DBD Plasma Actuators for Aerodynamic Flow Control: A Review
Abstract
1. Introduction
- Fluidic actuators such as suction and blowing slots/holes, and synthetic jets.
- Electromagnetic/magnetohydrodynamic actuators.
- Moving/rotating Surface actuators such as variable pitch blades and morphing blades.
- Plasma actuators.
- Corona discharge.
- Local arc filament.
- Sparkjet.
- Dielectric barrier discharge (DBD).
- Low-pressure plasma such as DC discharge, RF discharge, and microwave discharge.
- Atmospheric pressure plasma such as corona discharge, arc discharge, DBD, and atmospheric pressure glow discharge.
1.1. Aim of the Study
1.2. Concept Behind the Plasma Actuators (PAs)
2. Numerical Models and Empirical Methods
2.1. Main Concept Behind the Numerical Methods
- (1)
- Phenomenological or simplified modeling such as the Shyy (a linear electric field model) [38], the Suzen–Huang [39,40], and the Lumped-Element Circuit model (LEC) by Orlov [41]. The main advantage of these models resided in their simplicity and ease of simulation; in the next subsections, these models are explained in detail.
- (2)
- (3)
- A third approach consists of kinetic models, which represent macroscopic properties of fluids by analyzing their molecular composition and motion [44,45]. Kinetic models generally involve solving the Boltzmann equation or using particle-based simulations, such as the Monte Carlo method. The Monte Carlo method simultaneously follows numerous simulated particles to replicate the collective behavior of real atoms and molecules within the flow [46]. Each computational particle corresponds to thousands or even millions of charged particles of a single species (ion or electron).
- (4)
- (1)
- Analytical models.
- (2)
- Semi empirical models (theoretical foundations with experimental observations).
- (3)
- Empirical models (derived directly from experimental data).
- (4)
- Computational Fluid Dynamics (CFD), which uses numerical methods such as RANS, LES, and DNS.
2.2. Suzen and Huang (S-H) Model
2.3. Shyy Model
2.4. Lumped-Element Circuit (LEC) Model
2.5. Equations to Determine Thrust and Power Consumption
2.6. Concept of Duty Cycle (Dc)
2.7. Overview and Evolution of the Main Empirical and Semi Empirical Methods
3. DBD Plasma Actuators (PAs) on Flat Plates
3.1. Asymmetric DBD Plasma Actuator (PA)
3.2. Sliding DBD Plasma Actuator (S-PA)
3.3. Combination of Nanosecond-DC-Pulsed DBD Actuator and Sliding DBD Plasma (PS-PA)
3.4. Nanosecond-DC-Pulsed DBD Plasma Actuator (D-PA)-McGowan Approach
- Summary of the achievements of DBD plasma actuators applied to Flat plates.
- Three parameters are particularly relevant when considering the efficiency of plasma actuators performance: the DBD material (i.e., thickness and permittivity), the geometry of the exposed electrodes [15], and the length of the encapsulated electrode. These parameters should be optimized for maximizing actuator performance [15,72]. At higher voltages ( ≥ 20 KV), materials with lower permittivity (i.e., ) demonstrated greater efficiency compared to others, whereas the opposite trend was observed at lower voltages. The thinnest DBD produced the highest velocity within a specific voltage range; however, at high voltages, the thickest DBD yielded the highest velocity while maintaining a non-filamentary discharge [15,72]. An increase in voltage reduces the boundary layer thickness , leading to a decrease in displacement thickness , momentum thickness , and shape factor H (/) [73,74].
- In the PA, when the distance (gap) between the electrodes exceeds a certain threshold, the electric field dropped down. When the distance was negative (i.e., part of the upper electrode was located above the lower one), the symmetric distribution of the electric field did not accelerate the ionic wind.
- Parasitic ionization (spurious plasma formation) was observed when the spacing between exposed electrodes was determined to be insufficient when considering the multiple strategy with conventional plasma actuators (PA). An optimal electrode spacing was found to minimize parasitic discharge and produce the highest induced flow velocity.
- As the actuator voltage increased, more energy was injected into the boundary layer. The plasma actuation configuration, which acted across the shear layers to disrupt circulation during vortex roll-up, was the most effective design for aerodynamic noise [76] and drag reduction enhancement in the boundary layer [77,79,80]; see parts a and b in Figure 9. In addition, a sinusoidal waveform was chosen for most experiments because, compared to other waveforms, it produces the least distortion from capacitance and inductance effects in the plasma actuator circuit [15].
- In conventional plasma (asymmetric DBD actuators), the DBD unit produces very high power peaks, which may induce problems of electromagnetic hazards. Consequently, researchers began to focus on developing actuators that can achieve a more stable discharge [88]. Turning to the S-PA configuration led to a more homogeneous plasma with DC < 0 and a higher induced velocity than the typical DBD (PA). In S-PA, the application of a positive DC voltage component (VDC > 0) did not significantly change the DBD current. The velocity of the electric wind created by the three-electrode S-PAs with VDC > 0 is always greater than when VDC < 0. As such, to increase the velocity of the ionized wind, a positive DC voltage has to be applied to the downstream exposed electrode. These actuators changed the direction of the flow downstream in the boundary layer.
- In S-PA, the AC-actuated, exposed electrode mainly produces ions, while the DC-activated, exposed electrode collects them. As a result, the total current in the sliding discharge is a combination of three parts: capacitive, discharge, and sliding currents. In addition, the DC-actuated electrode had a strong influence on the velocity of the flow field. Moreover, the deposition energy of the actuator increased when compared against the typical plasma actuator (PA). The combination of the sliding DBD with nanosecond DC pulsed discharge (PS-PA), effectively enhanced the pressure wave generation [82,93].
- In previous studies surrounding D-PA, the actuators were implemented to produce a spanwise near-wall flow of sufficient magnitude to inhibit the lift-up of the near-wall streaks, resulting in drag reduction at high wind speeds. The degree of the drag reduction highly depended on two parameters, , , and the optimum value of both parameters ( and ) was found to vary with the applied voltage. The first parameter describes the non-dimensional distance between electrodes and characterizes how many near-wall streaks can be controlled, which indicates the overall potential to reduce drag. The second one describes the level of spanwise plasma-induced flow required relative to the local friction velocity. The lift-up of the low-speed streaks gave rise to a flanking wall-normal vorticity (). The high level of is critical for streaks’ transient growth within the boundary layer. Regardless of the D-PA configuration considered, when applying an optimal and optimal excitation parameters, the streak lift-up at high Reynolds numbers was suppressed.
4. DBD Plasma Actuators (PAs) on Wind Turbine Airfoils
4.1. Numerical Studies
4.2. Experimental Investigations
4.2.1. PA-Periodic Forcing on Airfoils
4.2.2. PA-Pulsating Forcing on Airfoils
4.3. Nanosecond-AC/DC-Pulsed DBD Actuator on Airfoils
4.3.1. Nanosecond-DC-Pulsed DBD Actuator (P-PA) on Airfoils
4.3.2. Nanosecond-AC-Pulsed DBD Actuator (A-PA) on Airfoils
- Summary of the achievements of DBD plasma actuators applied to Airfoils
- The optimum location of PAs is closely related to the boundary layer separation point on a given airfoil, which in turn depends on the Reynolds number, AoA, and the airfoil profile. Using the Shyy model, the maximum Reynolds number ever studied was 600,000; moreover, combining PAs with passive methods such as a Gurney flap can improve the airfoil’s efficiency at higher Reynolds numbers [104]. The Shyy model is a voltage-dependent theory, where increasing the voltage leads to an expansion of the plasma region. Furthermore, an increase in frequency enhances the force in both the X and Y directions [104,105]. Therefore, it must be considered that, in any active flow control (AFC) application, an energy assessment needs to be performed.
- For each given application, a parametric analysis considering the PA non-dimensional frequency (in both continuous [102] and pulsating modes [106,107]), its duty cycle [106,107], as well as the voltage applied, appear to be essential to maximize the PA efficiency while minimizing the energy required. The optimization of the PA parameters is particularly relevant in full three-dimensional simulations. When the operational frequency of the plasma actuator matches the baseline case vortex shedding frequency, flow control becomes significantly more energetically efficient.
- In order to improve the PAs’ performance via the S-H model, the boundary conditions were modified, and, rather than following a Gaussian distribution [39,40], the PAs were modeled with a different boundary condition in which the charge density distribution on the electrode surface was proportional to the electric potential [54,111]. Compared to the Shyy model, the Suzen–Huang (S-H) model enabled the investigation of several additional parameters, including the permittivity of the DBD unit, electrode dimensions (thickness and length), Debye length, and gap between the electrodes.
- Considering the experimental research, parametric studies focused on evaluating a range of applied voltages and frequencies, as well as chordwise locations, in both single and multiple configurations were performed by [115,119]. As a result, the parameters resulting in an improved aerodynamic performance of the airfoils were established. In addition, the separation point in the baseline case was used to identify the optimal location of the plasma actuator, enhancing its effectiveness [115,116]. Furthermore, non-optimal excitation parameters, particularly frequency, provide little to no aerodynamic improvement while increasing energy consumption [118].
- Application of water droplets on an a PA temporarily disrupted functionality; however, the PA recovered within seconds as the water was evaporated or pushed away by the PA [114]. Some methodologies, including Smoke and Titanium-dioxide () visualization, were used to study the boundary layer in baseline and actuated cases.
- In experimental studies conducted under pulsating mode, using pulsating frequencies and duty cycles enabled through DC to AC power converters, offered a significant advantage in energy consumption [120,121,122]. Compared to continuous operation (periodic), this approach was effective in controlling flow in the boundary layer while substantially reducing power consumption. A developed compact high-voltage AC power supply for the PA [120] demonstrated that miniaturization was achievable without compromising performance. A battery could function as the primary power source and was capable of efficiently powering the entire circuit, including the power supply board, main control board, and DC/AC converter.
- In nanosecond pulsed actuators, the deposited energy was the key metric for characterizing the actuators, and pressure wave intensity was directly correlated with the amplitude of the deposited energy. The rise time of the high-voltage pulse was critical for energy deposition and pressure wave formation. A shorter rise time leads to faster energy delivery in a smaller volume, resulting in significantly higher deposited energy, stronger gas heating, and more intense, faster streamers. Positive voltage pulses generate stronger, filamentary streamers with higher energy deposition, whereas negative voltage pulses produce more diffuse, weaker discharges with lower energy deposition. In addition, the positive voltage pulse was more efficient than the negative one, and a sharper voltage pulse made the discharge faster and stronger and established a higher streamer propagation speed. Reducing the rise time of the pulse enhanced the pressure wave due to faster energy deposition.
