Research on Multi-State Estimation Strategy for Lithium-Ion Batteries Considering Temperature Bias
Abstract
1. Introduction
2. Materials and Methods
2.1. Lithium-Ion Battery Modeling
2.1.1. Dual-Polarization Equivalent Circuit Model
2.1.2. Online Parameter Identification Using FFRLS
2.2. Joint SOC and SOP Estimation Framework
2.2.1. SOC Estimation Based on Unscented Particle Filter
- (1)
- Initialization: At the initial time instant , according to the given initial distribution , particles representing the uncertainty of the system state are generated and denoted as . The corresponding covariance matrices are initialized as , where .
- (2)
- Time update: For , the unscented Kalman filter (UKF) is applied to each particle to perform the prediction step, yielding the predicted state and the associated covariance matrix .
- (3)
- Resampling: Based on the measurement , the posterior weight of each particle is calculated. The particle weights are then normalized as
- (4)
- State update: The SOC estimate at time step is obtained as the weighted expectation of all particles,
2.2.2. SOP Estimation Using a Stepwise Progressive Strategy
- (1)
- SOC Constraint
- (2)
- Terminal Voltage Constraint
- (3)
- SOP Constraint
2.2.3. Coordinated SOC–SOP Estimation
3. Results
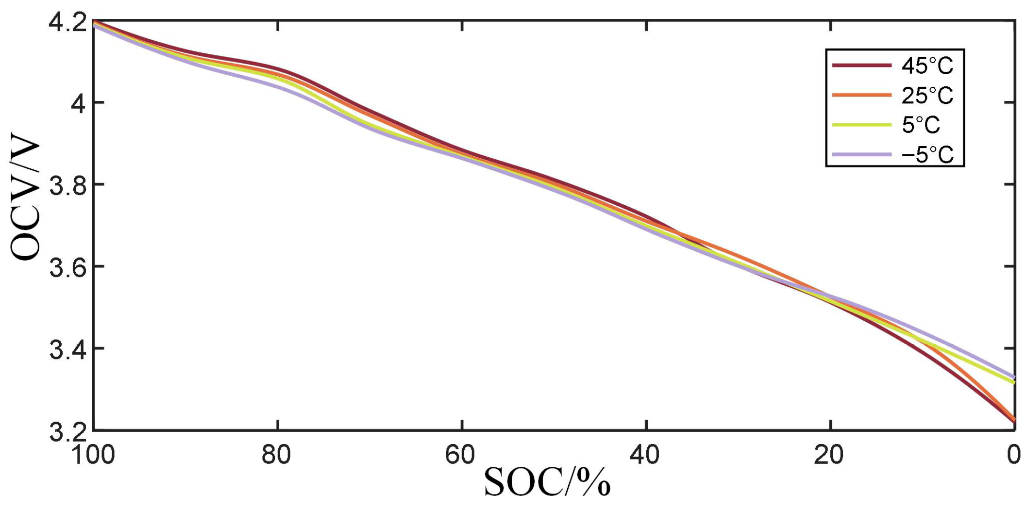
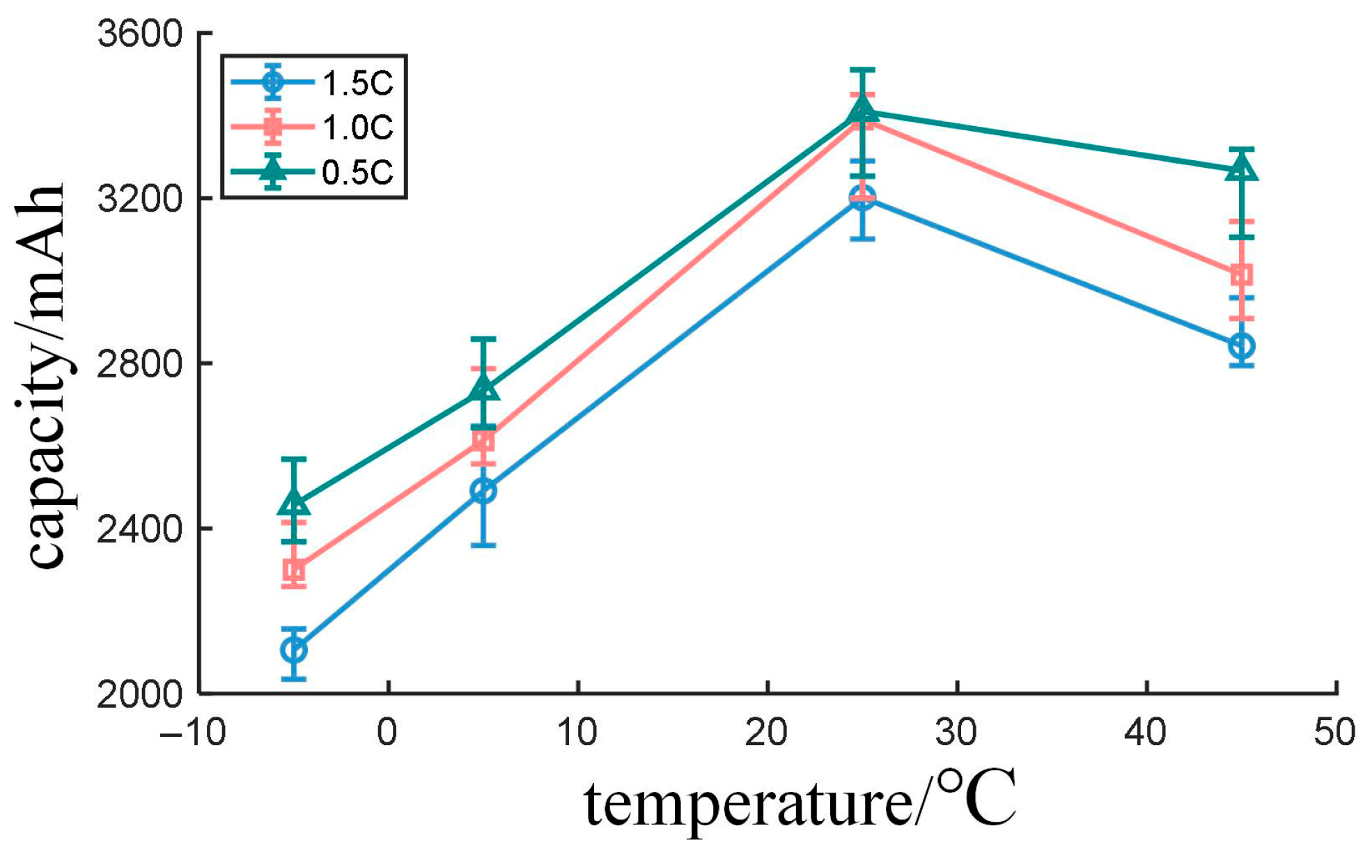
3.1. Validation of Equivalent Circuit Model Accuracy
3.2. SOC Estimation Simulation Analysis
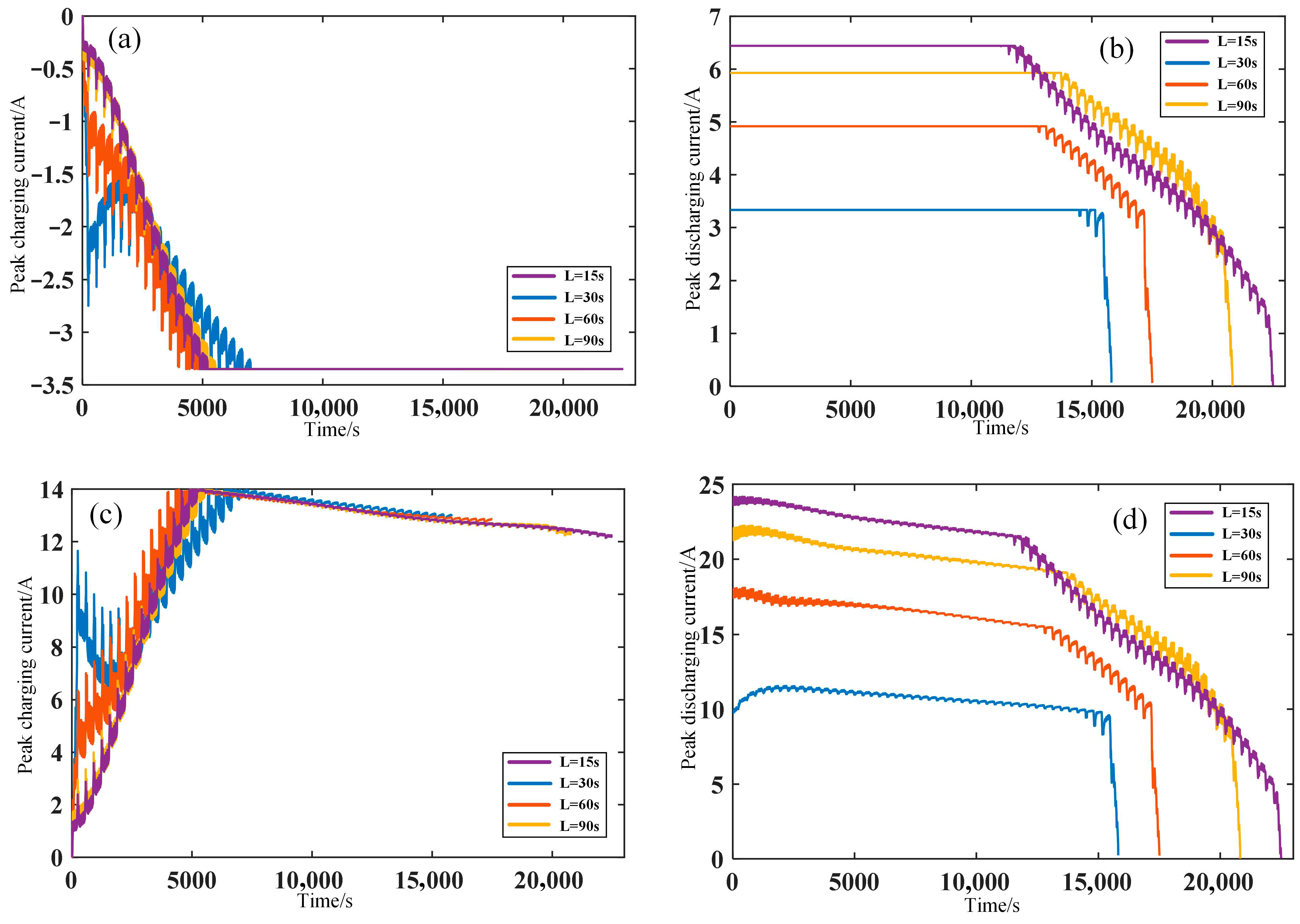
3.3. SOP Estimation Simulation
4. Conclusions
- (1)
- A dual-polarization thermally coupled equivalent circuit model is developed, and an FFRLS-based parameter updating scheme is introduced to effectively mitigate model inaccuracies caused by temperature variations. Experimental results demonstrate that the proposed model achieves accurate terminal voltage tracking across a wide temperature range from −5 °C to 45 °C, with a maximum RMSE below 2.2 mV, indicating strong dynamic tracking capability.
- (2)
- By employing the unscented Kalman filter (UKF) as the proposal distribution of the particle filter, an unscented particle filter (UPF) is constructed for SOC estimation. Compared with the conventional UKF, the proposed UPF exhibits significantly improved convergence speed and estimation accuracy. Under different temperatures and various operating conditions, the maximum SOC estimation error is constrained within 2.1%, and the RMSE remains below 1.4%.
- (3)
- Based on the coupling relationship between SOC and SOP, a stepwise progressive SOP estimation strategy is proposed. By jointly considering multiple constraints, the proposed method accurately predicts peak charging and discharging power. The results indicate that this strategy effectively prevents peak current and peak power from exceeding battery design limits, thereby enhancing operational safety and contributing to extended battery lifespan.
- (4)
- Compared with existing joint SOC/SOP estimation methods, the innovation of this work lies not only in the improvement of estimation accuracy, but also in the overall coherence and engineering applicability of the proposed framework. By integrating a temperature-bias-aware model, online parameter identification, UPF-based state estimation, and a multi-constraint SOP inference mechanism within a unified modeling framework, this study establishes a multi-state cooperative estimation framework tailored for wide-temperature ranges and complex operating conditions. While maintaining high estimation accuracy, the proposed framework enhances adaptability to operating condition variations and model uncertainties, thereby providing a more practical and valuable technical pathway for traction battery energy management and safety control.
