Optimizing Foam Lightweight Soil Embankments: Enhancing Stability and Mitigating Settlement in Soft Soil Foundations
Abstract
1. Introduction
2. Literature Review
2.1. Application in Road Embankments
2.2. Influence of Layered Filling Thickness on Settlement
2.3. Bulk Density and Its Impact on Settlement and Stability
2.4. Reinforcement Techniques for Foam Lightweight Soil Embankments
2.5. Gaps in Existing Research
3. Materials and Methods
3.1. Field Experiments
3.2. Numerical Simulations
3.3. Tested Parameters
3.4. Selection of Layered Filling Thickness
4. Influence of Layered Placement on FLS
4.1. Determination of Layered Placement Thickness
- 1.
- Vertical Stratification Ratio
- 2.
- Vertical Stratification Test and Result Analysis
4.2. Settlement Analysis
- 1.
- Final Settlement Contour
- 2.
- Maximum Settlement of the Bridge Approach Embankment versus Fill Height during Construction
- 3.
- Final Settlement of Embankment Surface
- 4.
- Post-Construction Settlement of the Bridge Approach Embankment
4.3. Stability Analysis
- 1.
- Plastic Strain Analysis
- 2.
- Safety Factor
5. Analysis of the Influence of Bulk Density Change of FLS
5.1. Design of Bulk Density Selection Scheme

5.2. Settlement Analysis
- 1.
- Final settlement cloud picture
- 2.
- The change of the maximum settlement of the embankment at the bridgehead section with the filling height during the construction period
- 3.
- Final settlement of embankment surface
- 4.
- Post-construction settlement
5.3. Stability Analysis
- 1.
- Plastic strain analysis
- 2.
- Safety Factor
6. Analysis of the Influence of Ordinary Fill Replacement Height
6.1. Replacement Height Design
6.2. Settlement Analysis
- 1.
- The final settlement cloud map
- 2.
- The maximum settlement of embankment at bridgehead section changes with filling height during construction period
- 3.
- Final settlement of embankment surface
- 4.
- Post-construction settlement
6.3. Stability Analysis
- 1.
- Plastic strain analysis
- 2.
- Safety Factor
7. Analysis on the Influence of Slope Ratio Change of FLS and Original Embankment Connection Surface
7.1. Slope Ratio Selection
7.2. Settlement Analysis
- 1.
- The final settlement cloud map
- 2.
- The change of the maximum settlement of the embankment at the bridgehead section with the filling height during the construction period
- 3.
- Final settlement of embankment surface
- 4.
- Post-construction settlement
7.3. Stability Analysis
- 1.
- Plastic strain analysis
- 2.
- Safety Factor
8. Conclusions
- 1.
- The layered filling thickness of foamed lightweight soil has little effect on the settlement of the bridgehead section during the construction period and 15 years after construction. The post-construction settlement of the layered filling thickness of 1000 mm is slightly larger than that of the layered filling thickness of 500 mm, 600 mm, and 800 mm. In terms of stability, the safety factor of the layered filling thickness of 500 mm is the largest, and the safety factor of the layered filling thickness of 1000 mm is the smallest. According to the comprehensive settlement and stability, the optimal layered filling thickness is 500–600 mm.
- 2.
- The bulk density of foamed lightweight soil increases, and the settlement of the embankment at the bridgehead section during the construction period and 15 years after the construction increases. At the division of foamed lightweight soil and the original embankment section, differential settlement occurs on the surface of the embankment under the structural layer, and the greater the bulk density of foamed lightweight soil, the greater the differential settlement. In terms of stability, the safety factor of condition 1 is the largest, and the safety factor of condition 4 is the smallest. Based on the comprehensive settlement and stability, the recommended bulk density is condition 1 and condition 2.
- 3.