5. DBD Plasma Actuators (PAs) Applied on Wind Turbines
5.1. Horizontal Axis Wind Turbine (HAWT)
5.1.1. Large-Scale Wind Turbines
5.1.2. Reducing Damage Equivalent Load (DEL) in Onshore and Offshore Wind Turbines
| Ref. | WT’ Scale | Spanwsie | Chordwsie | Device | DEL/LCOE |
|---|---|---|---|---|---|
| [149] | NREL-5 MW | 80–100%r/R | 90%C | Microtabs | 55.7%/- |
| [154] | IEA-3.4 MW | 76–100%r/R | 95%C | CGF | 12%/5.9% |
| [155] | IEA-3.4 MW | 77–100%r/R | 95%C | CGF | 23%/- |
| [152] | IEA-3.4 MW | 75–100%r/R | 95%C | CGF | 18–3.11% |
| [150] | IEA 3.4 MW | 75–100%r/R | 95%C | CGF | AEP boosts |
5.1.3. Small-Scale Wind Turbines
- Summary of the achievements of DBD plasma actuators applied to HAWTs
- The PAs work well and are efficient when placed at or just upstream of the separation point, where they can meaningfully delay stall AoA [157,160,161,162]. In contrast, installing the PAs near the inboard region of the rotor of the large HAWTs, even with multiple strategy (actuating the four PAs simultaneously) had insignificant aerodynamic effect [145] due to the low aerodynamic contribution of that area. Implementing the PAs at an optimum spanwise location along the blade had a larger impact on WT performance than adjusting their single and multiple chordwise placement.
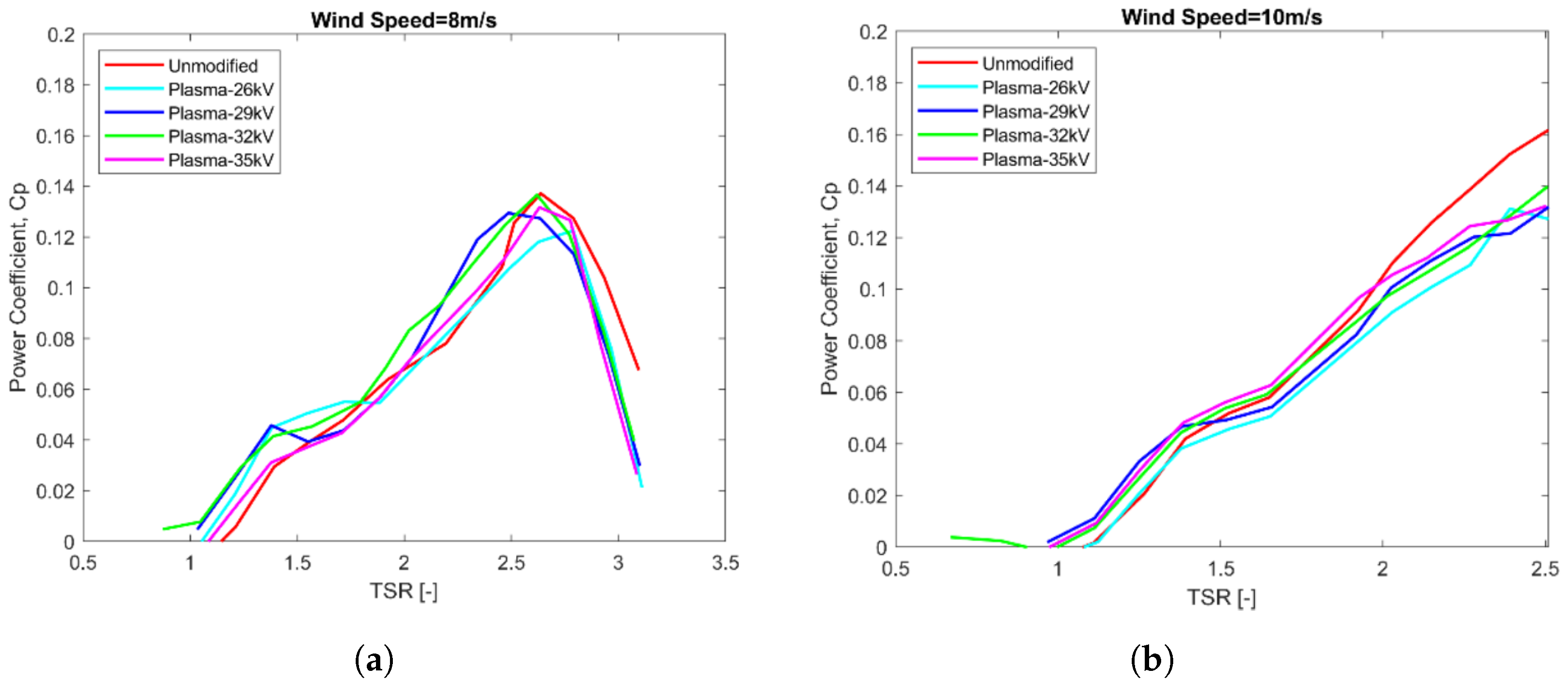
- Redesigning large turbines by combining PAs with devices such as Microtabs or CGF placed at a particular spanwise location near the blade tip, significantly reduced the DEL and improved the LCOE, particularly at wind speeds ≤ 9.8 m/s [149,152,154]. To properly implement PAs with CGF, a control system [154] or a gust alleviation controller [155] were required. In addition, the S-H model as a phenomenological method, successfully enhanced the aerodynamic performance across both small [156], and large scale [146] HAWTs, also contributing to a reduction in DEL [149,152,155]. Modifying the boundary condition for the charged surface, proposed as an alternative to the commonly used Gaussian distribution in this model [54], outperforming the Shyy model, specially at high wind speeds (10 and 12 m/s).
- Observations from experiments on small turbines showed that, an array of symmetric PAs distributed across the entire blade and actuated in periodic mode, produced a stronger aerodynamic effect than employing PAs with an asymmetric configuration [159]. In this case, the plasma-induced vortex generators produced more streamwise vortices compared to the asymmetric design.
5.2. Vertical Axis Wind Turbines (VAWTs)
5.2.1. Numerical Studies
| Ref. | Theory | Excitation | Airfoil | TSR/ | Azimuth Angle and PA Location |
|---|---|---|---|---|---|
| [170] | Shyy | = 4 kV | NACA 0016 | 200 rpm | Specific angular positions |
| ∗ | = 1.5 mm | = 3 kHz | Chord = 30 cm | ||
| = 3 mm | = 1 | Opt = 20%C | Both Surfaces | ||
| [171] | Shyy | = 4 kV | NACA 0016 | 200 rpm | – |
| = 1.5 mm | = 3 kHz | Chord = 30 cm | |||
| = 3 mm | = 1 | Opt = 2%C | Pressure surfaces | ||
| [172] | Shyy | = 4 kV | NACA 0016 | 1 | – |
| = 1.5 mm | = 3 kHz | Chord = 30 cm | |||
| = 3 mm | = 1 | Opt = 20%C | Suction Surfaces | ||
| [163] | Shyy | = 4 kV | NACA 0022 | 2.15 | –– and – |
| ∗ | = 1.5 mm | = 3 kHz | Chord = 10 cm | ||
| = 3 mm | = 0.3 | Opt = 10%C | Inner surfaces | ||
| [164] | Shyy | = 4 kV | NACA 0022 | 2.15 | –– |
| ∗ | = 1.5 mm | = 3 kHz | Chord = 10 cm | ||
| = 3 mm | = 0.3 | Opt = 10%C | Inner surfaces | ||
| [165] | Shyy | = 3 kV | NACA 0022 | 2.15 | – |
| ∗ | = 2.5 mm | = 383 Hz | Chord = 10 cm | ||
| = 5 mm | Dc = 20% | Opt = 30%C | |||
| = 0.3 | Suction surfaces | ||||
| [167] | Shyy | = 4 kV | NACA 0022 | 2 | – |
| ∗ | = 1.5 mm | = 1 kHz | Chord = 15 cm | ||
| = 3 mm | DC = 35% | Opt = 0.002%C | |||
| = 7.1–21.4 | Suction surfaces | ||||
| [169] | Shyy | = 6 kV | S-Blade | ≤1 | – |
| ∗ | = 10 mm | = 3 kHz | Opt = 50%C | ||
| = 20 mm | = 1 | Outer surfaces | |||
| [166] | S-H | = 20 kV | NACA 0021 | 2.4 | – |
| = m | = 14 kHz | Chord = 8.5 cm | |||
| = 3 mm | Opt = 0%C | ||||
| = 20 mm | |||||
| = 5 mm | Inner surfaces |
5.2.2. Experimental Investigations
- Summary of the achievements of DBD plasma actuators applied to VAWTs
- The successful implementation of PAs on VAWTs using phenomenological models (numerical methods) such as the Shyy and S-H models depended on several key factors, including the chordwise placement, actuation at particular azimuth angles, excitation parameters such as the applied voltage and frequency, tip speed ratio (TSR), and airfoil type. In VAWTs, optimum actuation timing (when the PAs are turned on/off based on the azimuth angle) is the key factor to enhance the WT performance. And as specified in Table 10 and Table 11, operating the actuators at specific angular positions, whether in numerical studies [163,165,170] or in experimental investigations [175,176], results in a net power gain after performing the corresponding energy assessment. These optimum angular positions were dependent on the tip speed ratio (TSR) and airfoil type.
- In numerical simulations, a parametric study was conducted to find the optimum chordwise placement [163,165,167,169], and it was found to depend on the TSR and airfoil type. The actuators achieved a successful performance when placed between the leading edge (0%C) to 30%C in all laboratory-scale Darrieus-WTs. In contrast, for the Savonius WT (S-blade), the optimum placement was identified at the middle of the blade. None of the reviewed studies examined the upstream and downstream separation points in the baseline case. Regardless of the boundary layer separation point, operating the actuators near the leading edge and on the inner surface (suction surface) of the blades in both the downwind, and upwind regions was found to be beneficial in both numerical and experimental investigations.
- Owing to its simplicity, most of the numerical studies used the Shyy model. In the Shyy model, several parameters, including the discharge time ( = m), distance between the electrodes (0.25 mm), charge of the electron ( = 1.602 × ), and the net charge density (1), are held constant, while voltage and frequency are treated as variable parameters. An increase in the applied voltage leads to an expansion of the plasma region; consequently the PA based on the Shyy model is voltage-dependent.
