Featured Application
Use of distribution analysis for quantifying motor disability in post-stroke patients.
Abstract
Stroke frequently results in persistent upper limb impairments, which are often accompanied by compensatory movement strategies that are not fully captured by conventional clinical assessment scales. Quantitative kinematic analyses may provide more objective and sensitive measures of motor dysfunction. In this study, we propose a probabilistic, distribution-based analysis of upper limb kinematics to quantify motor disability in post-stroke patients. We analyzed reaching movement data acquired with a markerless Kinect V2 system from 36 post-stroke patients and age-matched healthy controls. Wrist velocity profiles were characterized using distribution metrics, including variance, skewness, kurtosis, and entropy, and divergence measures (Hellinger distance, Kullback–Leibler divergence, and Jensen–Shannon divergence). Group differences between patients and controls, as well as across impairment levels stratified by the Fugl-Meyer (FM) score, were evaluated. Several distribution metrics significantly discriminated patients from controls and scaled with motor impairment severity. In particular, divergence-based measures showed a strong association with FM scores, indicating increasing deviation from normative movement patterns with greater impairment. These findings demonstrate that distribution-based metrics focusing on kinematic analysis provide a clinically meaningful, objective descriptor of motor dysfunction and complement conventional biomechanical assessments, offering a sensitive framework for quantifying motor disability after stroke.
1. Introduction
Stroke is one of the leading causes of long-term disability worldwide, and its motor consequences often impair the execution of coordinated, goal-directed upper limb movements. To compensate for these deficits, individuals frequently adopt alternative motor strategies, such as increased trunk displacement or exaggerated shoulder elevation, that help restore task performance but compromise movement efficiency and disrupt normal joint synergies [1,2]. Capturing these compensatory behaviors quantitatively is therefore essential for understanding how motor control reorganizes after stroke and for guiding targeted rehabilitation. Therefore, to accurately quantify and enhance motor recovery, it is essential to properly assess patients’ motor impairments and identify compensatory strategies. Clinicians commonly rely on standardized assessment scales, such as the Fugl-Meyer Assessment (FM) [3] and the Wolf Motor Function Test (WMFT) [4], to evaluate motor function. However, most activity-level motor scales do not explicitly capture compensatory strategies. Consequently, quantitative approaches, including the analysis of kinematic and dynamic parameters, may provide more comprehensive and objective measures of motor performance.
Advances in motion-capture technologies have supported increasingly detailed kinematic analyses in both laboratory and clinical environments. In particular, low-cost, markerless systems like the Microsoft Kinect have enabled accessible, objective assessments of upper limb motor behavior in stroke survivors [5]. Kinect sensors represent a valuable tool for patient monitoring, as they allow markerless kinematic evaluations through an embedded software development kit (SDK) for human skeleton tracking. A recent review reported that combining Kinect-based rehabilitation with standard physiotherapy yields positive effects on motor performance in stroke patients [6]. However, most existing studies have relied on clinical scales rather than biomechanical assessments derived from Kinect data to evaluate motor performance. Only a limited number of studies have proposed original biomechanical assessment protocols based on Kinect technology, demonstrating the ability to distinguish post-stroke patients from healthy participants during reaching tasks [5]. Furthermore, the reliability of the Kinect V2 system has been evaluated across multiple functional movements, showing its capability to discriminate between patients and healthy individuals and stratify patients depending on motion capabilities [7]. Kinect sensors have also been shown to be feasible for assessing gait in patients with multiple sclerosis [8] and for quantifying clinically relevant movements in individuals with Parkinson’s disease [9]. Scano and colleagues [10] showed that instrumental kinematic evaluation can effectively quantify compensatory patterns, such as trunk movement and shoulder-elbow coordination, through biomechanical parameters derived from reaching tasks. Their approach yielded clinically meaningful metrics capable of distinguishing patients by motor-impairment severity.
Despite these advances, most kinematic studies still rely on a restricted set of pointwise biomechanical metrics, such as maximal joint angles, peak velocities, or trunk displacement. Although intuitive, these scalar metrics compress the complexity of movement trajectories, potentially ignoring subtle yet functionally relevant features of motor behavior. As a result, variations in coordination, trial-to-trial consistency, or small compensatory adjustments may remain undetected [11,12]. To overcome these limitations, probabilistic and distribution-based analytical frameworks have gained attention in motor control research [13]. Rather than reducing trajectories to summary values, these approaches represent motion as continuous probability distributions or density maps across space and time [13]. Such representations can reveal motor capabilities or deficits. Applying a probabilistic perspective to post-stroke kinematics thus offers the potential for richer and maybe more sensitive characterization of motor impairment. Considering the full distribution of motion samples, rather than isolated values, allows a detailed description of how the spatial and temporal structure of movement differs between healthy and impaired motor control. For instance, differences in distributional spread or skewness may reflect instability or inconsistent recruitment of compensatory degrees of freedom. Statistical measures such as variance, kurtosis, skewness, and entropy have been employed to discriminate the kinematic patterns of post-stroke patients from healthy controls [14,15]. Moreover, these measures have also been applied to the assessment of motor performance in individuals with Parkinson’s disease [16,17]. In addition, metrics that quantify the divergence between probability distributions, such as the Hellinger distance and the Kullback–Leibler divergence, have been used to evaluate the motor performance of post-stroke patients relative to healthy controls and have shown significant correlations with FM score [18,19].
Probabilistic measures capture the full variability of movement trajectories, rather than reducing them to single-point summary metrics such as mean velocity, peak acceleration, or smoothness indices. They do not replace classical kinematic measures, but they complement them by providing additional information on movement variability and subtle motor impairments that may be overlooked by conventional metrics. Moreover, these measures can be computed using wrist tracking alone, making the approach simple and minimally invasive.
In this study, we reanalyzed the kinematic dataset already presented in Scano et al. [10] within this probabilistic, distribution-based framework. Our objective is to compare distributional features, such as variance, skewness, kurtosis, and entropy, and divergence-based metrics, such as the Hellinger distance, the Kullback–Leibler divergence, and the Jensen-Shannon divergence, between post-stroke patients and healthy controls, and across varying degrees of motor impairment severity. We aim to show that probabilistic kinematic profiling complements conventional biomechanical descriptors, providing a more comprehensive view of motor control adaptation after stroke.
2. Materials and Methods
2.1. Recruitment
An observational study was conducted comparing the kinematic data of the contralesional upper limb of stroke patients with those of age-matched healthy controls during a reaching task [5,20,21]. Stroke patients were also assessed with the Fugl-Meyer Assessment scale to determine the severity of motor impairment.
