Next Article in Journal
A Multivariable Model for Predicting Automotive LiDAR Visibility Under Driving-In-Rain Conditions
Previous Article in Journal
Condition-Wise Robustness of Skeleton-Based Gait Sex Classification Under Smartphone Use, Occlusion, and Speed Variations
Previous Article in Special Issue
Evaluation of Fluoride Adsorptive Removal by Metallic Phosphates
 
 
Font Type:
Arial Georgia Verdana
Font Size:
Aa Aa Aa
Line Spacing:
Column Width:
Background:
Article

Uranium Adsorption at Increased and Ultra-Trace Levels by Humic Acid-Coated Alumina: Thermodynamic and Kinetic Studies

Department of Chemistry, University of Cyprus, P.O. Box 20537, Nicosia 1678, Cyprus
*
Author to whom correspondence should be addressed.
Appl. Sci. 2026, 16(4), 1829; https://doi.org/10.3390/app16041829
Submission received: 19 January 2026 / Revised: 4 February 2026 / Accepted: 10 February 2026 / Published: 12 February 2026
(This article belongs to the Special Issue Innovative Approaches and Materials for Water Treatment)

Abstract

This study investigates the interaction of commercially available alumina (Al2O3) particles with humic acid salt (HA–salt) and the subsequent impact of HA-coating on uranium adsorption. Alumina particles were coated by immersion in HA–salt solutions of varying concentrations (0.01–1.0 g/L). Following, batch adsorption experiments were conducted using U-232 at ultra-trace levels, to evaluate distribution coefficients (Kd) at pH 4 and 7, and depleted uranium (DU) at elevated concentrations to assess maximum adsorption capacities (qmax), temperature dependence, and kinetics. HA-coating significantly enhanced uranium uptake, particularly at neutral pH for ultra-tracer levels, where the deprotonation of HA carboxylic groups favors inner-sphere complex formation. At pH 3 (and at relatively high concentrations), the results showed that adsorption appears to be due to the formation of outer-sphere complexes, with qmax values for particles with the highest HA–salt loading reaching up to 0.16 ± 0.02 mol/kg. Temperature studies indicated endothermic adsorption, while kinetic data revealed a two-step mechanism for HA-coated particles, involving most probably initial outer-sphere complexation followed by gradual inner-sphere complex formation. These findings highlight the critical role of HA surface modification in enhancing the affinity of alumina towards uranium, with implications for radionuclide mobility in the geosphere and the development of efficient sorbents for uranium-contaminated water treatment.