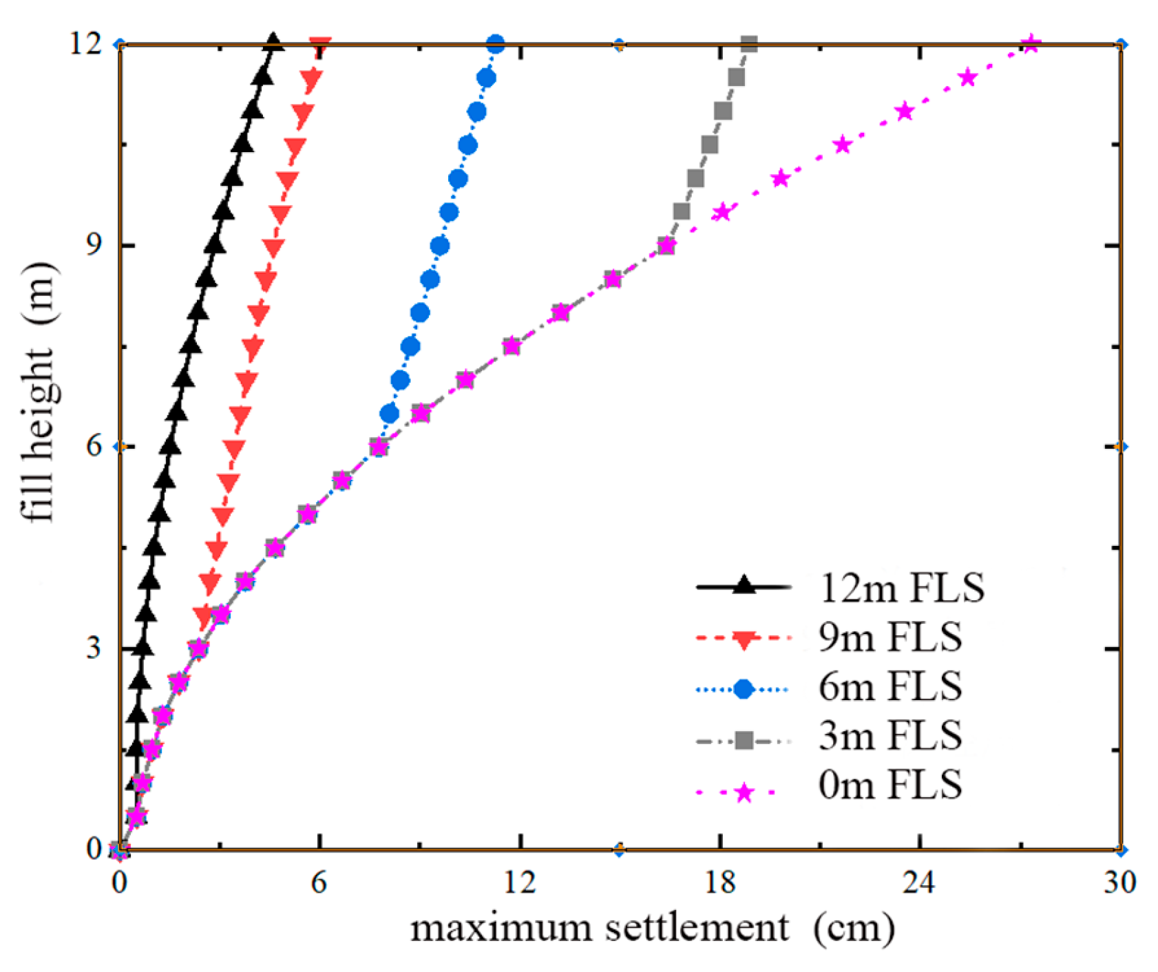
- The higher the replacement height of ordinary fill, the greater the settlement during construction and after construction, and the maximum settlement position is also changing. At the same time, the differential settlement of the embankment surface at the junction of the top of the joint surface is also greater. The differential settlement value of the working condition of all replacement ordinary fill is nearly 10 cm. In terms of stability, in the process of ordinary filling replacement, the safety factor of foam light soil in the replacement area is the largest, and the safety factor of ordinary filling in the replacement area is the smallest. Considering the settlement, stability, and economic benefits, it is more appropriate to replace the height of ordinary fill with 6 m.
- 4.