Two cohorts were enrolled in this study: stroke and healthy subjects. Eligible stroke patients were individuals with unilateral deficits following ischemic or hemorrhagic stroke, recruited at the Villa Beretta Rehabilitation Center, Ospedale Valduce (Costa Masnaga, Italy). The study was approved by the section “IRCCS Fondazione Don Carlo Gnocchi”, Comitato Etico IRCCS Regione Lombardia (study ID 03_08/02/2023), and conducted in compliance with the Declaration of Helsinki. Inclusion criteria for stroke survivors were: history of ischemic/hemorrhagic stroke; unilateral upper limb impairment; ability to understand instructions; and ability to maintain a seated posture. Exclusion criteria included bilateral impairment, cognitive deficits, and severe comorbid medical conditions. The total number of patients enrolled was thirty-six (19M, 17F, age 57.9 (15.3) years). The lesion side was right for twenty patients and left for sixteen patients. Healthy control participants were required to be age-matched and without neurological or musculoskeletal disorders. Before testing, all controls underwent screening and clinical evaluation for neurological or orthopedic abnormalities and were excluded if any were identified. Seventeen age-matched control subjects were also enrolled (8M, 9F, age 55.6 (8.5) years).
All participants provided informed consent before participation. Both patients and healthy controls were then instrumented by an experienced bioengineer using a Kinect V2-based motion capture system developed at the Italian Council of National Research (CNR).
2.2. Data Collection
Healthy participants and patients followed a standardized protocol described in previous studies [5,10,21]. Subjects sat on an adjustable-height chair with their feet on the floor and their knees and hips positioned at 90 degrees. In the resting pose, both hands were placed on the thighs, with the elbows flexed and the shoulders slightly extended. From this position, participants were instructed to move their hand toward a target in front of them without lifting their back from the backrest. Kinematic data of at least 12 movements were recorded using custom in-house software integrated with Kinect SDK version 2.0. All measurements for both patients and healthy controls were completed within a single session.
Patients were assessed using the FM scale and categorized into four subgroups according to the impairment severity, following the cluster-based classification proposed by Woytowicz et al. [22]: severely impaired (FM ≤ 15), severe-to-moderate impaired (FM > 15 and <35), moderate-to-mild impaired (FM ≥ 35 and <54), and mildly impaired (FM ≥ 54). The focus of the work was on stroke severity, aiming to assess whether distribution-based metrics can effectively stratify patients according to clinical impairment. Therefore, in the comparison with controls, no considerations were made for age, sex, or handedness.
2.3. Data Analysis
The evaluation protocol followed and consistently extended the procedures described in previous work [5,10]. All data analysis and preprocessing were performed offline in MATLAB R2023b (Mathworks, Natick, MA, USA). Data were collected under optimal conditions in terms of camera positioning and participant posture. No significant occlusions or joint-tracking artifacts were observed. Standard noise filtering was applied to the tracking coordinates, and a small number of movement repetitions with poor signal quality were excluded from further analysis.
During preprocessing, all body tracking coordinates were filtered using a third-order low-pass Butterworth filter with a 6 Hz cutoff frequency to reduce noise. Each trial was segmented into movement phases, defined as the interval between the initial resting position and the moment the arm reached the target. The starting and ending points were detected using a thresholding algorithm applied to the shoulder flexion velocity profiles in the sagittal plane, with the threshold set at 5% of the maximum velocity. The analysis focused on the x (forward), y (vertical), and z (lateral) wrist position coordinates. Data were differentiated to obtain the corresponding velocity profiles, from which the distributions were subsequently computed.
2.4. Distribution Metrics
For each trial, kinematic distributions were constructed from the complete time series of wrist velocity samples within the movement phase. All velocity values contributed to the distribution, such that temporal variability and internal movement dynamics were implicitly preserved. The average metric values for each participant were used for group comparisons and for regression analysis. The time distribution of a gesture reflects how a variable (e.g., wrist velocity profile in the sagittal direction) evolves throughout a single execution.
The metrics considered were variance, skewness, kurtosis, and entropy, computed along the three spatial axes. A summary of all metrics is provided in Table 1.
Table 1.
List of distribution metrics.
Variance quantifies the dispersion of the signal values around their mean [23] and is defined as
where µ is the population mean, and n is the number of samples.
Skewness measures the asymmetry in the signal distribution [23] and is computed as
where µ is the population mean, n is the number of samples, and s is the standard deviation of the signal.
Kurtosis describes the concentration of the data in the tails relative to the center [23] and is calculated as
where µ, n, and s have the same meaning as above.
Entropy quantifies the irregularity or unpredictability of a signal. The Shannon entropy was used [24], and it is calculated from the histogram as follows
where k is the number of histogram bins, and Pi is the probability associated with bin i.
For the next three measures, we computed the probability distribution (PD) of the velocity of the wrist for both patients and controls, and then, the mean PD was computed for controls. PDs were estimated using fixed histogram binning across all participants and conditions to ensure comparability between groups. Metrics were computed between the PD of each participant and the mean PD of controls. Hellinger (H) distance quantifies the similarity between two probability distributions [25] and is computed as
where Pi and Qi are the PDs to be compared, and k is the number of histogram bins.
Kullback–Leibler (KL) divergence is a measure of how one PD diverges from a second reference PD [26] and is calculated as
where Pi, Qi, and k have the same definitions as above.
The Jensen-Shannon (JS) divergence computes the similarity between two PDs and measures how much two PDs diverge from a common mean distribution [27]. It is defined as
where , while Pi, Qi, and k have the same definitions as above.
2.5. Outcome Measures and Statistics
All statistical analyses were performed to determine whether the distribution and distance measures (along the x, y, and z axes) differed across groups. First, patients were compared with healthy controls; subsequently, patients were stratified into four groups and compared with controls. In both cases, the same statistical procedure was applied. Since the dataset consisted of multiple, correlated dependent variables, a multivariate analysis of variance (MANOVA) was first performed with group as the fixed factor. MANOVA was selected to evaluate group differences in the overall multivariate kinematic profile. When the MANOVA indicated a significant multivariate group effect, univariate ANOVAs were performed for each variable to determine which measures contributed to the observed multivariate differences. To account for multiple comparisons, the resulting p-values were corrected using the False Discovery Rate (FDR) procedure according to Benjamini and Hochberg [28]. Only FDR-corrected p-values below the 0.05 threshold were considered statistically significant. Post hoc pairwise comparisons were performed using Tukey’s HSD test. Partial eta-squared (ηp2) was reported for univariate ANOVAs to quantify the overall effect of group, with ηp2 > 0.14 interpreted as a large effect. For post hoc pairwise comparisons, effect sizes were computed using Cohen’s d, considering Cohen’s d > 0.8 a large effect.