Graphical Abstract

1. Introduction

Uranium (U) is a naturally occurring radioactive element and is widely found in the environment and exists in soils, rocks, and waters. Uranium is the main fuel of nuclear reactors and its extraction and use has often led to environmental contamination, including water systems. Uranium in waters and under environmental conditions exists predominantly in its hexavalent form (U(VI)) and hence the aqueous chemistry of U(VI), including hydrolysis, complex formation and interaction with naturally occurring colloids and mineral surfaces, determines its chemical behavior, mobility and fate in the environment [1].
Humic acids are complex, high-molecular-weight organic substances prevalent in soils, sediments, and natural waters, known for their strong binding affinity toward metal ions [2], including uranium [3]. When Has are immobilized on various surfaces and particles such as Al2O3, humic acids introduce additional functional groups like carboxyl, hydroxyl, and phenolic groups that enhance the surface reactivity and metal-binding ability of the composite material [4].
Aluminum oxide (Al2O3) and related minerals are common components of soils and determine soil structure and chemistry, affecting the mobility and bioavailability of nutrients and (radio)toxic metals. Al2O3 minerals act also as efficient adsorbents for various pollutants, including humic acids (HAs). Aluminum coagulants have been investigated for selective binding and removal of humic acid from aqueous solutions and the binding has been ascribed complexation reactions between the HA functional groups and aluminum [5]. Moreover, the adsorption and the parameters affecting HA adsorption by Al2O3 particles have been extensively studied and the associated results indicate that the type and concentration of HA, the solution pH and ionic strength, as well as the presence of polyvalent metal ions (e.g., Ca2+), play a significant role regarding the adsorption of HA on alumina surfaces [6,7,8], which can be well described by the Langmuir isotherm model.
In addition to their impact on the mobility and bioavailability of nutrients and (radio)toxic elements, HA-coated alumina has been investigated as a potential adsorbent for the removal of organic and inorganic pollutants, including radionuclides for the treatment of contaminated waters. Ait Akbour et al. (2018) [9] investigated the removal of organic dye from colored effluents by HA-covered alumina and found removal efficiencies above 75% assuming that HA-coated alumina could be used as an adsorbent for cationic dyes. Investigations of the sorption of phenanthrene by nanosized alumina by HA-coated alumina particles have shown that the modified particles have shown a significantly higher sorption efficiency for the polycyclic aromatic hydrocarbon [10].
Regarding inorganic pollutants, the sorption of Eu(III) on humic acid or fulvic acid bound to hydrous alumina has been studied using spectroscopic and microscopic techniques and the associated results indicated that the sorption and species of Eu(III) in ternary Eu-HA/FA-hydrous alumina systems are mainly dominated by both HA/FA and hydrous alumina [11]. Moreover, the effect of HA on the sorption of technetium by alumina using 99mTc as a tracer has been studied and the studies have shown that humic acid significantly enhanced the sorption of Tc in the acidic pH region [12]. As regards the adsorption of uranium (U(VI)) by alumina and alumina-rich minerals, the respective studies have revealed that U(VI) can adsorb on alumina by forming inner- and outer-sphere complexes. The latter shares an equatorial H2O with the terminal surface oxygen and prevail with increasing pH [13]. In addition, investigations of the U(VI) sequestration by Al-rich minerals in the presence of humic acids have shown that HA promoted the removal of U(VI) under acidic and inhibited U(VI) adsorption under basic conditions. The authors suggested also that the adsorption of U(VI) is mainly attributed to the electrostatic interaction and surface complexation from oxygenated functional groups present on the mineral surface [14].
Previous studies have demonstrated that humic acids and alumina independently, as well as in combined systems, strongly influence the adsorption behavior of heavy metals, including radionuclides, such as U(VI), mainly at environmentally relevant to elevated concentrations and focusing on either macroscopic adsorption or molecular-scale speciation. However, the role of humic acid-coated alumina in controlling uranium uptake at various concentrations remains poorly constrained and understood, particularly at ultra-trace levels. In the case of extremely low concentrations, adsorption mechanisms, surface loading effects, and thermodynamic interpretations may differ significantly from those observed at higher concentrations. In particular, experimental data linking ultra-trace radionuclide behavior with high-concentration adsorption capacity and kinetic models within the same system are largely absent. The present study uniquely addresses this gap by employing a dual-scale concentration approach, combining U-232 tracer experiments with depleted uranium batch studies, allowing direct comparisons of adsorption efficiency, capacity, and mechanism over several orders of magnitude in concentration. This integrated methodology enables a comparison of the adsorption mechanisms at ultra-tracer levels and at relatively high uranium concentrations, allowing for a more comprehensive understanding of humic acid-coated alumina surfaces as adsorbents for heavy metals, including radionuclides, and providing improved insight into inorganic pollutant removal strategies under environmental conditions.
More specifically, this study focuses on the interaction of commercially available alumina (Al2O3) particles with humic acid solutions of different concentrations. The coated particles have been separated and vacuum-dried and have been employed for the adsorption studies. To investigate the influence of the HA-coated particles on the affinity of the particles towards uranium, adsorption experiments were performed using depleted uranium (DU, for increased levels) and the uranium isotope U-232 (for ultra-trace levels). The data obtained from the DU studies were used to evaluate the qmax values, the temperature impact on the adsorption efficiency and the kinetics of the adsorption process. On the other hand, the data from ultra-tracer level experiments were employed to evaluate the adsorption efficiency (e.g., %-relative removal, Kd). The DU and the U-232 concentrations in the test solutions were determined by liquid scintillation counting and alpha-spectroscopy, respectively. This kind of study is fundamental regarding the radionuclide mobility in the geosphere and the development of particles as useful adsorbents for the treatment of uranium-contaminated waters.

2. Materials and Methods

2.1. Materials

The experiments were performed in 30 mL polyethylene vials under ambient conditions and in de-ionized water. A standard U-232 tracer solution (12.05 kBq g−1 activity concentration), which was obtained from the National Physical Laboratory (Teddington, UK) was appropriately diluted to prepare reference and test solutions with a concentration of 0.5 Bq/mL, each. On the other hand, reference and test solutions of DU were prepared by dissolution of accurately weighed amounts of UO2(NO3)2 × 6H2O salt (Merck, USA) in de-ionized water to obtain uranium concentrations ranging from 1 × 10−4 to 1 × 10−2 M. Alumina (γ-Al2O3, grain size: 0.05–0.20 mm, Sigma-Aldrich) and HA–salt (humic acid sodium salt, Sigma-Aldrich) were purchased from commercial suppliers. HA–salt solutions of three different concentrations (0.01 g/L, 0.1 g/L and 1.0 g/L) were prepared using deionized water.

2.2. HA-Coating of Al2O3

Alumina particles were functionalized by contacting 10 g of Al2O3 with 100 mL of humic acid solutions prepared at three initial HA–salt concentrations (0.01 g/L, 0.1 g/L, and 1 g/L). The suspensions were maintained under ambient conditions for two weeks with constant agitation (SK-R1807, DLAB, Beijing, China). After equilibration, the solid fraction was recovered and subjected to vacuum drying 70 °C for approximately 24 h. The resulting HA–salt-coating alumina materials were subsequently employed as adsorbents to assess the influence of humic acid coating on uranium uptake over concentration levels ranging from mmol to fmol. The amount of HA adsorbed on the alumina surface was determined by subtracting the HA amount remaining in solution from the total amount of HA in the initial solution. The amount of HA in solution was calculated from the solution volume and the HA concentration in solution, which was determined by UV–Vis spectrophotometry. Generally, the absorbances at 254 nm and 436 nm are used for the determination of organic carbon and particularly humic acid concentration in solution [15]. In this study, HA reference solutions of varying concentrations have been prepared by dissolving an appropriate amount of HA–salt in de-ionized water. Following, the adsorption spectra have been obtained and the absorbances at 254 nm and 436 nm have been used to prepare a calibration curve, which was employed to determine the HA concentration in solution after HA adsorption on the alumina particles.