Author Contributions
Funding
Data Availability Statement
Conflicts of Interest
References
- Etacheri, V.; Marom, R.; Elazari, R.; Salitra, G.; Aurbach, D. Challenges in the Development of Advanced Li-Ion Batteries: A Review. Energy Environ. Sci. 2011, 4, 3243–3262. [Google Scholar] [CrossRef]
- Zhao, X.; Li, M.; Yu, Q.; Ma, J.; Wang, S. State Estimation of Power Lithium Batteries for Electric Vehicles: A Review. China J. Highw. Transp. 2023, 36, 254–283. [Google Scholar]
- Shrivastava, P.; Soon, T.K.; Idris, M.Y.I.B.; Mekhilef, S.; Adnan, S.B.R.S. Model-Based State of X Estimation of Lithium-Ion Battery for Electric Vehicle Applications. Int. J. Energy Res. 2022, 46, 10704–10723. [Google Scholar] [CrossRef]
- Kumar, D.; Rizwan, M.; Panwar, A.K. Advanced Intelligent Approach for State of Charge Estimation of Lithium-Ion Battery. Energy Sources Part A 2023, 45, 10661–10681. [Google Scholar] [CrossRef]
- Wang, S.; Dang, Q.; Gao, Z.; Li, B.; Fernandez, C.; Blaabjerg, F. An Innovative Square Root-Untraced Kalman Filtering Strategy with Full-Parameter Online Identification for State of Power Evaluation of Lithium-Ion Batteries. J. Energy Storage 2024, 104, 114555. [Google Scholar] [CrossRef]
- Zhang, M.; Fan, X. Design of Battery Management System Based on Improved Ampere-Hour Integration Method. Int. J. Electr. Hybrid Veh. 2022, 14, 1–29. [Google Scholar] [CrossRef]
- Liu, Y.; He, Y.; Bian, H.; Guo, W.; Zhang, X. A Review of Lithium-Ion Battery State of Charge Estimation Based on Deep Learning: Directions for Improvement and Future Trends. J. Energy Storage 2022, 52, 104664. [Google Scholar] [CrossRef]
- Hong, J.; Pei, J.; Liang, F.; Li, M.; Qiu, Y.; Zhang, L. Research on Real Vehicle Power Battery SOC Estimation Based on Sparrow Search Optimized LSTM. J. Southwest Univ. (Nat. Sci. Ed.) 2024, 46, 41–50. [Google Scholar]
- Shrivastava, P.; Soon, T.K.; Idris, M.Y.I.B.; Mekhilef, S.; Adnan, S.B.R.S. Comprehensive Co-Estimation of Lithium-Ion Battery State of Charge, State of Energy, State of Power, Maximum Available Capacity, and Maximum Available Energy. J. Energy Storage 2022, 56, 106049. [Google Scholar] [CrossRef]
- Liu, Y.; Sun, B.; Zhao, X.; Zhang, J. Joint Estimation of SOC/SOP for Lithium-Ion Batteries across a Wide Temperature Range Using an Electro-Thermal Coupling Model. Energy Storage Sci. Technol. 2024, 13, 3030–3041. [Google Scholar]
- Qin, P.; Che, Y.; Li, H.; Cai, Y.; Jiang, M. Joint SOC–SOP Estimation Method for Lithium-Ion Batteries Based on Electro-Thermal Model and Multi-Parameter Constraints. J. Power Electron. 2022, 22, 490–502. [Google Scholar] [CrossRef]
- Peng, S.; Xu, L.; Zhang, W.; Yang, R.; Wang, Q.; Cai, X. Overview of State of Power Prediction Methods for Lithium-Ion Batteries. J. Mech. Eng. 2022, 58, 361–378. [Google Scholar]
- Zhang, X.; Zhang, Z.; Yu, Z. Joint Estimation of SOC and SOP of Lithium Battery. Control Eng. China 2022, 29, 1255–1263, 1309. [Google Scholar]
- Wang, Q.; Qi, W. New SOC Estimation Method under Multi-Temperature Conditions Based on Parametric-Estimation OCV. J. Power Electron. 2020, 20, 614–623. [Google Scholar] [CrossRef]
- Bu, C.; Jiang, K.; Ren, J. Estimation of SOC of Lithium-Ion Battery Based on Improved ASRCKF. Guangdong Electr. Power 2020, 33, 16–25. [Google Scholar]
- Yu, H.; Wang, X.; Wang, J.; Li, L. State of Charge Estimation for Lithium-Ion Battery Based on FFRLS-ARUKF Algorithm. Mach. Des. Manuf. 2023, 36, 27–38. [Google Scholar]