- The change of the slope ratio of the connecting surface will not affect the maximum settlement position of the whole bridge section; the decrease of the slope ratio of the buffer step will cause the increase of the post-construction settlement of the original embankment on the right side of the slope. The right-angle step as the connecting surface has a greater impact on the post-construction settlement of the slope than the buffer step. For the buffer step, the smaller the slope ratio, the greater the differential settlement, and the design differential settlement of the slope ratio of 1:2 is the largest, up to 40 mm. In terms of stability, the safety factor of the buffer step slope ratio of 1:1.5 is the largest, the safety factor of the slope ratio of 1:2 is the smallest, and the safety factor of the right angle step is smaller than that of the buffer step. Considering the settlement and stability, the buffer step is selected as the connecting surface, and the slope ratio is designed to be 1:1.5.
Author Contributions
Funding
Institutional Review Board Statement
Informed Consent Statement
Data Availability Statement
Conflicts of Interest
References
- Ou, X.; Chen, F.; Lv, Z.; Jiang, J.; Liao, B.; Ye, G.C. Synthesis of backfill foam light soil from bauxite tailings slurry and industrial by-products. J. Cent. South Univ. 2025, 32, 3057–3069. (In English) [Google Scholar] [CrossRef]
- Han, Y.; Li, Z.; Cheng, Y. Research on the application of lightweight foam soil in subgrade widening and lifting and expansion. J. Sci. 2025, 37, 118–123. [Google Scholar] [CrossRef]
- Zhang, H.; Liu, M.; Sun, Y.; Yang, Q.; Song, X.; Li, X. Triaxial mechanical properties of silt soil-based foam light soil. J. Shandong Univ. (Eng. Technol. Ed.) 2022, 52, 39–46+57. [Google Scholar]
- Raj, A.; Sathyan, D.; Mini, K.M. Physical and Functional Characteristics of Foam Concrete: A Review. Constr. Build. Mater. 2019, 221, 787–799. [Google Scholar] [CrossRef]
- Xiao, Y. New Application of Foam Light Soil in the Field of Engineering Construction. Subgrade Eng. 2020, 145–148+169. [Google Scholar] [CrossRef]
- Li, Z.L.; Zhang, K.F. Application and Research on New Technology of Foam Lightweight Soil in Treatment of Soft Soil Foundation of Railway Engineering. Appl. Mech. Mater. 2012, 204–208, 1622–1625. [Google Scholar] [CrossRef]
- Chen, Y.; Shi, G.; Cao, D.; Ying, H.; Wang, X. Research on post-construction settlement control of subgrade replacement with bubble mixed light soil. J. Geotech. Eng. 2011, 33, 1854–1862. [Google Scholar]
- Liu, X.; Qian, X.Y.; Pu, S.K.; Sheng, K.; Sun, D.; Hong, B. Methods for Testing the Quality of Lightweight Cellular Concrete During Pouring. Constr. Build. Mater. 2022, 315, 125755. [Google Scholar] [CrossRef]
- Zhang, Z.; Rao, F.R.; Ye, G.B.; Liu, J. Mechanical Performance and Void Structure Change of Foamed Cement Paste Subjected to Static and Cyclic Loading Under Plane Strain Conditions. Materials 2022, 15, 1711. [Google Scholar] [CrossRef] [PubMed]
- Shi, X.N.; Huang, J.J.; Su, Q. Experimental and Numerical Analyses of Lightweight Foamed Concrete as Filler for Widening Embankment. Constr. Build. Mater. 2020, 250, 118897. [Google Scholar] [CrossRef]