2.3. Adsorption Experiments with DU at Relatively High Concertation of U(VI)

The adsorption experiments of DU were conducted at different concentrations, ranging from 1 × 10−4 to 1 × 10−2 M. The mass of the Al2O3-coated particles used in each experiment was 0.1 g and the final solution had a total volume of 25 mL. The samples were shaken in an orbital shaker at 125 rpm for 3 days, at pH 3, under ambient conditions and following aliquots of 100 μL were obtained, and the uranium concentration in solution was determined by liquid scintillation counting (LSC). Liquid scintillation counting (LSC) was applied to determine the uranium concentration at increased uranium levels because of its simplicity, high efficiency for alpha activity measurements and rapid analysis at increased radionuclide levels. LSC is often the choice when no isotopic identification and spectral resolution is required. The radiometric analysis of DU was performed by liquid scintillation counting (LSC, supplied by Triathler, Hidex Oy, Turku, Finland) after mixing 100 μL of the test solution with 9 mL of the scintillation solution (Aqualight, supplied by Hidex). The experiments with DU were conducted at relatively high concentrations (up to 1 × 10−2 M) and the associated data were employed to obtain the adsorption isotherms (qe—Ce), the impact of temperature on the adsorption efficiency (qe (mol/kg)—T) and the DU uptake at a given time (qt (mol/kg)—t), where qt and qe are the adsorption efficiencies, and Ce (mol/L) and Ci (mol/L) the solution concentrations of DU at a given time (t) and equilibrium, respectively. The experiments were conducted in duplicate and mean values were used for data evaluation, and the plots were generated using KaleidaGraph (version 5.0.6), a graphing software by Synergy Software (Mumbai, India).

2.4. Adsorption Experiments with U-232 at Ultra-Tracer Levels

Adsorption studies with the uranium isotope U-232 were performed by contacting 0.1 g of the particles with 10 mL of U-232 solution ([U-232] = 86 fmol/L and activity concentration = 25 Bq/L) in 30 mL screw-cap polyethylene vials. The particles were contacted for 10 days (240 h) under ambient conditions, at two different pH values (pH 4 and 7) and three temperatures (25, 35, 45 °C), with continuous shaking to reach a steady-state/equilibrium condition [9]. Following, a tiny amount of the test solution was obtained and electrodeposited onto a stainless steel planchet. The electrodeposition of uranium on stainless steel planchets is a common technique for source preparation used for alpha spectrometry of alpha particle emitting isotopes. Here, a tiny amount of the test solutions (100 μL) was dissolved in a sulfate electrolyte (0.15 M (NH4)2SO4) adjusted to pH 2 to avoid the formation of any hydrolysis products. The solution was then transferred to a custom-made electrodeposition cell containing a stainless-steel plate for the deposition of positively charged ions. From this solution, uranium was directly electrodeposited on the planchets (active area diameter: 10 mm) at a voltage of 17 V and a current of 0.6 A for 2 h and constant temperature (10 °C). As the anode, an inert platinum wire was used. Generally, electrodeposition is used to provide well-defined geometry, reproducible source preparation, high chemical yield and low background. Following, the U-232 concentration was analyzed by alpha-spectroscopy (10 h), using Alpha Analyst, an integrated alpha spectrometer (Canberra, Mirion Technologies Inc., San Ramon, CA, USA) as described elsewhere [16].
Given the disparity between the trace uranium concentration and the high density of available surface sites, the adsorption behavior of U-232 was assessed using Kd values.
K d = C a d s C a q   ( L K g )
In this expression, Cads (Bq/kg) refers to the activity of U-232 associated with the solid phase, whereas Caq (Bq/L) indicates the remaining activity in solution.
Because the experiments were conducted at ultra-trace radionuclide concentrations, non-negligible adsorption to the container walls was accounted for, and corrected adsorption values were used in the Kd calculations.
The following formula was used to calculate the enthalpy (ΔH°) and entropy (ΔS°) of the system:
ln k d = Δ H ο R T + Δ S o R
The Kd values depend on both enthalpy and entropy, while being inversely affected by temperature. This dependence can be expressed as a linear relationship, where the slope corresponds to the enthalpy term divided by the gas constant (R) and temperature (T, in Kelvin), and the intercept reflects the entropy term normalized by the gas constant.