Linear regression analyses were performed to examine the association between the FM score and the distribution measures. For each measure, the regression coefficient (β), its 95% confidence interval (CI), and the associated p-value were reported. The regression coefficient β quantifies the expected change in the outcome for a one-unit change in the predictor, while the CI provides an estimate of the precision and uncertainty of this effect. The p-value tests whether the observed association is statistically different from zero. Moreover, Pearson’s correlation coefficient (r) was computed to assess the strength and direction of the linear relationship between variables. In simple linear regression, the hypothesis test for β is mathematically equivalent to the test for Pearson’s correlation, and, therefore, both analyses produced identical p-values. Regression analysis was therefore used to quantify effect magnitude and uncertainty, while r was used to describe the relative strength of the association.
3. Results
3.1. Comparison Between Post-Stroke Patients and Healthy Controls
Figure 1 shows the comparison of all the parameters between patients and controls.
Figure 1.
Boxplot comparing distribution parameters between patients (in grey) and controls (in blue). The asterisks indicate the comparisons that are statistically significant (p < 0.05).
The MANOVA revealed a significant overall effect of group on the multivariate set of kinematic distribution measures (p = 0.003). Univariate ANOVAs were conducted to evaluate which individual features contributed to the multivariate effect. Variance X (p = 0.002, ηp2 = 0.21) and variance Y (p < 0.001, ηp2 = 0.44) were lower in patients than in controls, while kurtosis X (p = 0.021, ηp2 = 0.13), kurtosis Y (p = 0.040, ηp2 = 0.10), entropy X (p = 0.008, ηp2 = 0.17), and entropy Z (p = 0.040, ηp2 = 0.10) were higher in patients than in controls. H distance X (p = 0.001, ηp2 = 0.24) and Y (p < 0.001, ηp2 = 0.33), KL divergence X (p = 0.026, ηp2 = 0.12) and Y (p = 0.011, ηp2 = 0.15), and JS divergence X (p = 0.004, ηp2 = 0.19) and Y (p = 0.001, ηp2 = 0.25) were higher in patients than in controls.
3.2. Division Based on FM
Patients were subdivided into 4 groups based on the FM score, following the previous study [10]. In Figure 2, comparisons among groups and controls are shown.
Figure 2.
Boxplot comparing distribution parameters between patient groups (in grey) and controls (in blue). The asterisks indicate the comparisons that are statistically significant (p < 0.05).
The MANOVA revealed a significant overall effect of group on the multivariate set of kinematic distribution measures (Wilk’s lambda, p = 0.0004). The remaining multivariate indices of the MANOVA did not reach statistical significance. Given the significant Wilk’s lambda, univariate ANOVAs were conducted to evaluate which individual features contributed to the multivariate effect. Variance X was lower in severe (p < 0.001, Cohen’s d = −2.18) and moderate–mild groups (p = 0.018, Cohen’s d = −1.32) than in controls, and was lower in the severe group than the mild group (p = 0.004, Cohen’s d = −1.65). Variance Y was lower in severe (p < 0.001, Cohen’s d = −2.69), severe–moderate (p < 0.001, Cohen’s d = −2.02), and moderate–mild (p < 0.001, Cohen’s d = −1.78) groups than in controls and was lower in the severe group than the mild group (p = 0.004, Cohen’s d = −1.81). Skewness X was higher in the severe–moderate group than in controls (p = 0.02, Cohen’s d = 1.23). Kurtosis Y was higher in the severe than the mild group (p = 0.043, Cohen’s d = 1.03) and controls (p = 0.005, Cohen’s d = 1.40). Entropy Z was higher in severe–moderate than in controls (p = 0.025, Cohen’s d = 1.39). H distance X was higher in the severe group than in severe–moderate (p = 0.001, Cohen’s d = 1.47), moderate–mild (p < 0.001, Cohen’s d = 1.44), mild (p < 0.001, Cohen’s d = 2.46), and in controls (p < 0.001, Cohen’s d = 3.45). H distance Y was higher in the severe group than moderate–mild (p = 0.031, Cohen’s d = 0.95), mild (p < 0.001, Cohen’s d = −2.25), and in controls (p < 0.001, Cohen’s d = 3.39), and was higher in the severe–moderate (p = 0.002, Cohen’s d = 2.40) and in moderate–mild (p = 0.002, Cohen’s d = 1.85) than in controls. KL divergence X was higher in the severe group than in severe–moderate (p = 0.009, Cohen’s d = 0.96), moderate–mild (p = 0.005, Cohen’s d = 1.01), mild (p < 0.001, Cohen’s d = 1.24), and in controls (p < 0.001, Cohen’s d = 1.66). KL divergence Y was higher in the severe group than moderate–mild (p = 0.045, Cohen’s d = 0.81), mild (p = 0.001, Cohen’s d = 1.22), and in controls (p < 0.001, Cohen’s d = 1.67). JS divergence X was higher in the severe group than in severe–moderate (p < 0.001, Cohen’s d = 1.32), moderate–mild (p < 0.001, Cohen’s d = 1.32), mild (p < 0.001, Cohen’s d = 1.96), and in controls (p < 0.001, Cohen’s d = 2.69). JS divergence Y was higher in the severe group than moderate–mild (p = 0.021, Cohen’s d = 0.96), mild (p < 0.001, Cohen’s d = 1.95), and in controls (p < 0.001, Cohen’s d = 2.73), and was higher in the severe–moderate (p = 0.037, Cohen’s d = 1.89) and in moderate–mild (p = 0.029, Cohen’s d = 1.69) than in controls.