6. Conclusions
| An overview of the present study | |||
| Actuators | Principle | Effective parameters | Application |
| PA | EHD | -Single and multiple location | -Flat plate |
| -Gap between the electrodes | -Airfoil | ||
| -Encapsulated electrode’s length | -HAWTs | ||
| -DBD permittivity | -VAWTs | ||
| -Duty cycle (Dc) and | |||
| S-PA | EHD | -DC voltage (+/−) | -Flat plate |
| -AC voltage | |||
| -Periodic frequency | |||
| D-PA | Pressure wave | - | -Flat plate |
| - | |||
| -DBD permittivity | |||
| -DC voltage | |||
| -Actuator’s design | |||
| P-PA | Pressure wave | -Rise time | -Airfoil |
| -Pulse width | |||
| -DC voltage | |||
| A-PA | Pressure wave | Pulsating frequency | -Airfoil |
| -Pulse width | |||
| -AC voltage | |||
| PS-PA | Pressure wave | -Pulsating frequency | -Flat plate |
| -DC voltage | |||
- In PAs (typical), the DBD thickness and permittivity, geometry of exposed electrodes and length of the encapsulated electrode significantly influence the plasma actuator efficiency. At high applied voltages, materials with lower permittivity demonstrated superior discharge efficiency, while at lower voltages, materials with higher permittivity provided more favorable performance. Interestingly, at high voltages, the thickest DBD produced the highest velocity. This indicates that both the choice of material and the DBD thickness play an important role in overall performance. Moreover, when the gap between the electrodes exceeded a determined threshold, the electric field was reduced. To maximize the effect of the PAs on airfoils and WTs, a parametric study focused on evaluating a range of applied voltages, frequencies, and chordwise locations, in both single and multiple configurations, proved to be effective [115,119,146,163,165].
- Applying the D-PA on flat plates effectively reduced drag at high wind speeds by producing a spanwise near-wall flow that suppressed streak lift-up. The degree of the drag reduction highly depended on two parameters, , which characterizes the number of viscous wall units, and , which represents the level of spanwise plasma-induced flow required relative to the local friction velocity. The optimal value of both parameters ( and ) varies depending on DC applied voltage.
- In P-PAs, the deposited energy was the key metric for characterizing nanosecond pulsed, and pressure wave intensity was directly correlated with the amplitude of the deposited energy. Reducing the rise time of the pulse enhanced the pressure wave due to faster energy deposition.
- Optimization of typical plasma actuators, whether operating in periodic or pulsating modes and/or in A-PAs, and with the focus on enhancing performance and reducing power consumption of the actuators, depended critically on the proper selection of the non-dimensional frequency in VAWTs [173], HAWTs [147,156], and on the shape of the airfoils [141,142].
- The comparison between the typical PAs and nanosecond DC pulsed actuators, such as D-PA on flat plates or P-PA on airfoils, serves to highlight the latter’s strengths. The typical plasma actuators (PA) are efficient and reliable at low to moderate wind speeds; however, their influence weakens at higher speeds. In contrast, nanosecond plasma actuators maintain strong control authority at high wind speeds and can effectively energize the boundary layer, making them particularly suitable for stall suppression at high angles of attack [101,137]. A particularly beneficial effect was observed in nanosecond AC-pulsed actuators [134,140,141]. To maximize the effect of these actuators, it is necessary to study the pulse width, rise/fall times, and the influence of these parameters on the deposited energy.
- Dielectric material choices such as Macor, ceramic, Teflon, and polyamide have influence on the operation of the actuator and thus need to be properly chosen before incorporating them into the plasma actuator design. In most of the published papers, polyamide was the material used due to its high dielectric strength and permittivity, as demonstrated by [178,179,180]. Furthermore, various types of Kapton (polyamide), including HN, MT, and other types, offer distinct electrical and mechanical properties that can affect the performance of DBD plasma actuators [181,182]. Furthermore, mica exhibited stable dielectric characteristics (electrical properties) that are resistant to arcing under ionized air conditions [99,101].
- In both VAWTs and HAWTs, a parametric study to implement the PAs in multiple locations, regardless of the separation point and under static and dynamic pitching state AoA, can significantly enhance the aerodynamic performance of the WTs. According to the numerical investigation conducted on large horizontal-axis wind turbines, activating the actuators around the mid-span region of the blade yielded greater aerodynamic benefits than actuating them near the hub. Moreover, numerical redesign of large horizontal-axis wind turbines to incorporate plasma actuators (PAs) with auxiliary devices—particularly near the blade tip—significantly reduced the damage-equivalent loads and improved the levelized cost of energy, especially at inflow velocities lower than rated speed m/s [149,152,154]. The performance of the actuators on vertical axis wind turbines was strongly influenced by factors such as chordwise placement (which varies with tip speed ratio and airfoil type), azimuthal actuation timing, and excitation parameters like voltage and frequency. From these, the precise timing of actuation relative to the azimuth angle proved to be the most crucial for enhancing turbine efficiency.
Author Contributions
Funding
Institutional Review Board Statement
Informed Consent Statement
Data Availability Statement
Conflicts of Interest
References
- Nia, B.B.; Ja’fari, M.; Ranjbar, A.R.; Jaworski, A.J. Passive control of boundary layer flow separation on a wind turbine airfoil using vortex generators and slot. Ocean Eng. 2023, 283, 115170. [Google Scholar]
- Zhang, Y.; Zhao, M.; Zhang, M. Research on the aerodynamic performance of the wind turbine blades with leading-edge protuberances. Ocean Eng. 2023, 280, 114615. [Google Scholar] [CrossRef]
- Moon, H.; Jeong, J.; Park, S.; Ha, K.; Jeong, J.H. Numerical and experimental validation of vortex generator effect on power performance improvement in MW-class wind turbine blade. Renew. Energy 2023, 212, 443–454. [Google Scholar] [CrossRef]
- Hu, J.; Ye, X.; Wu, Y.; Li, C. On lift enhancement and noise reduction in serrated gurney flap airfoil of wind turbines using proper orthogonal decomposition. Ocean Eng. 2023, 287, 115706. [Google Scholar] [CrossRef]
- Zhang, T.t.; Elsakka, M.; Huang, W.; Wang, Z.g.; Ingham, D.B.; Ma, L.; Pourkashanian, M. Winglet design for vertical axis wind turbines based on a design of experiment and CFD approach. Energy Convers. Manag. 2019, 195, 712–726. [Google Scholar] [CrossRef]
- Li, Y.; Wang, H.; Wu, Z. Aerodynamic characteristic of wind turbine with the leading edge slat and Microtab. Sustain. Energy Technol. Assess. 2022, 52, 101957. [Google Scholar] [CrossRef]
- Sreejith, B.; Sathyabhama, A. Numerical study on effect of boundary layer trips on aerodynamic performance of E216 airfoil. Eng. Sci. Technol. Int. J. 2018, 21, 77–88. [Google Scholar] [CrossRef]
- Sedighi, H.; Akbarzadeh, P.; Salavatipour, A. Aerodynamic performance enhancement of horizontal axis wind turbines by dimples on blades: Numerical investigation. Energy 2020, 195, 117056. [Google Scholar] [CrossRef]
- Pechlivanoglou, G. Passive and Active flow Control Solutions for Wind Turbine Blades. Doctor Thesis, Technische Universität Berlin, Berlin, Germany, 2013. [Google Scholar]
- Cattafesta, L.N., III; Sheplak, M. Actuators for active flow control. Annu. Rev. Fluid Mech. 2011, 43, 247–272. [Google Scholar] [CrossRef]
- De Giorgi, M.; De Luca, C.; Ficarella, A.; Marra, F. Comparison between synthetic jets and continuous jets for active flow control: Application on a NACA 0015 and a compressor stator cascade. Aerosp. Sci. Technol. 2015, 43, 256–280. [Google Scholar] [CrossRef]
- Subedi, D.P.; Joshi, U.M.; Wong, C.S. Dielectric barrier discharge (DBD) plasmas and their applications. In Plasma Science and Technology for Emerging Economies: An AAAPT Experience; Springer: Berlin/Heidelberg, Germany, 2017; pp. 693–737. [Google Scholar]
- Wang, J.J.; Choi, K.S.; Feng, L.H.; Jukes, T.N.; Whalley, R.D. Recent developments in DBD plasma flow control. Prog. Aerosp. Sci. 2013, 62, 52–78. [Google Scholar] [CrossRef]
- Corke, T.C.; Enloe, C.L.; Wilkinson, S.P. Dielectric barrier discharge plasma actuators for flow control. Annu. Rev. Fluid Mech. 2010, 42, 505–529. [Google Scholar] [CrossRef]