3. Results

3.1. HA-Coating of Al2O3

The HA-coating of the Al2O3 particles was performed by immersing the inorganic particles in HA–salt-solutions of varying concentrations (e.g., 0.01 g/L, 0.1 g/L and 1.0 g/L). The initially white solid phase progressively developed a brownish coloration upon interaction with humic acid. After a two-week equilibration period, the suspension was separated and the supernatant was collected for the determination of the residual HA concentration by UV–Vis spectrophotometry, following the procedure reported elsewhere [3]. The quantity of humic acid associated with the Al2O3 particles was calculated as the difference between the initial HA amount and the remaining fraction in the solution. The fraction of HA adsorbed by alumina as a function of the initial HA concentration is presented in Figure 1. An exponential relationship (R2 = 0.9999) was observed, demonstrating that HA uptake is strongly governed by its starting concentration in the aqueous phase.
The cardinal role of the HA–salt concentration regarding the amount of HA adsorbed by the alumina particles has been noticed also in previous studies on the adsorption of HA by Al2O3 particles [6,8]. In addition, studies regarding the mechanism have revealed that the adsorption is mainly driven by surface ligand exchange reactions [6,7]. However, at an acidic pH, the contribution of electrostatic/coulombic interactions between oppositely charged species becomes significant [17,18,19]. In order to spectroscopically prove surface coverage by HA, FTIR spectra of the particles prior and after coating have been obtained. However, due to the very low amount of HA adsorbed, the spectra did not show any significant differences. Hence, besides the color change in the particle surface and the removal of HA from the solution in the presence of the alumina particles, there was no direct evidence of surface coverage.

3.2. Adsorption Studies

3.2.1. Adsorption of U-232, at Ultra-Tracer Levels, by HA-Coated Al2O3—Kd Evaluation

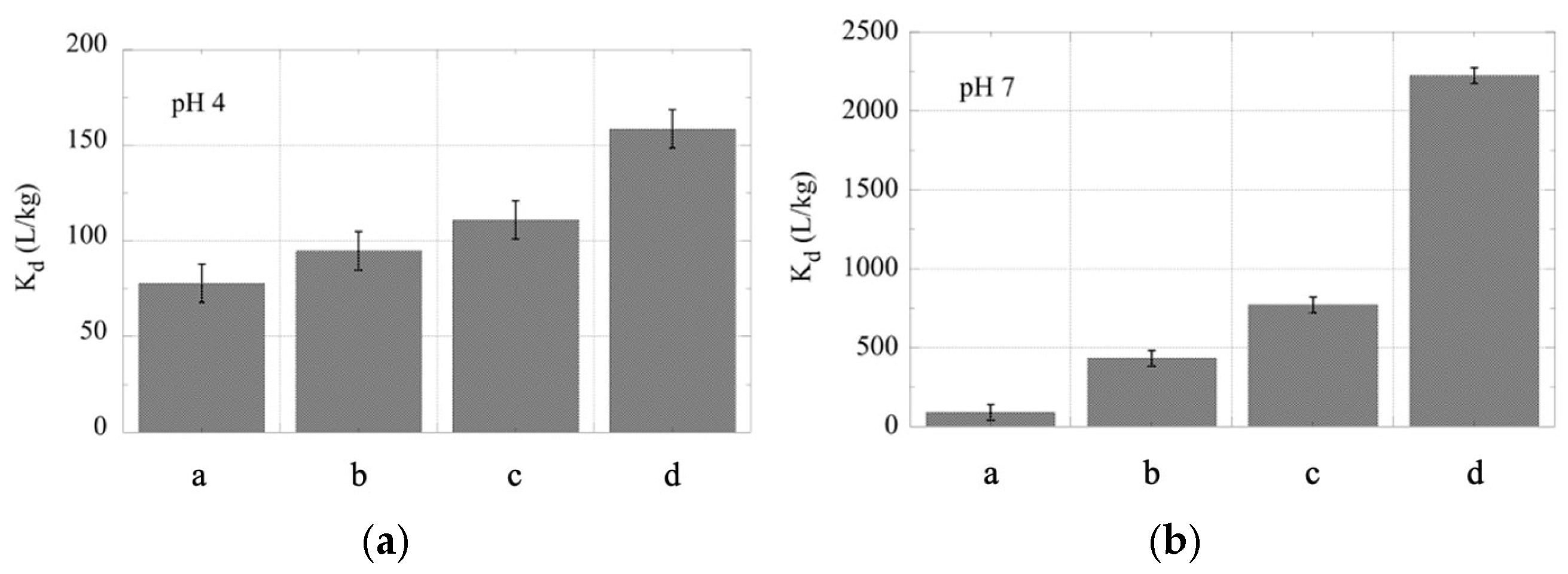
The Kd values for the U-232 by the alumina particles before and after HA–salt-coating using HA–salt solutions of different concentrations have been evaluated by means of batch-type experiments at pH 4 and pH 7, to ensure the chemical integrity of the humic acids, and the associated data are graphically shown in Figure 2a and Figure 2b, respectively. According to the data shown in Figure 2, the adsorption efficiency (Kd values) increases with increasing HA amount deposited on the surface of the particles, indicating the positive impact of HA on the U-232 adsorption. The Kd values increase almost linearly (R2 = 0.92) at pH 4 and exponentially at pH 7. This is indicating that the impact is far more pronounced (almost 10 times higher) at neutral pH. This is attributed to the quantitative deprotonation of the carboxylic moieties of the adsorbed HA, which strongly complex U(VI) forming inner-sphere complexes and stabilize uranium on the particle’s surface [14,19]. In the weak acidic pH region (pH 4), in which the carboxylic groups of the humic acid are extensively protonated (pKa1 = 3.7) and the formation of the inner-sphere complexes are destabilized, the adsorption of U(VI) is mainly based on the interaction between the equatorial H2O of the “UO2” moiety and the terminal surface oxygen [13].
Possible interactions of the uranyl cations with the alumina surface prior and after coating are schematically shown in Figure 3. The interaction of hexavalent uranium (U(VI)) with alumina and humic acid differs fundamentally and is associated with different surface binding mechanisms between U(VI) and the surface active groups, which are hydroxyl groups in the case of alumina, and mainly carboxyl and phenolic functional groups in the case of humic acid. Although under mildly acidic to near neutral pH conditions the hydroxyl groups of alumina form with U(VI) stable inner-sphere complexes, under acidic conditions (up to pH 4) the formation of outer-sphere complexes with no direct bonding between the metal ion and the surface active group is favored (Figure 3a). On the other hand, the carboxyl and phenolic groups of humic acid bind U(VI) primarily through the formation of inner-sphere complexes, which involves a direct bond between the metal ion and the complexing moieties, resulting in the formation of very stable chelates (Figure 3b). The chelates are stable over a wide pH range and in the presence of carbonate ligands enhancing the adsorption of U(VI) on the particle surface.
The temperature effect on the adsorption efficiency (Kd) of uranium (U-232) by Al2O3 particles pretreated with humic acid solutions at neutral pH was investigated in deionized water, with the results presented in Figure 4a. The experimental data demonstrate that adsorption is enhanced with increasing temperature, confirming the endothermic nature of uranium uptake by the Al2O3 particles. In addition, the experimental data were used to derive the thermodynamic parameters ΔH° (standard enthalpy) and ΔS° (standard entropy) using the linearized Van’t Hoff equation (Equation (2)) and the corresponding results are depicted in Figure 4b,c. The findings clearly indicate that the adsorption is an endothermic and entropy-driven process. This behavior can be attributed to the release of multiple water molecules from the coordination sphere of U(VI) upon adsorption, thereby increasing the degree of randomness at the solid–solution interface [20].