- Wang, J.; Zuo, Z.; Wei, Y.; Jia, Y.; Chen, B.; Li, Y.; Yang, N. State of Charge Estimation of Lithium-Ion Battery Based on GA-LSTM and Improved IAKF. Appl. Energy 2024, 368, 123508. [Google Scholar] [CrossRef]
- Plett, G.L. Extended Kalman Filtering for Battery Management Systems of LiPB-Based HEV Battery Packs—Part 1: Background. J. Power Sources 2004, 134, 252–261. [Google Scholar] [CrossRef]
- He, H.; Xiong, R.; Fan, J. Evaluation of Lithium-Ion Battery Equivalent Circuit Models for State of Charge Estimation by an Experimental Approach. Energies 2011, 4, 582–598. [Google Scholar] [CrossRef]
- Plett, G.L. Model-Based State of Charge and Peak Power Capability Estimation of Lithium-Ion Battery. J. Power Sources 2012, 207, 174–184. [Google Scholar]
- Zhang, X.; Duan, L.; Gong, Q.; Wang, Y.; Song, H. State of Charge Estimation for Lithium-Ion Battery Based on Adaptive Extended Kalman Filter with Improved Residual Covariance Matrix Estimator. J. Power Sources 2024, 589, 233758. [Google Scholar] [CrossRef]
- Wang, L.; Wang, F.; Xu, L.; Li, W.; Tang, J.; Wang, Y. SOC Estimation of Lead–Carbon Battery Based on GA-MIUKF Algorithm. Sci. Rep. 2024, 14, 3347. [Google Scholar] [CrossRef] [PubMed]
- Hui, Z.; Shi, Z.; Wang, R.; Yang, M.; Li, H.; Ren, J.; Cao, Y.; Sun, Y. Health Prediction of Lithium-Ion Batteries by Combining Empirical Mode Decomposition and PF-GPR Algorithm. Mater. Today Energy 2024, 42, 101562. [Google Scholar] [CrossRef]
- Xiong, R.; He, H.; Guo, H.; Ding, Y. Model-Based State of Charge and Capacity Estimation for Lithium-Ion Batteries. Appl. Energy 2013, 103, 110–117. [Google Scholar]
- Plett, G.L. Extended Kalman Filtering for Battery Management Systems of LiPB-Based HEV Battery Packs—Part 2: Modeling and Identification. J. Power Sources 2004, 134, 262–276. [Google Scholar] [CrossRef]
- He, H.; Xiong, R.; Guo, H.; Li, S. Comparison Study on the Battery Models Used for the Energy Management of Electric Vehicles. Energy Convers. Manag. 2012, 64, 113–121. [Google Scholar] [CrossRef]
- Xiong, R.; Cao, J.; Yu, Q.; He, H.; Sun, F. Critical Review on the Battery State of Charge Estimation Methods for Electric Vehicles. IEEE Access 2017, 6, 1832–1843. [Google Scholar] [CrossRef]
- Kumar, R.R.; Bharatiaraja, C.; Udhayakumar, K.; Devakirubakaran, S.; Sekar, K.S.; Mihet-Popa, L. Advances in Batteries, Battery Modeling, Battery Management System, Battery Thermal Management, SOC, SOH, and Charge/Discharge Characteristics in EV Applications. IEEE Access 2023, 11, 105761–105809. [Google Scholar] [CrossRef]
- Kurucan, M.; Özbalta, M.; Yetgin, Z.; Alkaya, A. Applications of Artificial Neural Network Based Battery Management Systems: A Literature Review. Renew. Sustain. Energy Rev. 2024, 192, 114262. [Google Scholar] [CrossRef]
- Tian, J.; Chen, C.; Shen, W.; Sun, F.; Xiong, R. Deep Learning Framework for Lithium-Ion Battery State of Charge Estimation: Recent Advances and Future Perspectives. Energy Storage Mater. 2023, 61, 102883. [Google Scholar] [CrossRef]
- Manoharan, A.; Begam, K.M.; Aparow, V.R.; Sooriamoorthy, D. Artificial Neural Networks, Gradient Boosting and Support Vector Machines for Electric Vehicle Battery State Estimation: A Review. J. Energy Storage 2022, 55, 105384. [Google Scholar] [CrossRef]
