Evaluation of the Gas Production Enhancement Effect of Boundary Sealing and Near-Wellbore Stimulation for Class 1 Hydrate Reservoir Step-Wise Depressurization with a Horizontal Well
Abstract
1. Introduction
2. Methodology
2.1. Geological Backround
2.2. Simulation Code
2.3. Model and Cases Design
2.4. Initial and Boundary Conditions
2.5. Model Validation
3. Results and Discussion
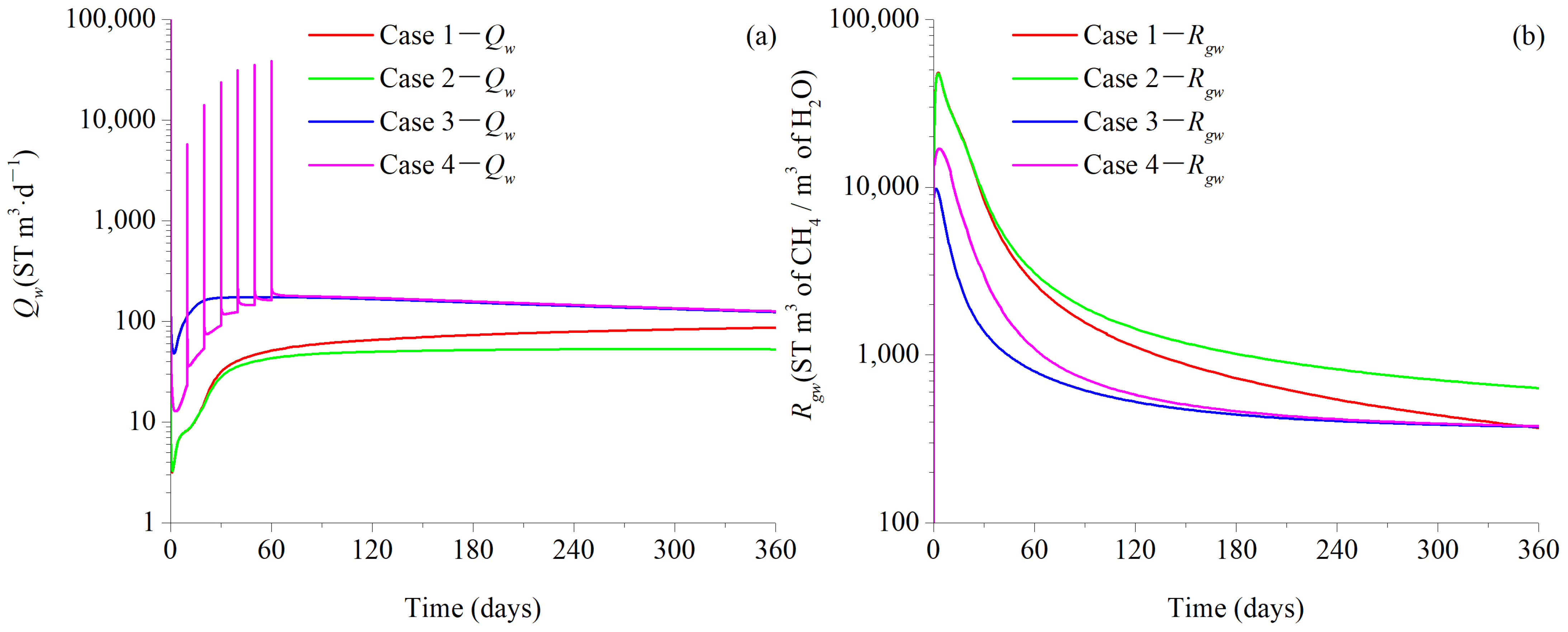
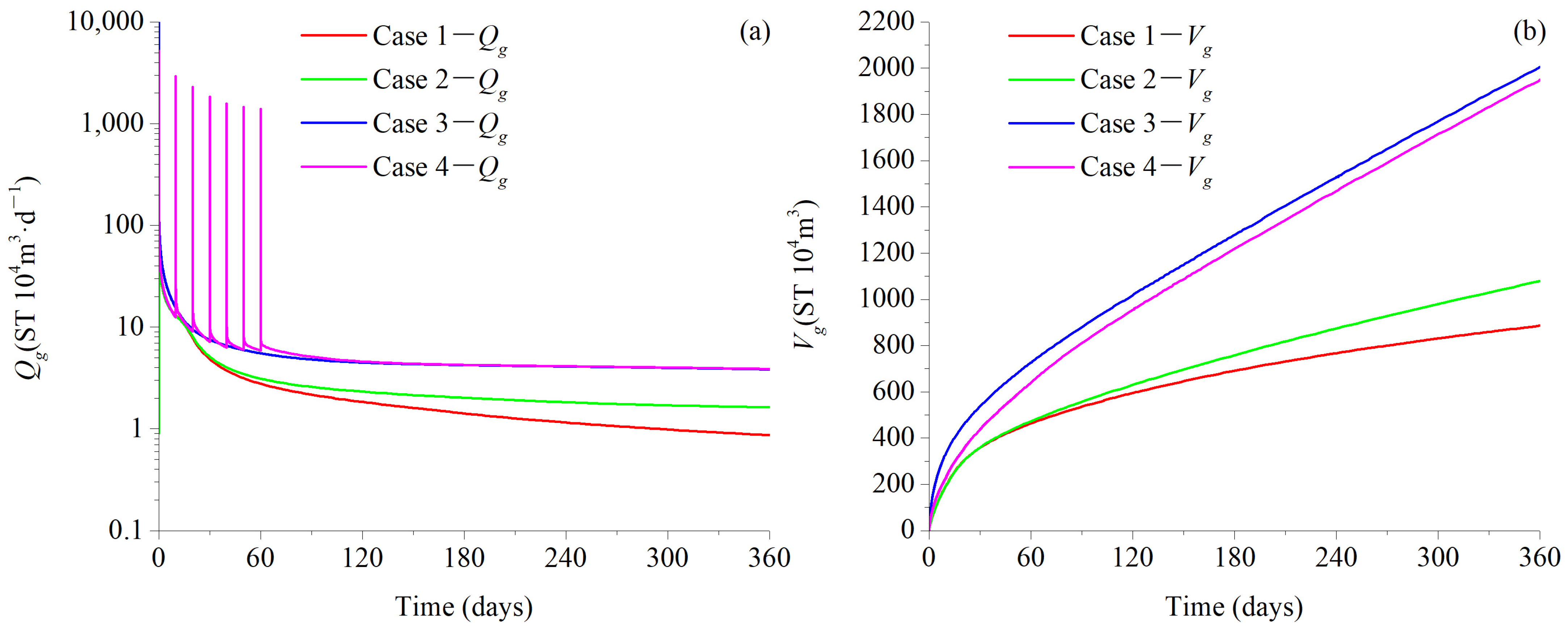
3.1. Production Performance of Gas and Water
3.2. Spatial Variation in Reservoir Properties
3.2.1. Spatial Variation in Pore Pressure
3.2.2. Spatial Variation in Reservoir Temperature
3.2.3. Spatial Variation in Hydrate Saturation
3.2.4. Spatial Variation in Gas Saturation
4. Conclusions
Author Contributions
Funding
Data Availability Statement
Conflicts of Interest
References
- Sloan, E. Fundamental principles and applications of natural gas hydrates. Nature 2003, 426, 353–359. [Google Scholar] [CrossRef]
- Boswell, R. Is gas hydrate energy within reach? Science 2009, 325, 957–958. [Google Scholar] [CrossRef]
- Chong, Z.; Yang, S.; Babu, P.; Linga, P.; Li, X. Review of natural gas hydrates as an energy resource: Prospects and challenges. Appl. Energy 2016, 162, 1633–1652. [Google Scholar] [CrossRef]
- Boswell, R.; Collett, T.S. Current perspectives on gas hydrate resources. Energy Environ. Sci. 2011, 4, 1206–1215. [Google Scholar] [CrossRef]
- Zhan, L.; Cai, W.; Liu, H.; Yang, R.; Shi, S.; Lu, H. Estimating gas hydrate saturation in sediments using geophysical methods. Mar. Pet. Geol. 2025, 179, 107458. [Google Scholar] [CrossRef]
- Moridis, G.; Collett, T.; Pooladi-Darvish, M.; Hancock, S.; Santamarina, C.; Boswell, R.; Kneafsey, T.; Rutqvist, J.; Kowalsky, M.; Reagan, M.; et al. Challenges, uncertainties, and issues facing gas production from gas-hydrate deposits. SPE Reserv. Eval. Eng. 2011, 14, 76–112. [Google Scholar] [CrossRef]
- Li, J.; Ye, J.; Qin, X.; Qiu, H.; Wu, N.; Lu, H.; Xie, W.; Lu, J.; Peng, F.; Xu, Z.; et al. The first offshore natural gas hydrate production test in South China Sea. China Geol. 2018, 1, 5–16. [Google Scholar] [CrossRef]
- Ye, J.; Qin, X.; Xie, W.; Lu, H.; Ma, B.; Qiu, H.; Liang, J.; Lu, J.; Kuang, Z.; Lu, C.; et al. The second natural gas hydrate production test in the South China Sea. China Geol. 2020, 3, 197–209. [Google Scholar] [CrossRef]