3.2.2. Adsorption of DU by HA-Coated Al2O3 at Relativly High Concetrations of U(VI)

Experiments have been carried out also using DU solutions of relative increased uranium levels (1 × 10−4 mol/L < [U(VI)] < 6 × 10−2 mol/L) to evaluate the maximum adsorption capacity of alumina particles before and after HA-coating using HA–salt solutions of variable concentrations. The experiments have been performed at pH 3 to avoid any interferences related to polynucleation reactions and surface precipitation due to the relatively increased uranium levels. Figure 5 summarizes the adsorption isotherms obtained for the alumina particles before and after treatment with HA–salt solutions of different concentrations ([HA–salt] = 0.01, 0.1 and 1.0 g/L). Application of the Langmuir isotherm model, which describes well the experimental data, resulted in maximum adsorption capacity values (qmax), which differ only in the case of the particles with the highest HA-coating and are significantly higher (qmax = 0.16 ± 0.02 mol/kg) compared to the other counterparts (qmax = 0.11 ± 0.02 mol/kg). This can be ascribed to the relatively low pH (pH 3) at which the experiments were performed and the relatively low particle coverage associated with the 0.01 g/L and 0.1 g/L HA–salt solutions. Assuming that the pKa value of the carboxylic groups of the humic acid is pKa1 = 3.7 [19], the carboxylic groups of HA are extensively protonated and hence the carboxylate complexation of U(VI) is largely unfavored and the U(VI) adsorption is mainly based on outer-sphere complex formation.
Hence, following experiments related to the temperature effect and contact time have been carried out with the non-treated and with the 1 g/L HA–salt solution-coated alumina particles. The data obtained from the experiments performed to investigate the temperature effect (Figure 6) clearly indicate that the adsorption in both cases is an endothermic process, which corroborates the assumption that the adsorption mechanism at pH 3 is similar in both cases and that electrostatic interactions and outer-sphere complex formation is the predominant adsorption mechanism. Generally, outer-sphere complex formation reactions are endothermic, because there is no direct metal–ligand, which is usually exothermic and releases energy. On the contrary, energy is required to reorganize/displace solvent molecules when the two complex forming species are coming closer. Even electrostatic attractions (e.g., charge- or dipole-base), which are relatively weak, cannot compensate the energy needed to reorganize/displace the solvent molecules. Moreover, the results indicate that the adsorption thermodynamics are similar at increased (mmol) and ultra-low (fmol) concentration levels.
Similarly, the data obtained from the experiments related to the effect of contact time show that the adsorption kinetics for both materials are similar up to about 40 min (Figure 7). Then, with time, the two adsorption kinetics differ significantly from one another. This can be attributed to the fact that the formation of outer-sphere complexes, which is based on electrostatic interactions and hydrogen bridge formation [13], is at pH 3 the only possible interaction mechanism between the alumina surface and the uranyl vations and hence the adsorption kinetics do not change with time. The rate of the outer-sphere complex formation is relatively fast because of the low activation energy. This is because, in contrast to inner-sphere complex formation, the coordination sphere of the metal remains intact and no ligand substitution occurs. The surface binding is based on electrostatic attractions and quick association between oppotely charged species. On the other hand, in the case of the HA-coated particles, the first step is here also the formation of outer-sphere complexes, which are formed faster than the inner-sphere complexes. However, in the presence of complexing moieties (e.g., carboxylic groups of HA) gradually the outer-sphere complexes turn into the more stable inner-sphere complexes [21].

