential, commercial, and institutional areas to primary roads. Tertiary roads represent lower-order connectors that link smaller settlements and local centers and, within large urban areas, provide connections between neighborhood streets and higher-order roads. This functional hierarchy closely corresponds to the OSM road classification framework and has been widely adopted in urban spatial analysis, transportation planning, and accessibility-related studies. To guarantee topological consistency, the road layers were sanitized and arranged in accordance with their functional hierarchy. Concentric buffer zones were subsequently generated from each road category at intervals of 0–300 m, 300–1000 m, and 1000–3000 m. To capture both pedestrian and motorized connectivity across the urban layout, these buffer intervals correspond to short, medium, and long-range thresholds of accessibility. The 0–300 m buffer represents the area immediately surrounding an individual’s home where they would have easy access to daily pedestrian activity and the greatest environmental impact from roadways. The area accessible to pedestrian traffic from residences to a local neighborhood park or green space is represented by the buffer distances of 300 to 1000 m. Areas greater than 1000 m but less than 3000 m in length usually capture larger areas of urban accessibility that are impacted by the design of a major road, as well as the resulting impacts that this has on the dispersion of the resident population in the city. The use of multiple buffer distances allows for the evaluation of distance-decay effects for green space availability and population exposure at different hierarchy levels in highway systems. A framework for evaluating how proximity to various road hierarchies affects population-level access to urban greenery was made possible by the buffering process, which allowed the integration of transportation infrastructure with spatial green space distribution.

2.3.3. Spatial Aggregation Through Fishnet and Zonal Statistics

Using a projected coordinate system appropriate for area-based computations, a standard fishnet grid measuring 1 km by 1 km was superimposed on each of the buffer areas of each of the road hierarchies to aid in spatial analysis. This consistent spatial framework made it possible to aggregate environmental and demographic characteristics throughout the city at a similar resolution. The total green area in each cell was calculated by intersecting the fishnet with the classified green space raster, and population counts were estimated by superimposing WorldPop gridded population data. These layers were combined using zonal statistics to create a spatially explicit dataset that connected the distribution of green space, population count, and accessibility to road infrastructure. This dataset served as the foundation for analyses of equity and per capita green space distribution.

2.3.4. Per Capita Green Space Estimation

By combining geographically separated green space areas with matching population counts, the amount of green space available per person was determined. Using zonal statistics, the total area of classified green space was calculated for each 1 km2 fishnet cell. The estimated population within the same spatial unit, which was derived from WorldPop gridded population data, was then divided by these values. A spatially explicit measure of the amount of green space available per person was produced by this process using the following Equation (1):
Green Space Per Capita per fishnet = Total Green Space Area per fishbet Total Population Count per fishbet
This made it possible to evaluate the absolute availability of green spaces as well as their relative accessibility to inhabitants at different distances from the urban transportation system.

2.3.5. Road Buffer Wise Green Space Equity Analysis

To assess the fairness of green space distribution, per capita green space availability was analyzed using inequality measures. First, per capita values were ranked in ascending order across the spatial units, and cumulative proportions of population and corresponding green space were computed. These values were subsequently plotted to form the Lorenz Curve, which visually depicts departures from ideal equality in green space distribution. Next, the Gini coefficient was defined as a statistical measure of inequality, on a scale of 0 (perfect equality of access to green space for all residents) to 1 (perfect inequality, with green space held by a small proportion of the population). This dual strategy delivers both qualitative and quantitative observation of green space accessibility spatial inequities in Riyadh, which allows for the measurement of inequity in urban environmental amenities. The detailed methodological framework of the study has been provided in Figure 2:

3. Results

3.1. Population and Green Space Distribution Across Road Hierarchies in Riyadh

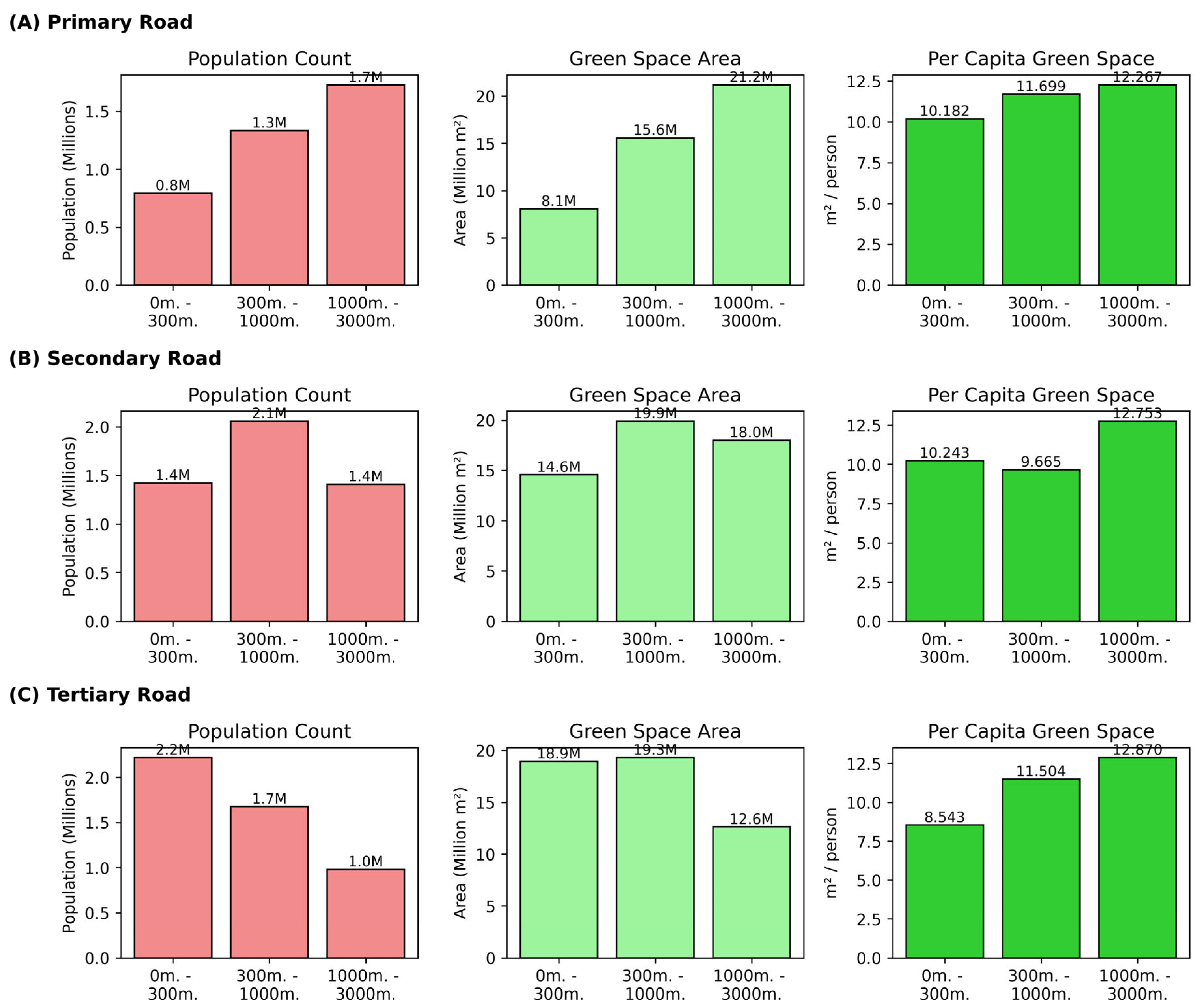
It is important to note that per capita UGS values are provided for each spatial scale resulting from this study. All of the per capita estimates for the entire urban area are an aggregate or population-weighted average for the whole city, so they show the level of availability of urban green space in general or overall. These per capita estimates at the “buffer” and “grid” levels represent localized conditions within specific distance bands based on road hierarchy; therefore, the higher per capita estimates may occur in areas with less than average density and in and through geographic clusters of green space. The methodological differences between these two types of estimates are evident by virtue of scale and can be interpreted as such. Patterns of ecological disproportion in urban environments are identified through the spatial representations of distribution patterns of population density, green space distributed and located relative to existing road hierarchies (Figure 3). For population density increases around primary roadways, significantly and consistently, the further away from the road you are, with approximately 0.8 million residents in the 0–300 m outer buffer zone (0–300 m), approximately 1.3 million in the 300–1000 m mid-buffer zone, and approximately 1.7 million in the outer 1000–3000 m buffer zone. The amount of green space located in proximity to the roadway exhibits a similar outward gradient, with green space available being approximately 8.1 million m2 in the 0–300 m outer buffer zone and increasing to approximately 21.2 million m2 in the 1000–3000 m outer buffer zone. Correspondingly, the amount of green space available per capita improves over distance from the roadway in a similar, but modest way, from approximately 10.18 m2/person at the 0–300 m outer buffer zone to approximately 11.70 m2/person at the 300–1000 m mid-buffer zone and 12.27 m2/person at the 1000–3000 m outer buffer zone. This outer gradient of green space and per capita green space suggests a relatively equal and steady redistribution of green space (ecological resources) through the development of ecological resources in the vicinity of primary corridors; however, the relatively modest gains suggest that further efforts are needed to create a greater distribution of these ecological resources. Around 2.1 million people can be found in a specified area of approximately 300–1000 m of secondary roads, where there is a large amount of development. The area between 300 and 1000 m has a greater number of individuals than either of the two other buffers (1.4 million people for both 0–300 m and 1000–3000 m). As a result, the competition for available green space has increased. The availability of green space within the mid-zone is also greater than in both the inner and outer buffers, with the mid-zone having an available area of 19.9 million m2, the outer buffer having an area of 18.0 million m2, and the inner buffer having an area of 14.6 million m2 of green space. However, despite this disparity in overall amounts of green space available, per capita green space amounts remain fairly limited and unevenly allocated, as per capita green space decreases slightly from the outer buffer (~12.75 m2/person) to the mid-buffer (~9.67 m2/person). This suggests that there are limits to individual access increases because of the intense population concentration present within this mid-zone of green space; despite a high supply of green space in the mid-buffer, population concentration limits access increases due to greater competition for available access. The highest concentrations of population densities are found along tertiary roads, where the population is concentrated around the street (approximately 2.2 million people are located within 0–300 m of the street) and decreases steadily with each increase in distance to approximately 1.7 million in the 300–1000 m buffer zone, and 1 million-plus further than 1000 m from the road. There is also a significant amount of open space available in both the inner (18.9 million m2) and mid (19.3 million m2) buffer zones, but this drops significantly to only 12.6 million m2 of open space in the outer buffer zone. Overall, the spatial misalignment creates a relatively low per capita green space value in the immediate buffer (approximately 8.54 m2/person), increasing to roughly 11.50 m2/person in the mid buffer and reaching its peak of about 12.87 m2/person in the outer buffer. These observations emphasize that high-density settlements combined with limited availability of effective green space access create ecological stress along tertiary road corridors.