- Wu, N.; Li, Y.; Wan, Y.; Sun, J.; Huang, L.; Mao, P. Prospect of marine natural gas hydrate stimulation theory and technology system. Nat. Gas Ind. B 2021, 8, 173–187. [Google Scholar] [CrossRef]
- Huang, M.; Wu, L.; Ning, F.; Wang, J.; Dou, X.; Zhang, L.; Liu, T.; Jiang, G. Research progress in natural gas hydrate reservoir stimulation. Nat. Gas Ind. B 2023, 10, 114–129. [Google Scholar] [CrossRef]
- Zhu, D.; Peng, S.; Zhao, S.; Wei, M.; Bai, B. Comprehensive review of sealant materials for leakage remediation technology in geological CO2 capture and storage process. Energy Fuels 2021, 35, 4711–4742. [Google Scholar] [CrossRef]
- Sun, Y.; Cao, B.; Zhong, J.; Kan, J.; Li, R.; Niu, J.; Chen, H.; Chen, G.; Wu, G.; Sun, C.; et al. Gas production from unsealed hydrate-bearing sediments after reservoir reformation in a large-scale simulator. Fuel 2022, 308, 121957. [Google Scholar] [CrossRef]
- Sun, Z.; Li, N.; Jia, S.; Cui, J.; Yuan, Q.; Sun, C.; Chen, G. A novel method to enhance methane hydrate exploitation efficiency via forming impermeable overlying CO2 hydrate cap. Appl. Energy 2019, 240, 842–850. [Google Scholar] [CrossRef]
- Zhao, E.; Hou, J.; Liu, Y.; Ji, Y.; Liu, W.; Lu, N.; Bai, Y. Enhanced gas production by forming artificial impermeable barriers from unconfined hydrate deposits in Shenhu area of South China sea. Energy 2020, 213, 118826. [Google Scholar] [CrossRef]
- Wang, Y.; Zeng, Y.; Zhong, X.; Pan, D.; Chen, C. Investigation into the Effect of Permeable Boundary Sealing on the Behavior of Hydrate Exploitation via Depressurization Combined with Heat Injection. Energies 2024, 17, 5172. [Google Scholar] [CrossRef]
- Li, S.; Wu, D.; Wang, X.; Hao, Y. Enhanced gas production from marine hydrate reservoirs by hydraulic fracturing assisted with sealing burdens. Energy 2021, 232, 120889. [Google Scholar] [CrossRef]
- Guo, W.; Zhong, X.; Chen, C.; Zhang, P.; Liu, Z.; Wang, Y.; Tu, G. Stimulation effect of network fracturing combined with sealing boundaries on the depressurization development of hydrate reservoir. Energy 2024, 302, 131752. [Google Scholar] [CrossRef]
- Lv, T.; Pan, J.; Cai, J.; Li, R.; Shen, P. Adaptability of artificial barrier to depressurization production of marine stratified gas hydrate reservoir. Nat. Gas Ind. 2022, 42, 132–140. [Google Scholar]