4. Conclusions

Our research provides interesting insights regarding the effect of natural organic matter (NOM), specifically humic acid (HA–salt), on the adsorption behavior of Al2O3 particles towards uranium in aqueous solutions in the mmol and fmol concentration range.
The adsorption studies in the fmol concentration range denote that the amount of HA–salt which adsorbed on the Al2O3 particles strongly affects their affinity towards uranium. The adsorption efficiency is moderate under acidic conditions (pH 4, up to 158 L/kg) and increases dramatically in neutral solutions (pH 7, up to 2225 L/kg). The latter is attributed to the extensive deprotonation of the HA carboxylic groups, which as hard Lewis bases strongly bind U(VI). The results, obtained from the experiments at increased uranium levels (mmol concentration range) and have been performed only at pH 3 to avoid interferences caused by polynucleation and surface precipitation reactions, corroborate the positive effect of HA-coating on the U(VI) adsorption. In addition, the obtained results indicate that the adsorption is an endothermic process and entropy-driven process independent of the concentration range. In contrast to ultra-trace levels where kinetics are exclusively determined by the diffusion of the radionuclide towards the surface, at increased uranium levels the data indicate that the adsorption in the case of the HA–salt-coated Al2O3 particles is a two-step process that initially involves most probably the formation of outer-sphere complexes and following the formation of inner-sphere complexes between U(VI) and the HA carboxylic groups.
The present results indicate that HA-coated Al2O3 particles present significant adsorption performance even at a low pH, which is of particular interest for the removal and recovery of uranium from processes and waste waters. This study expands our knowledge regarding the role of HA-coating on the environmental performance of inorganic particles, which is of fundamental importance with respect to radionuclide behavior and mobility in the geosphere and the development of efficient and environmentally friendly adsorbents for the treatment of radionuclide-polluted waters.

Author Contributions

Methodology I.I. and I.P.; Investigation I.I., G.V., I.S. and I.P.; Formal analysis, I.I., I.S. and I.P., Data curation, I.I. and I.P.; Software, I.P.; Project administration, I.P.; Writing—original draft, I.I. and I.P.; Writing—review and editing, I.I. and I.P. All authors have read and agreed to the published version of the manuscript.

Funding

This research received no external funding.

Institutional Review Board Statement

Not applicable.

Informed Consent Statement

Not applicable.

Data Availability Statement

Data are available on request.

Conflicts of Interest

The authors declare no conflicts of interest.