- Park, D.W.; Vo, H.V. Evaluation of Air-foam Stabilized Soil of Dredged Soil Waste as a Pavement Subgrade Layer. KSCE J. Civ. Eng. 2015, 19, 2091–2097. [Google Scholar] [CrossRef]
- Yuan, X.Z.; Lu, Z.; Yao, H.L.; Tan, X.; Zhao, Y.; Tang, C.; Cheng, M.; Gao, Y. Engineering Properties and Applications of Air-foamed Lightweight Soil. Adv. Mater. Sci. Eng. 2022, 2022, 4967037. [Google Scholar] [CrossRef]
- Huang, J.J.; Su, Q.; Zhao, W.H.; Li, T.; Zhang, X.X. Experimental Study on Use of Lightweight Foam Concrete as Subgrade Bed Filler of Ballastless Track. Constr. Build. Mater. 2017, 149, 911–920. [Google Scholar] [CrossRef]
- Zhou, P.; Wang, Z.; Zhang, J.; Xu, H.; Zhao, Q.; Liu, C. Research on dynamic response and vibration damping of new subgrade materials for high-speed railway. Vib. Shock 2017, 36, 230–237. [Google Scholar] [CrossRef]
- Zhang, D.; Ma, Y.; Kang, X.; Shi, L.; Zhang, Y.; Zhang, C. Orthogonal test and numerical simulation of foam lightweight soil subgrade. Jiangsu Archit. 2023, 106–109. [Google Scholar]
- Yan, K.; Zhao, J.; Li, X.; Ding, P.; Yu, J. Experimental study on mechanical properties of foam light soil under different loading conditions. Munic. Technol. 2022, 40, 6–12. [Google Scholar] [CrossRef]
- Liu, C.; Wang, B.; Zhang, Q. Experimental Study on Performance of Foamed Lightweight Soil with Different Fly Ash Content. Sci. Technol. Innov. 2024, 101–104. [Google Scholar] [CrossRef]
- Han, L.; Cao, H.; Ren, J.; Guo, Z.; Song, P.; Wang, J.; Leng, F. Study on the Performance of Yellow River Fine Sand on Foam Light Soil. Silic. Bull. 2025, 1–11. [Google Scholar] [CrossRef]
- Wang, X. Deformation characteristics and construction process of foam lightweight soil subgrade. Eng. Constr. Des. 2024, 127–129. [Google Scholar] [CrossRef]
- Shukla, B.K.; Gupta, A.; Gowda, S.; Srivastav, Y. Constructing a greener future: A comprehensive review on the sustainable use of fly ash in the construction industry and beyond. Mater. Today Proc. 2023, 93, 257–264. [Google Scholar] [CrossRef]
- Zhang, Z.; Huang, J.; Zhang, J.; Zhou, S.; Wang, C.; Zhang, Y. Research on settlement and deformation control of new and old subgrades of urban roads based on geogrid and foam light soil. Geotech. Found. 2025, 39, 113–117. [Google Scholar]
- Anbarani, M.R.; Abrishami, S.; Bayat, M. Effect of Geogrid Reinforcement and Soil Relative Density on Performance and Contact Pressures of Ring Foundations on Sand. KSCE J. Civ. Eng. 2023, 27, 5135–5148. [Google Scholar] [CrossRef]
- Chaiyaput, S.; Ayawanna, J.; Jongpradist, P.; Poorahong, H.; Sukkarak, R.; Jamsawang, P. Application of a cement–clay–air foam mixture as a lightweight embankment material for construction on soft clay. Case Stud. Constr. Mater. 2023, 18, e02188. [Google Scholar] [CrossRef]
- Que, Y.; Zhang, H.; Zhu, T.; Leung, A.K.; Lu, D.; Jiang, Z. Amending foamed lightweight soil with tailings sand for embankment applications: Physical properties, durability, and microstructure. Constr. Build. Mater. 2022, 350, 128912. [Google Scholar] [CrossRef]
- Yang, Q.; Wang, Y.; Shan, H.; Li, H.; Chen, C.; Jiang, N. Research on conventional triaxial compressive mechanical properties of foam lightweight concrete. Silic. Bull. 2025, 44, 3246–3254. [Google Scholar] [CrossRef]