- Nie, S.; Liu, K.; Xu, K.; Zhong, X.; Tang, S.; Song, J.; Zhang, H.; Li, J.; Wang, Y. Numerical study on the stimulation effect of boundary sealing and hot water injection in marine challenging gas hydrate extraction. Sci. Rep. 2024, 14, 15280. [Google Scholar] [CrossRef]
- Qin, F.; Sun, J.; Cao, X.; Mao, P.; Zhang, L.; Lei, G.; Jiang, G.; Ning, F. Numerical simulation on combined production of hydrate and free gas from silty clay reservoir in the South China Sea by depressurization: Formation sealing. Appl. Energy 2025, 377, 124343. [Google Scholar] [CrossRef]
- Bazaluk, O.; Sai, K.; Lozynskyi, V.; Petlovanyi, M.; Saik, P. Research into dissociation zones of gas hydrate deposits with a heterogeneous structure in the Black Sea. Energies 2021, 14, 1345. [Google Scholar] [CrossRef]
- Zhang, W.; Liang, J.; Lu, J.; Wei, J.; Su, P.; Fang, Y.; Guo, Y.; Yang, S.; Zang, G. Accumulation features and mechanisms of high saturation natural gas hydrate in shenhu area, northern South China Sea. Pet. Explor. Dev. 2017, 44, 708–719. [Google Scholar] [CrossRef]
- Hao, Y.; Yang, F.; Wang, J.; Fan, M.; Li, S.; Yang, S.; Wang, C.; Xiao, X. Dynamic analysis of exploitation of different types of multilateral wells of a hydrate reservoir in the South China sea. Energy Fuels 2022, 36, 6083–6095. [Google Scholar] [CrossRef]
- Moridis, G.; Kowalsky, M.; Pruess, K. TOUGH+ Hydrate V1.0 User’s Manual; Report LBNL-0149E; Lawrence Berkeley National Laboratory: Berkeley, CA, USA, 2008. [Google Scholar]
- Su, Z.; Moridis, G.; Zhang, K.; Wu, N. A huff-and-puff production of gas hydrate deposits in Shenhu area of South China Sea through a vertical well. J. Pet. Sci. Eng. 2012, 86–87, 54–61. [Google Scholar] [CrossRef]
- Yin, Z.; Moridis, G.; Chong, Z.; Linga, P. Effectiveness of multi-stage cooling processes in improving the CH4-hydrate saturation uniformity in sandy laboratory samples. Appl. Energy 2019, 250, 729–747. [Google Scholar] [CrossRef]
- Zhang, K.; Moridis, G.; Wu, Y.; Pruess, K. A domain decomposition approach for large-scale simulations of flow processes in hydrate-bearing geologic media. In Proceedings of the 6th International Conference on Gas Hydrates, Vancouver, BC, Canada, 6–10 July 2008; ICGH: Vancouver, BC, Canada, 2008. [Google Scholar]