- Thomas, F.O.; Corke, T.C.; Iqbal, M.; Kozlov, A.; Schatzman, D. Optimization of dielectric barrier discharge plasma actuators for active aerodynamic flow control. AIAA J. 2009, 47, 2169–2178. [Google Scholar] [CrossRef]
- Corke, T.; Cavalieri, D.; Matlis, E. Boundary-layer instability on sharp cone at Mach 3.5 with controlled input. AIAA J. 2002, 40, 1015–1018. [Google Scholar] [CrossRef]
- Hultgren, L.S.; Ashpis, D.E. Demonstration of separation control using dielectric barrier discharge plasma actuators. AIAA J. 2018, 56, 4614–4620. [Google Scholar] [CrossRef]
- Berendt, A.; Podliński, J.; Mizeraczyk, J. Multi-DBD plasma actuator for flow separation control around NACA 0012 and NACA 0015 airfoil models. Prz. Elektrotech. 2012, 8, 18–21. [Google Scholar]
- Pendar, M.R.; Páscoa, J.C. Numerical investigation of plasma actuator effects on flow control over a three-dimensional airfoil with a sinusoidal leading edge. J. Fluids Eng. 2022, 144, 081208. [Google Scholar] [CrossRef]
- Saemian, M.; Bergadà, J.M. Active flow control actuators on wind turbines; comprehensive review. Ocean Eng. 2025, 339, 121991. [Google Scholar] [CrossRef]
- Wang, J.; Feng, L. Flow Control Techniques and Applications; Cambridge University Press: Cambridge, UK, 2019. [Google Scholar]
- Rodrigues, F.; Abdollahzadehsangroudi, M.; Nunes-Pereira, J.; Páscoa, J. Recent developments on dielectric barrier discharge (DBD) plasma actuators for icing mitigation. Actuators 2022, 12, 5. [Google Scholar] [CrossRef]
- Karthikeyan, K.; Harish, R. Advancements in flow control using plasma actuators: A comprehensive review. Eng. Res. Express 2025, 7, 012502. [Google Scholar] [CrossRef]
- Omidi, J. Advances and opportunities in wind energy harvesting using plasma actuators: A review. Clean Energy 2024, 8, 197–225. [Google Scholar] [CrossRef]
- Sato, S.; Ohnishi, N. Role of surface discharge dynamics in the generation of electrohydrodynamic force: Toward performance improvement of dielectric barrier discharge plasma actuators. J. Phys. D Appl. Phys. 2025, 58, 143002. [Google Scholar] [CrossRef]
- Corke, T.C.; Post, M.L.; Orlov, D.M. SDBD plasma enhanced aerodynamics: Concepts, optimization and applications. Prog. Aerosp. Sci. 2007, 43, 193–217. [Google Scholar] [CrossRef]
- Falkenstein, Z.; Coogan, J.J. Microdischarge behaviour in the silent discharge of nitrogen-oxygen and water-air mixtures. J. Phys. D Appl. Phys. 1997, 30, 817. [Google Scholar] [CrossRef]
- Orlov, D.M.; Font, G.I.; Edelstein, D. Characterization of discharge modes of plasma actuators. AIAA J. 2008, 46, 3142–3148. [Google Scholar] [CrossRef]
- Brandenburg, R. Dielectric barrier discharges: Progress on plasma sources and on the understanding of regimes and single filaments. Plasma Sources Sci. Technol. 2017, 26, 053001. [Google Scholar] [CrossRef]
- Zhang, X.; Li, J. Advancements and challenges of high-speed active flow control: Plasma actuators. Int. J. Heat Mass Transf. 2025, 252, 127481. [Google Scholar] [CrossRef]
- Little, J.; Takashima, K.; Nishihara, M.; Adamovich, I.; Samimy, M. Separation control with nanosecond-pulse-driven dielectric barrier discharge plasma actuators. AIAA J. 2012, 50, 350–365. [Google Scholar] [CrossRef]
- Little, J.; Takashima, K.; Nishihara, M.; Adamovich, I.; Samimy, M. High lift airfoil leading edge separation control with nanosecond pulse DBD plasma actuators. In Proceedings of the 5th Flow Control Conference, Chicago, IL, USA, 28 June–1 July 2010; p. 4256. [Google Scholar]
- Kosinov, A.; Maslov, A.; Shevelkov, S. Experiments on the stability of supersonic laminar boundary layers. J. Fluid Mech. 1990, 219, 621–633. [Google Scholar] [CrossRef]
- Cavalieri, D.A. On the Experimental Design for Instability Analysis on a Cone at Mach 3.5 and 6.0 Using a Corona Discharge Perturbation Method. Ph.D. Thesis, Illinois Institute of Technology, Chicago, IL, USA, 1995. [Google Scholar]
- Corke, T.; Cavalieri, D.; Corke, T.; Cavalieri, D. Controlled experiments on instabilities and transition to turbulence in supersonic boundary layers. In Proceedings of the 28th Fluid Dynamics Conference, Snowmass Village, CO, USA, 29 June–2 July 1817; p. 1817. [Google Scholar]
- Go, D.B.; Pohlman, D.A. A mathematical model of the modified Paschen’s curve for breakdown in microscale gaps. J. Appl. Phys. 2010, 107, 103303. [Google Scholar] [CrossRef]
- Jayaraman, B.; Shyy, W. Modeling of dielectric barrier discharge-induced fluid dynamics and heat transfer. Prog. Aerosp. Sci. 2008, 44, 139–191. [Google Scholar] [CrossRef]
- Shyy, W.; Jayaraman, B.; Andersson, A. Modeling of glow discharge-induced fluid dynamics. J. Appl. Phys. 2002, 92, 6434–6443. [Google Scholar] [CrossRef]
- Suzen, Y.; Huang, G. Simulations of flow separation control using plasma actuators. In Proceedings of the 44th AIAA Aerospace Sciences Meeting and Exhibit, Reno, NV, USA, 9–12 January 2006; p. 877. [Google Scholar]
- Suzen, Y.; Huang, G.; Jacob, J.; Ashpis, D. Numerical simulations of plasma based flow control applications. In Proceedings of the 35th AIAA Fluid Dynamics Conference and Exhibit, Ontario, ON, Canada, 6–9 June 2005; p. 4633. [Google Scholar]
- Orlov, D.M. Modelling and Simulation of Single Dielectric Barrier Discharge Plasma Actuators. Ph.D. Thesis, University of Notre Dame, Notre Dame, IN, USA, 2006. [Google Scholar]
- Poggie, J.; Adamovich, I.; Bisek, N.; Nishihara, M. Numerical simulation of nanosecond-pulse electrical discharges. Plasma Sources Sci. Technol. 2012, 22, 015001. [Google Scholar] [CrossRef]
- Huang, P.; Shang, J.; Stanfield, S. Periodic electrodynamic field of dielectric barrier discharge. AIAA J. 2011, 49, 119–127. [Google Scholar] [CrossRef]
- Font, G.I. Boundary layer control with atmospheric plasma discharges. AIAA J. 2006, 44, 1572–1578. [Google Scholar] [CrossRef]
- Font, G.; Morgan, W. Plasma discharges in atmospheric pressure oxygen for boundary layer separation control. In Proceedings of the 35th AIAA Fluid Dynamics Conference and Exhibit, Ontario, ON, Canada, 6–9 June 2005; p. 4632. [Google Scholar]
- Bird, G.A. Monte Carlo simulation of gas flows. Annu. Rev. Fluid Mech. 1978, 10, 11–31. [Google Scholar] [CrossRef]
- Belenguer, P.; Boeuf, J. Transition between different regimes of rf glow discharges. Phys. Rev. A 1990, 41, 4447. [Google Scholar] [CrossRef] [PubMed]
- Surendra, M.; Graves, D.B. Particle simulations of radio-frequency glow discharges. IEEE Trans. Plasma Sci. 2002, 19, 144–157. [Google Scholar] [CrossRef]
- Fiala, A.; Pitchford, L.; Boeuf, J. Two-dimensional, hybrid model of low-pressure glow discharges. Phys. Rev. E 1994, 49, 5607. [Google Scholar] [CrossRef]
- Grundmann, S.; Klumpp, S.; Tropea, C. Experimental and numerical investigations of boundary-layer influence using plasma-actuators. In Proceedings of the Active Flow Control: Papers contributed to the Conference “Active Flow Control 2006”, Berlin, Germany, 27–29 September 2006; Springer: Berlin/Heidelberg, Germany, 2007; pp. 56–68. [Google Scholar]
- Yoon, J.S.; Han, J.H. Semiempirical thrust model of dielectric barrier plasma actuator for flow control. J. Aerosp. Eng. 2015, 28, 04014041. [Google Scholar] [CrossRef]
- Suzen, Y.; Huang, G.; Ashpis, D. Numerical simulations of flow separation control in low-pressure turbines using plasma actuators. In Proceedings of the 45th AIAA Aerospace Sciences Meeting and Exhibit, Reno, NV, USA, 8–11 January 2007; p. 937. [Google Scholar]
- Orlov, D.; Corke, T.; Patel, M. Electric circuit model for aerodynamic plasma actuator. In Proceedings of the 44th AIAA Aerospace Sciences Meeting and Exhibit, Reno, NV, USA, 9–12 January 2006; p. 1206. [Google Scholar]
- Omidi, J.; Mazaheri, K. Improving the performance of a numerical model to simulate the EHD interaction effect induced by dielectric barrier discharge. Int. J. Heat Fluid Flow 2017, 67, 79–94. [Google Scholar] [CrossRef]
- Enloe, C.; McLaughlin, T.E.; VanDyken, R.D.; Kachner, K.; Jumper, E.J.; Corke, T.C. Mechanisms and responses of a single dielectric barrier plasma actuator: Plasma morphology. AIAA J. 2004, 42, 589–594. [Google Scholar] [CrossRef]
- Roth, J. Electrohydrodynamically induced airflow in a one atmosphere uniform glow discharge surface plasma. In Proceedings of the 25th Anniversary, IEEE Conference Record-Abstracts, 1998 IEEE International Conference on Plasma Science (Cat. No. 98CH36221), Raleigh, NC, USA, 1–4 June 1998; p. 291. [Google Scholar]
- Laufer, J.; Vrebalovich, T. Stability and transition of a supersonic laminar boundary layer on an insulated flat plate. J. Fluid Mech. 1960, 9, 257–299. [Google Scholar] [CrossRef]