- Zhang, C.; Zhu, Z.; Zhang, Y.; Liu, F.; Yang, Y.; Wan, Y.; Huo, W.; Yang, L. Engineering properties and optimal design of foam lightweight soil composite fly ash: An eco-friendly subgrade material. J. Clean Prod. 2023, 429, 139631. [Google Scholar] [CrossRef]
- Zhu, J.; Liu, X.; Hong, B.; Xu, F.; Hua, J. Method for determining optimum casting thickness of foamed mixture lightweight soil embankment. Rock Soil Mech. 2016, 37, 3642–3649. [Google Scholar] [CrossRef]
- Puppala, A.J.; Ruttanaporamakul, P.; Congress, S.S.C. Design and construction of lightweight EPS geofoam embedded geomaterial embankment system for control of settlements. Geotext. Geomembr. 2019, 47, 295–305. [Google Scholar] [CrossRef]
- Jiang, Z.; Gao, X.; Feng, X.; Chen, D. Research on the Application of Foamed Lightweight Concrete (FLC) in the Construction of Highway Soft Soil Foundation Engineering with Buried High-Pressure Gas Pipes. Appl. Sci. 2022, 12, 10119. [Google Scholar] [CrossRef]
- Gao, Y. Research on physical and mechanical properties and construction technology of foam lightweight soil subgrade. Transp. World 2023, 64–66. [Google Scholar] [CrossRef]
- Tiwari, N.; Satyam, N. An experimental study on strength improvement of expansive subgrades by polypropylene fibers and geogrid reinforcement. Sci. Rep. 2022, 12, 6685. [Google Scholar] [CrossRef]
- Cui, Y.; He, H. Research on the effect of blowing agent utilization rate on the performance of foam concrete. J. Chin. Build. Mater. 2015, 18, 12–16. [Google Scholar]
- Chen, X. Analysis of Soft Soil Foundation Settlement Characteristics Under the Action of Wide Embankment. Master’s Thesis, Southwest Jiaotong University, Chengdu, China, 2019. [Google Scholar] [CrossRef]
- Cao, W.; Chen, Y.; Chen, R. Analysis of the soil arch effect of pile-bearing embankment considering the coupling of embankment filling process and foundation soil consolidation. J. Rock Mech. Eng. 2008, 27, 1610–1617. [Google Scholar]
- CJJ/T 177-2012; Technical Regulations for Bubble Mixed Light Soil Filling Engineering. Ministry of Housing and Urban-Rural Development of the People’s Republic of China: Beijing China, 2012.
- Jiang, Q.; Chen, Z.; Wang, J.; Liu, J. Determination method of thickness of light soil for soft foundation embankment refill. Highway 2019, 64, 84–88. [Google Scholar]
- Lu, T. Research on Deformation Characteristics and Construction Technology of Foam Lightweight Soil Subgrade. Master’s Thesis, Chang’an University, Xi’an, China, 2018. [Google Scholar]
- Lin, F. Research on the effect of foam light soil replacement height on soft soil subgrade settlement. West. Transp. Sci. Technol. 2022, 39–41. [Google Scholar] [CrossRef]
- Huang, G. Control standards and treatment measures for differential settlement of bridge approach roads. Highw. Traffic Sci. Technol. (Appl. Technol. Ed.) 2020, 16, 162–164+168. [Google Scholar]
- Chen, J.; Mao, X.; Wu, Q. Effect of cement-soil compacted piles on subgrade settlement characteristics in collapsible loess areas. In Proceedings (Highway Engineering), Proceedings of the 2024 World Transport Conference (WTC2024), Qingdao, China, 26 June 2024; China Highway Society, China Society of Navigation, China Railway Society, China Aeronautical Society, China Society of Aeronautics, China Society of Automotive Engineers: Xi’an, China; College of Highways, Chang’an University: Xi’an, China, 2024; pp. 387–392. [Google Scholar] [CrossRef]