3.2. Road Hierarchy Buffer-Wise per Capita Green Space Distribution

The spatial distribution of per capita green space within primary road buffers (Figure 4A) clearly delineates significant differences between developed and undeveloped areas close to main roads, and the relationship between ecological accessibility (proximity to CBD) and the combination of land use intensity and population density. Most sections of the 0–300 m buffer zone have extremely low values of per capita green space (i.e., red or yellow categories) because of the density of development and limited vegetation and residential settlement patterns in close proximity to these corridors. As one moves from 300 to 1000 m away from the main road, the 300–1000 m buffer region displays greater heterogeneity in spatial patterns, with relatively small sections of the buffer that contain higher values of per capita green space (greater than 7.65 m2) as well as fewer sections with low values (red zones). The 1000–3000 m buffer region displays the greatest overall increase in the amount of green space available for individual use, with greater amounts of contiguous and broader green areas in this region (11.33 m2 or higher) especially in areas located away from the center of the road network, but small areas of green space still exist in close proximity to areas of high-density development. In general, the analysis shows that as you move away from the main roads, the population density decreases exponentially because of the distance decay. As you move away from the nearest main road, the amount of green space an individual has available increases significantly and, in some cases, surpasses international benchmarks for green space available per person. Therefore, while the closeness of the main highways promotes increased urban development and greater connections between areas, it also creates extreme ecological limitations, hence the need to develop a comprehensive green/blue infrastructure strategy on major highways and transportation corridors in order to reduce heat stress, pollution exposure, and other large-scale environmental injustices.
Spatial patterns related to population saturation along near-road corridors and a considerable difference in ecological accessibility across all road corridors are represented by the green space and green areas per capita on secondary road buffers (Figure 4B). In the 0–300 m buffers, the vast majority (nearly 95 percent) of all secondary road segments fall into red (less than or equal to 0.01 m2 per person) and yellow (between 0.01 and 7.21 m2 per person) segments, with only limited pockets of green (exceeding 7.21 m2 per person). Thus, secondary road environments (that most closely surround the immediate secondary road) exhibit very low per capita green space values relative to population concentration due to a high concentration of inhabitants and limited vegetation cover. Within the range of 300–1000 m from the center of the road, some degree of stability and fragmentation begins to improve the situation: where some peripheral portions reach higher green space values per capita in the range of 8.05 m2 per person or more, significant portions of secondary road corridors remain red (between 0.01 and 4.95 m2 per person), suggesting there remains an imbalance between the distributions of available green space and high density of population. A clear improvement, however, begins to become apparent in the 1000–3000 m from the center of the road corridor, where a number of segments on the outer edges of road corridors begin to demonstrate higher green spaces with values of greater than 22.97 m2 per person; however, these values remain isolated across road corridors due to significant segments that have low green space values (less than or equal to 0.01–0.06 m2 per person) that remain dominant across the central areas of secondary road corridors. Findings indicate that secondary road buffers are ecologically saturated, which means that the levels of existing vegetation along these roads cannot be used to mitigate the impact of growing population pressures. Outer buffer zones benefit disproportionately from lower population densities and comparatively larger green areas. While some of the outer buffer zone’s large green space areas represent a small number of outliers with high green space values, most secondary roads in all three buffers have per capita green space levels below widely accepted global benchmarks (9 m2/person), illustrating long-standing structural inequalities. In general, these findings show the vulnerability of secondary roads both as an ecologically sensitive corridor in urban development and as major contributors to the development of residential neighborhoods. They also highlight the necessity of integrating green infrastructure along the secondary road network to facilitate more equitable distribution of ecosystem services across urban areas.
The spatial distribution of urban green resources clearly illustrates the relationship between the spatial distributions of urban green resources and the per capita green space distribution for each distance interval, as shown by the tertiary road buffers. The greatest ecological stress was present near tertiary roads, with small improvements over distance (Figure 4C). Compared to other sections of tertiary roads located further away, those located within the first 300 m are subject to the most significant ecological stress from extremely high population density and minimal vegetation cover. Therefore, the majority of these 300 m fall within the vulnerable (0.01 m2/person) and extremely low (0.00 m2/person) classes of available effective green space access along the roadside zones. While scattered improvements are evident in specific segments, many lengthy portions (0.00 m2/person) of the tertiary road segments located in the most populated and urbanized city-center areas still suffer from a lack of effective green space. Conditions within the next tier of distance (300–1000 m) slightly improve with a higher density of low-density housing development, along with localized per capita green space increases in less populated areas (a maximum of 11.84 m2/person); however, large stretches of low-density housing continue to exist in urban areas adjacent to major transit routes (i.e., major road corridors). In selected outer tiers of distance (1000–3000 m), a few areas show significantly higher per capita green space available to residents +up to 35.45 m2/person in specific districts located on the outer edges of the urban core), but these areas remain limited in scope and are not represented proportionately across the urban landscape as a whole, due to the continued existence of multiple areas adjacent to major roadways that exhibit symptoms consistent with critical ecological impoverishment (<0.01 m2/person). In general, the data illustrate that while outer buffers could offer much higher ecological provisioning capability, the vast majority of tertiary roads (particularly those beyond approximately 1000 m) fall significantly below internationally accepted baseline values. There is a clear inequity between ecological supply and population load along tertiary corridors; this pattern is particularly pronounced in densely populated communities, which results in a widespread degree of environmental injustice. Therefore, these data indicate that it is essential to implement immediately at the micro-level new green infrastructure interventions to reduce exposure to urban heat, decrease the stress associated with urban air pollution, and reduce the negative impact of both of these variables on community health.
The spatial distribution of per capita green space within primary, secondary, and tertiary road networks provides insights into the ecological inequality associated with these respective roads. As road order decreases, the ecological inequality becomes more obvious. Resources available to people also decrease further away from respective road networks. For instance, a systematic distance-decay effect can be observed in the location of primary roads; the ecological resources available become more concentrated away from and adjacent to primary roadways. The effect of secondary roads, however, has a pronounced effect on the ecological saturation of both inner and mid-buffer areas. Because of the population densities along secondary roads, population concentrations have overwhelmed the amount of green space available, and therefore, there are concentrated but unequal distributions of benefits from the green spaces located near secondary roads. There are also critical shortages of green space available along tertiary roads, and these shortages create severe economic disparities because green space improvement along tertiary roads is highly localized, but not network-wide. Overall, evaluating the inequalities of an ecological landscape has led to the conclusion that the lower-order roadways have the highest concentration of population activity, while at the same time, they provide less green infrastructure, and hence, cause and reinforce ongoing systemic environmental disparity. Consequently, to achieve equitable access to green spaces, residents along lower-order road networks must have opportunities for equitable green space planning through the use of hierarchy as a planning principle.