3.3. Correlation Between Distribution Parameters and FM
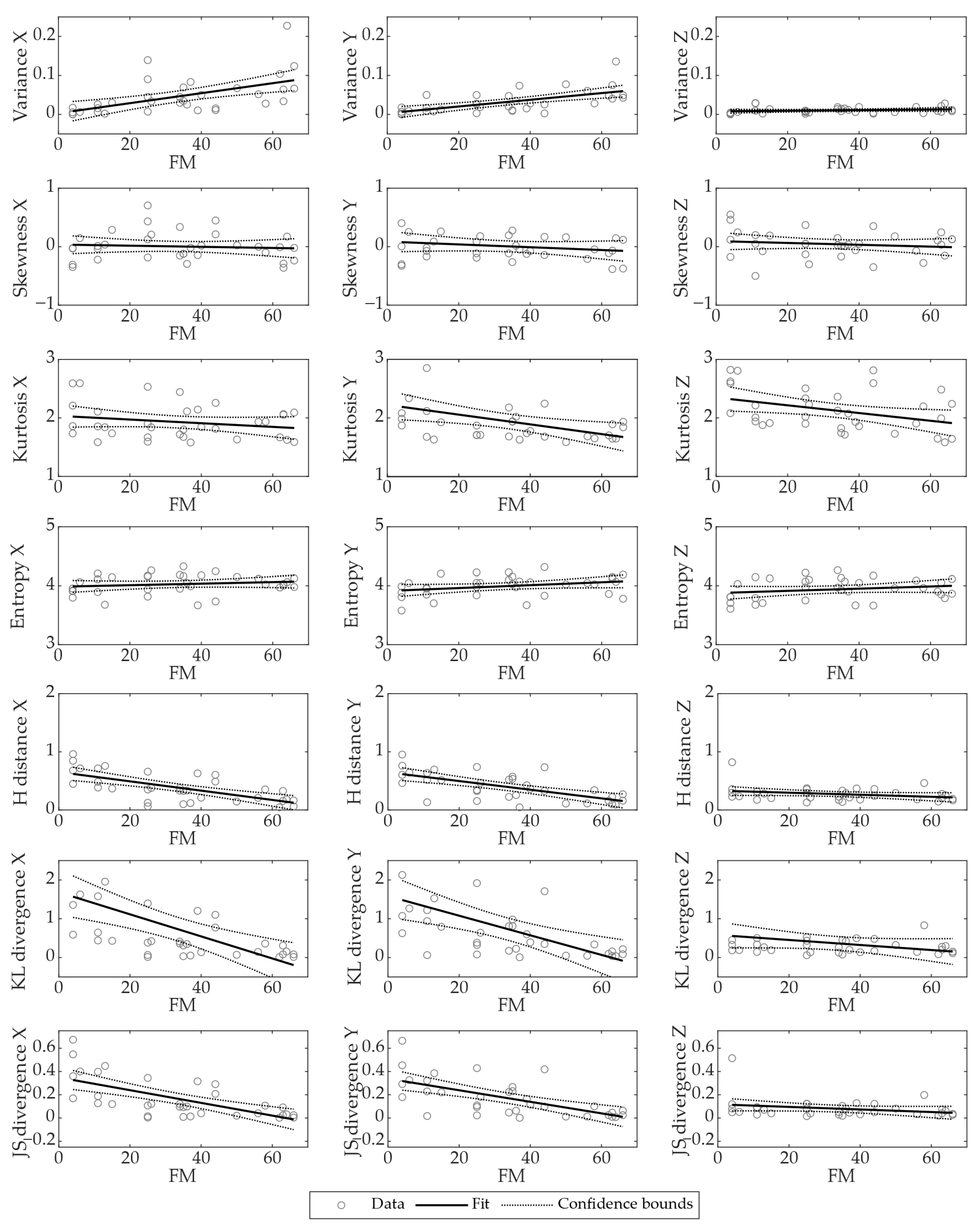
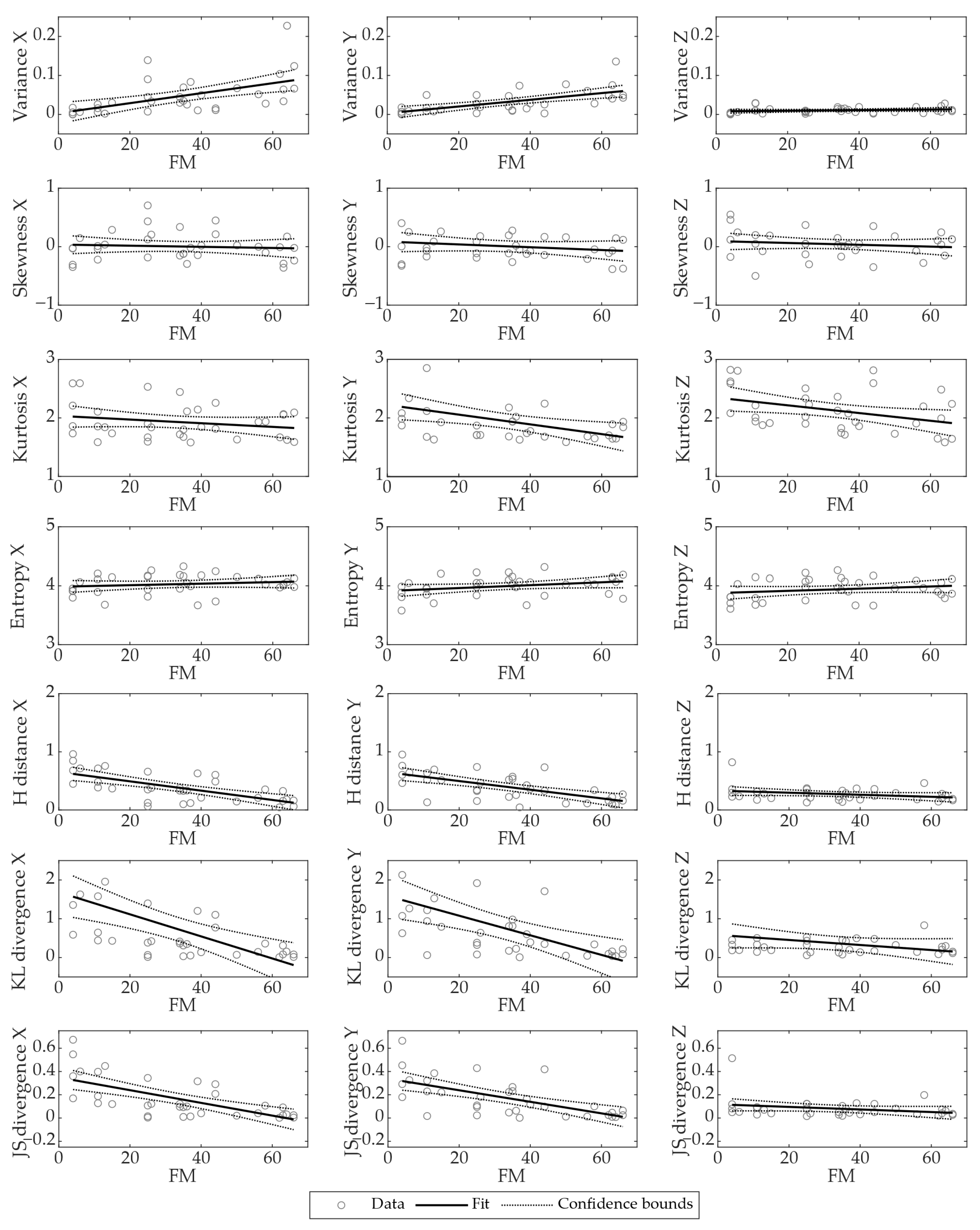
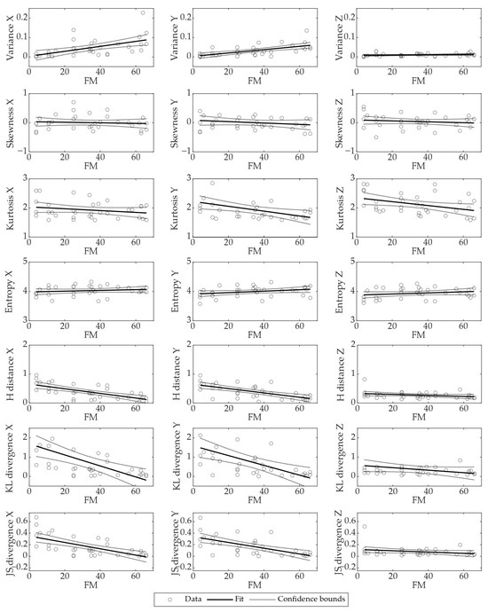
In Figure 3, the linear regression line is shown between distribution parameters and FM score.