- Yang, Q.; Zhang, Y.Y.; Liu, H.Q.; Qing, H. Model test on load-failure of a foamed lightweight soil subgrade. Rock Soil Mech. 2018, 39, 3121–3129. (In Chinese) [Google Scholar]
- Liang, R. Research on the application of foam light soil in highway reconstruction and expansion projects. Highw. Eng. 2022, 47, 124–130. [Google Scholar] [CrossRef]






















| Deepth/mm | Mix Proportion | |
|---|---|---|
| 28 d Strength/MPa | δ/% | |
| 100 | 0.82 | 0 |
| 200 | 0.85 | 3.53 |
| 300 | 0.87 | 5.75 |
| 400 | 0.91 | 9.89 |
| 500 | 0.96 | 14.58 |
| 600 | 0.99 | 17.17 |
| 700 | 1.03 | 20.39 |
| 800 | 1.07 | 23.36 |
| 900 | 1.09 | 24.77 |
| 1000 | 1.12 | 26.79 |
| Per-Layer Placement Thickness/mm | Construction Settlement/mm | Total Settlement at 15 Years Post-Construction/mm | Post-Construction Settlement/mm |
|---|---|---|---|
| 500 | −75.37 | −102.26 | −26.89 |
| 600 | −75.53 | −102.66 | −27.13 |
| 800 | −75.82 | −102.98 | −27.16 |
| 1000 | −75.51 | −105.51 | −30 |
| Layered Placement Thickness/mm | 500 | 600 | 800 | 1000 |
|---|---|---|---|---|
| Safety Factor Fs | 4.1 | 3.8 | 3.2 | 2.9 |
| Wet Bulk Density Grade (kN/m3) | 4 | 5 | 6 | 7 | 8 | 9 | 10 |
|---|---|---|---|---|---|---|---|
| Strength CF | 0.3~0.7 | 0.5~1.0 | 0.8~1.2 | 1.0~1.5 | 1.0~2.0 | 1.0~3.0 | 1.0~4.0 |
| Mix Proportion Type | Embankment Part | From the Bottom of the Road Surface Distance (m) | Construction Wet Bulk Density γfw (kN/m3) | |
|---|---|---|---|---|
| Expressways, First-Class Highways, Urban Arterial Roads | Second-Class Highways, Urban Secondary Arterial Roads, and Other Highways | |||
| Pure cement mixture ratio | road bed | 0~0.8 | 6 ≥ γfw ≥ 5.6 | 5.6 ≥ γfw ≥ 5.3 |
| Embankment | >0.8 | 5.6 ≥ γfw ≥ 5.2 | 5.3 ≥ γfw ≥ 5.0 | |
| Geopolymer mixture ratio | road bed | 0~0.8 | 6 ≥ γfw ≥ 5.7 | 5.8 ≥ γfw ≥ 5.5 |
| Embankment | >0.8 | 5.7 ≥ γfw ≥ 5.4 | 5.5 ≥ γfw ≥ 5.2 | |
| Sample Labelling | Fly Ash /(kg/m3) | Cement /(kg/m3) | Water /(kg/m3) | Foam Volume /L/m3 | Wet Bulk Density /kN/m3 | Strength /MPa | Elastic Modulus /MPa |
|---|---|---|---|---|---|---|---|
| A1 | 0 | 400 | 220 | 640 | 9.85 | 1.58 | 455 |
| A2 | 60 | 340 | 220 | 640 | 8.91 | 1.32 | 410 |
| A3 | 100 | 300 | 220 | 640 | 7.84 | 1.24 | 365 |
| A4 | 140 | 260 | 220 | 640 | 7.82 | 1.16 | 325 |
| A5 | 180 | 220 | 220 | 640 | 6.94 | 1.05 | 275 |
| A6 | 220 | 180 | 220 | 640 | 5.88 | 0.85 | 200 |
| Working Condition | Bulk Density of Embankment Bed (kN/m3) | The Part Above the Cushion Layer Below the Roadbed (kN/m3) |
|---|---|---|
| 1 | 7 | 6 |
| 2 | 8 | 7 |
| 3 | 9 | 8 |
| 4 | 10 | 9 |
| Working Condition | Bulk Density of Embankment Bed (kN/m3) | The Bulk Density Above the Cushion Layer Below the Roadbed (kN/m3) | Settlement During Construction/mm | Total Settlement /mm | Post-Construction Settlement/mm |
|---|---|---|---|---|---|
| 1 | 7 | 6 | −78.04 | −104.09 | −26.05 |
| 2 | 8 | 7 | −85.34 | −107.16 | −21.82 |
| 3 | 9 | 8 | −95.36 | −110.93 | −15.57 |
| 4 | 10 | 9 | −102.34 | −119.25 | −16.91 |
| Change Bulk Density | Condition 1 | Condition 2 | Condition 3 | Condition 4 |
|---|---|---|---|---|
| Safety factor Fs | 4.1 | 3.9 | 3.6 | 3.5 |