3.3. Inequality Assessment of per Capita Green Space Availability

A solid understanding of the inequality in per capita distribution of green space among different hierarchies of roads and buffer zones is rendered feasible by the Lorenz curves and Gini coefficients (Figure 5). The results reveal highly consistent inequality for primary roads, with Gini coefficients of 0.840 (0–300 m), 0.870 (300–1000 m), and 0.825 (1000–3000 m). Populations in 300–1000 m of main roads are overrepresented due to a lack of available green space, as evidenced by the highest inequality at the middle buffer (0.870). The general trend shows a continued concentration of green assets not commensurate with population densities on main road corridors, despite decreasing inequality at farther distances (0.825). A complete understanding of the difference in per capita green space distribution between different road hierarchies and buffer zones is made available due to the Lorenz curves and Gini coefficients. The results indicate uniformly high inequality for main roads, with Gini coefficients of 0.840 (0–300 m), 0.870 (300–1000 m), and 0.825 (1000–3000 m). Populations within 300–1000 m of major roads are disproportionately disadvantaged regarding accessible green space, as evident through the highest inequality at the intermediate buffer (0.870).
The general pattern shows a persistent concentration of green resources that fail to keep pace with population densities along major road corridors, even though inequality declines slightly at further distances (0.825). Tertiary roads have a somewhat more favorable trajectory for inequality. Although the Gini is hugely high in the proximity of the road network (0.883 at 0–300 m), it improves considerably at broader buffers, falling to 0.807 at 300–1000 m and rising to 0.753 at 1000–3000 m. This indicates that even though there is a significant difference in green space availability in populations directly adjacent to tertiary roads, the distribution becomes relatively more even as the spatial area increases. Less dense, local-scale street networks can be integrated into more comprehensive residential spaces in which the distribution of green space, though still unfair, is less skewed toward a small fraction of the population, as implied by the progressive decline in inequality among tertiary road buffers. Together, these findings identify a somewhat hierarchical gradient of inequality in access to green space through urban road systems. As a result of the spatial prioritization of transportation corridors above ecological provisioning, primary and especially secondary roads worsen inequality. Tertiary roads, however, show modest improvements to a larger degree; yet overall, all Gini coefficients remain above 0.75, affirming severe inequities that are quite far from equality (Gini = 0). Since secondary and primary roads have the most severe shortages, this highlights the necessity for urgent urban planning measures, introducing equitable green space provisioning into road network design.