- Kowalsky, M.; Moridis, G. Comparison of kinetic and equilibrium reaction models in simulating gas hydrate behavior in porous media. Energy Convers. Manag. 2007, 48, 1850–1863. [Google Scholar] [CrossRef]
- Yu, T.; Guan, G.; Wang, D.; Song, Y.; Abudula, A. Numerical investigation on the long-term gas production behavior at the 2017 Shenhu methane hydrate production-site. Appl. Energy 2021, 285, 116466. [Google Scholar] [CrossRef]
- Sun, J.; Zhang, L.; Ning, F.; Lei, H.; Liu, T.; Hu, G.; Lu, H.; Lu, J.; Liu, C.; Jiang, G.; et al. Production potential and stability of hydrate-bearing sediments at the site GMGS3-W19 in the South China Sea: A preliminary feasibility study. Mar. Pet. Geol. 2017, 86, 447–473. [Google Scholar] [CrossRef]
- Yuan, Y.; Xu, T.; Xin, X.; Xia, Y. Multiphase Flow Behavior of Layered Methane Hydrate Reservoir Induced by Gas Production. Geofluids 2017, 2017, 7851031. [Google Scholar] [CrossRef]
- Sun, J.; Ning, F.; Li, S.; Zhang, K.; Liu, T.; Zhang, L.; Jiang, G.; Wu, N. Numerical simulation of gas production from hydrate-bearing sediments in the Shenhu area by depressurising: The effect of burden permeability. J. Unconv. Oil Gas Resour. 2015, 12, 23–33. [Google Scholar] [CrossRef]
- Feng, Y.; Chen, L.; Suzuki, A.; Kogawa, T.; Okajima, J.; Komiya, A.; Maruyama, S. Enhancement of gas production from methane hydrate reservoirs by the combination of hydraulic fracturing and depressurization method. Energy Convers. Manag. 2019, 184, 194–204. [Google Scholar] [CrossRef]
- Sun, Y.; Ma, X.; Guo, W.; Jia, R.; Li, B. Numerical simulation of the short- and long-term production behavior of the first offshore gas hydrate production test in the South China Sea. J. Pet. Sci. Eng. 2019, 181, 106196. [Google Scholar] [CrossRef]
- Ma, X.; Sun, Y.; Liu, B.; Guo, W.; Jia, R.; Li, B.; Li, S. Numerical study of depressurization and hot water injection for gas hydrate production in China’s first offshore test site. J. Nat. Gas Sci. Eng. 2020, 83, 103530. [Google Scholar] [CrossRef]
- Cao, X.; Sun, J.; Qin, F.; Ning, F.; Mao, P.; Gu, Y.; Li, Y.; Zhang, H.; Yu, Y.; Wu, N. Numerical analysis on gas production performance by using a multilateral well system at the first offshore hydrate production test site in the Shenhu area. Energy 2023, 270, 126690. [Google Scholar] [CrossRef]