- Kendall, J.M. Wind tunnel experiments relating to supersonic and hypersonic boundary-layer transition. AIAA J. 1975, 13, 290–299. [Google Scholar] [CrossRef]
- Stetson, K.F. Shock tunnel investigation of boundary-layer transition at M = 5.5. AIAA J. 1967, 5, 899–906. [Google Scholar]
- Stetson, K.; Thompson, E.; Donaldson, J.; Siler, L. Laminar boundary layer stability experiments on a cone at Mach 8. V-Tests with a cooled model. In Proceedings of the 20th Fluid Dynamics, Plasma Dynamics and Lasers Conference, Buffalo, NY, USA, 12–14 June 1989; p. 1895. [Google Scholar]
- Stetson, K.; Thompson, E.; Donaldson, J.; Siler, L. Laminar boundary layer stability experiments on a cone at Mach 8. IV-On unit Reynolds number and environmental effects. In Proceedings of the 4th Joint Fluid Mechanics, Plasma Dynamics and Lasers Conference, Atlanta, GA, USA, 12–14 May 1986; p. 1087. [Google Scholar]
- Skramstad, H. Laminar-Boundary-Layer Oscillations and Transition on a Flat Plate; Technical Report; National Advisory Committee for Aeronautics: Washington, DC, USA, 1943. [Google Scholar]
- Corke, T.; Mangano, R. Resonant growth of three-dimensional modes in trnsitioning Blasius boundary layers. J. Fluid Mech. 1989, 209, 93–150. [Google Scholar] [CrossRef]
- Kogelschatz, U.; Eliasson, B.; Egli, W. Dielectric-barrier discharges. Principle and applications. J. Phys. IV 1997, 7, C4-47–C4-66. [Google Scholar] [CrossRef]
- Roth, J.R. Aerodynamic flow acceleration using paraelectric and peristaltic electrohydrodynamic effects of a one atmosphere uniform glow discharge plasma. Phys. Plasmas 2003, 10, 2117–2126. [Google Scholar] [CrossRef]
- Roth, J.; Sherman, D.; Wilkinson, S. Boundary layer flow control with a one atmosphere uniform glow discharge surface plasma. In Proceedings of the 36th AIAA Aerospace Sciences Meeting and Exhibit, Reno, NV, USA, 12–15 January 1998; p. 328. [Google Scholar]
- Corke, T.; Jumper, E.; Post, M.; Orlov, D.; McLaughlin, T. Application of weakly-ionized plasmas as wing flow-control devices. In Proceedings of the 40th AIAA Aerospace Sciences Meeting & Exhibit, Reno, NV, USA, 14–17 January 2002; p. 350. [Google Scholar]
- Jayaraman, B.; Thakur, S.; Shyy, W. Modeling of fluid dynamics and heat transfer induced by dielectric barrier plasma actuator. J. Heat Transfer. 2007, 129, 517–525. [Google Scholar] [CrossRef]
- Enloe, C.; McLaughlin, T.; Van Dyken, R.; Fischer, J. Plasma structure in the aerodynamic plasma actuator. In Proceedings of the 42nd AIAA Aerospace Sciences Meeting and Exhibit, Reno, NV, USA, 5–8 January 2004; p. 844. [Google Scholar]
- Post, M.L.; Corke, T.C. Separation control using plasma actuators: Dynamic stall vortex control on oscillating airfoil. AIAA J. 2006, 44, 3125–3135. [Google Scholar] [CrossRef]
- Thompson, R.; Moeller, T. Numerical investigations of plasma actuator lorentz body forces. In Proceedings of the 50th AIAA Aerospace Sciences Meeting including the New Horizons Forum and Aerospace Exposition, Nashville, TN, USA, 9–12 January 2010; p. 1032. [Google Scholar]
- Forte, M.; Jolibois, J.; Moreau, E.; Touchard, G.; Cazalens, M. Optimization of a Dielectric Barrier Discharge Actuator by Stattionary and Non-stationary Measurements of the Induced Flow Velocity-Application to Airflow Control. In Proceedings of the 3rd AIAA Flow Control Conference, San Francisco, CA, USA, 5–8 June 2006; p. 2863. [Google Scholar]
- Seraudie, A.; Aubert, E.; Naudé, N.; Cambronne, J. Effect of plasma actuators on a flat plate laminar boundary layer in subsonic conditions. In Proceedings of the 3rd AIAA Flow Control Conference, San Francisco, CA, USA, 5–8 June 2006; p. 3350. [Google Scholar]
- Yu, J.; Liu, H.; Xu, D.; Chen, F. Investigation of the DBD plasma effect on flat plate flow. Plasma Sci. Technol. 2014, 16, 197. [Google Scholar] [CrossRef]
- Yu, J.; Liu, H.; Wang, R.; Chen, F. Numerical study of the flow structures in flat plate and the wall-mounted hump induced by the unsteady DBD plasma. Plasma Sci. Technol. 2016, 19, 015502. [Google Scholar] [CrossRef][Green Version]
- Al-Sadawi, L.; Chong, T.P.; Kim, J.H. Aerodynamic noise reduction by plasma actuators for a flat plate with blunt trailing edge. J. Sound Vib. 2019, 439, 173–193. [Google Scholar] [CrossRef]
- Nati, G.; Kotsonis, M.; Ghaemi, S.; Scarano, F. Control of vortex shedding from a blunt trailing edge using plasma actuators. Exp. Therm. Fluid Sci. 2013, 46, 199–210. [Google Scholar] [CrossRef]
- Yan, X.; Zhang, Y.; Li, Y. Noise control of blunt flat-plate using slit and dielectric barrier discharge Plasma. AIAA J. 2024, 62, 2574–2588. [Google Scholar] [CrossRef]
- Cheng, X.; Wong, C.; Hussain, F.; Schröder, W.; Zhou, Y. Flat plate drag reduction using plasma-generated streamwise vortices. J. Fluid Mech. 2021, 918, A24. [Google Scholar] [CrossRef]
- Wei, X.; Zhou, Y. Scaling of drag reduction in a turbulent boundary layer based on plasma-generated streamwise vortices. In Proceedings of the 13th International Symposium on Turbulence Shear Flow Phenomena (TSFP13), Montréal, QC, Canada, 25–28 June 2024; pp. 25–28. [Google Scholar]
- Arad, B.; Gazit, Y.; Ludmirsky, A. A sliding discharge device for producing cylindrical shock waves. J. Phys. D Appl. Phys. 1987, 20, 360. [Google Scholar] [CrossRef]
- Bayoda, K.; Benard, N.; Moreau, E. Nanosecond pulsed sliding dielectric barrier discharge plasma actuator for airflow control: Electrical, optical, and mechanical characteristics. J. Appl. Phys. 2015, 118, 063301. [Google Scholar] [CrossRef]
- Chen, F.F. Introduction to Plasma Physics and Controlled Fusion; Springer: Berlin/Heidelberg, Germany, 1984; Volume 1. [Google Scholar]
- Moreau, E.; Sosa, R.; Artana, G. Electric wind produced by surface plasma actuators: A new dielectric barrier discharge based on a three-electrode geometry. J. Phys. D Appl. Phys. 2008, 41, 115204. [Google Scholar] [CrossRef]
- Lin, N.; Reed, H.L.; Saric, W. Effect of leading-edge geometry on boundary-layer receptivity to freestream sound. In Instability, Transition, and Turbulence; Springer: Berlin/Heidelberg, Germany, 1992; pp. 421–440. [Google Scholar]
- Guo, Y.; Li, Z.; Chen, K.; Geng, X. Experimental investigation of the dynamic characteristics of the flow generated by a sliding dielectric barrier discharge in the flat plate boundary layer flow. Phys. Fluids 2023, 35, 017105. [Google Scholar] [CrossRef]
- Chen, K.; Geng, X.; Shi, Z.; Cheng, K.; Cui, H. Experimental investigation of influence of sliding discharge DBD plasma on low-speed boundary layer. AIP Adv. 2020, 10, 035108. [Google Scholar] [CrossRef]
- Louste, C.; Artana, G.; Moreau, E.; Touchard, G. Sliding discharge in air at atmospheric pressure: Electrical properties. J. Electrost. 2005, 63, 615–620. [Google Scholar] [CrossRef]
- Moreau, E.; Louste, C.; Touchard, G. Electric wind induced by sliding discharge in air at atmospheric pressure. J. Electrost. 2008, 66, 107–114. [Google Scholar] [CrossRef]
- Seney, S.D.; Huffman, R.E.; Bailey, W.; Liu, D.; Reeder, M.F.; Stults, J. Improving performance of a sliding dielectric barrier discharge actuator using multiple potentials. AIAA J. 2016, 54, 3316–3319. [Google Scholar] [CrossRef]
- Zheng, B.; Xue, M.; Ke, X.; Ge, C.; Wang, Y.; Liu, F.; Luo, S. Unsteady vortex structure induced by a trielectrode sliding discharge plasma actuator. AIAA J. 2019, 57, 467–471. [Google Scholar] [CrossRef]
- Song, H.; Li, Y.; Zhang, Q.; Jia, M.; Wu, Y. Experimental investigation on the characteristics of sliding discharge plasma aerodynamic actuation. Plasma Sci. Technol. 2011, 13, 608. [Google Scholar] [CrossRef]
- Bayoda, K.D.; Bénard, N.; Moreau, E. Elongating the area of plasma/fluid interaction of surface nanosecond pulsed discharges. J. Electrost. 2015, 74, 79–84. [Google Scholar] [CrossRef]
- Kline, S.J.; Reynolds, W.C.; Schraub, F.A.; Runstadler, P.W. The structure of turbulent boundary layers. J. Fluid Mech. 1967, 30, 741–773. [Google Scholar] [CrossRef]
- Corke, T.C.; Thomas, F.O. Active and passive turbulent boundary-layer drag reduction. AIAA J. 2018, 56, 3835–3847. [Google Scholar] [CrossRef]
- Wilkinson, S.P. Investigation of an oscillating surface plasma for turbulent drag reduction. In Proceedings of the 41st Aerospace Sciences Meeting and Exhibit, Reno, NV, USA, 6–9 January 2003. number AIAA Paper 2003-1023. [Google Scholar]
- McGowan, R.; Corke, T.C.; Matlis, E.H.; Kaszeta, R.; Gold, C. Pulsed-DC plasma actuator characteristics and application in compressor stall control. In Proceedings of the 54th AIAA Aerospace Sciences Meeting, San Diego, CA, USA, 4–8 January 2016; p. 0394. [Google Scholar]
- Duong, A.; Midya, S.; Corke, T.; Hussain, F.; Thomas, F. Turbulent boundary layer drag reduction using pulsed-dc plasma actuation. In Proceedings of the 11th International Symposium on Turbulence and Shear Flow Phenomena (TSFP11), Southampton, UK, 30 July–2 August 2019. [Google Scholar]