Figure 3.
Linear regression lines between distribution parameters and FM score.
Results of the linear regression and Pearson’s correlation coefficients are reported in Table 2. Significant relationships between distribution metrics and FM are found in variance x and y, in which higher variance is associated with higher FM. Kurtosis y and z are, instead, negatively associated with FM; therefore, kurtosis decreases with the increase in the FM score. H distance, KL divergence, and JS divergence in x and y have a strong negative association with FM score, since increasing the functional performance of the movement becomes more similar to the controls.
Table 2.
Linear regression parameters and Pearson’s correlation coefficients. Significant p-values are reported in bold.
4. Discussion
In this study, we investigated whether distribution-based kinematic metrics can provide meaningful and clinically relevant quantification of upper limb motor impairment after stroke. By applying probabilistic analyses to wrist velocity profiles during the reaching task, we evaluated differences between post-stroke patients and healthy controls, as well as across levels of impairment severity. The results demonstrate that several distributional features of movement are altered after stroke and scale with clinical motor function.
4.1. Comparison Between Patients and Controls
The multivariate analysis demonstrated that the distributional properties of wrist-speed profiles are altered in individuals with stroke compared to neurologically intact controls. When considering patients as a single group, the reduced variance in the forward and vertical components of velocity suggests an overall reduction in the natural modulation of movement, consistent with a more constrained and less adaptable motor strategy. Conversely, the higher kurtosis and entropy values observed in patients indicate the presence of sharper velocity peaks and increased irregularity in the temporal organization of the movement profile. The divergence-based metrics (H distance, KL divergence, and JS divergence) revealed the most robust group differences, with patients consistently exhibiting larger distances from the normative kinematic distribution.
The analysis across impairment severity levels further confirmed the progressive distortion of movement distributions with increasing motor deficit. The reduced variance of the severe group in the forward and vertical components of velocity with respect to controls and mild patients suggests an overall reduction in the natural modulation of movement, consistent with a more constrained and shorter movement. Conversely, skewness and entropy discriminated only severe–moderate patients from controls in the x and z axes, respectively, showing that this group presented more accelerated forward movements and unpredictable medio-lateral movements. The higher kurtosis values observed in severe patients indicated the presence of sharper velocity peaks and increased irregularity in the temporal organization of the movement profile. Divergence measures again showed the clearest stratification, with severely impaired participants displaying substantially larger distances from the normative profile across nearly all comparisons. In particular, all divergence measures discriminated the severe group from controls, mild, and moderate–mild patients in the forward and vertical axes. Moreover, the H distance and JS divergence showed that severe–moderate and moderate–mild patients had higher divergence with respect to controls in the vertical axis. Finally, all distance metrics discriminated the severe group from the severe–moderate group in the forward axis. These measures indicated that more impaired patients displayed substantially larger distances from the normative profile in the two main directions of movement. Previous studies found that severe patients showed significantly higher H distance and KL divergence in the elbow profile with respect to controls [18,19]. The lower sensitivity observed along the z-axis should be interpreted in light of the specific reaching trajectory adopted in this study. Since the task was predominantly aligned with the x and y axes, motion along the lateral (z) axis exhibited a limited dynamic range and reduced variability. As a consequence, distribution-based features extracted along the z-axis were inherently less discriminative. This effect is therefore task-dependent and should not be interpreted as an intrinsic property of post-stroke compensatory strategies.
4.2. Regression Analysis with FM Scores
Regression analysis reinforces the clinical relevance of these kinematic distribution measures by demonstrating strong associations with upper limb motor impairment. Variance in X and Y axes showed significant positive relationships with FM scores, suggesting that the ability to express controlled variability is a hallmark of preserved motor function. In contrast, increased kurtosis in the vertical and medio-lateral components was associated with lower FM scores, indicating the presence of sharp velocity bursts and poorly smoothed accelerations may reflect compensatory or maladaptive motor strategies typical of more severe impairment. Previous studies showed that kurtosis, in that case, of the position of the forearm, is a good predictor of the FM score [29,30]. Importantly, divergence-based measures exhibited the strongest correlations with the clinical scale, particularly in the forward and vertical directions. Higher H distance, KL, and JS divergence values were robustly associated with lower FM scores, mirroring the between-group differences and underscoring that the distance from a normative distribution is a descriptor of motor deficit. These results confirm the strong relation found in H distance and KL divergence with FM scores in the elbow profile of stroke patients [18]. Collectively, these results suggest that kinematic distribution features capture clinically meaningful aspects of motor impairment, providing quantitative markers that align closely with standard clinical scores. The consistency between group-wise differences and regression findings indicates that these metrics not only distinguish patients from controls but also quantify the gradation of impairment within the patient cohort. Divergence metrics in particular appear to provide a unified index of movement abnormality that is both sensitive to severity and reflective of the underlying degradation of coordination and smoothness.
4.3. Clinical Implications and Applications
Beyond their role as assessment tools, the proposed metrics provide clinical indicators that may help guide rehabilitation strategies (Table 3).
Table 3.
List of metrics and their clinical implications.
Specifically, reduced variance in wrist velocity reflects constrained and stereotyped motor output. From a rehabilitation perspective, increasing controlled variability may represent a desirable goal, as it indicates improved adaptability and the ability to modulate movement dynamics. Conversely, elevated kurtosis values, particularly in more impaired patients, indicate the presence of sharp velocity peaks, suggesting impulsive or poorly smoothed movements. Rehabilitation interventions aimed at reducing excessive kurtosis would therefore focus on improving movement smoothness, gradual acceleration-deceleration profiles, and temporal coordination. Similarly, abnormally high entropy may reflect unstable or poorly controlled motor execution; in this case, rehabilitation should aim to decrease entropy toward normative values by promoting consistent, repeatable movement strategies. Divergence-based metrics provide a complementary and integrative perspective by quantifying how far a patient’s movement distribution deviates from a healthy reference. Decreasing divergence values over time can be interpreted as a shift toward more physiological movement patterns, making these measures suitable as outcome indicators for rehabilitation progress. Together, these aspects suggest that probabilistic kinematic analysis has the potential to complement standard clinical assessments, supporting personalized, accessible, and outcome-oriented stroke rehabilitation.