- Qin, X.; Liang, Q.; Yang, L.; Qiu, H.; Xie, W.; Liang, J.; Lu, J.; Lu, C.; Lu, H.; Ma, B.; et al. The response of temperature and pressure of hydrate reservoirs in the first gas hydrate production test in South China Sea. Appl. Energy 2020, 278, 115649. [Google Scholar] [CrossRef]
- Lu, H.; Shang, S.; Chen, X.; Qin, X.; Gu, L.; Qiu, H. Research progress and development direction of numerical simulator for natural gas hydrate development. Acta Pet. Sin. 2021, 42, 1516–1530. [Google Scholar]
- Li, Y.; He, C.; Wu, N.; Chen, Q.; Liu, C.; Sun, Z.; Jin, Y.; Meng, Q. Laboratory study on hydrate production using a slow, multistage depressurization strategy. Geofluids 2021, 2021, 4352910. [Google Scholar] [CrossRef]










| Cases | Boundary Sealing | Near-Wellbore Stimulation | Depressurization Mode |
|---|---|---|---|
| Case 1 | - | - | Direct depressurization |
| Case 2 | Yes | - | Direct depressurization |
| Case 3 | Yes | Yes | Direct depressurization |
| Case 4 | Yes | Yes | Step-wise depressurization |
| Parameter Type | Parameters | Value and Unit |
|---|---|---|
| Formation Thickness | OB and UB | 30 m |
| GHBL | 35 m | |
| TPL | 15 m | |
| FGL | 27 m | |
| Permeability | OB and UB | 2.0 mD |
| GHBL | 2.9 mD | |
| TPL | 1.5 mD | |
| FGL | 7.4 mD | |
| Porosity | OB and UB | 0.30 |
| GHBL | 0.35 | |
| TPL | 0.33 | |
| FGL | 0.32 | |
| Saturation | GHBL and TPL hydrate saturation | Obtained from the logging curve |
| FGL gas saturation (free gas) | Obtained from the logging curve | |
| Sealing Layer Properties | Permeability of sealing layers | 0.0001 mD |
| Thickness of sealing layers | 1 m | |
| Location of sealing layers | Top of GHBL and bottom of FGL | |
| Wellbore | Wellbore radius | 0.1 m |
| Depressurization Strategy | Direct depressurization | 6.5 MPa |
| Step-wise depressurization (10 days per step) | 3.5 → 4.0 → 4.5 → 5.0 → 5.5 → 6.0 → 6.5 MPa | |
| Simulation Zone Settings | Number, width, radius, spacing, permeability, porosity | 25, 0.5 m, 5.5 m, 11.5 m, 5 D, 0.7 |
| Multiphase flow | van Genuchten mode for capillary pressure characterization | , |
| The maximum aqueous saturation (abbreviated as SmxA) | 1 | |
| The capillary pressure exponent (abbreviated as λ) | 0.45 | |
| The capillary pressure reference value (abbreviated as P0) | 104 Pa | |
| Stone mode for relative permeability calculation | KrA = [(SA − SirA)/(1 − SirA)]nA, KrG = [(SG − SirG)/(1 − SirA)]nG | |