- Thomas, F.; Corke, T.; Duong, A.; Midya, S.; Yates, K. Turbulent drag reduction using pulsed-DC plasma actuation. J. Phys. D Appl. Phys. 2019, 52, 434001. [Google Scholar] [CrossRef]
- Duong, A.H.; Corke, T.C.; Thomas, F.O. Characteristics of drag-reduced turbulent boundary layers with pulsed-direct-current plasma actuation. J. Fluid Mech. 2021, 915, A113. [Google Scholar] [CrossRef]
- Meyers, A.; Duong, A.; Corke, T.C.; Thomas, F.O. Characterizing turbulent boundary layer response and recovery to buffer region spanwise blowing. J. Fluid Mech. 2025, 1016, A26. [Google Scholar] [CrossRef]
- Ebrahimi, A.; Hajipour, M. Flow separation control over an airfoil using dual excitation of DBD plasma actuators. Aerosp. Sci. Technol. 2018, 79, 658–668. [Google Scholar] [CrossRef]
- De Giorgi, M.G.; Motta, V.; Suma, A. Influence of actuation parameters of multi-DBD plasma actuators on the static and dynamic behaviour of an airfoil in unsteady flow. Aerosp. Sci. Technol. 2020, 96, 105587. [Google Scholar] [CrossRef]
- Karthikeyan, K.; Harish, R. Enhanced Aerodynamic Performance of NACA4412 Airfoil Through Integrated Plasma Actuator and Gurney Flap Flow Control. Results Eng. 2025, 25, 103977. [Google Scholar] [CrossRef]
- Xu, J.; Zhao, J.; Chang, J. Effect of Different Voltage Frequencies of Plasma Actuators on Wind Turbine Blade Lift and Rudder Efficiency. Processes 2025, 13, 1032. [Google Scholar] [CrossRef]
- Fukumoto, H.; Aono, H.; Watanabe, T.; Tanaka, M.; Matsuda, H.; Osako, T.; Nonomura, T.; Oyama, A.; Fujii, K. Control of dynamic flowfield around a pitching NACA633- 618 airfoil by a DBD plasma actuator. Int. J. Heat Fluid Flow 2016, 62, 10–23. [Google Scholar] [CrossRef]
- Guoqiang, L.; Shihe, Y. Large eddy simulation of dynamic stall flow control for wind turbine airfoil using plasma actuator. Energy 2020, 212, 118753. [Google Scholar] [CrossRef]
- Fadaei, M.; Davari, A.R.; Sabetghadam, F.; Soltani, M.R. Enhancement of a horizontal axis wind turbine airfoil performance using single dielectric barrier discharge plasma actuator. Proc. Inst. Mech. Eng. Part A J. Power Energy 2021, 235, 476–493. [Google Scholar] [CrossRef]
- Fadaei, M.; Davari, A.R.; Sabetghadam, F. Genetic algorithm optimization of a horizontal axis wind turbine blade section performance equipped with a single dielectric barrier discharge plasma actuator utilizing a direct regression model. Proc. Inst. Mech. Eng. Part C J. Mech. Eng. Sci. 2022, 236, 10456–10469. [Google Scholar] [CrossRef]
- Omidi, J.; Mazaheri, K. Differential evolution algorithm for performance optimization of the micro plasma actuator as a microelectromechanical system. Sci. Rep. 2020, 10, 18865. [Google Scholar] [CrossRef]
- Mazaheri, K.; Omidi, J.; Kiani, K. Simulation of DBD plasma actuator effect on aerodynamic performance improvement using a modified phenomenological model. Comput. Fluids 2016, 140, 371–384. [Google Scholar] [CrossRef]
- Omidi, J.; Mazaheri, K. Micro-plasma actuator mechanisms in interaction with fluid flow for wind energy applications: Physical parameters. Phys. Fluids 2020, 32, 077107. [Google Scholar] [CrossRef]
- Guoqiang, L.; Weiguo, Z.; Yubiao, J.; Pengyu, Y. Experimental investigation of dynamic stall flow control for wind turbine airfoils using a plasma actuator. Energy 2019, 185, 90–101. [Google Scholar] [CrossRef]
- Patel, M.P.; Vasudevan, S.; Nelson, R.C.; Corke, T.C. Plasma Aerodynamic Control Effectors for Improved Wind Turbine Performance; Technical Report; Orbital Research Inc.: Cleveland, OH, USA, 2008. [Google Scholar]
- Nesij, Ü.; Yahya, Ö.; Ünal, E.A.; Oktay, T. Enhancing aerodynamic performance of a two-dimensional airfoil using plasma actuators. Aerosp. Sci. Technol. 2025, 158, 109882. [Google Scholar]
- Walker, S.; Segawa, T. Mitigation of flow separation using DBD plasma actuators on airfoils: A tool for more efficient wind turbine operation. Renew. Energy 2012, 42, 105–110. [Google Scholar] [CrossRef]
- Joseph, P.; Leroy, A.; Baleriola, S.; Nelson-Gruel, D.; Haidous, Y.; Loyer, S.; Devinant, P.; AUBRUN, S. Circulation control using surface plasma actuators for aerodynamic load alleviation on wind turbine airfoils. In Proceedings of the 23ème Congrès Français de Mécanique, Lille, France, 28 August–1 September 2017. [Google Scholar]
- Brownstein, I.D.; Szlatenyi, C.; Breuer, K.S. Enhanced aerodynamic performance of a wind turbine airfoil section using plasma actuation. In Proceedings of the 52nd Aerospace Sciences Meeting, National Harbor, MD, USA, 13–17 January 2014; p. 1244. [Google Scholar]
- Karadag, B.; Kolbakir, C.; Durna, A.S. Plasma actuation effect on a NACA 4412 airfoil. Aircr. Eng. Aerosp. Technol. 2021, 93, 1610–1615. [Google Scholar] [CrossRef]
- Suzuki, K.; Komuro, A.; Sato, S.; Sakurai, M.; Mitsuhashi, K.; Sekiya, N.; Watanabe, Y.; Kanagawa, K.; Ando, A. Development of small high-voltage AC power supply for a dielectric barrier discharge plasma actuator. Rev. Sci. Instrum. 2021, 92, 024707. [Google Scholar] [CrossRef] [PubMed]
- Gnapowski, E.; Pytka, J.; Gnapowski, S.; Józwik, J.; Tomiło, P. Application of Plasma Actuator with Two Mesh Electrodes to Active Control of Boundary Layer at 50 Hz Power Supply. Adv. Sci. Technol. Res. J. 2023, 17, 58–63. [Google Scholar] [CrossRef]
- Sekimoto, S.; Nonomura, T.; Fujii, K. Burst-mode frequency effects of dielectric barrier discharge plasma actuator for separation control. AIAA J. 2017, 55, 1385–1392. [Google Scholar] [CrossRef]
- Okazaki, S.; Kogoma, M.; Uehara, M.; Kimura, Y. Appearance of stable glow discharge in air, argon, oxygen and nitrogen at atmospheric pressure using a 50 Hz source. J. Phys. D Appl. Phys. 1993, 26, 889. [Google Scholar] [CrossRef]
- Massines, F.; Rabehi, A.; Decomps, P.; Gadri, R.B.; Ségur, P.; Mayoux, C. Experimental and theoretical study of a glow discharge at atmospheric pressure controlled by dielectric barrier. J. Appl. Phys. 1998, 83, 2950–2957. [Google Scholar] [CrossRef]
- Roupassov, D.; Starikovskii, A.; Nikipelov, A.; Nudnova, M. Boundary layer separation control by nanosecond plasma actuator. In Proceedings of the 44th AIAA/ASME/SAE/ASEE Joint Propulsion Conference & Exhibit, Hartford, CT, USA, 21–23 July 2008; p. 5067. [Google Scholar]
- Opaits, D.F. Dielectric Barrier Discharge Plasma Actuator for Flow Control; Princeton University: Princeton, NJ, USA, 2010. [Google Scholar]
- Roupassov, D.; Nikipelov, A.; Nudnova, M.; Starikovskii, A.Y. Flow separation control by plasma actuator with nanosecond pulsed-periodic discharge. AIAA J. 2009, 47, 168–185. [Google Scholar] [CrossRef]
- Ashpis, D.E.; Laun, M.C.; Griebeler, E.L. Progress toward accurate measurement of dielectric barrier discharge plasma actuator power. AIAA J. 2017, 55, 2254–2268. [Google Scholar] [CrossRef] [PubMed]
- Liu, Y.; Kolbakir, C.; Starikovskiy, A.Y.; Miles, R.; Hu, H. An experimental study on the thermal characteristics of NS-DBD plasma actuation and application for aircraft icing mitigation. Plasma Sources Sci. Technol. 2019, 28, 014001. [Google Scholar] [CrossRef]
- Zhang, C.; Huang, B.; Luo, Z.; Che, X.; Yan, P.; Shao, T. Atmospheric-pressure pulsed plasma actuators for flow control: Shock wave and vortex characteristics. Plasma Sources Sci. Technol. 2019, 28, 064001. [Google Scholar] [CrossRef]
- Takashima, K.; Zuzeek, Y.; Lempert, W.R.; Adamovich, I.V. Characterization of a surface dielectric barrier discharge plasma sustained by repetitive nanosecond pulses. Plasma Sources Sci. Technol. 2011, 20, 055009. [Google Scholar] [CrossRef]
- Benard, N.; Zouzou, N.; Claverie, A.; Sotton, J.; Moreau, E. Optical visualization and electrical characterization of fast-rising pulsed dielectric barrier discharge for airflow control applications. J. Appl. Phys. 2012, 111, 033303. [Google Scholar] [CrossRef]
- Correale, G.; Popov, I.; Rakitin, A.; Starikovskii, A.; Hulshoff, S.; Veldhuis, L. Flow separation control on airfoil with pulsed nanosecond discharge actuator. In Proceedings of the 49th AIAA Aerospace Sciences Meeting Including the New Horizons Forum and Aerospace Exposition, Orlando, FL, USA, 4–7 January 2011; p. 1079. [Google Scholar]
- Rethmel, C.; Little, J.; Takashima, K.; Sinha, A.; Adamovich, I.; Samimy, M. Flow separation control over an airfoil with nanosecond pulse driven DBD plasma actuators. In Proceedings of the 49th AIAA Aerospace Sciences Meeting Including the New Horizons Forum and Aerospace Exposition, Orlando, FL, USA, 4–7 January 2011; p. 487. [Google Scholar]