4. Discussion

The results identify dramatic inequalities in per capita provision of green space along road hierarchies. Immediate buffers (0–300 m) are under the greatest ecological stress with very low per capita values despite housing the most densely populated areas. Primary and tertiary roads exhibit moderate improvement at larger distances, while secondary roads exhibit stagnation, with greater green space area failing to equate to fairer access. Lorenz curve analysis verifies these inequities, with Gini coefficients well above 0.8 for most cases, and 0.895 in outer buffers of secondary roads, highlighting structural disparities between demographic concentration and ecological provision. The vast difference in the distribution of green space along secondary roads (Gini = 0.895) compared to population concentration is due to the way that Riyadh’s urban land use and infrastructure policies have developed the built and natural environments. Secondary roads serve as the spine of urban residential and mixed-use corridors with high housing density, commerce, and service activity for all residential and mixed-use uses. However, the amount of ecological investment in secondary roads was historically minimal in comparison to primary corridors and larger peripheral developments, where urban planning policies were focused on maximization of plot use and vehicle access, as well as new real-estate development. However, the total amount of green space along secondary roads may be large due to significant population increases occurring in the same corridor; the ecosystems are now saturated. Consequently, while the total area available as green space is increasing, the amount of green space per individual is not significantly increasing. The secondary road network represents an urban planning gap, whereby mobility develops inequity instead of reducing it, as compared to primary roads with increased planned landscape design and tertiary roads in the low-density periphery.
These results concur with international literature that shows how road-fragmented urban growth has a propensity to harm ecological equity [9]. Asian cities experiencing rapid urbanization, such as Delhi and Jakarta, have also been reported with the same on-road lack of green space with compensatory gains in the periphery, and studies in Western contexts (e.g., London and Los Angeles) conclude that socio-economic inequalities still exist in the provision of green infrastructure [8,11,34]. In arid and semi-arid cities, particularly in the Middle East and North Africa, evidence pointed to the fact that scattered urban planning and water shortages further contribute to per capita green space disparity [17,23,25]. Despite the fact that this investigation confines itself to the city of Riyadh, the analytical framework created for this investigation may be applied more broadly to other urban areas, particularly those experiencing rapid growth and an automotive orientation, situated in arid and semi-arid climates. The analytical framework’s four main components, i.e., road hierarchy classification, multi-distance buffer analysis for estimating green space per capita population density, population-weighted analysis of green space per capita population density, and locational equity assessment through Lorenz curves and Gini coefficients, do not depend on city-specific datasets and instead depend on global open-source datasets such as OpenStreetMap, Landsat imagery, and gridded population products. Some of these same methods also have been employed in earlier investigations focused on assessing green space inequality in other Global South cities, including, but not limited to, Beijing, Shenzhen, Delhi, and others, where urban ecotype development and road-led urban expansion with population clustering have contributed to environmental access inequity [4,24]. Although local calibration of buffer distances, vegetation definitions, and planning definitions will be required to best account for variations in urban morphology and the structure of local governance, the overall framework of this investigation can act as a universal decision support system to assess ecological inequity across all urban environments. Table 1 is a systematic comparison of previous studies exploring urban green spaces and their associated equity. Comparison is made according to definitions of urban green space, spatial frameworks, and inequality metrics. It also indicates how the current study builds on the body of knowledge by utilizing road hierarchy-based buffer zones and population-weighted (per capita) assessments conducted in arid climate urban areas.
Policy-wise, the incorporation of green infrastructure into transport-oriented development is an immediate priority. Roadside greening, pocket parks, green walls, and buffer-specific ecological planning can help reduce inequities, especially along secondary and tertiary corridors. The research on sustainable development and urban sustainability within Saudi Arabia will serve as a model for existing and/or current national and city-level sustainability programs like the Saudi Green Initiative [39]. The research is in support of the Saudi Green Initiatives related to urban greening, creating more trees, and increasing resiliency to climate change in arid cities. The research also identifies the deficiency of green space along many secondary and tertiary road corridors, which indicate areas for possible spatial targeting for the Saudi Green Initiative afforestation and urban vegetation targets. The research provides a research-based framework for integrating green performance metrics with existing strategic urban development plans and transportation-oriented development frameworks in Riyadh. The integration of green performance metrics into road and housing projects will ensure that mobility-driven urban development contributes to environmental equity rather than continuing the trend of producing Environmental Deprivation. Such proactively targeted interventions further support the Kingdom of Saudi Arabia’s commitments to Sustainable Development Goals 3, 10, 11, and 13 and the Kingdom’s commitment to translating Sustainable Development Goals into neighborhood-scale outcomes.
This analysis, nonetheless, has limitations. The assessment is based on remotely sensed proxies of vegetation cover and population distribution that may not adequately represent green space quality, usability, or cultural significance. WorldPop gridded population data provides modeled population estimates rather than actual census data, which creates an additional source of uncertainty. The high-resolution, temporally consistent nature of the WorldPop data allows for intra-urban analysis; however, there is still some uncertainty surrounding how users are able to disaggregate, as well as how different time periods are compared and how the redistribution of populations occurs in a heterogeneous urban landscape. The uncertainty surrounding these estimates could extend to calculations of green space per capita, especially in areas near roads that are densely populated. In addition, minor errors in the estimation of populations could create a larger effect when calculating the green space available per capita. Despite these uncertainties, many studies on urban equity and exposure utilize WorldPop to allow for consistent, comparative analysis of road hierarchies and buffer zones. Temporal processes, especially seasonal changes in vegetation condition, were not included. Additionally, the investigation targets buffer spatially without taking into account functional access measures like socio-economic determinants of green space usage or walking time. Future research needs to include ground surveys, socio-demographic evaluations, and weather–climate connections to provide an integrated vision of urban ecological equity. In addition to the strengths highlighted above, the proposed framework has several limitations that must be considered when interpreting results from the proposed framework. For example, the proposed framework uses vegetation cover as a proxy for urban green space based on remote sensing data, which does not consider the quality of green spaces, such as the accessibility and usability of the area, maintenance levels (including how well maintained the green space is), and any cultural significance (the extent to which the green space has personal connection to the community). Therefore, the amount of functional per capita green space may be overrepresented by remote sensing technology if the area being evaluated has highly fragmented, fenced, or otherwise inaccessible vegetation. The use of grid-based population data adds uncertainty to highly dense urban environments because it may have smoothed out population peaks along road corridors, thus underestimating inequalities. A buffer-based method will capture spatial proximity, but it does not reflect real-life access patterns, including walking routes, barriers, and socio-economic limitations. As a result, inequities could be intensified by the use of the buffer-based method. Further, the analysis is static/free from the influence of seasonal variability in vegetation and long-term urban development; thus, changes in green space exposure over time were not evaluated. While these limitations do not detract from the overall conclusion(s) about there being significant ecological inequality within road hierarchies throughout the city of Riyadh, they suggest that the actual degree of inequity in the vicinity of the road may have been underestimated.

5. Conclusions

This research points to significant disparities in per capita green space distribution along main, secondary, and third-degree road networks, wherein proximal buffers always suffer the greatest ecological stress from high densities and low vegetation cover, whereas external buffers exhibit only scattered and localized gains. The study, through the integration of road hierarchies with buffer-based spatial inequality and distribution measures like Lorenz curves and Gini coefficients, provides an innovative framework for measuring the intersection of transport infrastructure, demographic clustering, and ecological accessibility in an arid city context. In contrast to prior research that looked at green cover in general, this work offers a detailed, road-based view that uncovers how mobility corridors, while important for connectivity and development, widen environmental disparities. The findings have extensive urban planning and policy implications, calling for the imperative of integrating green infrastructure through roadside greening, pocket parks, and ecological corridors into transport-oriented development as a means towards achieving SDGs with health (SDG 3), inequality (SDG 10), sustainable cities (SDG 11), and climate action (SDG 13) orientations. Furthermore, the study acknowledges limitations such as the utilization of remotely sensed data, the lack of temporal dynamics, and the exclusion of socio-economic and cultural determinants of green space use. Follow-up research needs to bridge these gaps by incorporating season and long-term urban development trends, linking ecological contrast to public health outcomes, and applying the framework to other Middle Eastern and desert-zone cities to provide a more complete evidence base for environmental justice. In doing so, the research not only advances methodological advancement but also establishes an important foundation for integrating mobility and ecology into urban resilience planning.