| The aqueous relative permeability exponent (abbreviated as nA) | 3.5 | |
| The gas relative permeability exponent (abbreviated as nG) | 2.5 | |
| The gas irreducible saturation (abbreviated as SirG) | 0.03 | |
| The aqueous irreducible saturation (abbreviated as SirG) | 0.30 | |
| Others | Gas composition: 100% CH4; geothermal gradient: 43.653 °C/km; grain density: 2600 kg/m3; salinity: 3.5%; grain specific heat: 1000 J·kg−1·K−1; thermal conductivity (dry and wet): 1.0 W·m−1·K−1 and 3.1 W·m−1·K−1 | |
Disclaimer/Publisher’s Note: The statements, opinions and data contained in all publications are solely those of the individual author(s) and contributor(s) and not of MDPI and/or the editor(s). MDPI and/or the editor(s) disclaim responsibility for any injury to people or property resulting from any ideas, methods, instructions or products referred to in the content. |
© 2026 by the authors. Licensee MDPI, Basel, Switzerland. This article is an open access article distributed under the terms and conditions of the Creative Commons Attribution (CC BY) license.
Share and Cite
Wan, T.; Zhao, Q.; Li, Q.; Qu, J.; Xiao, C.; Wang, J. Evaluation of the Gas Production Enhancement Effect of Boundary Sealing and Near-Wellbore Stimulation for Class 1 Hydrate Reservoir Step-Wise Depressurization with a Horizontal Well. Appl. Sci. 2026, 16, 1474. https://doi.org/10.3390/app16031474
Wan T, Zhao Q, Li Q, Qu J, Xiao C, Wang J. Evaluation of the Gas Production Enhancement Effect of Boundary Sealing and Near-Wellbore Stimulation for Class 1 Hydrate Reservoir Step-Wise Depressurization with a Horizontal Well. Applied Sciences. 2026; 16(3):1474. https://doi.org/10.3390/app16031474
Chicago/Turabian StyleWan, Tinghui, Qingxian Zhao, Qi Li, Jia Qu, Changrong Xiao, and Jingli Wang. 2026. "Evaluation of the Gas Production Enhancement Effect of Boundary Sealing and Near-Wellbore Stimulation for Class 1 Hydrate Reservoir Step-Wise Depressurization with a Horizontal Well" Applied Sciences 16, no. 3: 1474. https://doi.org/10.3390/app16031474
APA StyleWan, T., Zhao, Q., Li, Q., Qu, J., Xiao, C., & Wang, J. (2026). Evaluation of the Gas Production Enhancement Effect of Boundary Sealing and Near-Wellbore Stimulation for Class 1 Hydrate Reservoir Step-Wise Depressurization with a Horizontal Well. Applied Sciences, 16(3), 1474. https://doi.org/10.3390/app16031474