- Zhang, J.; Zhang, C.; Xu, X.; Huang, B.; Shao, T. A review of nanosecond pulsed surface dielectric barrier discharge actuators: Effect of electrical parameters and pressures. J. Electrost. 2025, 137, 104073. [Google Scholar] [CrossRef]
- Popov, I.; Hulshoff, S. Numerical investigation of instabilities in free shear layer produced by ns-DBD actuator. World Acad. Sci. Eng. Technol. 2012, 68, 1601–1609. [Google Scholar]
- Benard, N.; Moreau, E.; Zouzou, N.; Rabat, H.; Pons, J.; Hong, D.; Leroy-Chesneau, A.; Peschke, P.; Hollenstein, C. Nanosecond pulsed plasma actuators. ERCOFTAC Bull. 2013, 94, 11–16. [Google Scholar]
- Xie, Q.; Gan, W.; Zhang, C.; Che, X.; Yan, P.; Shao, T. Effect of rise time on nanosecond pulsed surface dielectric barrier discharge actuator. IEEE Trans. Dielectr. Electr. Insul. 2019, 26, 346–352. [Google Scholar] [CrossRef]
- Starikovskii, A.Y.; Nikipelov, A.; Nudnova, M.; Roupassov, D. SDBD plasma actuator with nanosecond pulse-periodic discharge. Plasma Sources Sci. Technol. 2009, 18, 034015. [Google Scholar] [CrossRef]
- Zheng, J.; Cui, Y.; Zhao, Z.; Li, J.; Khoo, B. Investigation of airfoil leading edge separation control with nanosecond plasma actuator. Phys. Rev. Fluids 2016, 1, 073501. [Google Scholar] [CrossRef]
- Kelley, C.L.; Bowles, P.O.; Cooney, J.; He, C.; Corke, T.C.; Osborne, B.A.; Silkey, J.S.; Zehnle, J. Leading-edge separation control using alternating-current and nanosecond-pulse plasma actuators. AIAA J. 2014, 52, 1871–1884. [Google Scholar] [CrossRef]
- Komuro, A.; Takashima, K.; Suzuki, K.; Kanno, S.; Nonomura, T.; Kaneko, T.; Ando, A.; Asai, K. Gas-heating phenomenon in a nanosecond pulse discharge in atmospheric-pressure air and its application for high-speed flow control. Plasma Sources Sci. Technol. 2018, 27, 104005. [Google Scholar] [CrossRef]
- Shahrbabaki, A.N.; Bazazzadeh, M.; Khoshkhoo, R. Investigation on supersonic flow control using nanosecond dielectric barrier discharge plasma actuators. Int. J. Aerosp. Eng. 2021, 2021, 2047162. [Google Scholar] [CrossRef]
- Chen, Z.; Hao, J.; Wen, C.Y. Control of supersonic compression corner flow using a plasma actuator. Phys. Fluids 2022, 34, 073605. [Google Scholar] [CrossRef]
- Ebrahimi, A.; Movahhedi, M. Power improvement of NREL 5-MW wind turbine using multi-DBD plasma actuators. Energy Convers. Manag. 2017, 146, 96–106. [Google Scholar] [CrossRef]
- Omidi, J.; Mazaheri, K. Aerodynamic enhancement and improving the performance of a six-megawatt DOWEC wind turbine by micro-plasma actuator. Int. J. Mech. Sci. 2021, 195, 106228. [Google Scholar] [CrossRef]
- Matsuda, H.; Tanaka, M.; Osako, T.; Yamazaki, K.; Shimura, N.; Asayama, M.; Oryu, Y. Plasma actuation effect on a MW class wind turbine. Int. J. Gas Turbine Propuls. Power Syst. 2017, 9, 47–52. [Google Scholar] [CrossRef] [PubMed]
- Hayman, G. MLife Theory Manual for Version 1.00; National Renewable Energy Laboratory: Golden, CO, USA, 2012; Volume 74, p. 106. [Google Scholar]
- Govindan, S.s.; Santiago, A.E.X. Optimized dielectric barrier discharge-plasma actuator for active flow control in wind turbine. Struct. Control Health Monit. 2019, 26, e2454. [Google Scholar] [CrossRef]
- Sakib, M.S.; Chetan, M.; Griffith, D.T. Aero-Structural Design For a 3.4 MW Wind Turbine Using Plasma Actuator Based Load Control. In Proceedings of the AIAA AVIATION 2020 FORUM, Virtual, 15–19 June 2020; p. 3148. [Google Scholar]
- Griffith, D.T.; Fine, N.E.; Cooney, J.A.; Rotea, M.A.; Iungo, G.V. Active aerodynamic load control for improved wind turbine design. In Proceedings of the Journal of Physics: Conference Series; IOP Publishing: Bristol, UK, 2020; Volume 1618, p. 052079. [Google Scholar]
- Chetan, M.; Sakib, M.S.; Griffith, D.T.; Gupta, A.; Rotea, M.A. Design of a 3.4-MW wind turbine with integrated plasma actuator-based load control. Wind. Energy 2022, 25, 517–536. [Google Scholar] [CrossRef]
- Houck, C.R.; Joines, J.; Kay, M.G. A genetic algorithm for function optimization: A Matlab implementation. Ncsu-ie tr 1995, 95, 1–10. [Google Scholar]
- Gupta, A.; Rotea, M.A.; Chetan, M.; Sakib, M.S.; Griffith, D.T. A methodology for robust load reduction in wind turbine blades using flow control devices. Energies 2021, 14, 3500. [Google Scholar] [CrossRef]
- Liu, C.; Gupta, A.; Rotea, M.A. Wind Turbine Gust Load Alleviation with Active Flow Control. Energies 2022, 15, 6474. [Google Scholar] [CrossRef]
- Aono, H.; Fukumoto, H.; Abe, Y.; Sato, M.; Nonomura, T.; Fujii, K. Separated flow control of small horizontal-axis wind turbine blades using dielectric barrier discharge plasma actuators. Energies 2020, 13, 1218. [Google Scholar] [CrossRef]
- Maleki, G.; Davari, A.R.; Soltani, M.R. Experimental investigation of the effect of active flow control on the wake of a wind turbine blade. Proc. Inst. Mech. Eng. Part C J. Mech. Eng. Sci. 2021, 235, 6122–6138. [Google Scholar] [CrossRef]
- Tanaka, M.; Kubo, N.; Kawabata, H. Plasma actuation for leading edge separation control on 300-kW rotor blades with chord length around 1 m at a Reynolds number around 1.6× 106. In Proceedings of the Journal of Physics: Conference Series; IOP Publishing: Bristol, UK, 2020; Volume 1618, p. 052013. [Google Scholar]
- Jukes, T.N. Smart control of a horizontal axis wind turbine using dielectric barrier discharge plasma actuators. Renew. Energy 2015, 80, 644–654. [Google Scholar] [CrossRef]
- Potočar, E.; Širok, B.; Hočevar, M.; Eberlinc, M. Control of separation flow over a wind turbine blade with plasma actuators. Stroj. Vestn.-J. Mech. Eng. 2012, 58, 37–45. [Google Scholar] [CrossRef]
- Zhang, X.; Huang, Y.; Wang, X.; Wang, W.; Tang, K.; Li, H. Turbulent boundary layer separation control using plasma actuator at Reynolds number 2000000. Chin. J. Aeronaut. 2016, 29, 1237–1246. [Google Scholar] [CrossRef]
- Sato, M.; Okada, K.; Nonomura, T.; Aono, H.; Yakeno, A.; Asada, K.; Abe, Y.; Fujii, K. Massive parametric study by LES on separated-flow control around airfoil using DBD plasma actuator at Reynolds number 63,000. In Proceedings of the 43rd AIAA Fluid Dynamics Conference, San Diego, CA, USA, 24–27 June 2013; p. 2750. [Google Scholar]
- Daraee, M.A.; Abbasi, S. A novel approach to performance improvement of a VAWT using plasma actuators. J. Clean. Prod. 2023, 424, 138876. [Google Scholar] [CrossRef]
- Abbasi, S.; Daraee, M.A. Ameliorating a vertical axis wind turbine performance utilizing a time-varying force plasma actuator. Sci. Rep. 2024, 14, 18425. [Google Scholar] [CrossRef] [PubMed]
- Ma, L.; Wang, X.; Zhu, J.; Kang, S. Dynamic stall of a vertical-axis wind turbine and its control using plasma actuation. Energies 2019, 12, 3738. [Google Scholar] [CrossRef]
- Zare Chavoshi, M.; Ebrahimi, A. Plasma actuator effects on the flow physics of dynamic stall for a vertical axis wind turbine. Phys. Fluids 2022, 34, 075131. [Google Scholar] [CrossRef]
- Yu, H.; Zhang, A.; Zheng, J. Dynamic Stall Control for a Vertical-Axis Wind Turbine Using Plasma Actuators. AIAA J. 2023, 61, 4839–4851. [Google Scholar] [CrossRef]
- Schubel, P.J.; Crossley, R.J. Wind turbine blade design. Energies 2012, 5, 3425–3449. [Google Scholar] [CrossRef]
- Xu, W.; Li, C.c.; Huang, S.x.; Wang, Y. Aerodynamic performance improvement analysis of Savonius vertical axis wind turbine utilizing plasma excitation flow control. Energy 2022, 239, 122133. [Google Scholar] [CrossRef]
- Benmoussa, A.; Pascoa, J.C. Cycloidal rotor coupled with DBD plasma actuators for performance improvement. Aerosp. Sci. Technol. 2021, 110, 106468. [Google Scholar] [CrossRef]
- Benmoussa, A.; Pascoa, J.C. Performance improvement and start-up characteristics of a cyclorotor using multiple plasma actuators. Meccanica 2021, 56, 2707–2730. [Google Scholar] [CrossRef]
- Benmoussa, A.; Páscoa, J.C. Enhancement of a cycloidal self-pitch vertical axis wind turbine performance through DBD plasma actuators at low tip speed ratio. Int. J. Thermofluids 2023, 17, 100258. [Google Scholar] [CrossRef]
- Greenblatt, D.; Schulman, M.; Ben-Harav, A. Vertical axis wind turbine performance enhancement using plasma actuators. Renew. Energy 2012, 37, 345–354. [Google Scholar] [CrossRef]
- Greenblatt, D.; Ben-Harav, A.; Mueller-Vahl, H. Dynamic stall control on a vertical-axis wind turbine using plasma actuators. AIAA J. 2014, 52, 456–462. [Google Scholar] [CrossRef]
- Ben-Harav, A.; Greenblatt, D. Plasma-based feed-forward dynamic stall control on a vertical axis wind turbine. Wind Energy 2016, 19, 3–16. [Google Scholar] [CrossRef]
- Greenblatt, D.; Lautman, R. Inboard/outboard plasma actuation on a vertical-axis wind turbine. Renew. Energy 2015, 83, 1147–1156. [Google Scholar] [CrossRef]