Author Contributions

Conceptualization, S.A., J.M. and H.T.H.; Data curation: S.A. and J.M.; Formal analysis: J.M., S.A. and H.T.H.; Funding acquisition, S.A.; Investigation, J.M., S.A., H.T.H. and M.S.A.; Methodology, S.A. and J.M.; Project administration, S.A. and J.M.; Resources, H.T.H.; Software, J.M. and S.A.; Supervision, S.A. and J.M.; Validation, J.M., S.A. and M.S.A.; Visualization: H.T.H. and M.S.A.; Writing—original draft, J.M. and S.A.; Writing—review and editing: H.T.H. and M.S.A. All authors have read and agreed to the published version of the manuscript.

Funding

Funding for this research was provided under award numbers RGP2/599/46 by the Deanship of Scientific Research, King Khalid University, Ministry of Education, Kingdom of Saudi Arabia.

Data Availability Statement

The raw data supporting the conclusions of this article will be made available by the authors on request.

Acknowledgments

The authors extend their appreciation to the Deanship of Scientific Research at King Khalid University for funding this work through the Research Group under grant number RGP2/599/46.

Conflicts of Interest

The authors declare no conflicts of interest.

References

  1. Dmitrovi, V.; Svetlana, I.; Tankosic, J.V.; Prodanovic, R.; Lejic, N.; Pavlovic, A.; Cavlin, M.; Gardasevic, J.; Lekic, J. Sustainability of Urban Green Spaces: A Multidimensional Analysis. Sustainability 2025, 17, 4026. [Google Scholar] [CrossRef]
  2. Godoi, N.M.I.; Gomes, R.C.; Longo, R.M. Contributions of Urban Green Spaces to Cities: A Literature Review. Sustain. Environ. 2025, 11, 2464418. [Google Scholar] [CrossRef]
  3. Paudel, S.; States, S.L. Urban Green Spaces and Sustainability: Exploring the Ecosystem Services and Disservices of Grassy Lawns versus Floral Meadows. Urban For. Urban Green. 2023, 84, 127932. [Google Scholar] [CrossRef]
  4. Liu, Y.; Xia, C.; Ou, X.; Lv, Y.; Ai, X.; Pan, R.; Zhang, Y.; Shi, M.; Zheng, X. Quantitative Structure and Spatial Pattern Optimization of Urban Green Space from the Perspective of Carbon Balance: A Case Study in Beijing, China. Ecol. Indic. 2023, 148, 110034. [Google Scholar] [CrossRef]
  5. Sokolova, M.V.; Fath, B.D.; Grande, U.; Buonocore, E.; Franzese, P.P. The Role of Green Infrastructure in Providing Urban Ecosystem Services: Insights from a Bibliometric Perspective. Land 2024, 13, 1664. [Google Scholar] [CrossRef]
  6. Aslanoglu, R.; Kazak, J.K.; Szewranski, S.; Swiader, M.; Arciniegas, G.; Chrobak, G.; Jakobiak, A.; Turhan, E. Ten Questions Concerning the Role of Urban Greenery in Shaping the Future of Urban Areas. Build. Environ. 2025, 267, 112154. [Google Scholar] [CrossRef]
  7. Kamjou, E.; Scott, M.; Lennon, M. A Bottom-up Perspective on Green Infrastructure in Informal Settlements: Understanding Nature’s Benefits through Lived Experiences. Urban For. Urban Green. 2024, 94, 128231. [Google Scholar] [CrossRef]
  8. Grabowski, Z.J.; Mcphearson, T.; Pickett, S.T.A. Transforming US Urban Green Infrastructure Planning to Address Equity. Landsc. Urban Plan. 2023, 229, 104591. [Google Scholar] [CrossRef]
  9. Arku, G.; Marais, L. Global South Urbanisms and Urban Sustainability—Challenges and the Way Forward. Front. Sustain. Cities 2021, 3, 692799. [Google Scholar] [CrossRef]
  10. Toit, M.J.; Cilliers, S.S.; Dallimer, M.; Goddard, M.; Guenat, S.; Cornelius, S.F. Urban Green Infrastructure and Ecosystem Services in Sub-Saharan Africa. Landsc. Urban Plan. 2018, 180, 249–261. [Google Scholar] [CrossRef]
  11. Kumar, A.; Joshi, A.; Gogoi, H. Urban Green Spaces and Parks Contribution to Improving Livability: A Ward-Level Assessment Study of Dehradun, India. Int. J. Environ. Sci. 2025, 11, 653–666. [Google Scholar] [CrossRef]
  12. Russo, A.; Cirella, G.T. Modern Compact Cities: How Much Greenery Do We Need? Int. J. Environ. Res. Public Health 2018, 15, 2180. [Google Scholar] [CrossRef] [PubMed]
  13. Huang, B.; Li, W.; Ma, W.; Xiao, H. Space Accessibility and Equity of Urban Green Space. Land 2023, 12, 766. [Google Scholar] [CrossRef]
  14. Zong, W.; Qin, L.; Jiao, S.; Chen, H.; Zhang, R. An Innovative Approach for Equitable Urban Green Space Allocation through Population Demand and Accessibility Modeling. Ecol. Indic. 2024, 160, 111861. [Google Scholar] [CrossRef]
  15. Endalew, A.; Hou, Y. Determinants Influencing the Accessibility and Use of Urban Green Spaces: A Review of Empirical Evidence. City Environ. Interact. 2024, 24, 100159. [Google Scholar] [CrossRef]
  16. Mostafa, A.M.; Alshahrani, A. Humanizing Sustainable Development through Green Spaces: A Case Study of Saudi Cities. Front. Sustain. Cities 2025, 7, 2180. [Google Scholar] [CrossRef]
  17. Addas, A.; Maghrabi, A. Role of Urban Greening Strategies for Environmental Sustainability—A Review and Assessment in the Context of Saudi Arabian Megacities. Sustainability 2021, 13, 6457. [Google Scholar] [CrossRef]
  18. Aldegheishem, A. Urban Growth Management in Riyadh, Saudi Arabia: An Assessment of Technical Policy Instruments and Institutional Practices. Sustainability 2023, 15, 10616. [Google Scholar] [CrossRef]
  19. Al-huqail, A.A.; Islam, Z. Ecological Stress Assessment on Vegetation in the Al-Baha Highlands, Saudi Arabia (1991–2023). Sustainability 2025, 17, 2854. [Google Scholar] [CrossRef]
  20. Chouari, W. Assessment of Vegetation Cover Changes and the Contributing Factors in the Al-Ahsa Oasis Using Normalized Difference Vegetation Index (NDVI). Reg. Sustain. 2024, 5, 100111. [Google Scholar] [CrossRef]
  21. Ledraa, T.; Aldegheishem, A. What Matters Most for Neighborhood Greenspace Usability and Satisfaction in Riyadh: Size or Distance to Home? Sustainability 2022, 14, 6216. [Google Scholar] [CrossRef]
  22. Ledraa, T.; Aldubikhi, S.A. Unveiling the Value of Green Amenities: A Mixed-Methods Analysis of Urban Greenspace Impact on Residential Property Prices Across Riyadh Neighborhoods. Buildings 2025, 15, 2088. [Google Scholar] [CrossRef]
  23. Zampieri, M.; Alkama, R.; Luong, T.; Ashok, K.; Hoteit, I. Managing vegetation for stronger cooling efficiency during hot days in the Arabian Peninsula. Ecol. Indic. 2023, 154, 110789. [Google Scholar] [CrossRef]
  24. Jarrar, O.M.; Al-homoud, M. Sustainable urban development in Riyadh: A projected model for walkability. Int. J. Urban Sustain. Dev. 2024, 16, 398–421. [Google Scholar] [CrossRef]