References

  1. Smedley, P.L.; Kinniburgh, D.G. Uranium in natural waters and the environment: Distribution, speciation and impact. Appl. Geochem. 2023, 148, 105534. [Google Scholar] [CrossRef]
  2. Jones, M.N.; Bryan, N.D. Colloidal properties of humic substances. Adv. Colloid Interface Sci. 1998, 78, 1–48. [Google Scholar] [CrossRef]
  3. Ioannidis, I.; Antoniou, E.; Pashalidis, I. Enhanced radionuclide (U-232) adsorption by humic acid-coated microplastics. J. Environ. Chem. Eng. 2025, 13, 115064. [Google Scholar]
  4. de Melo, B.A.G.; Motta, F.L.; Santana, M.H.A. Humic acids: Structural properties and multiple functionalities for novel technological developments. Mater. Sci. Eng. C 2016, 62, 967–974. [Google Scholar] [CrossRef]
  5. Jin, P.; Song, J.; Yang, L.; Jin, X.; Wang, X. Selective binding behavior of humic acid removal by aluminum coagulation. Environ. Pollut. 2018, 233, 290–298. [Google Scholar] [CrossRef]
  6. Schlautman, M.A.; Morgan, J.J. Adsorption of aquatic humic substances on colloidal-size aluminum oxide particles: Influence of solution chemistry. Geochim. Cosmochim. Acta 1994, 58, 4293–4303. [Google Scholar] [CrossRef]
  7. Fleury, G.; del Nero, M.; Barillon, R. Effect of mineral surface properties (alumina, kaolinite) on the sorptive fractionation mechanisms of soil fulvic acids: Molecular-scale ESI-MS studies. Geochim. Cosmochim. Acta 2017, 196, 1–17. [Google Scholar] [CrossRef]
  8. Yan, M.; Liu, C.; Wang, D.; Ni, J.; Cheng, J. Characterization of adsorption of humic acid onto alumina using quartz crystal microbalance with dissipation. Langmuir 2011, 27, 9860–9865. [Google Scholar] [CrossRef]
  9. Ait Akbour, R.; Ouachtak, H.; Jada, A.; Akhouairi, S.; Ait Addi, A.; Douch, J.; Hamdani, M. HA-coated alumina as adsorbent for the removal of organic dye from coloured effluents. Desalin. Water Treat. 2018, 112, 207–217. [Google Scholar] [CrossRef]
  10. Yang, K.; Zhu, L.; Xing, B. Sorption of phenanthrene by nanosized alumina coated with sequentially extracted humic acids. Environ. Sci. Pollut. Res. 2010, 17, 410–419. [Google Scholar] [CrossRef]
  11. Tan, X.L.; Wang, X.K.; Geckeis, H.; Rabung, T. Sorption of Eu(III) on humic acid or fulvic acid bound to hydrous alumina studied by SEM-EDS, XPS, TRLFS, and batch techniques. Environ. Sci. Technol. 2008, 42, 6532–6537. [Google Scholar] [CrossRef]
  12. Kumar, S.; Rawat, N.; Kar, A.S.; Tomar, B.S.; Manchanda, V.K. Effect of humic acid on sorption of technetium by alumina. J. Hazard. Mater. 2011, 192, 1040–1045. [Google Scholar] [CrossRef]
  13. Neumann, J.; Carr, A.J.; Lessing, J.; Soderholm, L.; Catalano, J.G.; Fenter, P.; Lee, S.S. Unraveling pH-dependent changes in adsorption structure of uranyl on alumina (012). J. Phys. Chem. Lett. 2024, 15, 3493–3501. [Google Scholar] [CrossRef]
  14. Liu, Z.; Ou, T.; Su, M.; Peng, H.; Song, G.; Kong, L.; Chen, D. U(VI) sequestration by Al-rich minerals: Mechanism on phase dependence and the influence of natural organic matter. Chem. Eng. J. 2021, 415, 128858. [Google Scholar] [CrossRef]
  15. De Haan, H.; De Boer, T.; Kramer, H.A.; Voerman, J. Applicability of light absorbance as a measure of organic carbon in humic lake water. Water Res. 1982, 16, 1047–1050. [Google Scholar] [CrossRef]
  16. Ioannidis, I.; Anastopoulos, I.; Pashalidis, I. Microplastics as radionuclide (U-232) carriers. J. Mol. Liq. 2022, 351, 118641. [Google Scholar] [CrossRef]
  17. Bergers, J.J.; Vingerhoeds, M.H.; van Bloois, L.; Herron, J.N.; Janssen, L.H.; Fischer, M.J.; Crommelin, D.J. The role of protein charge in protein-lipid interactions. pH-dependent changes of the electrophoretic mobility of liposomes through adsorption of water-soluble, globular proteins. Biochemistry 1993, 32, 4641–4649. [Google Scholar] [CrossRef]
  18. Fu, J.; Schlenoff, J.B. Driving forces for oppositely charged polyion association in aqueous solutions: Enthalpic, entropic, but not electrostatic. J. Am. Chem. Soc. 2016, 138, 980–990. [Google Scholar] [CrossRef]
  19. Tombácz, E.; Dobos, Á.; Szekeres, M.; Narres, H.D.; Klumpp, E.; Dékány, L. Effect of pH and ionic strength on the interaction of humic acid with aluminium oxide. Colloid Polym. Sci. 2000, 278, 337–345. [Google Scholar] [CrossRef]
  20. Ioannidis, I.; Kinigopoulou, V.; Anastopoulos, I.; Giannakoudakis, D.A.; Pashalidis, I. The interaction of two emerging pollutants, radionuclides and microplastics: In-depth thermodynamic studies in water, seawater, and wastewater. Sustain. Chem. Environ. 2024, 8, 100184. [Google Scholar] [CrossRef]
  21. Choppin, G.R. Inner versus outer sphere complexation of f-elements. J. Alloys Compd. 1997, 249, 9–13. [Google Scholar] [CrossRef]
Figure 1. Relative amount of HA, with standard deviation error, adsorbed by Al2O3 particles as a function of the initial HA–salt-concentration in solution.
Figure 1. Relative amount of HA, with standard deviation error, adsorbed by Al2O3 particles as a function of the initial HA–salt-concentration in solution.
Applsci 16 01829 g001
Figure 2. Distribution coefficient values (Kd), with standard deviation error, for the U-232 adsorption by Al2O3 particles treated with humic acid solutions of different HA–salt concentrations (“a” = AlOx, “b” = AlOx–HA–salt_0.01 g/L, “c” = AlOx–HA–salt_, 0.1 g/L, and “d” = AlOx–HA–salt_1.0 g/L) at (a) pH 4 and (b) pH 7. The adsorption experiments were conducted under ambient atmospheric conditions.
Figure 2. Distribution coefficient values (Kd), with standard deviation error, for the U-232 adsorption by Al2O3 particles treated with humic acid solutions of different HA–salt concentrations (“a” = AlOx, “b” = AlOx–HA–salt_0.01 g/L, “c” = AlOx–HA–salt_, 0.1 g/L, and “d” = AlOx–HA–salt_1.0 g/L) at (a) pH 4 and (b) pH 7. The adsorption experiments were conducted under ambient atmospheric conditions.
Applsci 16 01829 g002
Figure 3. Schematic illustration of possible interactions between U(VI) and (a) alumina and (b) HA-coated alumina particles.
Figure 3. Schematic illustration of possible interactions between U(VI) and (a) alumina and (b) HA-coated alumina particles.
Applsci 16 01829 g003
Figure 4. (a) Distribution coefficient values (Kd) (b) ΔH° and (c) ΔS° for the U-232 adsorption by Al2O3 particles treated with humic acid solutions of different HA–salt concentrations (“a” = AlOx, “b” = AlOx–HA–salt_0.01 g/L, “c” = AlOx–HA–salt_, 0.1 g/L, and “d” = AlOx–HA–salt_1.0 g/L) at pH 7 and three different temperatures (25, 35, 45 °C).
Figure 4. (a) Distribution coefficient values (Kd) (b) ΔH° and (c) ΔS° for the U-232 adsorption by Al2O3 particles treated with humic acid solutions of different HA–salt concentrations (“a” = AlOx, “b” = AlOx–HA–salt_0.01 g/L, “c” = AlOx–HA–salt_, 0.1 g/L, and “d” = AlOx–HA–salt_1.0 g/L) at pH 7 and three different temperatures (25, 35, 45 °C).
Applsci 16 01829 g004
Figure 5. Adsorption isotherms of the DU adsorption by Al2O3 particles coated with humic acid at different HA–salt concentrations (0.01 g/L, 0.1 g/L and 1.0 g/L). Experiments were performed at pH 3 under ambient atmospheric conditions and evaluated standard deviation errors.
Figure 5. Adsorption isotherms of the DU adsorption by Al2O3 particles coated with humic acid at different HA–salt concentrations (0.01 g/L, 0.1 g/L and 1.0 g/L). Experiments were performed at pH 3 under ambient atmospheric conditions and evaluated standard deviation errors.
Applsci 16 01829 g005
Figure 6. qe values as a function of temperature for the adsorption of DU by Al2O3 particles prior and after treatment with 1 g/L humic acid solution. The adsorption experiments were conducted under ambient atmospheric conditions and pH 3, [DU] = 5 × 10−4 mol/L, 0.1 g particles, 10 mL solution and evaluated standard deviation errors.
Figure 6. qe values as a function of temperature for the adsorption of DU by Al2O3 particles prior and after treatment with 1 g/L humic acid solution. The adsorption experiments were conducted under ambient atmospheric conditions and pH 3, [DU] = 5 × 10−4 mol/L, 0.1 g particles, 10 mL solution and evaluated standard deviation errors.
Applsci 16 01829 g006
Figure 7. ln(qe–qt) as a function of time for the adsorption of DU by Al2O3 particles prior and after treatment with 1 g/L humic acid salt solution. The adsorption experiments were conducted under ambient atmospheric conditions and pH 3, [DU] = 1 × 10−3 mol/L, 0.1 g particles and 25 mL solution and evaluated standard deviation errors.
Figure 7. ln(qe–qt) as a function of time for the adsorption of DU by Al2O3 particles prior and after treatment with 1 g/L humic acid salt solution. The adsorption experiments were conducted under ambient atmospheric conditions and pH 3, [DU] = 1 × 10−3 mol/L, 0.1 g particles and 25 mL solution and evaluated standard deviation errors.
Applsci 16 01829 g007
Disclaimer/Publisher’s Note: The statements, opinions and data contained in all publications are solely those of the individual author(s) and contributor(s) and not of MDPI and/or the editor(s). MDPI and/or the editor(s) disclaim responsibility for any injury to people or property resulting from any ideas, methods, instructions or products referred to in the content.