- How, D.N.; Hannan, M.A.; Lipu, M.H.; Ker, P.J. State of Charge Estimation for Lithium-Ion Batteries Using Model-Based and Data-Driven Methods: A Review. IEEE Access 2019, 7, 136116–136136. [Google Scholar] [CrossRef]
- Zhou, W.; Zheng, Y.; Pan, Z.; Lu, Q. Review on the Battery Model and SOC Estimation Method. Processes 2021, 9, 1685. [Google Scholar] [CrossRef]












| Ref. | SOC Estimation Method/SOP Estimation Strategy | Temperature Consideration |
|---|---|---|
| [10] | EKF/Multi-constraint SOP | Partial |
| [11] | UKF/Fixed-horizon SOP | No |
| [13] | ARUKF/Constraint-based SOP | Limited |
| [16] | DKF/Joint SOC/SOP | Yes |
| This work | UPF/Stepwise progressive SOP under | Wide temperature range (−5–45 °C) |
| Item | Specification |
|---|---|
| Cell format | 18,650 cylindrical |
| Cathode material | Nickel–cobalt–aluminum oxide (NCA) |
| Anode material | 3.4 Ah |
| Nominal voltage | 3.6 V |
| Charge/discharge cutoff voltage | 4.2 V/2.5 V |
| Operating temperature range | −20 °C~60 °C |
| Symbol | Description | Unit |
|---|---|---|
| Battery terminal voltage | V | |
| Open-circuit voltage | V | |
| Battery current (positive for discharge) | A | |
| Ohmic resistance | Ω | |
| ) | Polarization resistances | Ω |
| ) | Polarization capacitances | F |
| ) | Polarization voltages | V |
| Battery temperature | °C | |
| Temperature bias | °C | |
| State of charge | – | |
| Initial SOC | – | |
| Nominal capacity | Ah | |
| Sampling period | s | |
| ) | Intermediate identification coefficients | – |
| Time step index | – | |
| State vector | – | |
| Measurement vector | – | |
| Process noise covariance | – | |
| Measurement noise covariance | – | |
| Number of particles | – | |
| Weight of particle (i) | – | |
| Prediction horizon | s | |
| ) | Maximum charging/discharging current | A |
| ) | Voltage constraints | V |
| ) | Power limits | W |
| Predicted terminal voltage | V | |
| Root mean square error | mV | |
| Mean absolute error | mV | |
| Maximum absolute error | mV |
Disclaimer/Publisher’s Note: The statements, opinions and data contained in all publications are solely those of the individual author(s) and contributor(s) and not of MDPI and/or the editor(s). MDPI and/or the editor(s) disclaim responsibility for any injury to people or property resulting from any ideas, methods, instructions or products referred to in the content. |
© 2026 by the authors. Licensee MDPI, Basel, Switzerland. This article is an open access article distributed under the terms and conditions of the Creative Commons Attribution (CC BY) license.
Share and Cite
Zeng, Z.; Wang, Y.; Wang, S. Research on Multi-State Estimation Strategy for Lithium-Ion Batteries Considering Temperature Bias. Appl. Sci. 2026, 16, 1754. https://doi.org/10.3390/app16041754
Zeng Z, Wang Y, Wang S. Research on Multi-State Estimation Strategy for Lithium-Ion Batteries Considering Temperature Bias. Applied Sciences. 2026; 16(4):1754. https://doi.org/10.3390/app16041754
Chicago/Turabian StyleZeng, Zhihai, Yajun Wang, and Siyuan Wang. 2026. "Research on Multi-State Estimation Strategy for Lithium-Ion Batteries Considering Temperature Bias" Applied Sciences 16, no. 4: 1754. https://doi.org/10.3390/app16041754
APA StyleZeng, Z., Wang, Y., & Wang, S. (2026). Research on Multi-State Estimation Strategy for Lithium-Ion Batteries Considering Temperature Bias. Applied Sciences, 16(4), 1754. https://doi.org/10.3390/app16041754