  25. Mallick, J.; Alqadhi, S.; Alkahtani, M. Understanding the Ecological Health Status of a Semi-Arid and Arid Region of Saudi Arabia in the Era of Rapid Urbanization. Earth Syst. Environ. 2025, 9, 3311–3335. [Google Scholar] [CrossRef]
  26. Mazzetto, S.; Furlan, R.; Awwaad, R. Sustainable Urban Renewal: Planning Transit-Oriented Development (TOD) in Riyadh. Sustainability 2025, 17, 4310. [Google Scholar] [CrossRef]
  27. Yiqiu, Z.; Xinlei, D.; Yajuan, W.; Wenguo, W.; Mingjing, W. GIS-Based Accessibility Analysis of Urban Park Green Space Landscape. Sci. Rep. 2025, 15, 28498. [Google Scholar] [CrossRef]
  28. Wang, X.; Guan, C. Assessing Green Space Exposure in High Density Urban Areas: A Deficiency-Sufficiency Framework for Shanghai. Ecol. Indic. 2025, 175, 113494. [Google Scholar] [CrossRef]
  29. Li, J.; Peterson, A.; Auchincloss, A.H.; Hirsch, J.A.; Rodriguez, D.A.; Melly, S.J.; Moore, K.A.; Roux, A.V.D.; Sánchez, B.N. Comparing Effects of Euclidean Buffers and Network Buffers on Associations between Built Environment and Transport Walking: The Multi—Ethnic Study of Atherosclerosis. Int. J. Health Geogr. 2022, 21, 12. [Google Scholar] [CrossRef]
  30. Haddad, M.A.; Nedovic-budic, Z. Using Spatial Statistics to Analyze Intra-Urban Inequalities and Public Intervention in Sao Paulo, Brazil. J. Hum. Dev. 2014, 7, 85–109. [Google Scholar] [CrossRef]
  31. Libório, M.P.; Martinuci, S.; Laudares, S.; Lyrio, R.D.M.; Manso, A.; Machado, C.; Bernardes, P.; Ekel, P. Measuring Intra-Urban Inequality with Structural Equation Modeling: A Theory-Grounded Indicator. Sustainability 2020, 12, 8610. [Google Scholar] [CrossRef]
  32. Pal, T.; Paul, A.; Maiti, C. Analysis of Urban Green Spaces using Geospatial Techniques: A case study of Chandannagar Municipal Corporation, Hugli, West Bengal, India. World J. Adv. Res. Rev. 2023, 19, 370–390. [Google Scholar] [CrossRef]
  33. Ramaiah, M.; Avtar, R. Urban Green Spaces and Their Need in Cities of Rapidly Urbanizing India: A Review. Urban Sci. 2019, 3, 94. [Google Scholar] [CrossRef]
  34. Weigand, M.; Wurm, M.; Droin, A.; Stark, T.; Staab, J.; Rauh, J.; Taubenböck, H. Are public green spaces distributed fairly? A nationwide analysis based on remote sensing, OpenStreetMap and census data. Geocarto Int. 2023, 38, 2286305. [Google Scholar] [CrossRef]
  35. Ke, X.; Huang, D.; Zhou, T.; Men, H. Contribution of Non-Park Green Space to the Equity of Urban Green Space Accessibility. Ecol. Indic. 2023, 146, 109855. [Google Scholar] [CrossRef]
  36. Chang, F.; Huang, Z.; Liu, W.; Huang, J. A Novel Framework for Assessing Urban Green Space Equity Integrating Accessibility and Diversity: A Shenzhen Case Study. Remote Sens. 2025, 17, 2551. [Google Scholar] [CrossRef]
  37. Ngan, T.T.; Wang, R.; Tate, C.; Green, M.; Mitchell, R.; Hunter, R.F.; Neill, C.O. Inequality in Green Space Distribution and Its Association with Preventable Deaths across Urban Neighbourhoods in the UK, Stratified by Index of Multiple Deprivation. J. Epidemiol. Community Health 2024, 79, 102–109. [Google Scholar] [CrossRef]
  38. Dong, Z.D.; Miller, E.J. Socio-Spatial Disparities in Urban Green Space Accessibility: The Existing Challenge for Toronto in Its Aspiration to Be a Liveable City. Can. J. Reg. Sci. 2025, 47, 45–56. [Google Scholar] [CrossRef]
  39. Bin Mahmoud, A.; Alokili, T.; Akhtar, S.; Aljadhai, S. Adoption of Green Building Rating Systems in Saudi Arabia: Barriers and Solutions. Sustainability 2025, 17, 11248. [Google Scholar] [CrossRef]
Figure 1. Study area: (A) primary, secondary, and tertiary road network; (B) population density; and (C) green space distribution of Riyadh city.
Figure 1. Study area: (A) primary, secondary, and tertiary road network; (B) population density; and (C) green space distribution of Riyadh city.
Applsci 16 01926 g001
Figure 2. Methodological framework for the study.
Figure 2. Methodological framework for the study.
Applsci 16 01926 g002
Figure 3. Availability of green space and buffer-based population distribution across road hierarchies in Riyadh city.
Figure 3. Availability of green space and buffer-based population distribution across road hierarchies in Riyadh city.
Applsci 16 01926 g003
Figure 4. (A) Per capita green space distribution throughout primary road buffers in Riyadh city. (B) Per capita green space distribution throughout secondary road buffers in Riyadh city. (C) Per capita green space distribution throughout tertiary road buffers in Riyadh city.
Figure 4. (A) Per capita green space distribution throughout primary road buffers in Riyadh city. (B) Per capita green space distribution throughout secondary road buffers in Riyadh city. (C) Per capita green space distribution throughout tertiary road buffers in Riyadh city.
Applsci 16 01926 g004aApplsci 16 01926 g004b
Figure 5. Per capita green space accessibility Lorenz curves for primary, secondary, and tertiary roads under three buffer zones (300 m, 1000 m, and 3000 m) in Riyadh city.
Figure 5. Per capita green space accessibility Lorenz curves for primary, secondary, and tertiary roads under three buffer zones (300 m, 1000 m, and 3000 m) in Riyadh city.
Applsci 16 01926 g005
Table 1. Comparative analysis of global research connecting road networks and urban green space.
Table 1. Comparative analysis of global research connecting road networks and urban green space.
Study AreaMajor FindingsRecommendation
Wuhan, China [35]The inclusion of non-park green spaces (NPGSs) decreased the inequality of UGS accessibility (Gini: 0.93 → 0.62)Including NPGSs in the design of green spaces
Shenzhen, China [36]Created a framework (Ga2SFCA, Simpson, Gini indices) that combines equality, diversity, and accessibilityPlanning for pedestrian-oriented UGSs using equity metrics
England, Wales. Northern Ireland and Scotland, UK [37]Green space inequality was found to be associated with deprivation; greater green space was associated with fewer avoidable deathsGive priority to green initiatives in the areas with the greatest deprivation
Toronto, Canada [38]Found differences in access to green spaces across city neighborhoods on a spatial, social, and economic levelNeighborhood-specific green space policymaking
Disclaimer/Publisher’s Note: The statements, opinions and data contained in all publications are solely those of the individual author(s) and contributor(s) and not of MDPI and/or the editor(s). MDPI and/or the editor(s) disclaim responsibility for any injury to people or property resulting from any ideas, methods, instructions or products referred to in the content.