| Condition | Foam Lightweight Soil Height (m) | Replacement Fill Height (m) |
|---|---|---|
| 1 | 12 | 0 |
| 2 | 9 | 3 |
| 3 | 6 | 6 |
| 4 | 3 | 9 |
| 5 | 0 | 12 |
| Working Condition | Foam Lightweight Soil Height (m) | Replacement Fill Height (m) | Settlement During Construction /mm | Total Settlement 15 Years After Construction /mm | Post-Construction Settlement/mm |
|---|---|---|---|---|---|
| 1 | 12 | 0 | −75.37 | −102.26 | −26.89 |
| 2 | 9 | 3 | −80.03 | −107.72 | −27.69 |
| 3 | 6 | 6 | −112.57 | −145.12 | −32.55 |
| 4 | 3 | 9 | −185.1 | −230.17 | −45.07 |
| 5 | 0 | 12 | −279.15 | −329.68 | −50.53 |
| The Common Fill Replacement Height/m | 0 | 3 | 6 | 9 | 12 |
|---|---|---|---|---|---|
| Safety factor Fs | 4.1 | 3.5 | 3.1 | 2.6 | 1.9 |
| Design Content | Range | Remarks |
|---|---|---|
| Filling height H | 0.5~15.0 m | cavity filling, except pipeline backfilling project. |
| Botton width BL | ≥2.0 m | |
| Bench width BT | ≥0.5 m | Filling height more than 2 m Settings |
| Reservation width BF | 0.3~0.8 m | When the filling height is more than 5 m or the back is steep slope, the setting is set. |
| Working Condition | Interface Slope Ratio | Settlement During Construction /mm | Total Settlement 15 Years After Construction /mm | Post-Construction Settlement/mm |
|---|---|---|---|---|
| 1 | 1:1 | −68.58 | −98.93 | −30.35 |
| 2 | 1:1.5 | −75.37 | −102.26 | −26.89 |
| 3 | 1:2 | −103.74 | −128.98 | −25.24 |
| 4 | Right angle step | −12.34 | −97.28 | −84.94 |
| Slope Ratio of Connecting Surface | 1:1 | 1:5 | 1:2 | Right Angle Step |
|---|---|---|---|---|
| Safety factor Fs | 3.7 | 4.1 | 3.6 | 2.4 |
Disclaimer/Publisher’s Note: The statements, opinions and data contained in all publications are solely those of the individual author(s) and contributor(s) and not of MDPI and/or the editor(s). MDPI and/or the editor(s) disclaim responsibility for any injury to people or property resulting from any ideas, methods, instructions or products referred to in the content. |
© 2026 by the authors. Licensee MDPI, Basel, Switzerland. This article is an open access article distributed under the terms and conditions of the Creative Commons Attribution (CC BY) license.
Share and Cite
Gong, J.; Liu, X.; Gao, Y.; Shao, Z.; Cheng, T.; Hong, B. Optimizing Foam Lightweight Soil Embankments: Enhancing Stability and Mitigating Settlement in Soft Soil Foundations. Appl. Sci. 2026, 16, 1849. https://doi.org/10.3390/app16041849
Gong J, Liu X, Gao Y, Shao Z, Cheng T, Hong B. Optimizing Foam Lightweight Soil Embankments: Enhancing Stability and Mitigating Settlement in Soft Soil Foundations. Applied Sciences. 2026; 16(4):1849. https://doi.org/10.3390/app16041849
Chicago/Turabian StyleGong, Junjie, Xin Liu, Yuan Gao, Zhiwei Shao, Tao Cheng, and Baoning Hong. 2026. "Optimizing Foam Lightweight Soil Embankments: Enhancing Stability and Mitigating Settlement in Soft Soil Foundations" Applied Sciences 16, no. 4: 1849. https://doi.org/10.3390/app16041849
APA StyleGong, J., Liu, X., Gao, Y., Shao, Z., Cheng, T., & Hong, B. (2026). Optimizing Foam Lightweight Soil Embankments: Enhancing Stability and Mitigating Settlement in Soft Soil Foundations. Applied Sciences, 16(4), 1849. https://doi.org/10.3390/app16041849