- Jafari, M.; Sakib, M.; Griffith, D.; Brownstein, I.; Strom, B.; Cooney, J. Wind tunnel experiment to study aerodynamics and control of H-rotor vertical axis wind turbine. In Proceedings of the Journal of Physics: Conference Series; IOP Publishing: Bristol, UK, 2022; Volume 2265, p. 022084. [Google Scholar]
- Wojewodka, M.M.; White, C.; Kontis, K. Effect of permittivity and frequency on induced velocity in ac-DBD surface and channel plasma actuators. Sens. Actuators A Phys. 2020, 303, 111831. [Google Scholar] [CrossRef]
- Correale, G.; Kotsonis, M. Effect of dielectric material on thermal effect produced by ns-DBD plasma actuator. In Proceedings of the 45th AIAA Plasmadynamics and Lasers Conference, Atlanta, GA, USA, 16–20 June 2014; p. 2119. [Google Scholar]
- Rodrigues, F.; Pascoa, J.; Trancossi, M. Experimental analysis of dielectric barrier discharge plasma actuators thermal characteristics under external flow influence. J. Heat Transf. 2018, 140, 102801. [Google Scholar] [CrossRef]
- Seeböck, R.; Esrom, H.; Charbonnier, M.; Romand, M. Modification of polyimide in barrier discharge air-plasmas: Chemical and morphological effects. Plasmas Polym. 2000, 5, 103–118. [Google Scholar] [CrossRef]
- Seeböck, R.; Esrom, H.; Charbonnier, M.; Romand, M.; Kogelschatz, U. Surface modification of polyimide using dielectric barrier discharge treatment. Surf. Coat. Technol. 2001, 142, 455–459. [Google Scholar] [CrossRef]
































| Ref. | Electrode 1 | Electrode 2 | Electrode 3 | Aim of Study |
|---|---|---|---|---|
| [88] | AC −18 kV | AC −18 kV | DC 11 kV | Micro discharge |
| 1 kHz | 1 kHz | currents | ||
| [89] | AC 20 kV | DC 19 kV | DC −10 kV | Accelerate the ionic wind |
| 1 kHz | ||||
| [84] | AC 12 kV | DC 20 kV | DC 20 kV | Accelerate the ionic wind |
| 11.7 kHz | ||||
| [90] | AC 13 kV | DC −2 kV | DC −2 kV | Flow direction |
| 10 kHz | ||||
| [91] | AC 18 kV | DC −18 kV | DC −18 kV | Flow direction |
| AC 8 kHz DC = 5% | ||||
| [86,87] | AC 40 kV | Grounded | DC −10 kV | Accelerate the ionic wind |
| 5 kHz |
| Ref. | Theory | Geometry | Voltage | Location | Airfoil |
|---|---|---|---|---|---|
| [103] | Shyy | = 0.5 mm | = 4 kV | 76%C to | NACA 23012 |
| 2D | = 3 mm | = 3 kHz | 100%C | Chord = 30 cm | |
| = 0.1 mm | (pitching) | ||||
| [105] | Shyy | = 0.5 mm | = 5 kV | 16.5% | EPPLER555 |
| 2D | = 0.01 C | = 8 kHz | Chord = - | ||
| [102] | Shyy | = 0.1 mm | = 4 kV | 19%C | NACA 4415 |
| 3D | = 0.5 mm | = 0.8 | Chord = 40 cm | ||
| = 3 mm | |||||
| [104] | Shyy | Total length = 10 mm | = 6 kV | 2%C | NACA 4412 |
| 3D | = 0.1 mm | = 5 kHz | Chord = 6.5 cm | ||
| = 0.8 mm | |||||
| Ref. | Theory | Geometry | Voltage | Location | Airfoil |
|---|---|---|---|---|---|
| [108] | S-H | = 0.0254 mm | = 12 kV | 0%C | - |
| 2D | = 0.127 mm | = 12 kHz | Chord = 25 cm | ||
| = 10 mm | |||||
| = 15 mm | |||||
| [112] | S-H | = 0.035%C | = 12 kV | 50%C | DU21 |
| 2D | = 0.032%C | = 5 kHz | Chord = 100 cm | ||
| = 0.001%C | |||||
| = 6 | |||||
| = 0.002%C | |||||
| [109] | S-H | = 0.0254 mm | = 11.7 kV | 0%C | - |
| 2D | = 0.127 mm | = 11.9 kHz | Chord = 25 cm | ||
| = 10 mm | |||||
| = 15 mm | |||||
| [107] | S-H | = 0.15 mm | = 50 Hz | 2%C | S809 |
| 3D | = 4 mm | = 5 kV | Chord = 45 cm | ||
| = 0 | Dc = 80% | ||||
| = 2.7 | = 1.5 | ||||
| = 1 kHz | |||||
| [106] | S-H | = | = 500 Hz | 60%C | NACA |
| 3D | = | Dc = 10% | Chord = 20 cm | ||
| = | = 1.3 | (pitching) | |||
| = | = 10% |
| Ref. | Dimension | Methodology | Voltage | Location | Airfoil |
|---|---|---|---|---|---|
| [114] | = 50 mm | Ramps | = 35 kV | 78%C | S822 |
| = 6.4 mm | Impact of Rain and Sand | = 2.3 kHz | Chord = 30 cm | ||
| = 50 mm | |||||
| = 0.0254 mm | ∗Copper ∗Teflon | ||||
| [116] | = m | PIV | = 22.5 kV | 8.3%C | NACA 0024 |
| = m | ∗Copper ∗Polyimide | = 5.6 kHz | Chord = 7 cm | ||
| [113] | = 5 mm | PIV | = 22.5 kV | 8.3%C | S809 |
| = 0.07 mm | Car-sticker | = 5.6 kHz | Chord = 30 cm | ||
| = 3 mm | (Pitching) | ||||
| = 0 | ∗Copper ∗Polyamide | ||||
| [115] | = 0.3 mm | Smoke visualization | = 10 kV | 10, 20, 50, and 95%C | NACA 0015 |
| = 0.03 mm | Titanium dioxide () | = 3.5 kHz | Chord = 12.5 cm | ||
| = 3 mm | |||||
| = 3 mm | *Copper *Polyamide | ||||
| [118] | = 4.62 mm | Smoke visualization | = 9.9 kV (rms) | GEO 735 | |
| = 19.05 mm | = 2 kHz | Chord = 17.5 cm | |||
| = 19.05 mm | |||||
| = 0.0736 mm | |||||
| = 0 | *Copper *Macor |
| Ref. | Reynolds | Power Supply | Excitation Parameters |
|---|---|---|---|
| [120] | 550,000 | Battery (≈110 g) | = 9.9 kV |
| = 90 Hz | |||
| Dc = 5% | |||
| [121] | 87,500 | Autotransformer | = 12 kV |
| = 50 Hz | |||
| Dc = - | |||
| [122] | 63,000 | Function generator | = 4–6 kV |
| = 1 @Low AoA | |||
| = 6–10 @High AoA | |||
| Dc = 16% |
| Ref. | Method | Mach | Voltage | Pulse Width | Rise Time | Power/Pulse |
|---|---|---|---|---|---|---|
| [137] | Exp. | 0.76 | 15 kV(DC) | 200 ns | 30 ns | 0.3 mJ/cm |
| [143] | CFD | 2.5 | 10 kV(DC) | 20 ns | - | 50 mJ |
| [144] | CFD | 4 | 50 kV(AC) | 10 ns | 4 ns | 0.5 mJ |
| [141] | Exp. | 0.4 | 11.9 kV(AC) | 100 ns | - | - |
| [127] | Exp. | 0.3 | 25 kV(AC) | 12 ns | 1.3 ns | 1 mJ/cm |
| [134] | Exp. | 0.26 | 8.4 kV(AC) | 100 ns | - | - |
| [140] | Exp. | 0.3 | 20 kV(AC) | - | 4 ns | 30 mJ |
| [141] | Exp. | 0.4 | 11.9 kV(AC) | 100 ns | - | - |
| [142] | Exp. | 0.05 | 7.8 kV(AC) | 100 ns | 40 ns | 42 mJ/m |
| Ref. | Plasma Design | Spanwsie and Chordwsie Location | Voltage and Frequency |
|---|---|---|---|
| [146] | Modified S-H | to | = 12 kV |
| CFD | Single | = 5.5 kHz | |
| Multiple and | |||
| [145] | S-H | to | = 20 kV |
| CFD | = | 41%C, 42%C, 43%C, and 45%C | = 2 kHz |
| = 0.1 m | |||
| = 20 mm | |||
| = 0.1 mm | |||
| [147] | - | Near the rotor | |
| Exp. | = 8 m | Leading edge | Dc = 1% |
| Ref. | Plasma Model | Spanwsie and Chordwsie Location | Voltage |
|---|---|---|---|
| [156] | S-H | Entire the blades | = 50% |
| LES | Multiple-leading edge | Dc = 10% | |
| = 1 | |||
| [157] | Enloe | Entire the blade | = 16 KV |
| PIV | = 0.08 mm | Single-leading edge | = 2.17 KHz |
| = 0.127 mm | Dc = 29.6% | ||
| [159] | - | 27% ≤ r/R ≤ 77% | = 6.5 KV |
| PIV | = m | Multiple- to | = 14 KHz |
| = m | = 60 Hz | ||
| Dc = 25% | |||
| [158] | - | 30% ≤ r/R ≤ 78.8% | = 13 KV |
| = 2 mm | Single-leading edge | = 15 kHz | |
| = 2 mm | Dc = 5% | ||
| = 60 mm | |||
| = 60 mm |
| Ref. | Model | Material | Voltage and Frequency | Azimuth Angle and PA Location |
|---|---|---|---|---|
| [173] | Post and Corke | Copper | = 8 kV | – |
| = m | Polyamide | |||
| = m | Dc = 5% | NACA 0015 | ||
| Power supply = 24 V | Chord = 15 cm | |||
| [174] | Post and Corke | Copper | = 8 kV | – |
| = m | Polyamide | = 500 Hz | ||
| = m | Dc = 20% | NACA 0015 | ||
| Power supply = 24 V | Chord = 15 cm | |||
| [175] | Post and Corke | Copper | = 8 kV | – |
| ∗ | = m | Polyamide | = 500 Hz | |
| = m | Dc = 5% | |||
| DC = 10% | NACA 0015 | |||
| Power supply = 24 V | Chord = 15 cm | |||
| [176] | Post and Corke | Copper | = 8 kV | –– |
| ∗ | = m | Polyamide | = 500 Hz | |
| = m | Dc = 20% | |||
| Dc = 10% | NACA 0015 | |||
| Power supply = 24 V | Chord = 15 cm | |||
| [177] | - | Copper | = 35 kV at = 6 m/s | – |
| = 3.18 mm | RTV silicone | to 35 kV at = 8 to 10 m/s | ||
| = 6.35 mm | = 6.5 KHz | NACA 0018 | ||
| = 3.18 mm | Chord = 10 cm |
Disclaimer/Publisher’s Note: The statements, opinions and data contained in all publications are solely those of the individual author(s) and contributor(s) and not of MDPI and/or the editor(s). MDPI and/or the editor(s) disclaim responsibility for any injury to people or property resulting from any ideas, methods, instructions or products referred to in the content. |
© 2026 by the authors. Licensee MDPI, Basel, Switzerland. This article is an open access article distributed under the terms and conditions of the Creative Commons Attribution (CC BY) license.
Share and Cite
Saemian, M.; Cota, M.; Sabidussi, L.; Rida, Z.; Nabhani, A.; Bergada, J.M. DBD Plasma Actuators for Aerodynamic Flow Control: A Review. Appl. Sci. 2026, 16, 1888. https://doi.org/10.3390/app16041888
Saemian M, Cota M, Sabidussi L, Rida Z, Nabhani A, Bergada JM. DBD Plasma Actuators for Aerodynamic Flow Control: A Review. Applied Sciences. 2026; 16(4):1888. https://doi.org/10.3390/app16041888
Chicago/Turabian StyleSaemian, Mohammad, Miguel Cota, Lena Sabidussi, Zeinab Rida, Ahmad Nabhani, and Josep M. Bergada. 2026. "DBD Plasma Actuators for Aerodynamic Flow Control: A Review" Applied Sciences 16, no. 4: 1888. https://doi.org/10.3390/app16041888
APA StyleSaemian, M., Cota, M., Sabidussi, L., Rida, Z., Nabhani, A., & Bergada, J. M. (2026). DBD Plasma Actuators for Aerodynamic Flow Control: A Review. Applied Sciences, 16(4), 1888. https://doi.org/10.3390/app16041888