From a clinical perspective, the proposed distribution-based kinematic metrics offer several advantages for the assessment and rehabilitation of post-stroke patients. First, these measures can support an objective and quantitative evaluation of upper limb motor impairment using a low-cost, markerless system such as the Kinect V2. The limited hardware requirements, absence of wearable markers, and simple experimental setup make this approach feasible in a wide range of clinical and non-clinical settings, including outpatient clinics, rehabilitation centers, and potentially home environments. The simplicity and scalability of the proposed framework make it suitable for telerehabilitation and remote monitoring applications. This scenario allows objective, automated tracking of motor recovery, providing valuable feedback for patients and therapists while reducing the need for frequent clinical visits.
4.4. Limitations and Future Directions
Although the Kinect V2 has been validated against gold-standard optoelectronic systems, differences in spatial resolution and sampling characteristics may affect the quality of certain kinematic signals. Comparative studies have reported moderate to excellent agreement between Kinect V2 and Vicon in joint tracking and derived clinical parameters [31,32,33], while also highlighting variability related to movement direction, anatomical segment, and task characteristics [34,35]. Moreover, instantaneous measures associated with the tails of velocity distributions (e.g., movement initiation and termination timing) may be particularly susceptible to sensor noise and limited temporal and spatial resolution. Although some sensor noise may occur, the reported distribution-based differences were consistent and robust across participants. Future studies with higher resolution, multi-camera systems could improve precision and enable more detailed analysis of distal limb kinematics. The proposed study focused exclusively on kinematic-derived distributions. However, motor function can also be assessed through biomechanical and muscular analyses [36], and markerless tracking sensors have been shown to support comprehensive biomechanical evaluations [37]. Accordingly, future work will incorporate kinetic measures to achieve a more complete biomechanical characterization of patients.
This study included thirty-six patients; although the overall sample size was adequate for the primary patient-control comparison, stratification into four impairment categories resulted in relatively small subgroup sizes. This may have reduced statistical power for detecting subtle differences between adjacent severity levels (e.g., mild vs. moderate), and therefore, the subgroup-level findings should be interpreted with caution and considered exploratory. Increasing the sample size in future studies would improve both the statistical power and the generalizability of the results. Furthermore, stroke severity was the primary clinical factor of interest and was assessed through stratification based on FM scores. Although other variables, such as time since stroke and lesion characteristics, may be important, the limited sample size precluded meaningful subgroup analyses. Future studies with larger cohorts could incorporate these additional clinical variables, allowing for a more comprehensive assessment of their influence on distribution-based metrics. Moreover, the observed associations between these metrics and FM score support the clinical relevance of the proposed approach. Future work should evaluate their relationship with functional outcome measures, such as the Action Research Arm Test (ARAT), and explore their longitudinal sensitivity to differentiate compensatory strategies from true motor recovery.
Another limitation of this study is that the analysis was limited to a standardized reaching task performed in a seated position and mainly within the sagittal plane. While this controlled movement allowed reliable markerless tracking and minimized confounding factors, post-stroke motor impairment is known to be task-dependent. As a result, distributional features may differ in more complex movements, such as multi-planar reaching or fine motor tasks (e.g., grasping). Future research should therefore extend the proposed framework to a broader range of gestures, provided that increased task complexity does not compromise tracking accuracy. Moreover, including functional activities of daily living, such as hand-to-mouth or combing hair, may be used to validate these measures, beyond laboratory movement. Furthermore, the present analysis focused on comparisons between the affected limb and healthy controls. Although using the less affected limb as an internal reference could provide a personalized baseline, previous evidence [38,39,40] indicates that the ipsilesional limb may also exhibit subtle motor deficits after stroke, making it a potentially biased reference. For this reason, a healthy control group was adopted as a more robust baseline. Future studies may benefit from integrating healthy reference data with within-subject comparisons in order to better account for inter-individual variability and post-stroke asymmetries.
5. Conclusions
This study demonstrates that probabilistic, distribution-based analysis of kinematic data can effectively quantify upper limb motor impairment in post-stroke patients. By characterizing the full distribution of wrist velocity profiles rather than relying on isolated scalar metrics, the proposed approach captures alterations in movement structure. Distribution metrics such as variance, kurtosis, entropy, and, in particular, divergence measures distinguished post-stroke patients from healthy controls and scaled with the severity of impairment as assessed by the FM score. Overall, the findings support the use of distribution-based kinematic measures as a complementary tool to standard clinical assessments.
Author Contributions
Conceptualization, A.S. (Alessandro Scano) and C.B.; methodology, A.S. (Alessandro Scano), C.B. and E.G.; software, A.S. (Alessandro Scano) and C.B.; validation, A.S. (Alessandro Scano), C.B., E.G., V.L., N.M., A.S. (Alessandro Specchia), L.M.T. and F.M.; formal analysis, A.S. (Alessandro Scano), C.B., E.G., V.L., N.M., A.S. (Alessandro Specchia), L.M.T. and F.M.; investigation, A.S. (Alessandro Scano), C.B., E.G., V.L., N.M., A.S. (Alessandro Specchia), L.M.T. and F.M.; resources, A.S. (Alessandro Scano) and E.G.; data curation, A.S. (Alessandro Scano) and C.B.; writing—original draft preparation, A.S. (Alessandro Scano) and C.B.; writing—review and editing, A.S. (Alessandro Scano), C.B., E.G., V.L., N.M., A.S. (Alessandro Specchia), L.M.T. and F.M.; visualization, A.S. (Alessandro Scano) and C.B.; supervision, A.S. (Alessandro Scano); project administration, A.S. (Alessandro Scano), F.M. and L.M.T.; funding acquisition, A.S. (Alessandro Scano). All authors have read and agreed to the published version of the manuscript.
Funding
This research received no external funding.
Institutional Review Board Statement
The study was conducted in accordance with the Declaration of Helsinki and approved by the section “IRCCS Fondazione Don Carlo Gnocchi”, Comitato Etico IRCCS Regione Lombardia (study ID 03_08/02/2023).
Informed Consent Statement
Informed consent was obtained from all subjects involved in the study. Written informed consent has been obtained from the patients to publish this paper.
Data Availability Statement
The data presented in this study are available on request from the corresponding authors.
Conflicts of Interest
The authors declare no conflicts of interest.
Correction Statement
This article has been republished with a minor correction to the authorship order due to an internal error. This change does not affect the scientific content of the article.