Share and Cite

MDPI and ACS Style

Alqadhi, S.; Mallick, J.; Hang, H.T.; Almatawa, M.S. Assessing Ecological Inequality in Urban Green Space Distribution Along Road Networks in Riyadh City. Appl. Sci. 2026, 16, 1926. https://doi.org/10.3390/app16041926

AMA Style

Alqadhi S, Mallick J, Hang HT, Almatawa MS. Assessing Ecological Inequality in Urban Green Space Distribution Along Road Networks in Riyadh City. Applied Sciences. 2026; 16(4):1926. https://doi.org/10.3390/app16041926

Chicago/Turabian Style

Alqadhi, Saeed, Javed Mallick, Hoang Thi Hang, and Mansour S. Almatawa. 2026. "Assessing Ecological Inequality in Urban Green Space Distribution Along Road Networks in Riyadh City" Applied Sciences 16, no. 4: 1926. https://doi.org/10.3390/app16041926

APA Style

Alqadhi, S., Mallick, J., Hang, H. T., & Almatawa, M. S. (2026). Assessing Ecological Inequality in Urban Green Space Distribution Along Road Networks in Riyadh City. Applied Sciences, 16(4), 1926. https://doi.org/10.3390/app16041926

Note that from the first issue of 2016, this journal uses article numbers instead of page numbers. See further details here.

Article Metrics

Back to TopTop