Share and Cite

MDPI and ACS Style

Ioannidis, I.; Vakarou, G.; Sarrou, I.; Pashalidis, I. Uranium Adsorption at Increased and Ultra-Trace Levels by Humic Acid-Coated Alumina: Thermodynamic and Kinetic Studies. Appl. Sci. 2026, 16, 1829. https://doi.org/10.3390/app16041829

AMA Style

Ioannidis I, Vakarou G, Sarrou I, Pashalidis I. Uranium Adsorption at Increased and Ultra-Trace Levels by Humic Acid-Coated Alumina: Thermodynamic and Kinetic Studies. Applied Sciences. 2026; 16(4):1829. https://doi.org/10.3390/app16041829

Chicago/Turabian Style

Ioannidis, Ioannis, Georgia Vakarou, Iacovos Sarrou, and Ioannis Pashalidis. 2026. "Uranium Adsorption at Increased and Ultra-Trace Levels by Humic Acid-Coated Alumina: Thermodynamic and Kinetic Studies" Applied Sciences 16, no. 4: 1829. https://doi.org/10.3390/app16041829

APA Style

Ioannidis, I., Vakarou, G., Sarrou, I., & Pashalidis, I. (2026). Uranium Adsorption at Increased and Ultra-Trace Levels by Humic Acid-Coated Alumina: Thermodynamic and Kinetic Studies. Applied Sciences, 16(4), 1829. https://doi.org/10.3390/app16041829

Note that from the first issue of 2016, this journal uses article numbers instead of page numbers. See further details here.

Article Metrics

Back to TopTop