Abbreviations
The following abbreviations are used in this manuscript:
| ARAT | Action Research Arm Test |
| CI | Confidence Interval |
| FDR | False Discovery Rate |
| FM | Fugl-Meyer |
| H | Hellinger |
| JS | Jensen–Shannon |
| KL | Kullback–Leibler |
| MANOVA | Multivariate Analysis of Variance |
| PD | Probability Distribution |
| SDK | Software Development Kit |
| WMFT | Wolf Motor Function Test |
References
- Cirstea, M.C.; Levin, M.F. Compensatory Strategies for Reaching in Stroke. Brain 2000, 123, 940–953. [Google Scholar] [CrossRef] [PubMed]
- Michaelsen, S.M.; Jacobs, S.; Roby-Brami, A.; Levin, M.F. Compensation for Distal Impairments of Grasping in Adults with Hemiparesis. Exp. Brain Res. 2004, 157, 162–173. [Google Scholar] [CrossRef] [PubMed]
- Fugl-Meyer, A.R.; Jääskö, L.; Leyman, I.; Olsson, S.; Steglind, S. The Post-Stroke Hemiplegic Patient. 1. a Method for Evaluation of Physical Performance. Scand. J. Rehabil. Med. 1975, 7, 13–31. [Google Scholar] [CrossRef] [PubMed]
- Wolf, S.L.; Lecraw, D.E.; Barton, L.A.; Jann, B.B. Forced Use of Hemiplegic Upper Extremities to Reverse the Effect of Learned Nonuse among Chronic Stroke and Head-Injured Patients. Exp. Neurol. 1989, 104, 125–132. [Google Scholar] [CrossRef]
- Scano, A.; Molteni, F.; Molinari Tosatti, L. Low-Cost Tracking Systems Allow Fine Biomechanical Evaluation of Upper-Limb Daily-Life Gestures in Healthy People and Post-Stroke Patients. Sensors 2019, 19, 1224. [Google Scholar] [CrossRef]
- Almasi, S.; Ahmadi, H.; Asadi, F.; Shahmoradi, L.; Arji, G.; Alizadeh, M.; Kolivand, H. Kinect-Based Rehabilitation Systems for Stroke Patients: A Scoping Review. Biomed. Res. Int. 2022, 2022, 4339054. [Google Scholar] [CrossRef]
- Capecci, M.; Ceravolo, M.G.; Ferracuti, F.; Grugnetti, M.; Iarlori, S.; Longhi, S.; Romeo, L.; Verdini, F. An Instrumental Approach for Monitoring Physical Exercises in a Visual Markerless Scenario: A Proof of Concept. J. Biomech. 2018, 69, 70–80. [Google Scholar] [CrossRef]
- Behrens, J.; Pfüller, C.; Mansow-Model, S.; Otte, K.; Paul, F.; Brandt, A.U. Using Perceptive Computing in Multiple Sclerosis—The Short Maximum Speed Walk Test. J. Neuroeng. Rehabil. 2014, 11, 89. [Google Scholar] [CrossRef]
- Galna, B.; Barry, G.; Jackson, D.; Mhiripiri, D.; Olivier, P.; Rochester, L. Accuracy of the Microsoft Kinect Sensor for Measuring Movement in People with Parkinson’s Disease. Gait Posture 2014, 39, 1062–1068. [Google Scholar] [CrossRef]
- Scano, A.; Guanziroli, E.; Brambilla, C.; Specchia, A.; Tosatti, L.M.; Molteni, F. Kinematic Instrumental Assessment Quantifies Compensatory Strategies in Post-Stroke Patients. Med. Biol. Eng. Comput. 2025, 64, 135–146. [Google Scholar] [CrossRef]
- Michaelsen, S.M.; Levin, M.F. Short-Term Effects of Practice with Trunk Restraint on Reaching Movements in Patients with Chronic Stroke: A Controlled Trial. Stroke 2004, 35, 1914–1919. [Google Scholar] [CrossRef]
- Dipietro, L.; Krebs, H.I.; Fasoli, S.E.; Volpe, B.T.; Hogan, N. Submovement Changes Characterize Generalization of Motor Recovery after Stroke. Cortex 2009, 45, 318–324. [Google Scholar] [CrossRef]
- Srivatsa, A.V.; Aghamohammadi, N.R.; Ryali, P.; Scarpellini, A.; Kim, J.J.H.; Aggarwal, A.; Wright, Z.; Huang, F.C.; Reinkensmeyer, D.J.; Esmailbeigi, H.; et al. Distribution Analysis for Diagnostics and Therapeutics of Motor Actions. IEEE J. Biomed. Health Inform. 2025, 1–16. [Google Scholar] [CrossRef]
- Sethi, A.; Patterson, T.; McGuirk, T.; Patten, C.; Richards, L.G.; Stergiou, N. Temporal Structure of Variability Decreases in Upper Extremity Movements Post Stroke. Clin. Biomech. 2013, 28, 134–139. [Google Scholar] [CrossRef]
- Datta, S.; Karmakar, C.K.; Rao, A.S.; Yan, B.; Palaniswami, M. Upper Limb Movement Profiles during Spontaneous Motion in Acute Stroke. Physiol. Meas. 2021, 42, 045005. [Google Scholar] [CrossRef] [PubMed]
- Ponsiglione, A.M.; Ricciardi, C.; Amato, F.; Cesarelli, M.; Cesarelli, G.; D’Addio, G. Statistical Analysis and Kinematic Assessment of Upper Limb Reaching Task in Parkinson’s Disease. Sensors 2022, 22, 1708. [Google Scholar] [CrossRef]
- de Oliveira, M.E.; Menegaldo, L.L.; Lucarelli, P.; Andrade, B.L.B.; Büchler, P. On the Use of Information Theory for Detecting Upper Limb Motor Dysfunction: An Application to Parkinson’s Disease. Phys. A Stat. Mech. Appl. 2011, 390, 4451–4458. [Google Scholar] [CrossRef]
- Lackritz, H.; Parmet, Y.; Frenkel-Toledo, S.; Baniña, M.C.; Soroker, N.; Solomon, J.M.; Liebermann, D.G.; Levin, M.F.; Berman, S. Effect of Post-Stroke Spasticity on Voluntary Movement of the Upper Limb. J. Neuroeng. Rehabil. 2021, 18, 81. [Google Scholar] [CrossRef]
- Davidowitz, I.; Parmet, Y.; Frenkel-Toledo, S.; Baniña, M.C.; Soroker, N.; Solomon, J.M.; Liebermann, D.G.; Levin, M.F.; Berman, S. Relationship Between Spasticity and Upper-Limb Movement Disorders in Individuals With Subacute Stroke Using Stochastic Spatiotemporal Modeling. Neurorehabilit. Neural Repair 2019, 33, 141–152. [Google Scholar] [CrossRef] [PubMed]
- Scano, A.; Chiavenna, A.; Malosio, M.; Molinari Tosatti, L. Kinect V2 Performance Assessment in Daily-Life Gestures: Cohort Study on Healthy Subjects for a Reference Database for Automated Instrumental Evaluations on Neurological Patients. Appl. Bionics Biomech. 2017, 2017, e8567084. [Google Scholar] [CrossRef]
- Caimmi, M.; Guanziroli, E.; Malosio, M.; Pedrocchi, N.; Vicentini, F.; Molinari Tosatti, L.; Molteni, F. Normative Data for an Instrumental Assessment of the Upper-Limb Functionality. BioMed Res. Int. 2015, 2015, e484131. [Google Scholar] [CrossRef]
- Woytowicz, E.J.; Rietschel, J.C.; Goodman, R.N.; Conroy, S.S.; Sorkin, J.D.; Whitall, J.; McCombe Waller, S. Determining Levels of Upper Extremity Movement Impairment by Applying a Cluster Analysis to the Fugl-Meyer Assessment of the Upper Extremity in Chronic Stroke. Arch. Phys. Med. Rehabilit. 2017, 98, 456–462. [Google Scholar] [CrossRef] [PubMed]
- Forbes, C.S.; Evans, M.; Hastings, N.A.J.; Peacock, B. Statistical Distributions, 4th ed.; Wiley: Hoboken, NJ, USA, 2011; ISBN 978-0-470-39063-4. [Google Scholar]
- Shannon, C.E. A Mathematical Theory of Communication. Bell Syst. Tech. J. 1948, 27, 379–423. [Google Scholar] [CrossRef]
- Hellinger, E. Neue Begründung der Theorie quadratischer Formen von unendlichvielen Veränderlichen. J. Für Die Reine Und Angew. Math. 1909, 1909, 210–271. [Google Scholar] [CrossRef]
- Kullback, S.; Leibler, R.A. On Information and Sufficiency. Ann. Math. Stat. 1951, 22, 79–86. [Google Scholar] [CrossRef]
- Nielsen, F. On the Jensen–Shannon Symmetrization of Distances Relying on Abstract Means. Entropy 2019, 21, 485. [Google Scholar] [CrossRef] [PubMed]
- Benjamini, Y.; Hochberg, Y. On the Adaptive Control of the False Discovery Rate in Multiple Testing With Independent Statistics. J. Educ. Behav. Stat. 2000, 25, 60–83. [Google Scholar] [CrossRef]
- Okita, S.; Schwerz de Lucena, D.; Reinkensmeyer, D.J. Movement Diversity and Complexity Increase as Arm Impairment Decreases After Stroke: Quality of Movement Experience as a Possible Target for Wearable Feedback. IEEE Trans. Neural Syst. Rehabil. Eng. 2024, 32, 2961–2970. [Google Scholar] [CrossRef]
- Cornella-Barba, G.; Okita, S.; Li, Z.; Reinkensmeyer, D.J. Real-Time Sensing of Upper Extremity Movement Diversity Using Kurtosis Implemented on a Smartwatch. Sensors 2024, 24, 5266. [Google Scholar] [CrossRef]
- Clark, R.; Pua, Y.; Oliveira, C.; Bower, K.; Thilarajah, S.; McGaw, R.; Hasanki, K.; Mentiplay, B. Reliability and Concurrent Validity of the Microsoft Xbox One Kinect for Assessment of Standing Balance and Postural Control. Gait Posture 2015, 42, 210–213. [Google Scholar] [CrossRef]
- Capecci, M.; Ceravolo, M.G.; Ferracuti, F.; Iarlori, S.; Longhi, S.; Romeo, L.; Russi, S.N.; Verdini, F. Accuracy Evaluation of the Kinect v2 Sensor during Dynamic Movements in a Rehabilitation Scenario. In Proceedings of the 2016 38th Annual International Conference of the IEEE Engineering in Medicine and Biology Society (EMBC), Orlando, FL, USA, 16–20 August 2016; pp. 5409–5412. [Google Scholar]
- Eltoukhy, M.; Oh, J.; Kuenze, C.; Signorile, J. Improved Kinect-Based Spatiotemporal and Kinematic Treadmill Gait Assessment. Gait Posture 2017, 51, 77–83. [Google Scholar] [CrossRef]
- Otte, K.; Kayser, B.; Mansow-Model, S.; Verrel, J.; Paul, F.; Brandt, A.U.; Schmitz-Hübsch, T. Accuracy and Reliability of the Kinect Version 2 for Clinical Measurement of Motor Function. PLoS ONE 2016, 11, e0166532. [Google Scholar] [CrossRef]
- Faity, G.; Mottet, D.; Froger, J. Validity and Reliability of Kinect v2 for Quantifying Upper Body Kinematics during Seated Reaching. Sensors 2022, 22, 2735. [Google Scholar] [CrossRef]
- McCrea, P.H.; Eng, J.J.; Hodgson, A.J. Saturated Muscle Activation Contributes to Compensatory Reaching Strategies after Stroke. J. Neurophysiol. 2005, 94, 2999–3008. [Google Scholar] [CrossRef] [PubMed]
- Brambilla, C.; Marani, R.; Romeo, L.; Lavit Nicora, M.; Storm, F.A.; Reni, G.; Malosio, M.; D’Orazio, T.; Scano, A. Azure Kinect Performance Evaluation for Human Motion and Upper Limb Biomechanical Analysis. Heliyon 2023, 9, e21606. [Google Scholar] [CrossRef] [PubMed]
- Sainburg, R.L.; Maenza, C.; Winstein, C.; Good, D. Motor Lateralization Provides a Foundation for Predicting and Treating Non-Paretic Arm Motor Deficits in Stroke. In Progress in Motor Control: Theories and Translations; Laczko, J., Latash, M.L., Eds.; Springer International Publishing: Cham, Switzerland, 2016; pp. 257–272. ISBN 978-3-319-47313-0. [Google Scholar]
- Bustrén, E.-L.; Sunnerhagen, K.S.; Alt Murphy, M. Movement Kinematics of the Ipsilesional Upper Extremity in Persons With Moderate or Mild Stroke. Neurorehabilit. Neural Repair 2017, 31, 376–386. [Google Scholar] [CrossRef]
- Scano, A.; Guanziroli, E.; Mira, R.M.; Brambilla, C.; Molinari Tosatti, L.; Molteni, F. Biomechanical Assessment of the Ipsilesional Upper Limb in Post-Stroke Patients during Multi-Joint Reaching Tasks: A Quantitative Study. Front. Rehabil. Sci. 2022, 3, 943397. [Google Scholar] [CrossRef] [PubMed]
Disclaimer/Publisher’s Note: The statements, opinions and data contained in all publications are solely those of the individual author(s) and contributor(s) and not of MDPI and/or the editor(s). MDPI and/or the editor(s) disclaim responsibility for any injury to people or property resulting from any ideas, methods, instructions or products referred to in the content. |
© 2026 by the authors. Licensee MDPI, Basel, Switzerland. This article is an open access article distributed under the terms and conditions of the Creative Commons Attribution (CC BY) license.


